Abstract
Image registration is a prerequisite for many multi-source remote sensing image fusion applications. However, due to differences in imaging factors such as sensor type, imaging time, resolution, and viewing angle, multi-source image registration faces challenges of multidimensional coupling such as radiation, scale, and directional differences. To address this issue, this paper proposes a Siamese network based on cross-domain robust feature decoupling as an image registration framework (CRS-Net), aiming to improve the robustness of multi-source image features across domains, scales, and rotations. Firstly, we design Siamese multiscale encoders and introduce a rotation-invariant convolutional layer without additional training parameters, achieving natural invariance to any rotation. Secondly, we propose a modality-independent decoder that utilizes the self-similarity of feature neighborhoods to excavate stable high-order structural information. Thirdly, we introduce cluster-aware contrastive constraints to learn discriminative and stable keypoint pairs. Finally, we design three multi-source remote sensing datasets and conduct sufficient experiments. Numerous experimental results show that our proposed method outperforms other SOTA methods and achieves more accurate registration in complex multi-source remote sensing scenes.
1. Introduction
The purpose of multi-source remote sensing image registration is to align the remote sensing images of the same scene taken at different times, with different sensors or on different platforms in the spatial domain [1]. With the increasing abundance of multi-source remote sensing images obtained, researching multi-source remote sensing image fusion processing technology and fully utilizing multi-source complementary content to mine deep information has become a research hotspot. As a prerequisite for multi-source remote sensing fusion processing, image registration has a great demand in applications such as image fusion [2], change detection [3], and super-resolution [4]. However, significant differences such as radiometric differences, geometric differences, perspective differences, and temporal differences between multi-source remote sensing images pose great challenges to accurate registration tasks, as shown in Figure 1.
Figure 1.
Example of multi-source remote sensing images. In (a–c), the top are optical images, and the bottom are SAR images. In (d,e), the visible images are above, and the infrared images are below. A significant nonlinear radiation difference can be observed in the green boxes of (a,b). There are significant geometric and viewing angle differences in the yellow boxes of (c,d). In the red box of (e), it can be observed that the objects change in the images at different times. The above multiple differences are coupled with each other, posing challenges to multi-source remote sensing image registration tasks.
Traditional image registration methods mainly include region-based and feature-based methods. The former mainly utilizes pixel-by-pixel grayscale information to establish regional similarity measures [5]. However, such methods are highly sensitive to radiometric differences in multi-source remote sensing images. The feature-based registration methods mainly use artificial features to construct descriptors at the pixel level, and then filter out matching keypoint pairs. The designed artificial features have better robustness to image radiation changes, making the application of such methods more widespread. The commonly used gradient information-based methods [6,7] and spatial structure-based methods [8,9] also consider adaptability to direction and scale differences. However, due to the limited cognitive ability of artificial features, the performance of image, which needs to balance obvious geometric distortions and radiometric differences, is often poor.
In recent years, deep learning has received increasing attention due to its promising ability to describe deep features. CMM-Net [10], Cnet [11], and PCNet [12] use CNN networks to improve the stability of descriptors by mining deep features of images. Some researchers [13,14] have attempted to introduce style transfer strategies into multimodal image registration tasks. However, existing feature extraction networks are often not designed for registration tasks, resulting in underutilization of the feature mining and representation capabilities of deep learning. Therefore, the design of a comprehensive and robust feature extraction network that takes into account the scale, rotation, and radiometric differences in multi-source remote sensing images has become an urgent challenge to improve registration accuracy.
In this work, we propose a novel multi-source remote sensing image deep learning registration framework CRS-Net. Inspired by the extraction of robust information from pixel-level artificial features, we divide it into two stages: low-order feature dense encoding and high-order structure sparse decoding. Firstly, we design a direction-invariant multiscale encoder. The hierarchical coding design improves the scale robustness of feature description. Direction-invariant convolution improves the rotation invariance of feature pyramids without increasing parameters. Secondly, we design a high-order structural feature decoder for cross-domain perception. Not only can it mine cross-domain robust semantic structural information, but sparse structural features also suppress the interference of noise in remote sensing images. Finally, we parallelize the feature decoding and keypoint detection, and design a clustering contrastive loss function to optimize both simultaneously, fully leveraging the powerful modeling capabilities of deep learning. We summarize the main technical contributions of this work as follows:
- (1)
- A novel lightweight Siamese remote sensing image registration framework is proposed. It mines stable high-order structures from the constructed rotation-invariant multiscale feature space, and obtains highly repeatable keypoint pairs through end-to-end constraint learning.
- (2)
- A high-order structural feature for cross-domain perception is proposed, which can capture long-distance and complex structural information from remote sensing images, solving the problem of nonlinear radiation differences in multimodal images.
- (3)
- A clustering contrastive learning strategy for sparse samples is proposed, which maximizes the distinguishability of features between equally distributed keypoint pairs with the same position through joint constraint learning of deep structure embedding and spatial position.
2. Related Works
This chapter reviews multimodal remote sensing image registration methods, discusses rotation-invariant feature extraction methods, and introduces contrastive learning strategies in image registration.
2.1. Multimodal Remote Sensing Image Registration
According to different processing procedures, multimodal remote sensing image registration methods are mainly divided into three types: region-based methods, feature-based methods, and deep learning-based methods. We, respectively, review the current status of these methods and introduce our proposed new ideas.
Region-based registration methods are widely used in early remote sensing image registration tasks, and estimate the transformation matrix parameters through similarity measurement and optimization strategies. In order to improve the sensitivity to nonlinear radiation differences, TOMI [15] improves the robustness of similarity measurement from the perspective of information theory by introducing tensor direction parallelism and gradient mutual information. Some researchers attempt to construct stable local structural features. HOPC [16] proposes a phase consistency direction histogram. On this basis, HOMPC [17] utilizes log-Gabor filtering to combine local amplitude and phase, comprehensively taking into account consistency information. CFOG [18] uses pixel-by-pixel representation of structural features to improve the accuracy of measurement. SFOC [19] explicitly integrates multi-level degree information for the first time to improve the discriminate ability of features. However, the performance of the above methods is greatly affected by image rotation and scale changes, often using a two-stage operation from coarse to fine. This leads to a complex and time-consuming calculation process, limiting its wide application and often used to handle registration problems between simple offsets.
Feature-based registration methods do not rely on geographic reference information, but directly mine features from images to detect pairs of points with the same position. Therefore, feature mining and description are key steps in these methods. OS-SIFT [20] designs a multiscale gradient operator to perceive the scale differences between optical and SAR images. HOSS [21] introduces logarithmic pole space representation and a maximum correlation direction index map to estimate feature rotation. ASS [22] suppresses noise and enhances feature accuracy through filtering design and a local statistical weighted differential. R2FD2 [23] proposes a strategy combining multichannel autocorrelation and log-Gabor to construct rotation-invariant feature descriptors. It can be observed that a robust and highly repeatable feature not only needs to address the challenges of scale and rotation, but also needs to simultaneously overcome nonlinear radiation differences and noise interference. However, traditional handcrafted features often struggle to cope with the coupling problem of the multiple factors mentioned above.
