Partitioning Green and Blue Evapotranspiration by Improving Budyko Equation Using Remote Sensing Observations in an Arid/Semi-Arid Inland River Basin in China
Abstract
1. Introduction
2. Study Area and Data
2.1. Study Area
2.2. Data and Pre-Processing
2.2.1. Remote Sensing Data
2.2.2. Auxiliary Data
2.2.3. Ground Observations
2.2.4. Literature Data
3. Methods
3.1. GET and BET Estimation Based on Budyko Hypothesis
3.2. Evaluation Against Alternate Methods
3.2.1. Precipitation Deficit Method (PD)
3.2.2. Soil Water Balance Method (WB)
3.2.3. Numerical Experiment to Assess the Uncertainty Associated with the Input Data
3.2.4. Error Metrics
4. Results
4.1. Determination of the Vegetation-Specific Parameter (ωv) in the BH Method
4.2. Evaluation of BET and GET Partition
4.2.1. Evaluation at Site Scale
4.2.2. Spatial Variability of GET and BET
4.3. GET and BET Variability in the Heihe River Basin
4.3.1. Temporal Trend of GET and BET in HRB
4.3.2. GET and BET of Different Land Cover Types
5. Discussion
5.1. Uncertainty of Estimated GET and BET
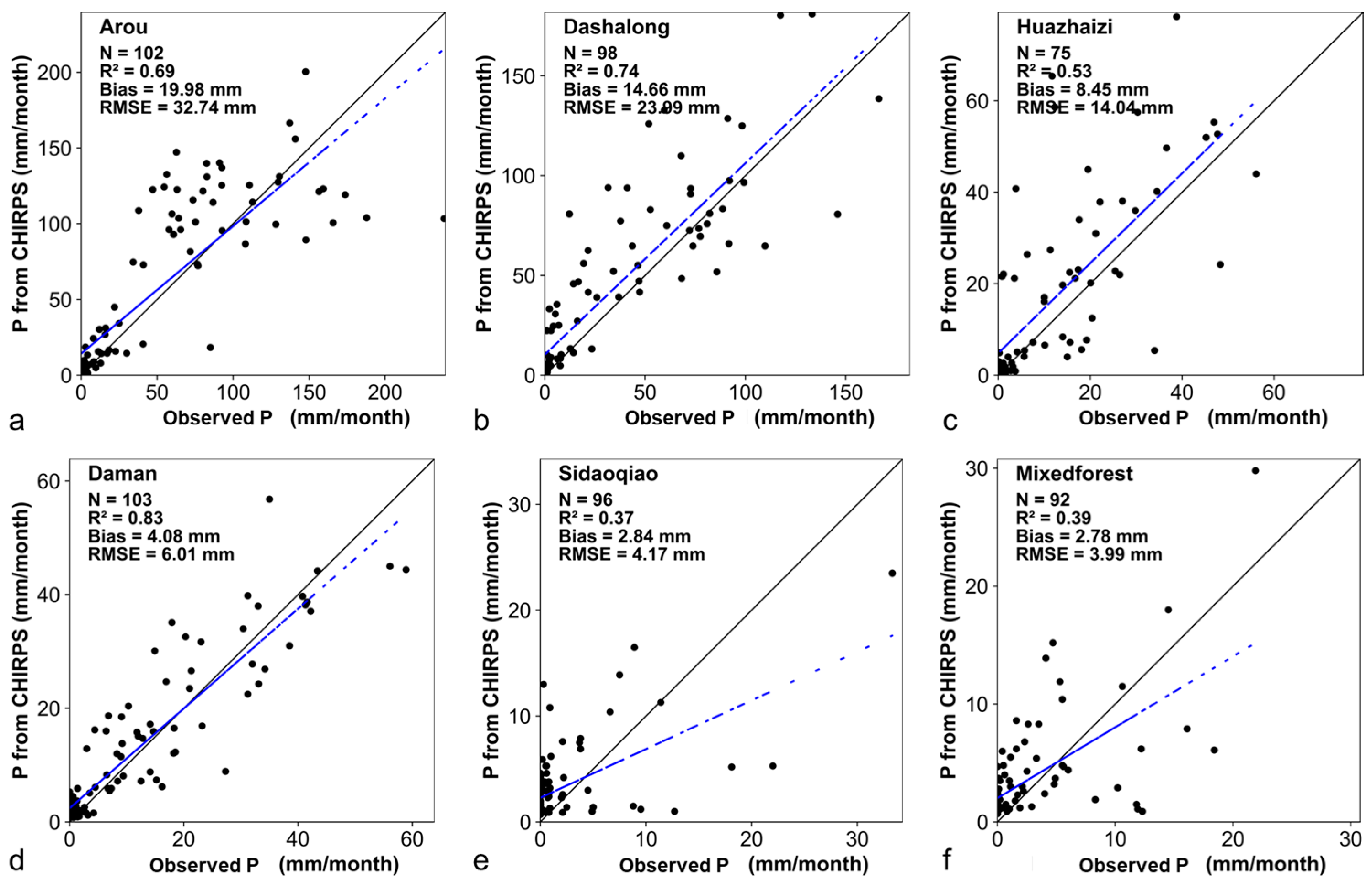
5.1.1. Evaluation of P and ET Retrievals
5.1.2. Uncertainty Propagated from the Input Data
5.2. Evaluating Estimates of the ω Parameter in the Budyko Equation
5.3. Comparative Assessment of Different Methods
5.4. Advantages of the Research Methods and Applicability in Other Study Areas
6. Conclusions
Author Contributions
Funding
Conflicts of Interest
References
- Karimi, P.; Bastiaanssen, W.G.M.; Molden, D. Water Accounting Plus (WA+)—A Water Accounting Procedure for Complex River Basins Based on Satellite Measurements. Hydrol. Earth Syst. Sci. 2013, 17, 2459–2472. [Google Scholar] [CrossRef]
- Karimi, P.; Bastiaanssen, W.G.M.; Molden, D.; Cheema, M.J.M. Basin-Wide Water Accounting Based on Remote Sensing Data: An Application for the Indus Basin. Hydrol. Earth Syst. Sci. 2013, 17, 2473–2486. [Google Scholar] [CrossRef]
- Molden, D. Accounting for Water Use and Productivity, SWIM Paper 1; International Irrigation Management Institute: Colombo, Sri Lanka, 1997. [Google Scholar]
- United Nations Statistics Division. System of Environmental Economic Accounting for Water; United Nations: New York, NY, USA, 2012; ISBN 978-92-1-161554-8. [Google Scholar]
- Dembélé, M.; Salvadore, E.; Zwart, S.; Ceperley, N.; Mariéthoz, G.; Schaefli, B. Water Accounting under Climate Change in the Transboundary Volta River Basin with a Spatially Calibrated Hydrological Model. J. Hydrol. 2023, 626, 130092. [Google Scholar] [CrossRef]
