Abstract
Conventional adaptive beamformers usually suffer from serious performance degradation when the receive array is imperfect and unknown sporadic interferences appear. To enhance robustness against array imperfections and simultaneously suppress sporadic interferences, this paper studies robust adaptive beamforming (RAB) with accurate sidelobe level (SLL) control, where the imperfect array steering vector (SV) is expressed as a spherical uncertainty set. Under the maximum signal-to-interference-plus-noise ratio (SINR) criterion and robust SLL constraints, we formulate the resultant RAB into a second-order cone programming problem, which is computationally prohibitive due to numerous robust quadratic SLL constraints. To tackle this issue, we provide a subspace approximation-based method to approximate the whole sidelobe space, thus replacing all robust SLL constraints with a single subspace constraint. Moreover, we leverage the Gauss–Legendre quadrature-based scheme to generate the sidelobe space in a computationally efficient manner. Additionally, we give an explicit approach for determining the norm upper bound of SV uncertainty sets under various imperfection scenarios, addressing the challenge of obtaining this upper bound in practice.Simulation results showed that the proposed subspace approximation-based RAB beamformer had a better SINR performance than typical counterparts and was much more computationally efficient.
1. Introduction
Adaptive beamforming is a spatial filter that generates a beampattern based on received spatial signals. Generally, digital beamforming (DBF) technology offers high flexibility, a robust self-correction capability, and strong resistance to interferences. Consequently, it has been extensively researched and applied in various fields, such as radar [1], remote sensing [2,3], and communication [4]. For example, in radar detection, the mainlobe of the beampattern is adjusted to align with the desired signal for maximum gain, while minimizing interference by aligning the notch of the beampattern with the direction of interference. In satellite remote sensing, a wider mainlobe is necessary to monitor a larger area, whereas in communication systems, a multi-beam pattern is generated to enhance the data transmission performance.
The minimum variance distortion response (MVDR), also known as Capon beamforming [5], is a well-known adaptive beamformer. The main motivation for MVDR is to maximize the signal-to-interference-plus-noise ratio (SINR), while keeping the desired signal direction undistorted. Under ideal conditions, it can effectively suppress interference and noise. However, in radar applications, long-term continuous working of the transceiver can introduce channel gain-phase inconsistency among the array antenna elements, which causes array imperfections, thus leading to array steering vector (SV) mismatch. This degradation seriously impacts the performance of interference suppression and a distortionless signal. Unfortunately, this is not an uncommon situation. In practice, there are several factors contributing to array SV mismatch; for example, the desired signal direction, typically acquired through direction-of-arrival (DOA) estimation. Then, the DOA estimation error inevitably introduces a mismatch into the SV of the desired signal, or even leads to mainlobe distortion. Additionally, the source wavefront distortions caused by source spreading and local scattering [6,7], near-far problems [8], and other errors [9] can also result in array SV mismatch.
Over the last couple of decades, robust adaptive beamforming (RAB) techniques [10] have been required to receive an undistorted desired signal and control the array response beampattern with array SV mismatch. Eigenspace-based and diagonal loading (DL) techniques are two popular conventional RAB methods [11,12]. However, the eigenspace-based approach suffers from a high probability of subspace swapping in low signal-to-noise ratio (SNR) scenes, while the DL approach greatly depends on the selection of DL factor, for which it is challenging to choose the optimal value.To circumvent these shortcomings, two categories of RAB methods based on the MVDR principle have been developed using different schemes, including worst-case-based RAB [8,13,14,15,16,17,18,19,20] and SV estimation-based RAB [21,22,23,24,25,26,27,28,29].
Based on the uncertainty set description of SV mismatch, worst-case performance optimization (WCPO) [8] was first proposed and can explicitly determine the optimal DL factor. Specifically, WCPO models the SV mismatch as an -norm bounded spherical uncertainty set in which the array power gain is no less than one, and gives the derivation of the optimal DL factor with its norm upper bound. Therefore, WCPO can be viewed as an extension of the DL technique. This methodology has been subsequently developed to address RAB problems where the desired signal model has an arbitrary rank, such as scattered sources and fluctuating wavefronts [13]. On the other hand, the authors in [14] achieved WCPO under the framework of robust Capon beamforming and tackled the resultant problem by computation-efficiently determining the corresponding DL factor according to the SV uncertainty set. Inspired by the idea of an uncertainty set description of SV mismatch, several worst-case-based methods have extended spherical sets as ellipsoidal sets for an anisotropic uncertainty model [15,16], rhomboidal sets for an -norm bounded uncertainty model [17], and arbitrary convex sets for a general uncertainty model [18]. By describing uncertainty in terms of probability, the worst-case-based method was further extended to probability-constrained methods [19]. Recently, Huang et al. extended the convex uncertainty model to a nonconvex double-sided ball uncertainty model, which offers better robustness for array geometry prior information [20]. While the aforementioned RAB methods have provided significant improvements in SINR, their computational complexity may be too high for real-time processing. To further reduce computational overheads, deep unfolding has emerged as a promising scheme to enable the use of existing model-based RAB methods based on iterative optimizers [30]. For example, Balevi used deep generative unfolding models to derive near-optimal beamformers with lower complexity [31]. Similarly, Shi proposed deep-unfolding-based beamforming solutions by unfolding iterative gradient descent algorithms [32].
Differently from worst-case-based methods, SV-estimation-based methods directly estimate the difference between the actual and desired SVs and then use this to correct the erroneous desired SV [21,22]. To improve SV estimation performance, ref. [23] replaced the sample covariance matrix (SCM) with a recovered interference-plus-noise covariance matrix (INCM) using a Capon spatial spectral estimator. Furthermore, ref. [24] recovered the INCM by estimating the interference SVs and powers. Moreover, ref. [25] provided an annulur uncertainty-set-based INCM recovery method to enhance the robustness of SV estimation against imprecise array geometries. To reconstruct a more precise INCM, ref. [26] determined the interference SVs at the intersection of the interference subspace from the interference angular sector and the interference–signal subspace from an SCM. Considering the error in norm perturbations, ref. [27] introduced a double-sided constraint to estimate the optimal SV via solving a quadratically constrained quadratic programming (QCQP) problem. Additionally, the SV-estimation-based method was extended to co-prime arrays [28] and partly calibrated arrays [29]. Thanks to SV estimation, these methods offer better performance than worst-case-based methods for mainlobe mismatch. However, estimating the desired SV is usually computationally prohibitive.
Although the abovementioned RAB algorithms have demonstrated outstanding performance, they are still difficult to directly apply in practice. First, it is hard to obtain the precise norm upper bound of uncertain sets for worst-case-based methods and the signal subspace for SV-estimation-based methods. Second, the aforementioned RAB methods primarily focus on addressing the degradation of mainlobe performance caused by the SV mismatch of the desired signal, but do not explicitly take into account the SV mismatch in the sidelobe region. On the other hand, in rapidly changing electromagnetic environments, sporadic interferences from various unknown directions may be not effectively collected in the SCM. As a consequence, the yielded beampattern nulls based on the SCM cannot correctly suppress these sporadic interferences, and interferences whose DOAs are close to the directions of the high sidelobes inevitably lead to severe SINR degradation. In many practical applications, sporadic interferences frequently appear. For example, in low-altitude surveillance radar or integrated sensing and communication systems, the RF signals emitted by unmanned aerial vehicles (UAVs) in the sidelobe region can cause multipath interferences, due to the numerous buildings in urban areas. With the movement of UAVs, changing multipath signals may not be collected in the SCM. Similarly, in vehicle-to-everything (V2X) systems, RF signals from vehicles suddenly appearing in the sidelobe region are sometimes not effectively collected by the SCM. Hence, it is necessary and crucial to consider sidelobe control in RAB.
