Performance Boundaries and Tradeoffs in Super-Resolution Imaging Technologies for Space Targets
Abstract
1. Introduction
- (1)
- Following model transformation from a nonlinear ISAR imaging problem into a linear spectrum estimation problem, we derive mathematical expressions for the upper and lower bounds of cross-range resolution in ISAR imaging based on the latest computational resolution limit theory of the line spectrum reconstruction problem.
- (2)
- We establish an explicit relationship between the performance of ISAR super-resolution imaging algorithms, traditional Rayleigh limit, number of scatterers, and peak SNR of the scatterers, facilitating a comprehensive analysis of the tradeoffs and constraints among these factors in ISAR imaging.
- (3)
- We analyze the minimum resource requirements for the desired cross-range resolution and explore the tradeoffs among various influencing factors across different space target ISAR imaging scenarios. Through detailed simulations, we assess the impact of these tradeoffs on imaging efficiency, providing insights into optimizing resource configuration for enhanced imaging performance.
2. Methodology
2.1. ISAR Imaging Model
2.2. Model Transformation
2.3. Cross-Range Resolution Limit
2.3.1. Rayleigh Limit
2.3.2. Computational Resolution Limit
2.3.3. Relationship Between and
2.4. Guidelines for Enhancing Imaging Efficiency
3. Influencing Factors and Performance Limits
3.1. Super-Resolution Influencing Factors
3.2. Tradeoffs Between Super-Resolution Influencing Factors
3.3. Parameter Limits
4. Simulation
4.1. Imaging Scenario Setting
4.2. Super-Resolution Method Performance
4.3. Cross-Range Resolution Contrast
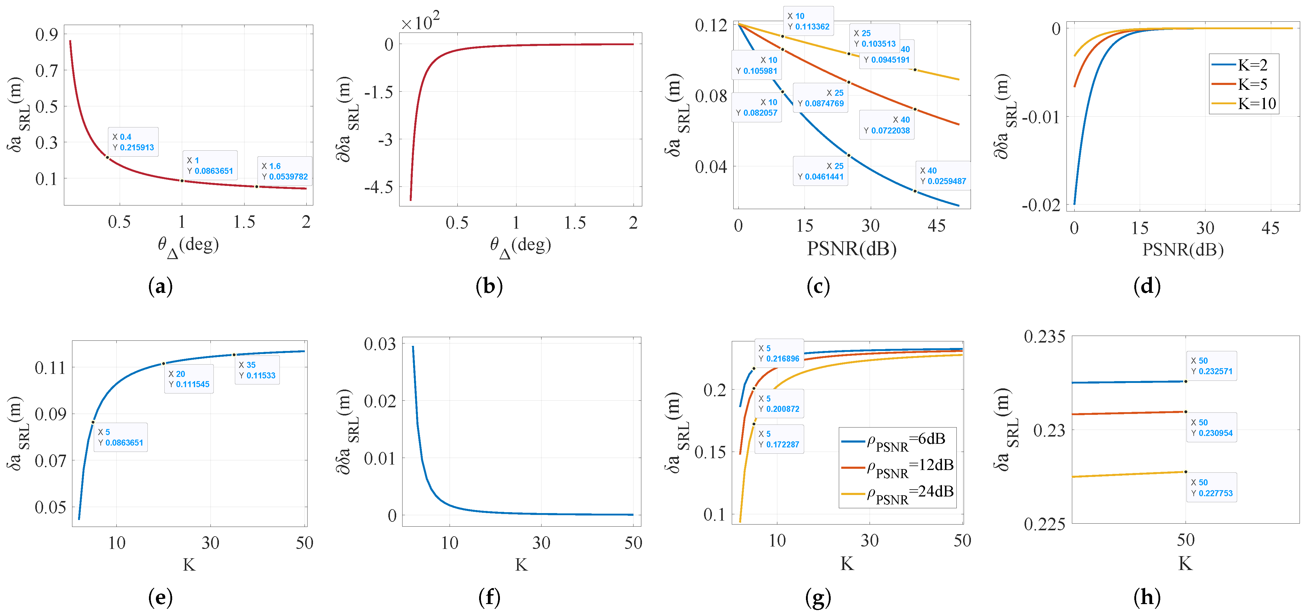
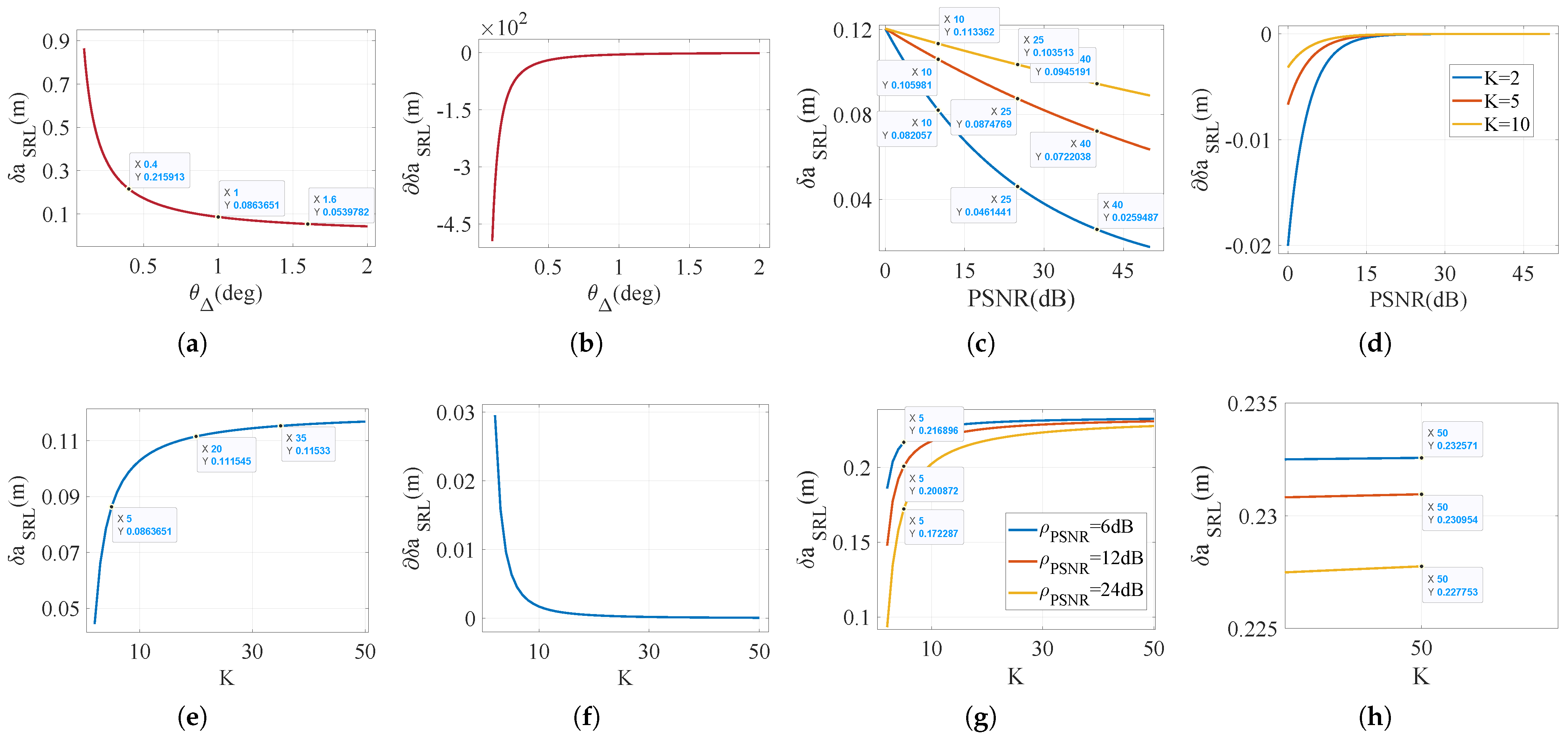
4.4. Impacts of Influencing Factors on
4.5. Parameter Limits
4.6. Tradeoff Between and with Constant E
4.7. Tradeoff Between and Under Different Orbits
5. Conclusions
Author Contributions
Funding
Data Availability Statement
Acknowledgments
Conflicts of Interest
Appendix A
Appendix B
References
- Zhang, L.; Xing, M.; Qiu, C.W.; Li, J.; Bao, Z. Achieving higher resolution ISAR imaging with limited pulses via compressed sampling. IEEE Geosci. Remote Sens. Lett. 2009, 6, 567–571. [Google Scholar] [CrossRef]
- Son, J.S.; Thomas, G.; Flores, B. Range-Doppler Radar Imaging and Motion Compensation; Artech House, Inc.: Norwood, MA, USA, 2001. [Google Scholar]