- Falkenmark, M. Land-Water Linkages: A Synopsis. In FAO, Land and Water Integration and River Basin Management, Proceedings of the FAO Informal Workshop, Rome, Italy, 31 January–2 February 1993; FAO Land and Water Bulletin 1; Food and Agriculture Organization: Rome, Italy, 1995; pp. 15–16. [Google Scholar]
- FAO. IHE Delft Water Accounting in the Awash River Basin; FAO WaPOR Water Accounting Reports; Food and Agriculture Organization: Rome, Italy, 2020. [Google Scholar]
- Patle, P.; Singh, P.K.; Ahmad, I.; Matsuno, Y.; Leh, M.; Ghosh, S. Spatio-Temporal Estimation of Green and Blue Water Consumptions and Water and Land Productivity Using Satellite Remote Sensing Datasets and WA+ Framework: A Case Study of the Mahi Basin, India. Agric. Water Manag. 2023, 277, 108097. [Google Scholar] [CrossRef]
- Falkenmark, M. Growing Water Scarcity in Agriculture: Future Challenge to Global Water Security. Philos. Trans. R. Soc. A Math. Phys. Eng. Sci. 2013, 371, 20120410. [Google Scholar] [CrossRef] [PubMed]
- Godfrey, J.M.; Chalmers, K. (Eds.) Water Accounting: International Approaches to Policy and Decision-Making; Edward Elgar: Cheltenham, Australia, 2012; ISBN 978-1-84980-749-4. [Google Scholar]
- Jeyrani, F.; Morid, S.; Srinivasan, R. Assessing Basin Blue–Green Available Water Components under Different Management and Climate Scenarios Using SWAT. Agric. Water Manag. 2021, 256, 107074. [Google Scholar] [CrossRef]
- Kivi, Z.R.; Javadi, S.; Karimi, N.; Shahdany, S.M.H.; Moghaddam, H.K. Performance Evaluation and Verification of Groundwater Balance Using WA+ as a New Water Accounting System. Environ. Monit. Assess. 2022, 194, 580. [Google Scholar] [CrossRef] [PubMed]
- Orth, R.; Destouni, G. Drought Reduces Blue-Water Fluxes More Strongly than Green-Water Fluxes in Europe. Nat. Commun. 2018, 9, 3602. [Google Scholar] [CrossRef]
- Rockstrom, J. Balancing Water for Humans and Nature: The New Approach in Ecohydrology; Routledge: London, UK, 2004; ISBN 978-1-84977-052-1. [Google Scholar]
- Rockström, J.; Falkenmark, M.; Karlberg, L.; Hoff, H.; Rost, S.; Gerten, D. Future Water Availability for Global Food Production: The Potential of Green Water for Increasing Resilience to Global Change. Water Resour. Res. 2009, 45, W00A12. [Google Scholar] [CrossRef]
- Schyns, J.F.; Hoekstra, A.Y.; Booij, M.J.; Hogeboom, R.J.; Mekonnen, M.M. Limits to the World’s Green Water Resources for Food, Feed, Fiber, Timber, and Bioenergy. Proc. Natl. Acad. Sci. USA 2019, 116, 4893–4898. [Google Scholar] [CrossRef]