To introduce sidelobe control into RAB, three categories of methods are commonly employed, including precise multiple point control [33], Chebyshev weighting [34], and sidelobe level (SLL) constraints [35,36]. Specifically, precise multiple point control is mainly applied for controlling several specific directions and it is computationally prohibitive for controlling wide sidelobe regions, while Chebyshev weighting is mostly used for offline beamforming, which may not be as suitable for online or adaptive situations. In contrast, SLL constraints are commonly employed to achieve a specified level of attenuation in a wide sidelobe region by adopting explicit inequality constraints in arbitrary arrays [37,38,39].
Based on the above observations, this paper investigates the RAB problem with robust SLL control. In light of the WCPO principle, we propose a RAB problem that takes into account the robustness of the mainlobe and sidelobe concurrently, where the array imperfection is modeled as a spherical uncertainty set. By leveraging the boundness of the uncertainty set, we express the mainlobe gain and all robust SLL constraints as quadratic convex constraints, and then translate this RAB into a second-order cone program (SOCP) problem that can be solved using off-the-shelf toolboxes, such as CVX. The main contributions of this work are summarized as follows:
- We introduce a novel RAB framework that leverages subspace approximation (SA) to replace numerous robust quadratic SLL constraints with a single subspace constraint. This scheme significantly reduces computational complexity, while maintaining accurate SLL control over the sidelobe region.
- We employ a fourth-order composite Gauss–Legendre quadrature (GLQ) technique to efficiently generate the sidelobe space required by the subspace approximation. This calculation approach ensures high accuracy in approximating the integral operations, while keeping the computational overhead low.
- We provide explicit expressions of the norm upper bounds of SV uncertainty sets in several representative array imperfection scenarios, including array geometry errors, channel gain-phase errors, and wavefront distortions. These expressions enhance the applicability of the proposed RAB method and are also relevant to other RAB approaches using spherical uncertainty set descriptions, as in [8,13,14].
- Extensive numerical results demonstrate that the proposed RAB method achieved a better SINR performance compared to existing RAB methods, while maintaining low SLLs. Moreover, the proposed method exhibited significantly reduced computational costs compared to directly solving the original RAB problem, making it more suitable for real-time processing.
The remainder of this paper is organized as follows: Section 2 introduces the signal model and formulation of RAB with robust SLL constraints and a mainlobe gain constraint. Section 3 provides the SA-based RAB algorithm by employing the GLQ integral. Section 4 addresses some practical considerations for improving the practicality of the proposed algorithm. Section 5 analyzes the computational complexity of the proposed algorithm. Numerical experiments are conducted in Section 6 to validate the superiority of the proposed algorithm. The concluding remarks follow at the end.
Notations: Throughout this paper, boldfaced upper-case and lower-case characters represent matrices and vectors, respectively. The superscripts and denote transpose and conjugate transpose operators. The modulus operators are written as . takes the imaginary part of the complex variables. The operator denotes the mathematical expectation. stands for the Euclidean norm of a vector. represents a diagonal matrix, with filling its principal diagonal. denotes an identity matrix.
2. Signal Model and Problem Formulation
2.1. Signal Model
Without loss of generality, a uniform linear array (ULA) with M elements is considered in this paper. The ULA receives far-field narrow-band signals, consisting of one desired signal and P interference signals , . The received signal sampled at the k-th snapshot can be expressed as
where represents the received data at the m-th element, . and are the desired signal and interferences, respectively, and they are statistically independent. is an additive white Gaussian noise with zero mean and variance . and denote the direction of the desired signal and the p-th interference, respectively. is a normalized array SV given by
in which is the wavelength and . Let the powers of and be and , respectively. Then, the SNR is defined as and the interference-to-noise ratio (INR) of the p-th interference is defined as .
With the receive array weight , the array output can be expressed as
Based on the maximum SINR criterion, the adaptive beamformer is determined using the following optimization problem:
where is the ideal covariance matrix of the received data, and is the desired signal direction. The optimal weighting vector of (4) is derived as
In practice, the SCM, , is generally used as an estimate of the ideal covariance matrix .
2.2. Problem Formulation
The MVDR beamformer is known to be sensitive to prior knowledge of the desired signal SV and SCM. To improve the robustness of the beamformer, an uncertainty-set-based beamformer is proposed, to alleviate the effect of array imperfections and imprecise estimates of SCM. The key idea of an uncertainty-set-based beamformer is to explicitly model the SV uncertainty, as follows:
where indicates the normalized actual SV, represents the normalized nominal SV, denotes the unknown SV error that can be varied with , and the Euclidean norm of is upper-bounded by a known constant .
The essence of the uncertainty-set-based beamformer is to add robustness to the standard MVDR beamformer using a distortionless response constraint that must be satisfied for all mismatched signal SVs in a given spherical uncertainty set. With such a constraint, the design of a robust MVDR beamformer can be formulated as
Considering the worst case, (7) is equivalent to the following problem:
which is called WCPO [8].
Note that WCPO can improve robustness against the SV mismatch of the desired signal when all interferences are collected by the SCM. However, in rapidly changing electromagnetic environments, sporadic interferences from various unknown directions may be not collected in the SCM in a timely manner. As a result, the yielded WCPO beamformer cannot suppress the sporadic interferences effectively, and interferences whose DOA is close to the direction of high sidelobes inevitably lead to severe SINR degradation. To deal with sporadic interferences, it is necessary to form a low sidelobe for the receiving beampattern of WCPO beamformers.Hence, as in (6), we consider robust SLL constraints defined as
where indicates the preset angular sector which needs to maintain a low SLL, is the discrete direction sample in , S is the number of samples, and is the array SV at the direction .
With the introduced robust SLL constraints, the RAB with sidelobe control can be formulated as the following optimization problem:
According to the norm inequality, each robust SLL constraint in (10) can be reduced to the following inequality:
Inspired by WCPO in mainlobe constraint (10b), we consider the worst case of robust SLL constraints (10c). Then, the original problem (10) is reformulated into
Note that the problem (12) is convex. It can be translated to a SOCP problem and then be directly solved using convex optimization toolboxes such as CVX [40]. However, since the robust SLL constraint is composed of quadratic convex constraints from multiple discrete angles, the number of constraints will increase greatly with the increase in the sidelobe region, leading to a prohibitive computational overhead. In the following section, we will present an SA-based method to dramatically reduce the computational overhead.
3. Proposed Subspace Approximation-Based RAB Algorithm
In this section, we devise an SA-based RAB algorithm to solve the problem (12). The basic idea is to replace the robust SLL constraints at all discretized sidelobe angles with a single sidelobe subspace constraint by creating a low-dimensional subspace to approximate the space spanned by all sidelobe SVs. First, 4th-order GLQ is employed instead of discrete summation, to efficiently form an accurate sidelobe space matrix; Second, the eigenvector of the sidelobe space matrix is used to yield the low-dimensional sidelobe subspace. Finally, all the robust SLL constraints are replaced with only a single convex constraint with the aid of sidelobe subspace approximation.
Let us define the given matrix as
where is the SLL control factor at the angle [41]. Since collects the spatial information of the whole sidelobe region, we recognize that the eigenvectors of span the sidelobe subspace where the sidelobe SVs lie. Obviously, is a Hermitian positive definite matrix.
Due to the irregular SLL control factor , it is difficult to obtain a closed-form expression of . In practice, the integral operation in (13) is often approximated by a summation as
where the sidelobe region is discretized into L angles; is the discretized spacing, in which and are the lower and upper bounds of ; is the l-th discrete angle; and stand for the corresponding SLL control factor and SV, respectively; and . Undoubtedly, the approximation accuracy of (14) depends on the number of discretized angles L. To precisely calculate the matrix , we usually need to set a large value of L. Then, the computational overhead of (14) is prohibitive, since its complexity equals .