- Ye, P.; Xing, M.D.; Xia, X.G.; Sun, G.C.; Li, Y.; Gao, Y. ISAR signal tracking and high-resolution imaging by Kalman filtering. Remote Sens. 2021, 13, 3389. [Google Scholar] [CrossRef]
- Berizzi, F.; Mese, E.D.; Diani, M.; Martorella, M. High-resolution ISAR imaging of maneuvering targets by means of the range instantaneous Doppler technique: Modeling and performance analysis. IEEE Trans. Image Process. 2001, 10, 1880–1890. [Google Scholar] [CrossRef] [PubMed]
- Wang, Y.; Huang, X.; Zhang, Q. Rotation parameters estimation and cross-range scaling research for range instantaneous Doppler ISAR images. IEEE Sens. J. 2020, 20, 7010–7020. [Google Scholar] [CrossRef]
- Wang, Y.; Lin, Y. ISAR imaging of non-uniformly rotating target via range-instantaneous-Doppler-derivatives algorithm. IEEE J. Sel. Top. Appl. Earth Obs. Remote Sens. 2013, 7, 167–176. [Google Scholar] [CrossRef]
- Huang, P.; Zhan, M.; Yang, Z.; Liu, X.; Liao, G.; Liu, Z.; Du, W. High-resolution ISAR imaging for maneuvering targets based on iterative adaptive processing. IEEE Trans. Comput. Imaging 2021, 7, 1093–1108. [Google Scholar] [CrossRef]
- Li, D.; Zhan, M.; Liu, H.; Liao, Y.; Liao, G. A robust translational motion compensation method for ISAR imaging based on keystone transform and fractional Fourier transform under low SNR environment. IEEE Trans. Aerosp. Electron. Syst. 2017, 53, 2140–2156. [Google Scholar] [CrossRef]
- Abratkiewicz, K. Windowed Two-Dimensional Fourier Transform Concentration and Its Application to ISAR Imaging. IEEE Trans. Image Process. 2023, 32, 6260–6273. [Google Scholar] [CrossRef]
- Djurović, I.; Thayaparan, T.; Stanković, L. Adaptive local polynomial Fourier transform in ISAR. EURASIP J. Adv. Signal Process. 2006, 2006, 36093. [Google Scholar] [CrossRef][Green Version]
- Liu, F.; Feng, C.; Huang, D.; Guo, X. Fast ISAR imaging method for complex manoeuvring target based on local polynomial transform-fast chirp Fourier transform. IET Radar Sonar Navig. 2021, 15, 666–676. [Google Scholar] [CrossRef]
- Abratkiewicz, K.; Gambrych, J. Real-time variants of vertical synchrosqueezing: Application to radar remote sensing. IEEE J. Sel. Top. Appl. Earth Obs. Remote Sens. 2022, 15, 1760–1774. [Google Scholar] [CrossRef]
- Abratkiewicz, K.; Drozdowicz, J.; Samczyński, P. Vertical Synchrosqueezing for High-Resolution Radar Imaging. IEEE Trans. Geosci. Remote Sens. 2023, 61, 5221613. [Google Scholar] [CrossRef]