- Chukalla, A.D.; Krol, M.S.; Hoekstra, A.Y. Green and Blue Water Footprint Reduction in Irrigated Agriculture: Effect of Irrigation Techniques, Irrigation Strategies and Mulching. Hydrol. Earth Syst. Sci. 2015, 19, 4877–4891. [Google Scholar] [CrossRef]
- Msigwa, A.; Chawanda, C.J.; Komakech, H.C.; Nkwasa, A.; van Griensven, A. Representation of Seasonal Land Use Dynamics in SWAT+ for Improved Assessment of Blue and Green Water Consumption. Hydrol. Earth Syst. Sci. 2022, 26, 4447–4468. [Google Scholar] [CrossRef]
- Döll, P.; Siebert, S. Global Modeling of Irrigation Water Requirements. Water Resour. Res. 2002, 38, 8-1–8-10. [Google Scholar] [CrossRef]
- Elbeltagi, A.; Aslam, M.R.; Mokhtar, A.; Deb, P.; Abubakar, G.A.; Kushwaha, N.L.; Venancio, L.P.; Malik, A.; Kumar, N.; Deng, J. Spatial and Temporal Variability Analysis of Green and Blue Evapotranspiration of Wheat in the Egyptian Nile Delta from 1997 to 2017. J. Hydrol. 2021, 594, 125662. [Google Scholar] [CrossRef]
- Karimi, P.; Pareeth, S.; Michailovsky, C. Rapid Assessment of the Water Accounts in Urmia Lake Basin; IHE Delft: Delft, The Netherlands, 2019. [Google Scholar]
- Senay, G.B.; Friedrichs, M.; Singh, R.K.; Velpuri, N.M. Evaluating Landsat 8 Evapotranspiration for Water Use Mapping in the Colorado River Basin. Remote Sens. Environ. 2016, 185, 171–185. [Google Scholar] [CrossRef]
- Hoekstra, A.Y. Green-Blue Water Accounting in a Soil Water Balance. Adv. Water Resour. 2019, 129, 112–117. [Google Scholar] [CrossRef]
- Simons, G.W.H.; Bastiaanssen, W.G.M.; Cheema, M.J.M.; Ahmad, B.; Immerzeel, W.W. A Novel Method to Quantify Consumed Fractions and Non-Consumptive Use of Irrigation Water: Application to the Indus Basin Irrigation System of Pakistan. Agric. Water Manag. 2020, 236, 106174. [Google Scholar] [CrossRef]
- Budyko, M.I. Climate and Life; Academic Press: New York, NY, USA, 1974. [Google Scholar]
- Msigwa, A.; Komakech, H.C.; Salvadore, E.; Seyoum, S.; Mul, M.L.; van Griensven, A. Comparison of Blue and Green Water Fluxes for Different Land Use Classes in a Semi-Arid Cultivated Catchment Using Remote Sensing. J. Hydrol. Reg. Stud. 2021, 36, 100860. [Google Scholar] [CrossRef]
- Ghorbanpour, A.K.; Afshar, A.; Hessels, T.; Duan, Z. Water and Productivity Accounting Using WA+ Framework for Sustainable Water Resources Management: Case Study of Northwestern Iran. Phys. Chem. Earth Parts A/B/C 2022, 128, 103245. [Google Scholar] [CrossRef]
- Fu, B. On the Calculation of the Evaporation from Land Surface. Chin. J. Atmos. Sci. 1981, 5, 23–31. [Google Scholar] [CrossRef]