The registration method based on deep learning utilizes techniques such as convolutional neural networks, Siamese neural networks, and generative adversarial networks to break the limitations of handcrafted features in mining deep information from images. CMM-Net [10] utilizes a CNN to mine high-dimensional deep features for constructing robust descriptors. ADRNet [5] comprises a two-stage method for rigid and non-rigid deformation, achieving image registration based on end-to-end learning. ASLFeat [24] employs deformable convolution to accurately estimate the local shape of keypoints, thereby enhancing the perception of local features. E2EIR [25] and Cnet [11] introduce attention mechanisms to adaptively focus on high-value features. PCNet [12] utilizes a Siamese network to explore the structural similarity of cross-modal stability. MatcherTF [26] utilizes the contextual modeling capabilities of self-attention and cross-attention to construct local feature descriptors. SuperFusion [27] utilizes photometric and endpoint constraints to estimate bidirectional deformation fields, enabling supervised registration of geometric deformations. The challenge of registering multimodal remote sensing images is significant because of the considerable differences in their styles. Some researchers [13,14,28] use style transfer methods to bridge the feature expression gap between images from different sources. This has made the registration task much easier. However, the performance of such methods heavily relies on the accuracy of style transfer. Deep features help improve the adaptability to nonlinear radiometric differences in images. However, neural networks often lack robustness to the coupling problem of scale and rotation.
Inspired by the above research, this article proposes a novel deep learning framework to improve the accuracy and stability of multimodal remote sensing image registration. Using rotation-invariant multiscale encoders and cross-domain high-order structural descriptors to handle multiscale rotational deformation and nonlinear radiation differences, respectively.
2.2. Rotation-Invariant Feature Extraction
This section briefly introduces the research status of rotation-invariant feature extraction, mainly including SIFT-like methods, polar coordinate transformation methods, and multi-directional aggregation methods. The classic SIFT [6] obtains rotation-invariant feature descriptions by estimating the dominant direction and normalizing it to the consistency direction. Therefore, the SIFT-like methods [7,29] can achieve adaptation to any direction without learning, but their performance overly depends on the estimation accuracy of the dominant direction. For remote sensing images with complex and diverse scene content, direction estimation is prone to bias [30,31]. The polar coordinate transformation methods [32,33] convert the original rotation-invariant problem into a translation-invariant problem in the polar coordinate system. However, the number of sampling points on different radius circles in the polar coordinate system is manually designed, which results in a sparser distribution of sampling points as the radius increases, leading to more severe information loss. Secondly, due to the use of square convolution kernels in plain convolution, the spatial representation of polar coordinates may affect the expression of semantic information in CNNs. The method of multi-directional aggregation aggregates multiple single directional feature descriptions into local features, thereby obtaining stable feature descriptions in all directions. Circular harmonic filters [34] achieve multi-directional sensing capability by rotating the direction of the filter multiple times. TI-Pooling [35] rotates the input image and aggregates the output of the CNN layer to obtain a feature map with multi-directional perception. It should be noted that the finer the granularity of the direction corresponding to the aggregated convolutional layer, the better the directional invariance of the feature description, but the higher the computational cost.
Inspired by polar transformation methods and multi-directional aggregation operations, we attempt to encode rotation invariance in the plain convolution operation. By redefining the rotation coordinate system and performing direction-adaptive convolution operations, efficient feature extraction with orientation invariance can be achieved.
2.3. Contrastive Learning in Image Registration
Contrastive learning has been applied in the field of medical image vision to learn more discriminative features. MoCo [36] establishes a contrastive learning framework for unsupervised visual feature representation from the perspective of dictionary look-up. Henaff et al. [37] improve contrastive predictive coding, enhancing the predictability of natural signal variations in unsupervised learning. SimCLR [38] proposes a simplified framework for contrastive learning visual representation. However, the aforementioned methods are used for learning contrast-invariant features in medical unimodal images. Compared to medical images, remote sensing images are characterized by their extensive coverage, wide dynamic range, and significant noise interference [5]. At the same time, the notable visual differences between multimodal remote sensing images limit the application of contrastive learning in multimodal remote sensing image registration. Inspired by [39], we propose a cluster-aware contrastive learning strategy in this paper. We introduce spatial information constraints of image keypoints into the contrastive loss. This approach not only enables the learning of robust keypoints in remote sensing images but also facilitates mining more discriminative cross-modal features, thereby improving the performance of multimodal registration.
3. The Proposed Method
In this chapter, we provide a detailed introduction to the proposed CRS-Net. We explain the overall process of this network and the collaborative design between each module. Then, starting from the main innovative points of this work, the main modules proposed are introduced in detail.
3.1. Method Overview
Obtaining robust and highly reproducible keypoint pairs is crucial for multimodal remote sensing image registration. We design a novel Siamese network with bi-encoders and parallel decoders to address this issue, as illustrated in Figure 2. Firstly, we propose a lightweight rotation-invariant multiscale encoding layer and share its computational and cross-modal representation capabilities through Siamese networks. Then, the dense feature pyramid is input into the parallel decoders to mine structural features and detect keypoints. The structural feature decoders capture high-order structural information with unchanged modal radiation, while sparse distribution is used to suppress remote sensing image noise. The keypoint decoder gradually fuses multiscale keypoint heatmaps to obtain more accurate spatial localization. Finally, we utilize joint optimization strategies to design clustering comparison loss and keypoint detection loss. The former thoroughly supervises the learning of cross-modal features, enhancing the network’s robust feature capture ability for diverse remote sensing scenes. The latter is used to ensure the stable detection and uniform distribution of keypoints. In the prediction stage, we use the trained network to obtain robust and accurate keypoint pairs between the reference image and the sensed image, which are used to evaluate registration accuracy and calculate the affine transformation model.
Figure 2.
The flow of the proposed method. The reference image and sensed image are input into hierarchical encoders to capture a rotation-robust multiscale local feature pyramid. The Siamese network is able to share the computational and representational capabilities of the encoder. The multimodal feature pyramid is separately input into parallel sparse structure feature decoders and keypoint detection decoders. Feature map D and keypoint distribution heatmap H are obtained through the structural feature descriptor head and keypoint detection head. A joint optimization strategy is adopted to constrain parameter learning.
3.2. Rotation-Invariant Multiscale Encoders
We use a backbone that is both efficient and lightweight to extract features from multimodal remote sensing images. We introduce a VGG-style structure and rotation-invariant convolutional layer to balance how well the features respond to changes in size and rotation. This helps us find features that describe the image and identify keypoints.