- Wang, Z.; Yang, W.; Chen, Z.; Zhao, Z.; Hu, H.; Qi, C. A novel adaptive joint time frequency algorithm by the neural network for the ISAR rotational compensation. Remote Sens. 2018, 10, 334. [Google Scholar] [CrossRef]
- Zang, B.; Zhu, M.; Zhou, X.; Zhong, L. Application of S-transform in ISAR imaging. Electronics 2019, 8, 676. [Google Scholar] [CrossRef]
- Vehmas, R.; Neuberger, N. Inverse synthetic aperture radar imaging: A historical perspective and state-of-the-art survey. IEEE Access 2021, 9, 113917–113943. [Google Scholar] [CrossRef]
- Wu, W.; Xu, S.; Hu, P.; Zou, J.; Chen, Z. Inverse synthetic aperture radar imaging of targets with complex motion based on optimized non-uniform rotation transform. Remote Sens. 2018, 10, 593. [Google Scholar] [CrossRef]
- Zuo, L.; Wang, B. ISAR imaging of non-uniform rotating targets based on optimized matching Fourier transform. IEEE Access 2020, 8, 64324–64330. [Google Scholar] [CrossRef]
- Zheng, J.; Su, T.; Liu, H.; Liao, G.; Liu, Z.; Liu, Q.H. Radar high-speed target detection based on the frequency-domain deramp-keystone transform. IEEE J. Sel. Top. Appl. Earth Obs. Remote Sens. 2015, 9, 285–294. [Google Scholar] [CrossRef]
- Yuan, Z.; Wang, J.; Zhao, L.; Gao, M. An MTRC-AHP compensation algorithm for Bi-ISAR imaging of space targets. IEEE Sens. J. 2019, 20, 2356–2367. [Google Scholar] [CrossRef]
- Liu, Y.; Xu, S.; Chen, Z.; Yuan, B. MTRC compensation in high-resolution ISAR imaging via improved polar format algorithm based on ICPF. EURASIP J. Adv. Signal Process. 2014, 2014, 179. [Google Scholar] [CrossRef]
- Liu, L.; Qi, M.S.; Zhou, F. A novel non-uniform rotational motion estimation and compensation method for maneuvering targets ISAR imaging utilizing particle swarm optimization. IEEE Sens. J. 2017, 18, 299–309. [Google Scholar] [CrossRef]
- Shao, S.; Liu, H.; Zhang, L.; Wang, P.; Wei, J. Ultrawideband ISAR imaging of maneuvering targets with joint high-order motion compensation and azimuth scaling. IEEE Trans. Geosci. Remote Sens. 2021, 60, 5214621. [Google Scholar] [CrossRef]
- Xing, M.; Wu, R.; Bao, Z. High resolution ISAR imaging of high speed moving targets. IEE Proc.-Radar Sonar Navig. 2005, 152, 58–67. [Google Scholar] [CrossRef]
- Chen, X.; Dong, Z.; Zhang, Z.; Tu, C.; Yi, T.; He, Z. Very High-Resolution Synthetic Aperture Radar Systems and Imaging: A Review. IEEE J. Sel. Top. Appl. Earth Obs. Remote Sens. 2024, 17, 7104–7123. [Google Scholar] [CrossRef]