- Zhang, L.; Hickel, K.; Dawes, W.R.; Chiew, F.H.S.; Western, A.W.; Briggs, P.R. A Rational Function Approach for Estimating Mean Annual Evapotranspiration. Water Resour. Res. 2004, 40, W02502. [Google Scholar] [CrossRef]
- Choudhury, B.J. Evaluation of an Empirical Equation for Annual Evaporation Using Field Observations and Results from a Biophysical Model. J. Hydrol. 1999, 216, 99–110. [Google Scholar] [CrossRef]
- Yang, H.; Yang, D.; Lei, Z.; Sun, F. New Analytical Derivation of the Mean Annual Water-Energy Balance Equation. Water Resour. Res. 2008, 44, W03410. [Google Scholar] [CrossRef]
- Cheng, S.; Cheng, L.; Qin, S.; Zhang, L.; Liu, P.; Liu, L.; Xu, Z.; Wang, Q. Improved Understanding of How Catchment Properties Control Hydrological Partitioning Through Machine Learning. Water Resour. Res. 2022, 58, e2021WR031412. [Google Scholar] [CrossRef]
- Li, D.; Pan, M.; Cong, Z.; Zhang, L.; Wood, E. Vegetation Control on Water and Energy Balance within the Budyko Framework. Water Resour. Res. 2013, 49, 969–976. [Google Scholar] [CrossRef]
- Chen, Z.; Wang, W.; Woods, R.A.; Shao, Q. Hydrological Effects of Change in Vegetation Components across Global Catchments. J. Hydrol. 2021, 595, 125775. [Google Scholar] [CrossRef]
- Liu, M.; Lin, K.; Cai, X. Climate and Vegetation Seasonality Play Comparable Roles in Water Partitioning within the Budyko Framework. J. Hydrol. 2022, 605, 127373. [Google Scholar] [CrossRef]
- Abatzoglou, J.T.; Ficklin, D.L. Climatic and Physiographic Controls of Spatial Variability in Surface Water Balance over the Contiguous United States Using the Budyko Relationship. Water Resour. Res. 2017, 53, 7630–7643. [Google Scholar] [CrossRef]
- Bai, P.; Liu, X.; Zhang, D.; Liu, C. Estimation of the Budyko Model Parameter for Small Basins in China. Hydrol. Process. 2020, 34, 125–138. [Google Scholar] [CrossRef]
- Liu, J.; You, Y. The Roles of Catchment Characteristics in Precipitation Partitioning Within the Budyko Framework. J. Geophys. Res. Atmos. 2021, 126, e2021JD035168. [Google Scholar] [CrossRef]
- Koppa, A.; Alam, S.; Miralles, D.G.; Gebremichael, M. Budyko-Based Long-Term Water and Energy Balance Closure in Global Watersheds from Earth Observations. Water Resour. Res. 2021, 57, e2020WR028658. [Google Scholar] [CrossRef]
- Li, Z.; Quiring, S.M. Investigating Spatial Heterogeneity of the Controls of Surface Water Balance in the Contiguous United States by Considering Anthropogenic Factors. J. Hydrol. 2021, 601, 126621. [Google Scholar] [CrossRef]