3.2.1. Efficient Multi-Layer Encoders
For remote sensing image registration tasks, inference efficiency is an essential design element that cannot be ignored. Many image registration networks use heavyweight pseudo-Siamese ResNet [40] or DesNet [41] for feature encoding. In contrast, we use a VGG-style architecture to design Siamese dual encoders in the backbone network. By introducing re-parameterization techniques [42], the backbone network is compressed into a single branch without loss during the inference process. This re-parameterization, single-path minimalism, and Siamese design strategy achieves better inference efficiency while ensuring model performance.
and , respectively, represent the input reference image and sensed image, . and are input into Siamese four-stage encoders, where each stage consists of a stride-2 convolution layer and several stride-1 convolution layers stacked in a single branch, as shown in Figure 3. In the stride-2 convolution layer, the input feature map undergoes two parallel 3 × 3 convolutions, 1 × 1 convolutions, and batch normalization (BN) layers, Finally, there is a rectified linear unit (ReLU). The stride-2 convolution layer can obtain a feature map with half the size. In the stride-1 convolution layer, the output feature map size remains unchanged. And the stride-1 convolution layer adds an identity branch of residual connections to suppress the loss of deep convolution information. The above process can be expressed mathematically as follows:
where and represent the input and output feature maps, respectively. represents the BN layer, denotes pixel-wise addition, and represents ReLU. refers to a convolutional layer with a kernel size of and a stride of s. We design the convolutional layers of the four-stage encoders to be 1, 2, 4, and 6, respectively. The feature map sizes of the four-stage encoders are , , , and , respectively. After efficient multi-layer encoders, a dense distribution of local feature pyramids is obtained for later feature decoding and keypoint estimation.
Figure 3.
The structure diagram of encoders.
3.2.2. Rotation-Invariant Convolutional Encoder
The plain convolution operation is used to characterize local features of images and has good translation invariance. However, plain convolution features do not possess rotational invariance [43]. Unlike natural scene images, remote sensing images have numerous uncertain directional differences in shooting angles and object distribution. In order to improve the ability to extract similar features of objects with different directions in remote sensing images, we introduce a special rotation invariant convolution (RIConv) to replace the standard convolutional layer in encoders. The proposed rotation-invariant convolutional encoders (RIC-Encoders) can capture rotation-invariant multi-level features in remote sensing images.
We define a fixed point on the feature map. For a plain convolution with a kernel size of , the sampling points are distributed in a regular network . is a non-negative integer. For example, when , as shown in Figure 4a, it can be represented as follows:
Figure 4.
Selection of sampling points in convolutional layers. (a,c) represent the sampling points in the plain convolution. (b,d) represent the sampling points in the rotation-invariant convolution.
The plain convolution applied to is sampled around and weighted to sum, which can be expressed as follows:
where P represents the sampling point in , and represents a learnable convolution kernel of . For a rotation-invariant convolution with a kernel size of , the sampling points are distributed on a circle with a radius of r centered on , as shown in Figure 4b. The number of sampling points is . The intersection point between the line connecting the origin and of the coordinate system and the circumference is denoted as the first sampling point. There are 8r sampling points evenly distributed along the counterclockwise direction on each circumference. Except for , the other sampling points Q can be expressed mathematically as follows:
where denotes the angle between the line connecting and the coordinate system origin and the coordinate axis, i.e., . For the convenience of comparing the distribution of sampling points between rotation-invariant convolution and plain convolution, we provide the distribution maps of both (taking as an example), as shown in Figure 4c,d. It is not difficult to observe that, unlike the grid distribution with fixed sampling points in plain convolution, the distribution of rotation- invariant sampling points depends on the position of the action point .
According to the above definition, RIConv at the position of can be given as follows:
To demonstrate the rotational robustness of the RIConv, we assume that F rotates degrees around to obtain the feature map G. The corresponding point of in G is and the convolution sampling point at are obtained as follows:
where represents the rotation transformation matrix corresponding to the angle . And the convolution operation after rotation can be expressed as follows:
From this, it can be concluded that RIConv has rotational invariance to any rotation angle around the origin of the coordinate system.
All convolutions in the RIC-Encoders are replaced by RIConv. Due to the fact that the convolution kernels of RIConv and plain Conv both have learnable parameters, the rotation robustness in the encoders can be achieved without the need for additional parameters, further ensuring the efficiency of the backbone network.
3.3. Cross-Domain-Aware Parallel Decoders
Unlike the traditional method of first detecting keypoints and then constructing feature descriptors, we decode the feature description and keypoint detection process in parallel. The advantage of this design lies in fully integrating multi-level feature information to enhance the cross-domain robustness of feature description and the localization accuracy of keypoint detection.
3.3.1. Cross-Domain-Aware High-Order Structure Decoder
Siamese encoders project multimodal images onto the same feature space to obtain a densely distributed feature pyramid. Due to significant nonlinear radiation differences and noise between multimodal remote sensing images, directly using dense features for keypoint detection often generates many outliers, which is not conducive to subsequent keypoint matching. In response to the above issues, we design cross-domain-aware high-order structure decoders (CHS-Decoders) to compute modality-independent long-range contextual structural features, as shown in Figure 5.
Figure 5.
Schematic diagram of a cross-domain-aware high-order structure decoder. The central elements of interest are displayed in red. The feature elements in the 8-NH neighborhood are displayed in green, and the unique feature distances of the 8 groups are displayed as blue lines. The feature elements in the 8-NH expansion neighborhood are displayed in brown.
Channel features of oriented gradients (CFOGs) [18] are pixel-by-pixel structural features developed on the basis of HOG descriptors, used to capture geometric layouts within local neighborhoods. And a series of improved features based on COFGs have emerged, such as SDFG [44] and SFOC [19]. However, pixel-wise structures are often sensitive to image noise, especially for high-resolution remote sensing images with rich terrain information. To address this issue, we propose mining sparse structural information from the feature level, which can not only capture high-order structural features outside the local neighborhood context, but also suppress the interference of remote sensing image noise.
Inspired by Mok et al. [45], the mathematical formula for the neighborhood distribution similarity descriptor between the j-th layer encoded feature map and the defined 2D neighborhood layout is as follows:
where p is the center position, and q and represent the non-repeating feature elements in the neighborhood . The sum of squares of feature differences is used to perceive contextual structural features. In order to perceive the structural similarity between multimodal images, the noise estimator in the neighborhood distribution is defined as follows:
where represents the mean square difference of all feature elements in the neighborhood distribution, used for similarity descriptor normalization. Inspired by [46], we create a 2D neighborhood layout . The calculation range of feature elements is limited to eight neighborhoods (8-NH), with distances of 2 and between them, resulting in eight unique sampling distances. In order to refine the perception of structural similarity, we also construct an extended neighborhood distribution of 8-NH, as shown in Figure 5. is established within the 5 × 5 neighborhood, and the distances of the sampling points involved in the calculation are 4 and . We use the two neighborhood distributions of and to calculate the contextual structural feature descriptors, forming a 4-D feature map . The feature map contains stable long-range contextual structural features of multimodal remote sensing images.
To improve computational efficiency, we input into the linear projection layer to obtain a compact intermediate layer feature . Finally, the feedforward convolutional layer is used to obtain deep structural features .
The mining of deep structural features does not rely on central elements, which is different from the tradition methods. It is not about establishing dense associations between surrounding elements and central elements, but rather mining contextual information around the element of interest. This design not only makes it robust to non-rigid deformations, but also effectively reduces the interference of noise on the descriptor, making it very suitable for remote sensing images.