- Giusti, E.; Cataldo, D.; Bacci, A.; Tomei, S.; Martorella, M. ISAR image resolution enhancement: Compressive sensing versus state-of-the-art super-resolution techniques. IEEE Trans. Aerosp. Electron. Syst. 2018, 54, 1983–1997. [Google Scholar] [CrossRef]
- Wu, K.; Cui, W.; Xu, X. Superresolution radar imaging via peak search and compressed sensing. IEEE Geosci. Remote Sens. Lett. 2022, 19, 1–5. [Google Scholar] [CrossRef]
- Tomei, S.; Bacci, A.; Giusti, E.; Martorella, M.; Berizzi, F. Compressive sensing-based inverse synthetic radar imaging imaging from incomplete data. IET Radar Sonar Navig. 2016, 10, 386–397. [Google Scholar] [CrossRef]
- Huang, X.; Ding, J.; Xu, Z. Real-time super-resolution ISAR imaging using unsupervised learning. IEEE Geosci. Remote Sens. Lett. 2021, 19, 4501505. [Google Scholar] [CrossRef]
- Zhang, C.; Zhang, Z.; Deng, Y.; Zhang, Y.; Chong, M.; Tan, Y.; Liu, P. Blind super-resolution for SAR images with speckle noise based on deep learning probabilistic degradation model and SAR priors. Remote Sens. 2023, 15, 330. [Google Scholar] [CrossRef]
- Wei, Y.; Li, Y.; Ding, Z.; Wang, Y.; Zeng, T.; Long, T. SAR parametric super-resolution image reconstruction methods based on ADMM and deep neural network. IEEE Trans. Geosci. Remote Sens. 2021, 59, 10197–10212. [Google Scholar] [CrossRef]
- Rayleigh. XXXI. Investigations in optics, with special reference to the spectroscope. Lond. Edinb. Dublin Philos. Mag. J. Sci. 1879, 8, 261–274. [Google Scholar] [CrossRef]
- Donoho, D.L. Superresolution via sparsity constraints. SIAM J. Math. Anal. 1992, 23, 1309–1331. [Google Scholar] [CrossRef]
- Liao, W. MUSIC for multidimensional spectral estimation: Stability and super-resolution. IEEE Trans. Signal Process. 2015, 63, 6395–6406. [Google Scholar] [CrossRef]
- Li, W.; Zhu, Z.; Gao, W.; Liao, W. Stability and super-resolution of MUSIC and ESPRIT for multi-snapshot spectral estimation. IEEE Trans. Signal Process. 2022, 70, 4555–4570. [Google Scholar] [CrossRef]
- Li, W.; Liao, W.; Fannjiang, A. Super-resolution limit of the ESPRIT algorithm. IEEE Trans. Inf. Theory 2020, 66, 4593–4608. [Google Scholar] [CrossRef]
- Li, W.; Liao, W. Stable super-resolution limit and smallest singular value of restricted Fourier matrices. Appl. Comput. Harmon. Anal. 2021, 51, 118–156. [Google Scholar] [CrossRef]
- Yang, Z. Nonasymptotic performance analysis of ESPRIT and spatial-smoothing ESPRIT. IEEE Trans. Inf. Theory 2022, 69, 666–681. [Google Scholar] [CrossRef]
- Morgenshtern, V.I.; Candes, E.J. Super-resolution of positive sources: The discrete setup. SIAM J. Imaging Sci. 2016, 9, 412–444. [Google Scholar] [CrossRef]