- Xu, X.; Liu, W.; Scanlon, B.R.; Zhang, L.; Pan, M. Local and Global Factors Controlling Water-energy Balances within the Budyko Framework. Geophys. Res. Lett. 2013, 40, 6123–6129. [Google Scholar] [CrossRef]
- Alonso Vicario, S.; Hornberger, G.M.; Mazzoleni, M.; Garcia, M. The Importance of Climate and Anthropogenic Influence in Precipitation Partitioning in the Contiguous United States. J. Hydrol. 2024, 633, 130984. [Google Scholar] [CrossRef]
- Gentine, P.; D’Odorico, P.; Lintner, B.R.; Sivandran, G.; Salvucci, G. Interdependence of Climate, Soil, and Vegetation as Constrained by the Budyko Curve. Geophys. Res. Lett. 2012, 39, L19404. [Google Scholar] [CrossRef]
- Nkiaka, E.; Okafor, G.C. Changes in Climate, Vegetation Cover and Vegetation Composition Affect Runoff Generation in the Gulf of Guinea Basin. Hydrol. Process. 2024, 38, e15124. [Google Scholar] [CrossRef]
- Du, C.; Sun, F.; Yu, J.; Liu, X.; Chen, Y. New Interpretation of the Role of Water Balance in an Extended Budyko Hypothesis in Arid Regions. Hydrol. Earth Syst. Sci. 2016, 20, 393–409. [Google Scholar] [CrossRef]
- Shao, Q.; Traylen, A.; Zhang, L. Nonparametric Method for Estimating the Effects of Climatic and Catchment Characteristics on Mean Annual Evapotranspiration. Water Resour. Res. 2012, 48, W03517. [Google Scholar] [CrossRef]
- Yang, D.; Shao, W.; Yeh, P.J.-F.; Yang, H.; Kanae, S.; Oki, T. Impact of Vegetation Coverage on Regional Water Balance in the Nonhumid Regions of China. Water Resour. Res. 2009, 45, W00A14. [Google Scholar] [CrossRef]
- Yang, D.; Sun, F.; Liu, Z.; Cong, Z.; Ni, G.; Lei, Z. Analyzing Spatial and Temporal Variability of Annual Water-Energy Balance in Nonhumid Regions of China Using the Budyko Hypothesis. Water Resour. Res. 2007, 43, W04426. [Google Scholar] [CrossRef]
- Chen, Y.; Chen, X.; Xue, M.; Yang, C.; Zheng, W.; Cao, J.; Yan, W.; Yuan, W. Revisiting the Hydrological Basis of the Budyko Framework with the Principle of Hydrologically Similar Groups. Hydrol. Earth Syst. Sci. 2023, 27, 1929–1943. [Google Scholar] [CrossRef]
- Ning, T.; Li, Z.; Liu, W. Vegetation Dynamics and Climate Seasonality Jointly Control the Interannual Catchment Water Balance in the Loess Plateau under the Budyko Framework. Hydrol. Earth Syst. Sci. 2017, 21, 1515–1526. [Google Scholar] [CrossRef]
- Zhang, X.; Xiong, Z.; Yan, X. Modeling Precipitation Changes in the Heihe River Basin, Northwest China, from 1980 to 2014 with the Regional Integrated Environment Modeling System (RIEMS) Nested with ERA-Interim Reanalysis Data. Theor. Appl. Clim. 2019, 137, 493–503. [Google Scholar] [CrossRef]