To tackle this issue, we calculate the integral in (13) by merging the GLQ into the summation operation. With the aid of the GLQ, the discretized spacing of is significantly enlarged. Consequently, the discretized number L is remarkably reduced. We call this calculation scheme a composite GLQ, whose detailed derivation is given in Appendix A. Based on this scheme, the matrix can be calculated as
where , P represents the number of integral sub-intervals, and are the roots of the 4th-order Legendre polynomial.
Define the eigenvalue decomposition of as
where is the m-th eigenvalue of in descending order and corresponds to the eigenvector . We choose K dominant eigenvectors to form the column orthogonal matrix . According to the characteristic of eigenvectors, all the SVs inside the sidelobe region can be approximated by the linear combination of as
where is the coordinate vector of with respect to the basis .
Note that is an approximation of the sidelobe space spanned by . Then, an approximation error inevitably exists and its value greatly depends on the number of dominant eigenvectors K. For that reason, reasonably selecting the value of K is of great importance for accurately describing all robust SLL constraints. In the following, we provide an empirical method for determining the value of K based on the approximation error of all SVs in the sidelobe region.
Define the square error between the approximate SV and nominal SV as . Then, the relative mean square error (RMSE) in the whole sidelobe region can be expressed as
We consider that the value of K is acceptable when the RMSE is not greater than a preset threshold . As a result, we can determine K using the following optimization problem:
When the SLL control factors are identical in the whole sidelobe region, namely, with the positive constant c, the problem (19) can be simplified as
In this case, the acceptable K can be easily found according to the eigenvalues . In fact, the rank of is given by
where means the space spanned by the vectors , is the dimension operation and represents the null space of . When the dimension of the column orthogonal matrix increases, the dimension of decreases, indicating that the SA error decreases. It is notable that the subspace spanned by is not allowed to contain the SV in the desired direction. Otherwise, the desired signal will be suppressed as interference, leading to severe performance degradation. Therefore, the allowable maximum value of K is .
Once K has been determined by (19) or (20), the approximated sidelobe subspace matrix is obtained. Thereafter, each robust SLL constraint in (12c) can be replaced by
According to the Cauchy–Schwarz inequality, we have
where is considered as the coordinate vector of with respect to the basis and . That is to say, gives an upper bound of SLLs in the whole sidelobe region. Therefore, we can replace all the robust SLL constraints in (12c) with the following constraint:
Based on the aforementioned considerations, we reformulate the proposed SA-based RAB with sidelobe control into the following optimization problem:
Since both constraints are convex and the objective function is a positive definite quadratic form, (25) can be translated into an SOCP problem and then efficiently solved using standard convex optimization toolboxes.
4. Practical Considerations
In the proposed SA-based RAB problem (25), we assume that the upper bound of the uncertainty of the actual SV is known in advance. However, this is not true in practical applications. In this section, we consider several representative array imperfection scenarios where the array suffers from an array geometry error, channel gain-phase errors, or wavefront distortion, and derive explicit expressions of , respectively.
In the abovementioned scenarios, we can rewrite the actual SV as
Denote . Then, we have and
where is the spectral norm of the matrix and satisfies
Obviously, if is known in advance, we can set at the angle as
In the whole sidelobe region, we can determine the value of by using the following scheme:
However, is usually unknown and slowly time-varying as well. Due to this, it is difficult to obtain an exact expression of . In the following, we will derive the explicit expressions of according to (30) under three typical scenarios. Note that these results were achieved based on ULAs. But they can be directly extended to other array configurations.
4.1. Mismatch Caused by an Array Geometry Error
When the array geometry is not exactly known, we can express as
where represents the position error of the m-th element, . According to (30), we have
Generally, the position error is randomly distributed in a small range defined as
where and are known lower and upper bounds [42]. Then, we can obtain the explicit expression of as
4.2. Mismatch Caused by Channel Gain-Phase Errors
When the SV uncertainty is caused by a channel gain-phase mismatch, we describe the matrix as
where and stand for the channel gain and phase errors of the m-th element, respectively, . Based on (35), we rewrite the problem (30) as
In practice, and are randomly distributed in small regions, respectively. As a result, we describe them as
where and represent the corresponding boundaries [43]. Therefore, we can obtain the explicit expression of as
4.3. Mismatch Caused by Wavefront Distortion
When the SV is distorted by wave propagation effects in an inhomogeneous medium, independent-increment phase distortions are accumulated by the entries of the nominal SV. Then, we can express as
where denotes the wave propagation error of the m-th element at the angle . Recalling (30) and the set , we have
In fact, is usually randomly distributed in a small range; namely, , where and are the known lower and upper bounds and their values are very small [44]. Note that both and are often much smaller than . According to (30), we can obtain the explicit expression of as
5. Analysis on Computational Complexity
This section analyzes the computational complexity of the proposed SA-based RAB algorithm. Specifically, the cost mainly depends on generating the column orthogonal matrix and solving the problem (25). As for the generation of , the complexity is dominated by the GLQ calculation and the eigenvalue decomposition, and thus is equal to . As for the solution of (25), this is an SOCP problem which contains second-order cone inequalities, and the complexity of solving this problem is about , where stands for the accuracy of the solution at the algorithm termination. Therefore, the total complexity of the proposed algorithm is about .
As a comparison, we also analyze the computational complexity of directly solving the problem (12). Note that (12) is an SOCP problem containing second-order cone inequalities. Similarly to (25), the total complexity equals . Obviously, its complexity is significantly higher than that of the proposed SA-based algorithm because .
In practical applications, the time required to update RAB weights is critical for effective interference suppression in environments with varying interferences. To satisfy the requirements of real-time processing, the computation time that the RAB algorithm consumes must be less than the time of the environment varying interference. As a result, having a lower computation cost is essential to ensure that the RAB algorithm can be applied for real-time processing. The proposed method significantly reduces the computational complexity of original RAB problem (12) by employing subspace approximation, thereby being more suitable in scenarios with rapidly varying interference.
6. Numerical Example
This section evaluates the effectiveness and efficacy of the proposed RAB algorithm using several numerical experiments. In the experiments, the ULA consisted of 10 omnidirectional antenna elements taken from [44].The additive noise injected into each element was a spatially and temporally independent complex Gaussian noise with zero mean and unit variance. Two interference sources were assumed to impinge on the ULA from the directions and , while the presumed direction towards the desired signal was assumed to be . The discretization spacing of the whole direction range was . In all experiments, the INRs of the two interferences were identical and were set as 30 dB, and the desired signal was always present in the training data. Each experiment executed 100 independent runs. The training data size was set as 30.
We first analyzed the impact of several factors of the proposed SA-based method on RAB performance, including numerical integration schemes, dimensions of the sidelobe subspace, order of composite GLQ, and the norm upper bound of uncertainty sets. Thereafter, we compared the proposed method with the following seven methods in terms of the output SINR and beampattern: (i) the WCPO beamformer in [8]; (ii) the SMI beamformer; (iii) the diagonally loaded SMI (LSMI) beamformer in [45]; (iv) the eigenspace-based beamformer in [11]; (v) the SQP beamformer in [21]; (vi) the WCPO beamformer with original SLL constraints (abbreviated as SLL); and (vii) the RAB beamformer for directly solving (12) via SOCP solvers. We set the same values of for the WCPO beamformer, the beamformer for solving (12), and the proposed SA-based beamformer. The DL factor of the SMI beamformer was set to twice the noise power, as recommended by Cox et al. in [45]. The dimensions the of signal-plus-interference subspace were always assumed to be estimated correctly for the eigenspace-based beamformer. For the SQP beamformer in [21], the robust mainlobe direction range was assumed to be and 8 dominant eigenvectors were used to generate the beamformer. For the WCPO beamformer with original SLL constraints, we set . In the problem (12), we set , and . For the proposed SA-based beamformer, we set and evenly divided into eight sectors for GLQ calculation. All convex optimization problems in the abovementioned beamformers were solved using the CVX toolbox.