- Denoyelle, Q.; Duval, V.; Peyré, G. Support recovery for sparse super-resolution of positive measures. J. Fourier Anal. Appl. 2017, 23, 1153–1194. [Google Scholar] [CrossRef]
- Candès, E.J.; Fernandez-Granda, C. Towards a mathematical theory of super-resolution. Commun. Pure Appl. Math. 2014, 67, 906–956. [Google Scholar] [CrossRef]
- Demanet, L.; Nguyen, N. The recoverability limit for superresolution via sparsity. arXiv 2015, arXiv:1502.01385. [Google Scholar]
- Batenkov, D.; Demanet, L.; Goldman, G.; Yomdin, Y. Conditioning of partial nonuniform Fourier matrices with clustered nodes. SIAM J. Matrix Anal. Appl. 2020, 41, 199–220. [Google Scholar] [CrossRef]
- Qiao, H.; Shahsavari, S.; Pal, P. Super-resolution with noisy measurements: Reconciling upper and lower bounds. In Proceedings of the ICASSP 2020-2020 IEEE International Conference on Acoustics, Speech and Signal Processing (ICASSP), Barcelona, Spain, 4–8 May 2020; IEEE: Piscataway, NJ, USA, 2020; pp. 9304–9308. [Google Scholar]
- Batenkov, D.; Goldman, G.; Yomdin, Y. Super-resolution of near-colliding point sources. Inf. Inference J. IMA 2021, 10, 515–572. [Google Scholar]
- Liu, P.; Ammari, H. A mathematical theory of super-resolution and two-point resolution. Forum Math. Sigma 2024, 12, e83. [Google Scholar] [CrossRef]
- Liu, P.; He, Y.; Ammari, H. A mathematical theory of resolution limits for super-resolution of positive sources. arXiv 2022, arXiv:2211.13541. [Google Scholar]
- Liu, P.; Ammari, H. Super-resolution of positive near-colliding point sources. Inf. Inference J. IMA 2023, 12, 3087–3111. [Google Scholar] [CrossRef]
- Jordan, A.N.; Howell, J.C. Fundamental Limits on Subwavelength Range Resolution. Phys. Rev. Appl. 2023, 20, 064046. [Google Scholar] [CrossRef]
- Brown, W.M.; Fredricks, R.J. Range-Doppler imaging with motion through resolution cells. IEEE Trans. Aerosp. Electron. Syst. 1969, AES-5, 98–102. [Google Scholar] [CrossRef]
- Howell, J.C.; Jordan, A.N.; Šoda, B.; Kempf, A. Super interferometric range resolution. Phys. Rev. Lett. 2023, 131, 053803. [Google Scholar] [CrossRef]
- Skolnik, M.I. Radar Handbook; McGraw-Hill: New York, NY, USA, 1970. [Google Scholar]
- Yuan, Z.; Wang, J.; Zhao, L.; Xiong, D.; Gao, M. Phase unwrapping for bistatic InISAR imaging of space targets. IEEE Trans. Aerosp. Electron. Syst. 2018, 55, 1794–1805. [Google Scholar] [CrossRef]