3.3.2. Multiscale Keypoint Detection Decoder
By decoding high-order structural features through cross-domain perception, robust feature maps of multimodal remote sensing images are captured. In order to obtain the transformation matrix for the registration of reference image and sensed image, we need to further explore the highly repeatable key points of sparse distribution from the feature map. A learnable approach is adopted to explicitly filter keypoint positions. We design the keypoint detection decoder in parallel with the structural feature decoder, thereby introducing multiscale spatial clues into the keypoint detection process.
The keypoint decoder takes the deep structure feature as input and constructs a 65-dimensional channel feature using two stacked convolutional layers. In , the first 64-dimensional channel features represent the information of interest, while the additional 1-dimensional information stores uninteresting “interference” information. After obtaining explicit intermediate layer features, we remove uninteresting information and select the 64-dimensional channel information of interest. By integrating multichannel information, we can obtain a heatmap of the points of interest, thereby explicitly obtaining stable points of interest. The formula for the above operation is expressed as follows:
where represents the information of interest in . denotes a channel-wise softmax operation. refers to a spatial reconstruction operation, and the j-th layer decoder reshapes the heatmap .
3.4. Descriptor Head and Keypoint Head
The descriptor head takes the deep structure feature map as input. In order to restore the same spatial distribution as the input image, upsampling convolution or interpolation is often used. In order to balance the efficiency and accuracy of the model, we adopt non-learning upsampling operations. Firstly, bicubic interpolation is performed on to restore the spatial distribution of information. Then, L2-normalizes is used to activate the feature map and obtain the non-learned structural feature map .
The keypoint head concatenates the heat maps calculated by the four-layer decoders along the channel dimension, and then adjusts the dimension of the heat map to 1D again through a convolutional layer with a kernel of 3×3, and uses Softmax to obtain the keypoint heat map .
3.5. Joint Optimization Strategy
- (1)
- Cluster-aware contrastive learning
The differences in imaging mechanisms, lighting changes, object occlusion, and texture blurring that exist in the process of multi-source remote sensing imaging may lead to the loss and false detection of keypoints. In order to further screen for the correct keypoint pairs, we introduce a contrastive learning paradigm based on cluster perception. This paradigm learns to maximize the similarity of deep structural features at the same matching position, while penalizing image similarity from different matching positions.
We use and to represent the depth structure features of the two images to be registered. and , respectively, represent the pseudo ground truth labels of keypoints in the two images to be registered. For cluster-aware contrastive learning, the goal of optimization is to maximize the similarity between keypoints and at the same location, while penalizing the similarity between key points and at different locations. We let represent the number of key points in the pseudo ground truth label, and represent the feature vector of at the spatial index , where . Similarly, represents the eigenvector of at the spatial index . Cluster comparison loss is defined as follows:
where is a constant used to adjust the similarity distribution. When , and are positive pairs of the same class, and when , and are negative pairs of different classes. The clustering comparison loss (CC loss) can constrain the minimum intra-class distance and the maximum inter-class distance.
- (2)
- Joint loss function
In order to perform constraint learning on both feature descriptors and keypoint position information simultaneously, we design a joint loss. The joint loss includes cluster comparison loss and keypoint detection loss . Considering the significant difference in the number of keypoints and non-keypoints in remote sensing images, we introduce weighted binary cross-entropy loss to construct a keypoint detection loss function, which is mathematically expressed as follows:
where is a constant used to balance the difference in the number of keypoints and non-keypoints.
The joint loss function combines and in an additive manner, which is expressed as follows:
where represents the weight parameter of clustering comparison constraint, which is set to 0.6 by default in the experiment. We analyze the impact of in the ablation experiment.
4. Experiments
This chapter first introduces the experimental setup, including experimental data, evaluation indicators, and parameter settings. Then, advanced remote sensing image registration methods are selected for comparative experiments. Finally, we analyze the effectiveness of the proposed module using ablation experiments.
4.1. Datasets
To fully validate the effectiveness and superiority of our method in multi-source remote sensing image registration tasks, we carefully design three sets of experimental datasets. Multi-source remote sensing image types cover visible, infrared, and SAR.
- (1)
- The SOPatch dataset [47] is an optical–SAR multi-source dataset. The dataset is sourced from multi-spectral optical images of Sentinel-2A/B, C-band dual-polarization SAR images of Sentinel-1A/B, C-band SAR images of GaoFen-3, and panchromatic images of Google Earth. The image resolution includes 10 m and 1 m. The image scenes cover multiple cities worldwide, including forests, deserts, mountains, cities, lakes, and other types. The SOPatch dataset covers different optical and SAR sensor characteristics, different resolution images, and diverse scenarios, thus effectively verifying the effectiveness and universality of registration methods.
- (2)
- The OSEval dataset [48] is an optical–SAR multi-source dataset. The dataset is sourced from chromatic images of WorldView-2, WorldView-3, SuperView-1, and Google Earth, and C-band SAR images of GaoFen-3. The image resolution is approximately 0.3 m to 0.5 m. The image scenes include airports, residential areas, industrial areas, and commercial areas, located in Omaha and Honolulu, the USA. The OSEval dataset not only has a wide range of scene types, but also has higher resolution and high accuracy in true value annotation (sub-pixel precision image coordinates). Therefore, it can be used to verify the accuracy and robustness of registration methods.
- (3)
- The VEDAI dataset [49] is a visible–infrared multi-source dataset. It was captured by a drone flying at an altitude of approximately 80 m to 100 m. The visible image resolution is in the sub-meter range, while the infrared images are in the near-infrared spectral range. The image scenes include various types such as lakes, mountains, forests, and grasslands.
In order to train and test the network, we preprocess the original image pairs. The specific operations include random flipping, random scaling [0.8, 1.2], and random rotation [−35°, 35°] and translation [−20 pixels, 20 pixels]. Finally, images in the SOPatch dataset are cropped to 256 × 256, and images in the other two datasets are cropped to 512 × 512. The datasets are divided into training, validation, and testing sets with a ratio of 7:1:2, as shown in Table 1. LightGlue [50] provides a convenient homography-adaptive keypoint detection method. Therefore, we use the trained LightGlue model to generate pseudo ground truth labels for the test data, which are used for model training and testing evaluation.
Table 1.
Specific design of experimental data.
4.2. Implementation Details
In the experiment, our model is implemented using Pytorch, and the experiment is run on a single NVIDIA GeForce RTX 4080 GPU. We use the AdamW optimizer and linear rate strategy to optimize the network, with the learning rate set to 0.001 and a weight decay of 1 × 10−4. We set the training batch size to 16, and the training epoch is 30. The in the clustering comparison loss is set to 0.07. The in the key point detection loss is set to 200 based on experience. In the ablation experiment, we specifically analyze the impact of and on algorithm performance.
To evaluate the performance of the registration model, we design evaluation metrics consisting of the root mean squared error (RMSE) and the accuracy (Acc). Among them, RMSE calculates the root mean square error between the predicted registration position of the reference image and the sensed image and the ground truth. The calculation formula can be expressed as follows:
where refers to the matching position coordinates of the nth test image, and represents the corresponding ground truth coordinates. N denotes the total number of images participating in the test. We define the ratio between the number of registered image pairs with RMSE below a certain threshold and the total number of registered images as Acc at this time. For example, when , the accuracy is represented by .