6.1. The Impact of Numerical Integration Schemes and Sidelobe Subspace Dimensions on SA Accuracy
This subsection investigates the influence of the numerical integration schemes and selected sidelobe subspace dimensions on SA accuracy, which is essential for the proposed SA-based RAB method. We adopted the SV approximation error for all sidelobe directions, to measure the SA performance.
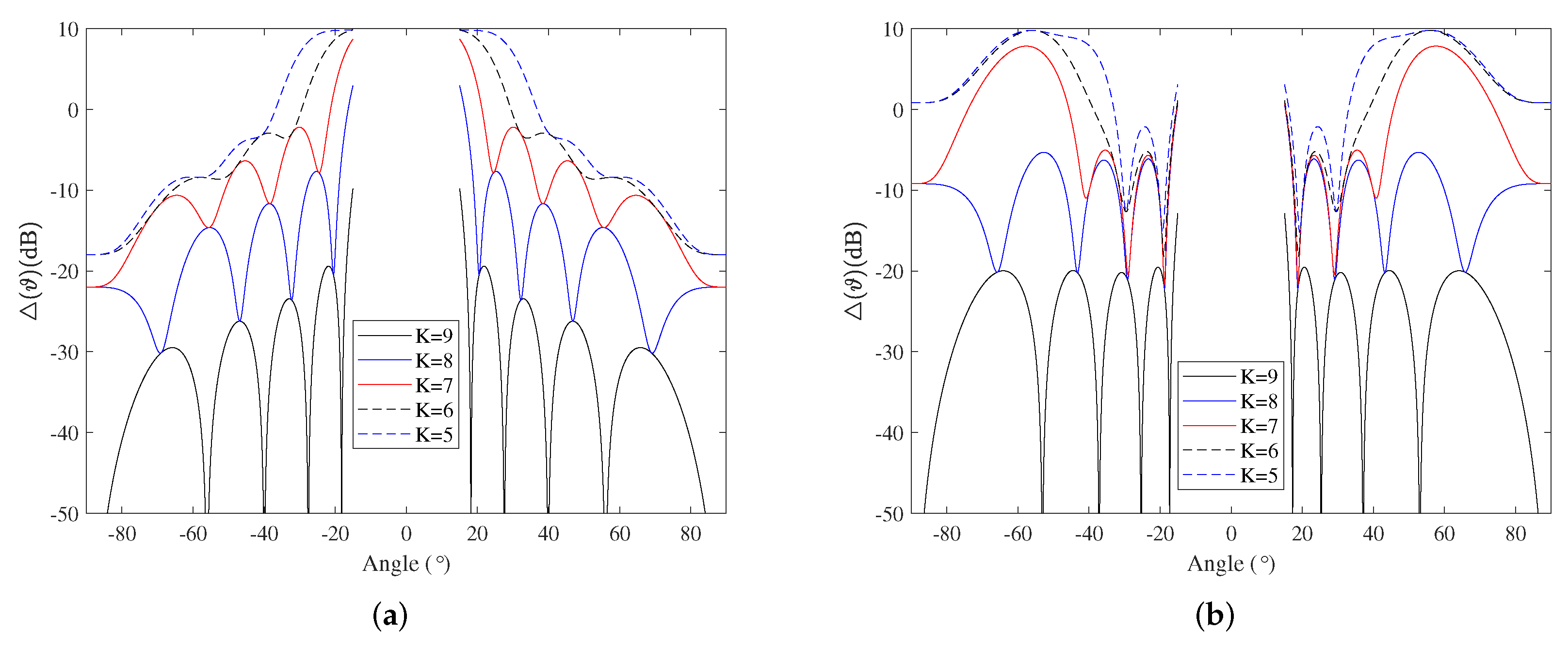
Figure 1 displays the SV approximation error in the whole sidelobe region, where the matrix was calculated by the summation in (14), the composite 3rd and 4th order GLQ in (15), and compound trapezoid and compound Simpson, respectively, and the subspace dimension was set to its maximum value . The discretized angle spacing in (14) equaled to guarantee high-accuracy approximation. Two kinds of SLL control factors, and , were employed, to achieve different SLL control schemes. From Figure 1, we can observe that the 4th-order GLQ had almost the same accuracy as the high-precision summation in (14) (the two curves almost overlap, as shown in the zoomed-in subfigures), while the 3rd-order GLQ, compound trapezoid, and compound Simpson all yielded non-ignorable approximation errors. This result verifies that the 4th-order GLQ was the best numerical integration method among the methods for accurately calculating the matrix . Comparing Figure 1b with Figure 1a, we find that the SLL control factor could generate more uniform SV approximation errors, which was beneficial for ensuring the consistency of all robust SLL constraints. In view of this, we leveraged in the following experiments for the RAB performance evaluation.
Figure 1.
The impact of numerical integration methods on the SV approximation error with different SLL control factors. (a) . (b) .
Figure 2 presents the effect of the selected subspace dimension in (17) on the SV approximation error in the sidelobe region, where was calculated using the composite GLQ. As seen in Figure 2a,b, we found that the SV approximation error gradually decreased with the increase in the subspace dimension. To achieve a good accuracy of SV approximation, we had to select the maximum value of K, i.e., . In the following experiments, we set , unless otherwise specified.
Figure 2.
The impact of the selected subspace dimension on the SV approximation error with different SLL control factors. (a) . (b) .
6.2. The Impact of the Order of Composite GLQ, Subspace Dimension, and Uncertainty Set Bounds on Beamforming Performance
This subsection addresses the influence of several parameters in the proposed SA-based method on the beamforming performance, including the order of composite GLQ, dimension of the subspace approximation, and norm upper bound of the uncertainty sets. Figure 3 displays the output SINR of the proposed method with different orders of composite GLQ and dimensions of the subspace, when the SVs were exactly known in both the desired direction and sidelobe region. As seen from Figure 3, the 4th-order GLQ achieved a better output SINR than the 3rd-order GLQ with a , indicating that the higher order of GLQ led to a better beamforming performance. On the other hand, when the dimensions of subspace K equaled 9, it almost overlapped with the subspace using (14). That is to say, the proposed SA-based method incurred a negligible SINR loss. Note that the output SINR seemed better when in the low SNR cases, which may have resulted from lacking control of the SLLs.
Figure 3.
The performance of the output SINR with exactly known SVs versus SNR under varying orders of GLQ and dimensions of subspace.
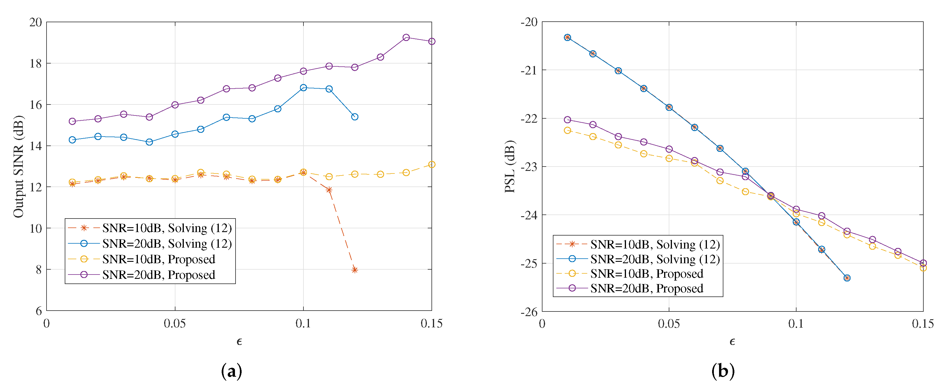
Figure 4 illustrates the impact of the preset norm upper bound of the uncertainty set on the output SINR and peak sidelobe level (PSL), where the real SV mismatches were randomly generated and their norm upper bound equaled 0.1. In Figure 4a, it is observed that (12) became unsolvable when because the numerous strict SLL constraints rendered the problem (12) unsolvable. Note that when , the output SINR of directly solving (12) suffered from significant degradation. The reason for this phenomenon was that the numerous strict SLL constraints led to the feasible set of (12) becoming too small to obtain a good output SINR. Due to the slight relaxation of the SLL controls, the proposed SA-based method remained solvable and achieved a higher output SINR. In Figure 4a, we can see that both the proposed and the directly solved methods ensured that the PSL was never greater than , indicating that all robust SLL constraints held successfully. Intuitively, the SA-based constraint is looser the robust SLL constraints in (12) and thus should cause a worse sidelobe control performance. However, the experiment results verified that adopting the subspace approximation scheme had almost no negative effect on the sidelobe control performance. When the preset norm upper bound was not smaller than the real value, namely, , the directly solving method generated a lower PSL than the proposed method in both SNR scenes. However, when the preset norm upper bound was smaller than the real value, i.e., , the proposed method achieved a lower PSL than the directly solving method.