- MacDonald, M.; Abouzahra, M.; Stambaugh, J. Overview of High-Power and Wideband Radar Technology Development at MIT Lincoln Laboratory. Remote Sens. 2024, 16, 1530. [Google Scholar] [CrossRef]









| Symbol | Description |
|---|---|
| x, , | scalar, vector, matrix |
| fast Fourier transform (FFT) | |
| PSF function | |
| , c, | carrier frequency, speed of light, carrier wavelength |
| , | bandwidth, angular velocity of the azimuth angle |
| cutoff frequency of noisy Fourier data | |
| , , | range, cross-range, elevation coordinate of scatterer q |
| equivalent cross-range coordinate of scatterer q | |
| L | total scatterer number of the target |
| K | scatterer number within the mth range profile |
| scattering coefficient of scatterer q after range compression | |
| minimum value of for | |
| azimuth spectral amplitude of scatterer q | |
| scatterer set within the mth range profile | |
| coherent processing interval | |
| azimuth cumulative rotation angle of radar LOS during the | |
| peak signal-to-noise ratio of the signal echo after coherent integration | |
| cross-range resolution of a 2D ISAR image | |
| , | Rayleigh limit, computational resolution limit of |
| , | lower and upper bounds of |
| D | equivalent cross-range resolution of a 2D ISAR image |
| , | Rayleigh limit, computational resolution limit of D |
| fast time | |
| slow time | |
| uniform virtual slow time | |
| , | noise in the , domain |
| , | azimuth, elevation angle of radar LOS |
| instantaneous round-trip range of scatterer q | |
| Doppler frequency | |
| the noisy Fourier data of | |
| the linear spectrum of | |
| range–slow time ISAR image | |
| range–Doppler ISAR image |
| COSMOS 2494 | ||
| 1 39491U 13078B 24183.51288981 .00004231 00000-0 37027-3 0 9997 | ||
| 2 39491 82.4151 229.6952 0021025 105.6371 254.7173 14.96334548 571512 | ||
| NAVSTAR 81 | ||
| 1 48859U 21054A 24184.56006463 -.00000094 00000-0 00000+0 0 9998 | ||
| 2 48859 55.3665 1.1197 0015532 218.3626 150.8174 2.00557019 22413 | ||
| BeiDou 9 | ||
| 1 37763U 11038A 24183.90000135 .00000035 00000-0 00000-0 0 9993 | ||
| 2 37763 54.5617 172.0429 0126267 229.1018 296.8774 1.00256110 47479 | ||
| Parameter | Value | |
|---|---|---|
| Radar Station Location | Latitude | 46°N |
| Longitude | 130°E | |
| Altitude | 0 km | |
| Radar Carrier | 16.7 GHz | |
| Radar Bandwidth | 2 GHz | |
| Duty Cycle | 20% | |
| PRF | 50 Hz | |
| Location (m) | ||||||
|---|---|---|---|---|---|---|
| case1 | Point Source | 0.7 | 0.8 | 0.9 | 1.0 | 1.1 |