4.3. Comparison Experiments
We select traditional registration methods (OS-SIFT [20], CFOG [18], and ASS [22]) and deep learning registration methods (ADRNet [5], E2EIR [25], SuperFusion [27], and ASLFeat [24]) as comparison methods, and compare and analyze the registration results with our proposed method on three datasets. All registration methods are implemented based on open code and tested on the same device. The experimental results are shown in Table 2.
Table 2.
Distinctions of all comparison algorithms. The best results are in red, and the second-best are in bold.
(1) Comparison on SOPatch dataset. We use the SOPatch dataset to validate the effectiveness and universality of our method in optical–SAR remote sensing image registration. Table 2 compares the quantitative performance of our method with other advanced methods on the SOPatch dataset. It can be seen that our method achieved the best performance in all indicators. Compared with the suboptimal method, our approach reduces RMSE by 19.20% and improves to 92.96%. We can also find that deep learning-based registration methods generally perform better than artificial feature-based registration methods. This demonstrates the potential of deep networks in mining robust and reproducible features. In addition, in order to more intuitively compare the performance of our method with advanced methods, we provide examples of visualized registration results in the figures. As shown in Figure 6a,c, compared with other advanced methods, our method obtains more correct matching point pairs. Due to the proposed rotation-invariant multiscale encoder and cross-domain-aware high-order structural feature decoder, our method achieves better perception of stable and reliable keypoints and fewer erroneous matches from more challenging scenes, as shown in Figure 6e,g. As shown in Figure 7, we use checkerboard patterns to demonstrate the registration results of the proposed CRS-Net and observe details.
Figure 6.
Examples of registration results using different methods on the SOPatch dataset. (a,c,e,g) are keypoint pairs connected by lines. (b,d,f,h) are checkerboard patterns.
Figure 7.
The registration results of the proposed CRS-Net, with zoomed-in red-boxed areas of checkerboard patterns provided for observing details. (a–c) are different scenes in the SOPatch dataset.
(2) Comparison on OSEval dataset. We use the OSEval dataset to validate the accuracy and robustness of our method on sub-meter-resolution images. The results in Table 2 quantitatively demonstrate the performance of our method and other advanced methods on the OSEval dataset. Our method achieves the best results in all indicators, with RMSE and improving to 2.72 and 96.55%, respectively. It is worth noting that our method is significantly superior to other advanced methods in terms of . This indicates a significant increase in the proportion of registration results with low RMSE, indicating that our method has better accuracy compared to other advanced methods. We provide an example of visualized registration results in Figure 8 and Figure 9 to more intuitively demonstrate the performance of the comparison methods. From the checkerboard image, it can be seen that our method achieved more refined registration results.
Figure 8.
Examples of registration results using different methods on the OSEval dataset. (a,c,e,g) are keypoint pairs connected by lines. (b,d,f,h) are checkerboard patterns.
Figure 9.
The registration results of the proposed CRS-Net, with zoomed-in red-boxed areas of checkerboard patterns provided for observing details. (a–c) are different scenes in the OSEval dataset.
(3) Comparison on VEDAI dataset. We use the VEDAI dataset to validate the registration performance of our method on visible–infrared remote sensing images. We compare the results of the proposed method with other SOTA methods in Table 2. The experimental results show that our method has the best RMSE, and , and suboptimal and competitive . ADRNet with suboptimal RMSE adopts a bi-encoder, single-decoder structure, which also indicates that deep learning methods are more robust than manual methods in the VEDAI dataset. Similarly, we present the visual registration results of different methods, as shown in Figure 10 and Figure 11. It can be seen that our method has achieved stable and accurate registration results under different lighting and observation angle conditions.
Figure 10.
Examples of registration results using different methods on the VEDAI dataset. (a,c,e,g) are keypoint pairs connected by lines. (b,d,f,h) are checkerboard patterns.
Figure 11.
The registration results of the proposed CRS-Net, with zoomed-in red-boxed areas of checkerboard patterns provided for observing details. (a–c) are different scenes in the VEDAI dataset.
4.4. Ablation Analysis
In this section, we conduct ablation experiments using the SOPatch dataset, OSEval dataset, and VEDAI dataset. Firstly, we analyze the effectiveness of the three main modules: RIC-Encoders, CHS-Decoders, and CC loss. Then, we analyze the impact of hyperparameter , , and settings on the loss function. We choose RMSE and as the main evaluation indicators.
(1) Effectiveness of main modules. RIC-Encoders represents rotation-invariant convolution encoders, CHS-Decoders stands for cross-domain-aware high-order structure decoders, and CC loss stands for cluster contrastive loss. Specifically, we use SuperPoint as the baseline and sequentially add RIC-Encoders, CHS-Decoders, and CC loss to the network to verify the effectiveness of each module. As shown in Table 3, it can be observed that with the use of the modules, the registration performance on both datasets has improved. This demonstrates the effectiveness of these modules. Specifically, the RMSE after using CHS-Decoders on the three datasets decreased by 16.50%, 17.42%, and 7.58%, respectively. This indicates that modal-independent high-order structural features have good potential for improving the performance of multi-source remote sensing image registration. In the experiment, after applying CC loss, the registration performance is further improved. This indicates that the clustering comparison constraint has good performance in solving the problem of sample imbalance.
Table 3.
The ablation experiment results of the main modules on the SOPatch dataset, OSEval dataset, and VEDAI dataset. The best results are in red.
(2) Effectiveness of weight parameter in . The parameter in clustering comparison loss is mainly used to adjust the distribution of similarity scores. Based on experience, the value range of is [0.05, 0.15]. We take the value of with a step size of 0.01. The experimental results with different values of are shown in the Figure 12. When = 0.07, the experimental results are optimal. A smaller value indicates that the model needs to pay more attention to high-similarity sample pairs. We hypothesize that this phenomenon can be attributed to the extensive spatial coverage of remote sensing imagery and the inherent complexity and heterogeneity of land cover characteristics. These factors necessitate the implementation of more stringent similarity constraints to effectively discriminate between spatially distributed feature pairs with analogous spectral signatures.
Figure 12.
The impact of hyperparameter on registration performance. (a–c) represent the experimental results on the SOPatch dataset, OSEval dataset, and VEDAI dataset, respectively.
(3) Effectiveness of weight parameter in . The parameter in keypoint detection loss is mainly used to balance the contributions of positive and negative samples. A larger increases the sensitivity of the model to positive samples. Based on experience, we set the value range of to [50, 500] and take values with a step size of 50. The experimental results with different values of are shown in Figure 13. The change in the value of weight parameter in the three datasets resulted in the same trend of change in the experimental results. According to the experimental results, it can be found that when the value is set to 200, it can better constrain the model’s detection of key points. When the value of is set too large, there may be a risk of overfitting.
Figure 13.
The impact of hyperparameter on registration performance. (a–c) represent the experimental results on the SOPatch dataset, OSEval dataset, and VEDAI dataset, respectively.