Figure 4.
The impact of the preset norm upper bound of uncertainty sets on beamforming performance. (a) Output SINR, (b) PSL.
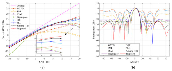
6.3. RAB Performance with Exactly Known SVs
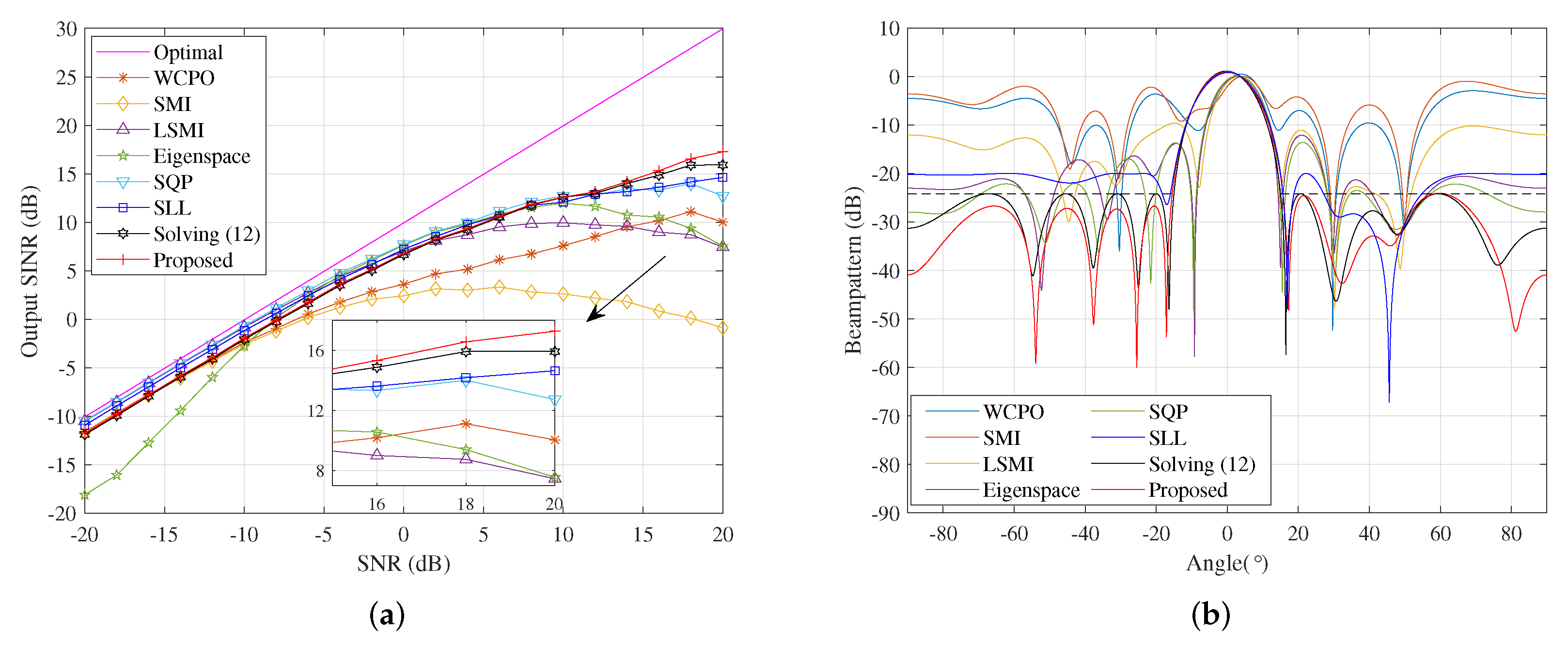
This subsection examines the RAB performance of the proposed SA-based method when SVs are exactly known in both the desired direction and sidelobe region. Figure 5a displays the output SINR of the proposed method and seven counterparts with . We observe that the proposed method outperformed the popular WCPO method when . In the low SNR region, it had a sightly worse SINR performance than the LSMI and SQP methods, since worst-case constraints inevitably result in a performance loss. On the other hand, the proposed method had an almost identical SINR performance to the method of directly solving (12). That is to say, the composite GLQ calculation and subspace approximation basically did not affect the output SINR in this case.
Figure 5.
The performance of all RAB methods with exactly known SVs. (a) Output SINR versus SNR with , (b) Receive beampatterns with .
Figure 5b illustrates the corresponding received beampatterns of the RAB methods in Figure 5a with . We observe that both the proposed and the directly solving methods successfully controlled the SLLs in the whole sidelobe region, where their cost was that the direction of the maximum mainlobe gain mildly deviated from the desired direction. Note that the PSLs of these two methods were remarkably lower than the preset SLL . This is because the robust SLL constraints (12c) enforced a more strict SLL limitation. Moreover, the proposed method yielded a slightly higher PSL than the directly solving method, resulting from the SA error in the sidelobe region. From Figure 5a, we can see that this small increase in PSL did not degrade the output SINR performance.
6.4. RAB Performance with Mismatched SVs Limited by Bounded Error
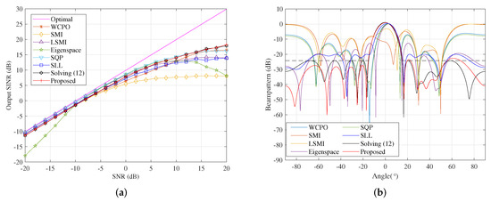
This subsection evaluates the robustness of the proposed method against a general SV mismatch, where the SV errors were random and bounded in both the desired direction and sidelobe region. Let us describe the actual SV as
where is the nominal SV in the direction , and is the random and bounded SV errors defined as
In this experiment, the amplitude followed a uniform distribution in the range , and the phases were uniformly distributed in , . Both and were independent from each other.
Figure 6a shows the output SINR performance of all RAB methods with . It can be seen that the proposed and the directly solving methods had a similar performance, and they always provided a higher output SINR than the WCPO method. Moreover, these two RAB methods had approximately lower SINRs than the SQP method when , but overtook it when . Compared to Figure 5a, the proposed and the directly solving methods suffer from very little SINR performance degradation when the SV mismatch appeared. In contrast, the SQP method exhibited a visible performance degradation in the high SNR region, and the WCPO method produced a more serious degradation in SINR performance when . Therefore, the proposed method is highly effective for RAB with a bounded SV mismatch. Figure 6b presents the corresponding received beampatterns with . Similarly to Figure 5b, the proposed and the directly solving methods still successfully ensured PSLs lower than .
Figure 6.
The performance of all RAB methods with random and bounded SV mismatches. (a) Output SINR versus SNR with , (b) Received beampatterns with .
6.5. RAB Performance with SV Mismatch Under Practical Considerations
This subsection testes the RAB performance of the proposed method where the SV mismatch was generated by an array geometry error, channel gain-phase errors, and wavefront distortion, respectively. In these cases, the norm upper bound of the SV error was correspondingly determined by (34), (38) and (41). In the array geometry mismatch case, the errors of the antenna element positions with respect to ULA were uniformly distributed in , where . In the channel gain-phase mismatch case, the phase errors and gain errors were uniformly distributed in and , respectively, . In the wavefront distortion case, all phase increments were independently and uniformly distributed in . According to (34), (38) and (41), we could determine in all three cases.