| FT | 0.700 | 0.799 | 0.898 | 0.996 | 1.104 | |
| MUSIC | 0.701 | 0.799 | 0.901 | 0.999 | 1.101 | |
| case2 | Point Source | 0.6 | 0.645 | 0.69 | 0.735 | 0.78 |
| FT | 0.619 | ∖ | 0.691 | ∖ | 0.763 | |
| MUSIC | 0.598 | 0.646 | 0.689 | 0.736 | 0.779 | |
| case3 | Point Source | 0.5 | 0.53 | 0.56 | 0.59 | 0.62 |
| FT | ∖ | 0.521 | ∖ | 0.601 | ∖ | |
| MUSIC | 0.501 | 0.528 | 0.559 | 0.591 | 0.618 | |
| case4 | Point Source | 0.3 | 0.307 | 0.314 | 0.321 | 0.328 |
| FT | ∖ | ∖ | 0.314 | ∖ | ∖ | |
| MUSIC | 0.300 | ∖ | 0.312 | ∖ | 0.328 | |
| Scatterer Numbers | PSNR (dB) | (m) | Reduction Rate (%) |
|---|---|---|---|
| 10 | 0.082 | \ | |
| 25 | 0.046 | 43.8% | |
| 40 | 0.026 | 43.8% | |
| 10 | 0.106 | \ | |
| 25 | 0.087 | 17.5% | |
| 40 | 0.072 | 17.5% | |
| 10 | 0.113 | \ | |
| 25 | 0.104 | 8.69% | |
| 40 | 0.095 | 8.69% |
| Scatterer Numbers | PSNR (dB) | (%) | Reduction Rate (%) |
|---|---|---|---|
| 6 | 21.69 | \ | |
| 12 | 20.09 | 7.37% | |
| 24 | 17.23 | 14.24% | |
| 6 | 23.26 | \ | |
| 12 | 23.10 | 0.69% | |
| 24 | 22.78 | 1.39% |
Disclaimer/Publisher’s Note: The statements, opinions and data contained in all publications are solely those of the individual author(s) and contributor(s) and not of MDPI and/or the editor(s). MDPI and/or the editor(s) disclaim responsibility for any injury to people or property resulting from any ideas, methods, instructions or products referred to in the content. |
© 2025 by the authors. Licensee MDPI, Basel, Switzerland. This article is an open access article distributed under the terms and conditions of the Creative Commons Attribution (CC BY) license (https://creativecommons.org/licenses/by/4.0/).
Share and Cite
He, X.; Liu, P.; Wang, J. Performance Boundaries and Tradeoffs in Super-Resolution Imaging Technologies for Space Targets. Remote Sens. 2025, 17, 696. https://doi.org/10.3390/rs17040696
He X, Liu P, Wang J. Performance Boundaries and Tradeoffs in Super-Resolution Imaging Technologies for Space Targets. Remote Sensing. 2025; 17(4):696. https://doi.org/10.3390/rs17040696
Chicago/Turabian StyleHe, Xiaole, Ping Liu, and Junling Wang. 2025. "Performance Boundaries and Tradeoffs in Super-Resolution Imaging Technologies for Space Targets" Remote Sensing 17, no. 4: 696. https://doi.org/10.3390/rs17040696
APA StyleHe, X., Liu, P., & Wang, J. (2025). Performance Boundaries and Tradeoffs in Super-Resolution Imaging Technologies for Space Targets. Remote Sensing, 17(4), 696. https://doi.org/10.3390/rs17040696