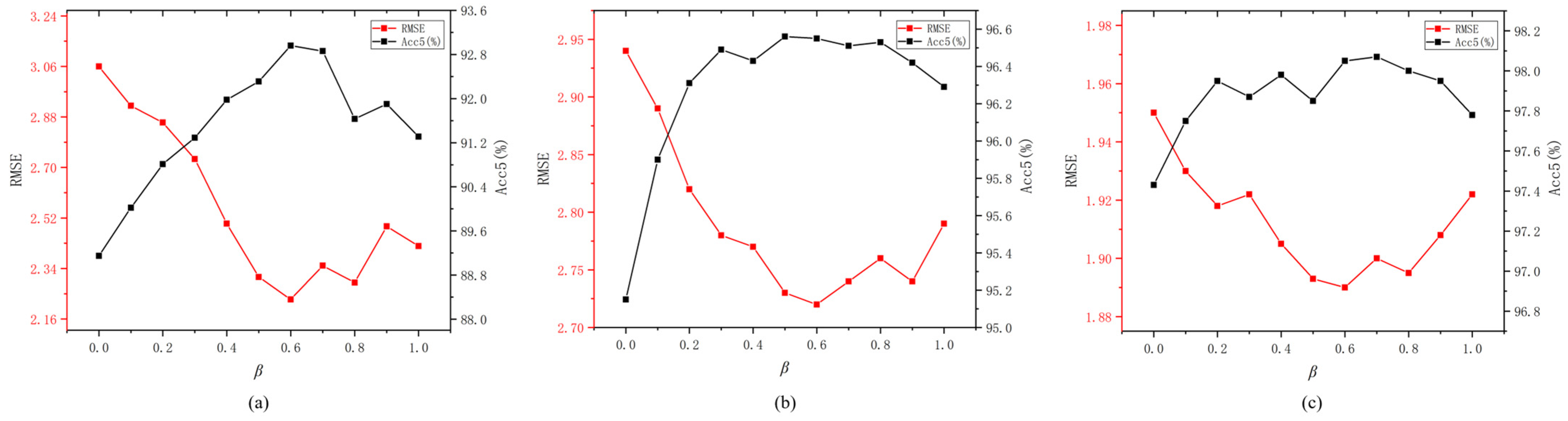
(4) Effectiveness of weight parameter in . The hyperparameter in the joint loss function is mainly used to adjust the proportion of clustering contrast constraints. We set from 0 to 1 with a step of 0.1, and conduct experiments on other parts of the network using the same design. The experimental results are shown in Figure 14. We can observe that when is present, the registration performance is significantly improved. This indicates the necessity of a joint loss function. When , the method achieves the optimal RMSE and competitiveness. Therefore, we set the hyperparameter to 0.6 by default.
Figure 14.
The impact of hyperparameter on registration performance. (a–c) represent the experimental results on the SOPatch dataset, OSEval dataset, and VEDAI dataset, respectively.
4.5. Running Efficiency
We randomly select 100 pairs of multi-source remote sensing images from the OSEval dataset for experiments and calculate the registration speed of different methods, as shown in Table 4 and Figure 15. The reason for selecting 100 sets of test cases instead of only 1 set is to eliminate the impact of scene complexity on algorithm running efficiency. Considering that the shorter the running time and higher the RMSE of the registration algorithm, the more practical the registration algorithm, the method closer to the bottom left corner in the figure has better performance. The results indicate that our proposed registration method maintains competitiveness in terms of operational efficiency while achieving good accuracy.
Table 4.
Running time and RMSE of registration algorithms.
Figure 15.
Efficiency of registration algorithms on OSEval dataset.
5. Conclusions
In this article, we introduce a multimodal remote sensing image registration method called CRS-Net, which is composed of a Siamese bi-encoder and parallel decoder. Firstly, efficient multi-layer encoders are designed for multiscale feature encoding, in which the introduction of rotation-invariant convolution effectively solves the problem of coupling scale and rotation differences in multi-source remote sensing images. Secondly, high-order structural feature descriptors are proposed to capture cross-domain robust deep structural information, solving the problem of nonlinear radiation differences in multi-source images. Finally, a cluster-aware contrastive constraint is introduced to construct a joint loss, maximizing the distinguishability of feature representations between pairs of keypoints with the same position. Overall, we propose a multi-source remote sensing image registration method based on deep learning. It achieves excellent performance in experiments by comprehensively solving the scale, rotation, and radiation differences in multimodal remote sensing images. The experimental results show that our proposed method has great potential in the fields of optical–SAR and visible–infrared image registration.
Author Contributions
Conceptualization, Q.H. and X.Z.; methodology, Q.H.; validation, Q.H. and S.J.; investigation, W.C.; resources, Y.H.; writing—original draft preparation, Q.H.; writing—review and editing, X.Z. and S.J.; supervision and suggestions, L.Y. and W.Z. All authors have read and agreed to the published version of the manuscript.
Funding
This work was supported by the Natural Science Foundation of China 62305086 and China Postdoctoral Science Foundation (Number: 2023M740901).
Data Availability Statement
The original contributions presented in this study are included in the article. Further inquiries can be directed to the corresponding author.
Conflicts of Interest
The authors declare no conflicts of interest.
References
- Paul, S.; Pati, U.C. A Comprehensive Review on Remote Sensing Image Registration. Int. J. Remote Sens. 2021, 42, 5396–5432. [Google Scholar] [CrossRef]
- Li, K.; Zhang, W.; Yu, D.; Tian, X. HyperNet: A Deep Network for Hyperspectral, Multispectral, and Panchromatic Image Fusion. ISPRS J. Photogramm. Remote Sens. 2022, 188, 30–44. [Google Scholar] [CrossRef]
- Han, Q.; Zhi, X.; Hu, J.; Huang, Y.; Chen, W.; Jiang, S.; Gong, J. CGFINet: Cross-Scale Guided High-Order Feature Interaction Change Detection Network for Remote Sensing Image. IEEE J. Sel. Top. Appl. Earth Obs. Remote Sens. 2024, 17, 14614–14629. [Google Scholar] [CrossRef]
- Zhang, W.; Tan, Z.; Lv, Q.; Li, J.; Zhu, B.; Liu, Y. An Efficient Hybrid CNN-Transformer Approach for Remote Sensing Super-Resolution. Remote Sens. 2024, 16, 880. [Google Scholar] [CrossRef]
- Xiao, Y.; Zhang, C.; Chen, Y.; Jiang, B.; Tang, J. ADRNet: Affine and Deformable Registration Networks for Multimodal Remote Sensing Images. IEEE Trans. Geosci. Remote Sens. 2024, 62, 1–13. [Google Scholar] [CrossRef]
- Lowe, D.G. Distinctive Image Features from Scale-Invariant Keypoints. Int. J. Comput. Vis. 2004, 60, 91–110. [Google Scholar] [CrossRef]
- Bay, H.; Ess, A.; Tuytelaars, T.; Van Gool, L. Speeded-Up Robust Features (SURF). Comput. Vis. Image Underst. 2008, 110, 346–359. [Google Scholar] [CrossRef]
- Sedaghat, A.; Ebadi, H. Distinctive Order Based Self-Similarity Descriptor for Multi-Sensor Remote Sensing Image Matching. ISPRS J. Photogramm. Remote Sens. 2015, 108, 62–71. [Google Scholar] [CrossRef]
- Li, J.; Hu, Q.; Ai, M. RIFT: Multi-Modal Image Matching Based on Radiation-Variation Insensitive Feature Transform. IEEE Trans. Image Process. 2020, 29, 3296–3310. [Google Scholar] [CrossRef]