Figure 7 demonstrates the SINR performance of all RAB methods with the SV mismatch induced by above three practical factors. We can observe that the proposed and the directly solving methods always achieved a stable SINR performance, regardless of the practical factor causing the SV errors. In contrary, two other typical RAB methods, SQP and WCPO, presented a significant difference in SINR performance in these three cases. Compared to Figure 6a, SQP and WCPO had a similar SINR performance as for the channel gain-phase error-induced SV mismatch in Figure 7b. But they suffered from severe SINR reductions for both the array geometry error and wavefront distortion-induced SV mismatches, as shown in Figure 7a,c. The same was true for the popular SMI and LSMI methods. These results further verify the efficacy of the proposed RAB method.
Figure 7.
The output SINR performance of all RAB methods with SV mismatches yielded with different practical factors. (a) Array geometry error, (b) channel gain-phase errors, (c) wavefront distortion.
For these SV mismatch induction factors, we recognize that the array geometry error and wavefront distortion only introduced phase errors into the SVs, while the channel gain-phase error produced both phase and amplitude errors. With the same norm upper bound of SV uncertainty induced by these factors, the array geometry error and the wavefront distortion should generate larger phase errors in SVs than the channel gain-phase error. That is to say, the proposed and solving (12) methods are robust against the phase error of SVs, while the SQP and WCPO methods are more sensitive. Therefore, it is preferable to use the proposed method when the SV mismatch is dominated by phase errors.
6.6. Unknown Sporadic Interference Suppression in the Sidelobe Region
This subsection examines the sporadic interference suppression performance of the proposed RAB method. Furthermore, as a comparison, traditional SLL constraints were used in place of the robust SLL constraints described in (12c) to highlight the robustness. In the experiment, we first considered a scenario where three independent unknown sporadic interferences appeared in the sidelobe region. Furthermore, we also considered a scenario where three sporadic interferences were generated by the multipath of a fixed interference. In this scenario, three sporadic multipath interferences were caused by the fixed interference at 30° with a INR = 30 dB, and their INRs were no greater than that of the fixed interference. For simplicity, we assumed that all multipath interferences had the same INR. In both scenarios, all three interferences were all randomly and uniformly distributed in the sidelobe region and were not included in the SCM . The other experimental settings were consistent with Section 6.4. For each beamformer, we utilized the weight vector generated in Section 6.4 directly.
Figure 8a displays the variation in the output SINR with respect to the input SNR for all RAB methods, where the INR of each sporadic interference equaled . We can observe that the proposed method had the best SINR performance for all eight beamformers. Differently from Figure 6a, the proposed method achieved an average SINR improvement of 3 dB over the directly solving (12) method. This improvement likely stemmed from the lower SLLs of the proposed method, as seen in Figure 6b. Due to the lack of SLL control, the other RAB methods had significantly worse SINR performance than the proposed method. It is worth pointing out that the eigenspace-based method projected the SMI-based beamforming weights into the subspace spanned by the signal and interference SVs. It, hence, naturally had the ability to reduce the SLLs when the SNRs were sufficiently large, as seen in Figure 6b with . But this ability significantly deteriorated in the low-SNR cases. Compared to the robust beamformer with original SLL constraints, both the proposed and the directly solving methods achieved a better output SINR, which implies that the proposed method has the capability of dealing with sidelobe mismatches.
Figure 8.
The SINR performance of all RAB methods with unknown sporadic interferences appearing in the sidelobe region. (a) Output SINR versus SNR in the independent interference scenario, (b) output SINR versus the INR of the independent sporadic interferences, (c) output SINR versus SNR in the multipath interference scenario, (d) output SINR versus the INR of multipath sporadic interferences.
Figure 8b presents the variation in the output SINR performance with respect to the INR of the sporadic interferences, where . We can observe that when the INR of the sporadic interferences exceeded a certain threshold, the output SINRs of all RAB methods gradually decreased as the INR of the sporadic interferences increased. This phenomenon was due to the fact that sporadic interference suppression is non-adaptive and mainly depends on the SLLs. As a result, the INR of sporadic interferences will dominate the output SINR when it is large enough, regardless of the RAB method. Compared with the other traditional RAB methods, the eigenspace-based method had a higher output SINR and slower performance degradation, due to the lower SLLs in this case. Compared with the original SLL constraints, the robust SLL constraints always achieved a better output SINR. Owing to a capability for generating the lowest SLLs, the proposed method significantly alleviated the effect of sporadic interferences.
Figure 8c illustrates the variation in the output SINR with respect to the input SNR, where the INR of each multipath interference equaled . Apart from the eigenspace method, all other RAB methods exhibited a similar trend in SINR variation as observed in Figure 8a. Even though the output SINRs of all RAB methods were considerably lower than those in the independent unknown sporadic interference case, the proposed method still consistently achieved a higher output SINR compared to the other RAB methods. Furthermore, Figure 8d shows the output SINR performance with the varying INR for three multipath interferences. In comparison with Figure 8b, the output SINR of the proposed method was evidently reduced. Specifically, the output SINR decreased by approximately 7 dB when . We deduced that this SINR degradation is partially attributable to the coherent superposition of multipath interferences after spatial processing. Nevertheless, the proposed method still demonstrated superior performance in terms of output SINR in the multipath interference scenario.
6.7. Computational Cost
To verify the computational efficiency of the proposed method, Figure 9 shows the consumed CPU time versus the number of elements for the proposed and the directly solving (12) methods. We found that the CPU time of the proposed method gently increased with the increase in the element number, while that of the directly solving methods increased remarkably rapidly when the element number exceeded 80. Owing to having significantly less SLL constraints, the proposed method is much more computationally efficient for robust adaptive beamforming.
Figure 9.
Consumed CPU time of the proposed and the directly solving (12) methods.
7. Conclusions
This paper provided an effective SA-based RAB method against array imperfection, which has the ability of accurate SLL control to suppress unknown sporadic interferences. We first explicitly expressed this accurate SLL control as a large number of constraints in the whole sidelobe region under the framework of worst-case RAB. Then, we significantly reduced the number of SLL constraints by simultaneously employing the composite GLQ and subspace approximation. Concretely, we utilized a 4th-order composite GLQ to rapidly calculate a SLL control covariance matrix, and then generated a subspace matrix to approximate the space spanned by all sidelobe SVs according to this covariance matrix. With the aid of the subspace matrix, the proposed RAB under numerous SLL constraints was translated into a SOCP problem containing a single subspace constraint, which was tractable using standard convex optimization toolboxes. As the norm upper bound of SV uncertainty is difficult to determine in practice, we derived the explicit expression of this norm upper bound in three representative array imperfection scenarios, including array geometry error, channel gain-phase error, and wavefront distortion. Numerical results verified that the proposed method could accurately control SLLs in the preset sidelobe region and thus had a significantly better performance for sporadic interference suppression than other typical RAB methods. Owing to the significantly reduced number of sidelobe constraints, the proposed method is more computationally efficient than directly solving the original RAB problem, especially for large-scale arrays.
It is worth pointing out that the proposed method was applied to non-uniform arrays. However, it faces significant challenges in practical implementations, particularly for sparse arrays having large apertures. Under the worst-case assumption, the error bounds are proportional to the array aperture and thus become excessively large in sparse arrays, rendering the optimization problem intractable. In such scenarios, the probabilistic model in [19] could be employed to describe the uncertainty and provide feasible solutions. While a RAB with sidelobe control of non-uniform arrays was not explored in this work, it remains an interesting direction for future study.