- Lan, C.; Lu, W.; Yu, J.; Xu, Q. Deep Learning Algorithm for Feature Matching of Cross Modality Remote Sensing Images. Acta Geod. Et Cartogr. Sin. 2021, 50, 189–202. [Google Scholar]
- Quan, D.; Wang, S.; Gu, Y.; Lei, R.; Yang, B.; Wei, S.; Hou, B.; Jiao, L. Deep Feature Correlation Learning for Multi-Modal Remote Sensing Image Registration. IEEE Trans. Geosci. Remote Sens. 2022, 60, 1–16. [Google Scholar] [CrossRef]
- Cao, S.-Y.; Yu, B.; Luo, L.; Zhang, R.; Chen, S.-J.; Li, C.; Shen, H.-L. PCNet: A Structure Similarity Enhancement Method for Multispectral and Multimodal Image Registration. Inf. Fusion 2023, 94, 200–214. [Google Scholar] [CrossRef]
- Merkle, N.; Auer, S.; Muller, R.; Reinartz, P. Exploring the Potential of Conditional Adversarial Networks for Optical and SAR Image Matching. IEEE J. Sel. Top. Appl. Earth Obs. Remote Sens. 2018, 11, 1811–1820. [Google Scholar] [CrossRef]
- Mahapatra, D.; Antony, B.; Sedai, S.; Garnavi, R. Deformable Medical Image Registration Using Generative Adversarial Networks. In Proceedings of the 2018 IEEE 15th International Symposium on Biomedical Imaging (ISBI 2018), Washington, DC, USA, 4–7 April 2018; pp. 1449–1453. [Google Scholar]
- Li, P.; Jiang, G.; Ma, Q.; Xue, W.; Yang, W. A Hybrid Model Combining Tensor and Mutual Information for Multi-Modal Image Registration.Pdf. Acta Geod. Et Cartogr. Sin. 2021, 50, 916–929. [Google Scholar]
- Ye, Y.; Shan, J.; Bruzzone, L.; Shen, L. Robust Registration of Multimodal Remote Sensing Images Based on Structural Similarity. IEEE Trans. Geosci. Remote Sens. 2017, 55, 2941–2958. [Google Scholar] [CrossRef]
- Fu, Z.; Qin, Q.; Luo, B.; Sun, H.; Wu, C. HOMPC: A Local Feature Descriptor Based on the Combination of Magnitude and Phase Congruency Information for Multi-Sensor Remote Sensing Images. Remote Sens. 2018, 10, 1234. [Google Scholar] [CrossRef]
- Ye, Y.; Bruzzone, L.; Shan, J.; Bovolo, F.; Zhu, Q. Fast and Robust Matching for Multimodal Remote Sensing Image Registration. IEEE Trans. Geosci. Remote Sens. 2019, 57, 9059–9070. [Google Scholar] [CrossRef]
- Ye, Y.; Zhu, B.; Tang, T.; Yang, C.; Xu, Q.; Zhang, G. A Robust Multimodal Remote Sensing Image Registration Method and System Using Steerable Filters with First- and Second-Order Gradients. ISPRS J. Photogramm. Remote Sens. 2022, 188, 331–350. [Google Scholar] [CrossRef]
- Xiang, Y.; Wang, F.; You, H. OS-SIFT: A Robust SIFT-Like Algorithm for High-Resolution Optical-to-SAR Image Registration in Suburban Areas. IEEE Trans. Geosci. Remote Sens. 2018, 56, 3078–3090. [Google Scholar] [CrossRef]
- Sedaghat, A.; Mohammadi, N. Illumination-Robust Remote Sensing Image Matching Based on Oriented Self-Similarity. ISPRS J. Photogramm. Remote Sens. 2019, 153, 21–35. [Google Scholar] [CrossRef]
- Xiong, X.; Jin, G.; Xu, Q.; Zhang, H.; Wang, L.; Wu, K. Robust Registration Algorithm for Optical and SAR Images Based on Adjacent Self-Similarity Feature. IEEE Trans. Geosci. Remote Sens. 2022, 60, 1–17. [Google Scholar] [CrossRef]
- Zhu, B.; Yang, C.; Dai, J.; Fan, J.; Qin, Y.; Ye, Y. R2FD2: Fast and Robust Matching of Multimodal Remote Sensing Images via Repeatable Feature Detector and Rotation-Invariant Feature Descriptor. IEEE Trans. Geosci. Remote Sens. 2023, 61, 1–15. [Google Scholar] [CrossRef]
- Luo, Z.; Zhou, L.; Bai, X.; Chen, H.; Zhang, J.; Yao, Y.; Li, S.; Fang, T.; Quan, L. ASLFeat: Learning Local Features of Accurate Shape and Localization. In Proceedings of the 2020 IEEE/CVF Conference on Computer Vision and Pattern Recognition (CVPR), Seattle, WA, USA, 13–19 June 2020; pp. 6588–6597. [Google Scholar]
- Li, L.; Han, L.; Ding, M.; Cao, H. Multimodal Image Fusion Framework for End-to-End Remote Sensing Image Registration. IEEE Trans. Geosci. Remote Sens. 2023, 61, 1–14. [Google Scholar] [CrossRef]
- Liang, C.; Dong, Y.; Zhao, C.; Sun, Z. A Coarse-to-Fine Feature Match Network Using Transformers for Remote Sensing Image Registration. Remote Sens. 2023, 15, 3243. [Google Scholar] [CrossRef]
- Tang, L.; Deng, Y.; Ma, Y.; Huang, J.; Ma, J. SuperFusion: A Versatile Image Registration and Fusion Network with Semantic Awareness. IEEE/CAA J. Autom. Sin. 2022, 9, 2121–2137. [Google Scholar] [CrossRef]
- Cheng, L.; Fang, J.; Ruan, J.; Hu, L. An Infrared and Visible Image Registration Network Based on Modal Transformation. In Proceedings of the 2023 2nd International Conference on Machine Learning, Cloud Computing and Intelligent Mining (MLCCIM), Jiuzhaigou, China, 25 July 2023; pp. 98–106. [Google Scholar]
- Tola, E.; Lepetit, V.; Fua, P. DAISY: An Efficient Dense Descriptor Applied to Wide-Baseline Stereo. IEEE Trans. Pattern Anal. Mach. Intell. 2010, 32, 815–830. [Google Scholar] [CrossRef]
- Fan, B.; Wu, F.; Hu, Z. Aggregating Gradient Distributions into Intensity Orders: A Novel Local Image Descriptor. In Proceedings of the CVPR 2011, Colorado Springs, CO, USA, 20–25 June 2011; pp. 2377–2384. [Google Scholar]
- Fan, B.; Wu, F.; Hu, Z. Rotationally Invariant Descriptors Using Intensity Order Pooling. IEEE Trans. Pattern Anal. Mach. Intell. 2012, 34, 2031–2045. [Google Scholar] [CrossRef]
- Esteves, C.; Allen-Blanchette, C.; Zhou, X.; Daniilidis, K. Polar Transformer Networks. arXiv 2018, arXiv:1709.01889. [Google Scholar]
- Jiang, R.; Mei, S. Polar Coordinate Convolutional Neural Network: From Rotation-Invariance to Translation-Invariance. In Proceedings of the 2019 IEEE International Conference on Image Processing (ICIP), Taipei, Taiwan, 22–25 September 2019; pp. 355–359. [Google Scholar]