Author Contributions
Conceptualization, H.L. and S.C.; methodology, Y.Z., Z.D. and S.C.; software, Y.Z. and Z.D.; validation, Y.Z., Z.D. and S.T.; visualization, Y.Z. and Z.D.; writing—original draft, Y.Z., Z.D. and H.L.; writing—review and editing, S.C., S.T. and J.H.; supervision, H.L. and S.C.; funding acquisition, S.C. and S.T. All authors have read and agreed to the published version of the manuscript.
Funding
This research was funded in part by the National Natural Science Foundation of China under Grant 62171224, and in part by the Key Program of National Natural Science Foundations of China under Grant 41930110.
Data Availability Statement
Data are contained within the article.
Conflicts of Interest
The authors declare no conflicts of interest.
Abbreviations
The following abbreviations are used in this manuscript:
| DBF | Digital beamforming |
| MVDR | Minimum variance distortion response |
| SINR | Signal-to-interference and noise ratio |
| SV | Steering vector |
| DOA | Direction of arrival |
| RAB | Robust beamforming |
| DL | Diagonal loading |
| SNR | Signal-to-noise ratio |
| WCPO | Worst-case performance optimization |
| SCM | Sample covariance matrix |
| INCM | Interference-plus-noise covariance matrix |
| SLL | Sidelobe level |
| SOCP | Second-order cone programming |
| GLQ | Gauss–Legendre quadrature |
| ULA | Uniform linear array |
| RMSE | Relative mean square error |
| INR | Interference and noise ratio |
| SQP | Sequence quadratic programming |
| SMI | Sample matrix inverter |
| LSMI | Loaded sample matrix inverter |
| PSL | Peak sidelobe levels |
Appendix A. Composite GLQ for Calculating R Θ S
The GLQ is a type of Gauss interpolation integral formula and represents one of the most accurate methods in terms of algebraic precision among interpolation-based quadrature formulas. A generalized interpolation-based Gaussian quadrature formula with N points can be expressed as
where is the Gauss integral node, , and are the upper and lower bound of the integral range, E denotes the residual error, and is the coefficient defined as
where is the polynominal of x. An appropriate selection of can give the Gauss quadrature formula an algebraic precision of . If we select the N-th Legendre polynomial as , namely,
we can choose the roots of the Legendre polynomial as Gauss integral nodes in the Gaussian quadrature Formula (A1). In other words, are the roots of , and the weights in (A2) can be obtained by
This is the standard GLQ [46].
Considering the balance between computational complexity and algebraic precision, we choose the 4th-order GLQ to compute the integral. Moreover, we select the integral interval as to simplify the calculation, where and . Subsequently, the Equation (A1) can be reformulated as
where are the roots of the 4th-order Legendre polynomial
Then, the weights can be obtained as
Ignoring the residual error E, we can approximate the Formula (A5) as
By using a simple linear transform, we can also approximate the general integral as
where
Although the Gauss quadrature formula is numerically stable, we do not use higher-order quadrature formulas to obtain a better quadrature accuracy in practice. That is because the roots of the Legendre polynomial are difficult to find in high-order cases. However, as for the 4th-order Legendre polynomial, the approximation error in (A8) significantly grows when the integral interval of is sufficiently large, leading to severe performance degradation of the proposed subspace approximation-based RAB method. To tackle this issue, we adopt a composite GLQ scheme, which divides the large integral interval into several small subintervals and then uses the GLQ in each subinterval. Based on this scheme, we can carry out the GLQ calculation using a low-order Legendre polynomial in large integral interval cases, without an enlarged approximation error.
Let be the division points of the interval satisfying . Then we have
Inserting (A8) into (A10), we obtain
where is determined by (A9). When the interval is evenly divided, i.e., , (A11) is simplified as
By using the composite 4th-order GLQ, we therefore calculate the matrix in (13) as
where , and are the lower and upper bounds of the integral angle range .
References
- Er, M. Array pattern synthesis with a controlled mean-square sidelobe level. IEEE Trans. Signal Process. 1992, 40, 977–981. [Google Scholar] [CrossRef]
- Liu, W.; Haardt, M.; Greco, M.S.; Mecklenbräuker, C.F.; Willett, P. Twenty-five years of sensor array and multichannel signal processing: A review of progress to date and potential research directions. IEEE Signal Process. Mag. 2023, 40, 80–91. [Google Scholar] [CrossRef]
- Chang, S.; Deng, Y.; Zhang, Y.; Zhao, Q.; Wang, R.; Zhang, K. An advanced scheme for range ambiguity suppression of spaceborne SAR based on blind source separation. IEEE Trans. Geosci. Remote Sens. 2022, 60, 5230112. [Google Scholar] [CrossRef]
- Elbir, A.M.; Mishra, K.V.; Vorobyov, S.A.; Heath, R.W. Twenty-five years of advances in beamforming: From convex and nonconvex optimization to learning techniques. IEEE Signal Process. Mag. 2023, 40, 118–131. [Google Scholar] [CrossRef]
- Capon, J. High-resolution frequency-wavenumber spectrum analysis. Proc. IEEE 1969, 57, 1408–1418. [Google Scholar] [CrossRef]
- Pedersen, K.; Mogensen, P.; Fleury, B. A stochastic model of the temporal and azimuthal dispersion seen at the base station in outdoor propagation environments. IEEE Trans. Veh. Technol. 2000, 49, 437–447. [Google Scholar] [CrossRef]
- Goldberg, J.; Messer, H. Inherent limitations in the localization of a coherently scattered source. IEEE Trans. Signal Process. 1998, 46, 3441–3444. [Google Scholar] [CrossRef]
- Vorobyov, S.A.; Gershman, A.B.; Luo, Z.Q. Robust adaptive beamforming using worst-case performance optimization: A solution to the signal mismatch problem. IEEE Trans. Signal Process. 2003, 51, 313–324. [Google Scholar] [CrossRef]
- Agrawal, M.; Prasad, S. Robust adaptive beamforming for wide-band, moving, and coherent jammers via uniform linear arrays. IEEE Trans. Antennas Propag. 1999, 47, 1267–1275. [Google Scholar] [CrossRef]
- Wang, Y.; Zhu, D.; Jin, G.; Yu, Q.; Wang, P.; Niu, S.; Cheng, Y.; Wu, D. A robust digital beamforming on receive in elevation for airborne MIMO SAR system. IEEE Trans. Geosci. Remote Sens. 2022, 60, 5233619. [Google Scholar] [CrossRef]
- Chang, L.; Yeh, C.C. Performance of DMI and eigenspace-based beamformers. IEEE Trans. Antennas Propag. 1992, 40, 1336–1347. [Google Scholar] [CrossRef]
- Carlson, B.D. Covariance matrix estimation errors and diagonal loading in adaptive arrays. IEEE Trans. Aerosp. Electron. Syst. 1988, 24, 397–401. [Google Scholar] [CrossRef]
- Shahbazpanahi, S.; Gershman, A.B.; Luo, Z.Q.; Wong, K.M. Robust adaptive beamforming for general-rank signal models. IEEE Trans. Signal Process. 2003, 51, 2257–2269. [Google Scholar] [CrossRef]
- Li, J.; Stoica, P.; Wang, Z. On robust Capon beamforming and diagonal loading. IEEE Trans. Signal Process. 2003, 51, 1702–1715. [Google Scholar] [CrossRef]