- Weiler, M.; Hamprecht, F.A.; Storath, M. Learning Steerable Filters for Rotation Equivariant CNNs. In Proceedings of the 2018 IEEE/CVF Conference on Computer Vision and Pattern Recognition, Salt Lake City, UT, USA, 18–22 June 2018; pp. 849–858. [Google Scholar]
- Laptev, D.; Savinov, N.; Buhmann, J.M.; Pollefeys, M. TI-POOLING: Transformation-Invariant Pooling for Feature Learning in Convolutional Neural Networks. In Proceedings of the 2016 IEEE Conference on Computer Vision and Pattern Recognition (CVPR), Las Vegas, NV, USA, 27 June 2016; pp. 289–297. [Google Scholar]
- He, K.; Fan, H.; Wu, Y.; Xie, S.; Girshick, R. Momentum Contrast for Unsupervised Visual Representation Learning. In Proceedings of the IEEE/CVF Conference on Computer Vision and Pattern Recognition, Virtual, 14–19 June 2020; pp. 9729–9738. [Google Scholar]
- Hénaff, O.J.; Srinivas, A.; Fauw, J.D.; Razavi, A.; Doersch, C.; Eslami, S.M.A. Data-Efficient Image Recognition with Contrastive Predictive Coding. In Proceedings of the International Conference on Machine Learning, Vienna, Austria, 13–18 July 2020; pp. 4182–4192. [Google Scholar]
- Chen, T.; Kornblith, S.; Norouzi, M.; Hinton, G. A Simple Framework for Contrastive Learning of Visual Representations. In Proceedings of the International Conference on Machine Learning, Vienna, Austria, 13–18 July 2020; pp. 1597–1607. [Google Scholar]
- Dey, N.; Schlemper, J.; Salehi, S.S.M.; Zhou, B.; Gerig, G.; Sofka, M. ContraReg: Contrastive Learning of Multi-Modality Unsupervised Deformable Image Registration. In Medical Image Computing and Computer Assisted Intervention–MICCAI 2022; Wang, L., Dou, Q., Fletcher, P.T., Speidel, S., Li, S., Eds.; Lecture Notes in Computer Science; Springer Nature: Cham, Switzerland, 2022; Volume 13436, pp. 66–77. ISBN 978-3-031-16445-3. [Google Scholar]
- He, K.; Zhang, X.; Ren, S.; Sun, J. Deep Residual Learning for Image Recognition. In Proceedings of the 2016 IEEE Conference on Computer Vision and Pattern Recognition (CVPR), Las Vegas, NV, USA, 27–30 June 2016; pp. 770–778. [Google Scholar]
- Huang, G.; Liu, Z.; Van Der Maaten, L.; Weinberger, K.Q. Densely Connected Convolutional Networks. In Proceedings of the 2017 IEEE Conference on Computer Vision and Pattern Recognition (CVPR), Honolulu, HI, USA, 21–26 July 2017; pp. 2261–2269. [Google Scholar]
- Ding, X.; Zhang, X.; Ma, N.; Han, J.; Ding, G.; Sun, J. RepVGG: Making VGG-Style ConvNets Great Again. In Proceedings of the 2021 IEEE/CVF Conference on Computer Vision and Pattern Recognition (CVPR), Nashville, TN, USA, 20–25 June 2021; pp. 13728–13737. [Google Scholar]
- LeCun, Y.; Bengio, Y.; Laboratories, T.B. Convolutional Networks for Images, Speech, and Time-Series. Handb. Brain Theory Neural Netw. 1995, 3361, 1995. [Google Scholar]
- Zhu, B.; Ye, Y.; Zhou, L.; Li, Z.; Yin, G. Robust Registration of Aerial Images and LiDAR Data Using Spatial Constraints and Gabor Structural Features. ISPRS J. Photogramm. Remote Sens. 2021, 181, 129–147. [Google Scholar] [CrossRef]
- Mok, T.C.W.; Li, Z.; Bai, Y.; Zhang, J.; Liu, W.; Zhou, Y.-J.; Yan, K.; Jin, D.; Shi, Y.; Yin, X.; et al. Modality-Agnostic Structural Image Representation Learning for Deformable Multi-Modality Medical Image Registration. In Proceedings of the 2024 IEEE/CVF Conference on Computer Vision and Pattern Recognition (CVPR), Seattle, WA, USA, 16 June 2024; pp. 11215–11225. [Google Scholar]
- Heinrich, M.P.; Jenkinson, M.; Papież, B.W.; Brady, S.M.; Schnabel, J.A. Towards Realtime Multimodal Fusion for Image-Guided Interventions Using Self-Similarities. In Advanced Information Systems Engineering; Salinesi, C., Norrie, M.C., Pastor, Ó., Eds.; Lecture Notes in Computer Science; Springer: Berlin/Heidelberg, Germany, 2013; Volume 7908, pp. 187–194. ISBN 978-3-642-38708-1. [Google Scholar]
- Xu, W.; Yuan, X.; Hu, Q.; Li, J. SAR-Optical Feature Matching: A Large-Scale Patch Dataset and a Deep Local Descriptor. Int. J. Appl. Earth Obs. Geoinf. 2023, 122, 103433. [Google Scholar] [CrossRef]
- Xiang, Y.; Wang, X.; Wang, F.; You, H.; Qiu, X.; Fu, K. A Global-to-Local Algorithm for High-Resolution Optical and SAR Image Registration. IEEE Trans. Geosci. Remote Sens. 2023, 61, 1–20. [Google Scholar] [CrossRef]
- Razakarivony, S.; Jurie, F. Vehicle Detection in Aerial Imagery: A Small Target Detection Benchmark. J. Vis. Commun. Image Represent. 2016, 34, 187–203. [Google Scholar] [CrossRef]
- Lindenberger, P.; Sarlin, P.-E.; Pollefeys, M. LightGlue: Local Feature Matching at Light Speed. In Proceedings of the 2023 IEEE/CVF International Conference on Computer Vision (ICCV), Paris, France, 1 October 2023; pp. 17581–17592. [Google Scholar]
Disclaimer/Publisher’s Note: The statements, opinions and data contained in all publications are solely those of the individual author(s) and contributor(s) and not of MDPI and/or the editor(s). MDPI and/or the editor(s) disclaim responsibility for any injury to people or property resulting from any ideas, methods, instructions or products referred to in the content. |
© 2025 by the authors. Licensee MDPI, Basel, Switzerland. This article is an open access article distributed under the terms and conditions of the Creative Commons Attribution (CC BY) license (https://creativecommons.org/licenses/by/4.0/).