- Stoica, P.; Wang, Z.; Li, J. Robust Capon beamforming. IEEE Signal Process. Lett. 2003, 10, 172–175. [Google Scholar] [CrossRef]
- Lorenz, R.G.; Boyd, S.P. Robust minimum variance beamforming. IEEE Trans. Signal Process. 2005, 53, 1684–1696. [Google Scholar] [CrossRef]
- Jiang, X.; Zeng, W.J.; Yasotharan, A.; So, H.C.; Kirubarajan, T. Minimum dispersion beamforming for non-Gaussian signals. IEEE Trans. Signal Process. 2014, 62, 1879–1893. [Google Scholar] [CrossRef]
- Kim, S.J.; Magnani, A.; Mutapcic, A.; Boyd, S.P.; Luo, Z.Q. Robust beamforming via worst-case SINR maximization. IEEE Trans. Signal Process. 2008, 56, 1539–1547. [Google Scholar] [CrossRef]
- Vorobyov, S.A.; Chen, H.; Gershman, A.B. On the relationship between robust minimum variance beamformers with probabilistic and worst-case distortionless response constraints. IEEE Trans. Signal Process. 2008, 56, 5719–5724. [Google Scholar] [CrossRef]
- Huang, Y.; Fu, H.; Vorobyov, S.A.; Luo, Z.Q. Robust adaptive beamforming via worst-case SINR maximization with nonconvex uncertainty sets. IEEE Trans. Signal Process. 2023, 71, 218–232. [Google Scholar] [CrossRef]
- Hassanien, A.; Vorobyov, S.A.; Wong, K.M. Robust adaptive beamforming using sequential quadratic programming: An iterative solution to the mismatch problem. IEEE Signal Process. Lett. 2008, 15, 733–736. [Google Scholar] [CrossRef]
- Luo, T.; Chen, P.; Cao, Z.; Zheng, L.; Wang, Z. URGLQ: An efficient covariance matrix reconstruction method for robust adaptive beamforming. IEEE Trans. Aerosp. Electron. Syst. 2023, 59, 5634–5645. [Google Scholar] [CrossRef]
- Gu, Y.; Leshem, A. Robust adaptive beamforming based on interference covariance matrix reconstruction and steering vector estimation. IEEE Trans. Signal Process. 2012, 60, 3881–3885. [Google Scholar] [CrossRef]
- Zheng, Z.; Zheng, Y.; Wang, W.Q.; Zhang, H. Covariance matrix reconstruction with interference steering vector and power estimation for robust adaptive beamforming. IEEE Trans. Veh. Technol. 2018, 67, 8495–8503. [Google Scholar] [CrossRef]
- Huang, L.; Zhang, J.; Xu, X.; Ye, Z. Robust adaptive beamforming with a novel interference-plus-noise covariance matrix reconstruction method. IEEE Trans. Signal Process. 2015, 63, 1643–1650. [Google Scholar] [CrossRef]
- Yuan, X.; Gan, L. Robust adaptive beamforming via a novel subspace method for interference covariance matrix reconstruction. Signal Process. 2017, 130, 233–242. [Google Scholar] [CrossRef]
- Huang, Y.; Zhou, M.; Vorobyov, S.A. New designs on MVDR robust adaptive beamforming based on optimal steering vector estimation. IEEE Trans. Signal Process. 2019, 67, 3624–3638. [Google Scholar] [CrossRef]
- Zhou, C.; Gu, Y.; He, S.; Shi, Z. A Robust and efficient algorithm for coprime array adaptive beamforming. IEEE Trans. Veh. Technol. 2018, 67, 1099–1112. [Google Scholar] [CrossRef]
- He, J.; Shu, T.; Dakulagi, V.; Li, L. Simultaneous interference localization and array calibration for robust adaptive beamforming with partly calibrated arrays. IEEE Trans. Aerosp. Electron. Syst. 2021, 57, 2850–2863. [Google Scholar] [CrossRef]
- Monga, V.; Li, Y.; Eldar, Y.C. Algorithm Unrolling: Interpretable, Efficient Deep Learning for Signal and Image Processing. IEEE Signal Process. Mag. 2021, 38, 18–44. [Google Scholar] [CrossRef]
- Balevi, E.; Andrews, J.G. Unfolded Hybrid Beamforming with GAN Compressed Ultra-Low Feedback Overhead. IEEE Trans. Wirel. Commun. 2021, 20, 8381–8392. [Google Scholar] [CrossRef]
- Shi, S.; Cai, Y.; Hu, Q.; Champagne, B.; Hanzo, L. Deep-Unfolding Neural-Network Aided Hybrid Beamforming Based on Symbol-Error Probability Minimization. IEEE Trans. Veh. Technol. 2023, 72, 529–545. [Google Scholar] [CrossRef]
- Van Trees, H.L. Optimum Array Processing: Part IV of Detection, Estimation, and Modulation Theory; John Wiley & Sons: Hoboken, NJ, USA, 2002. [Google Scholar]
- Benesty, J.; Cohen, I.; Chen, J. Beampattern Design. In Fundamentals of Signal Enhancement and Array Signal Processing; John Wiley & Sons: Hoboken, NJ, USA, 2018; pp. 361–395. [Google Scholar] [CrossRef]
- Liu, J.; Gershman, A.; Luo, Z.Q.; Wong, K.M. Adaptive beamforming with sidelobe control: A second-order cone programming approach. IEEE Signal Process. Lett. 2003, 10, 331–334. [Google Scholar] [CrossRef]
- Wang, W.; Yan, S.; Mao, L.; Guo, X. Robust minimum variance beamforming with sidelobe-level control using the alternating direction method of multipliers. IEEE Trans. Aerosp. Electron. Syst. 2021, 57, 3506–3519. [Google Scholar] [CrossRef]
- Zheng, Z.; Fu, Y.; Wang, W.Q.; So, H.C. Sparse array design for adaptive beamforming via semidefinite relaxation. IEEE Signal Process. Lett. 2020, 27, 925–929. [Google Scholar] [CrossRef]
- Li, H.; Ran, L.; He, C.; Ding, Z.; Chen, S. Adaptive beamforming with sidelobe level control for multiband sparse linear array. Remote Sens. 2023, 15, 4929. [Google Scholar] [CrossRef]
- Li, H.; Ran, L.; Chen, S.; Cheng, Z.; Xi, F. Antenna selection and receive beamforming for multi-functional sparse linear array via consensus ADMM. IEEE Trans. Veh. Technol. 2024, 73, 10435–10450. [Google Scholar] [CrossRef]
- Grant, M.; Boyd, S. CVX: Matlab Software for Disciplined Convex Programming, Version 2.1. 2014. Available online: https://cvxr.com/cvx/ (accessed on 16 February 2025).
- Zhou, M.; Ma, X.; Shen, P.; Sheng, W. Weighted Subspace-Constrained Adaptive Beamforming for Sidelobe Control. IEEE Commun. Lett. 2019, 23, 458–461. [Google Scholar] [CrossRef]
- Ho, K.C.; Yang, L. On the use of a calibration emitter for source localization in the presence of sensor position uncertainty. IEEE Trans. Signal Process. 2008, 56, 5758–5772. [Google Scholar] [CrossRef]
- Zhang, M.; Zhu, Z. A method for direction finding under sensor gain and phase uncertainties. IEEE Trans. Antennas Propag. 1995, 43, 880–883. [Google Scholar] [CrossRef]
- Khabbazibasmenj, A.; Vorobyov, S.A.; Hassanien, A. Robust adaptive beamforming based on steering vector estimation with as little as possible prior information. IEEE Trans. Signal Process. 2012, 60, 2974–2987. [Google Scholar] [CrossRef]
- Cox, H.; Zeskind, R.; Owen, M. Robust adaptive beamforming. IEEE Trans. Acoust. Speech Signal Process. 1987, 35, 1365–1376. [Google Scholar] [CrossRef]
- Laurie, D.P. Computation of Gauss-type quadrature formulas. J. Comput. Appl. Math. 2001, 127, 201–217. [Google Scholar] [CrossRef]
Disclaimer/Publisher’s Note: The statements, opinions and data contained in all publications are solely those of the individual author(s) and contributor(s) and not of MDPI and/or the editor(s). MDPI and/or the editor(s) disclaim responsibility for any injury to people or property resulting from any ideas, methods, instructions or products referred to in the content. |
© 2025 by the authors. Licensee MDPI, Basel, Switzerland. This article is an open access article distributed under the terms and conditions of the Creative Commons Attribution (CC BY) license (https://creativecommons.org/licenses/by/4.0/).