- Li, X.; Cheng, G.; Liu, S.; Xiao, Q.; Ma, M.; Jin, R.; Che, T.; Liu, Q.; Wang, W.; Qi, Y.; et al. Heihe Watershed Allied Telemetry Experimental Research (HiWATER): Scientific Objectives and Experimental Design. Bull. Am. Meteorol. Soc. 2013, 94, 1145–1160. [Google Scholar] [CrossRef]
- Li, X.; Cheng, G.; Ge, Y.; Li, H.; Han, F.; Hu, X.; Tian, W.; Tian, Y.; Pan, X.; Nian, Y.; et al. Hydrological Cycle in the Heihe River Basin and Its Implication for Water Resource Management in Endorheic Basins. J. Geophys. Res. Atmos. 2018, 123, 890–914. [Google Scholar] [CrossRef]
- Hu, G.; Jia, L. Monitoring of Evapotranspiration in a Semi-Arid Inland River Basin by Combining Microwave and Optical Remote Sensing Observations. Remote Sens. 2015, 7, 3056–3087. [Google Scholar] [CrossRef]
- Zheng, C.; Jia, L.; Hu, G. Global Land Surface Evapotranspiration Monitoring by ETMonitor Model Driven by Multi-Source Satellite Earth Observations. J. Hydrol. 2022, 613, 128444. [Google Scholar] [CrossRef]
- Zheng, C.; Jia, L. Global Canopy Rainfall Interception Loss Derived from Satellite Earth Observations. Ecohydrology 2020, 13, e2186. [Google Scholar] [CrossRef]
- Allen, R.G.; Pereira, L.S.; Raes, D.; Smith, M. Crop Evapotranspiration-Guidelines for Computing Crop Water Requirements-FAO Irrigation and Drainage Paper 56; Food and Agriculture Organization: Rome, Italy, 1998; Volume 300, p. D05109. [Google Scholar]
- Funk, C.C.; Peterson, P.J.; Landsfeld, M.F.; Pedreros, D.H.; Verdin, J.P.; Rowland, J.D.; Romero, B.E.; Husak, G.J.; Michaelsen, J.C.; Verdin, A.P. A Quasi-Global Precipitation Time Series for Drought Monitoring; U.S. Geological Survey Data Series: Reston, VA, USA, 2014; Series 832; p. 4. [Google Scholar]
- Zhong, B.; Yang, A.; Nie, A.; Yao, Y.; Zhang, H.; Wu, S.; Liu, Q. Finer Resolution Land-Cover Mapping Using Multiple Classifiers and Multisource Remotely Sensed Data in the Heihe River Basin. IEEE J. Sel. Top. Appl. Earth Obs. Remote Sens. 2015, 8, 4973–4992. [Google Scholar] [CrossRef]
- Zhong, B.; Yang, A.; Jue, K.; Wu, J. Long Time Series High-Quality and High-Consistency Land Cover Mapping Based on Machine Learning Method at Heihe River Basin. Remote Sens. 2021, 13, 1596. [Google Scholar] [CrossRef]
- Simons, G.; Koster, R.; Droogers, P. HiHydroSoil v2.0—A High Resolution Soil Map of Global Hydraulic Properties; FutureWater report 134: Wageningen, The Netherlands, 2020. [Google Scholar]
- Liu, S.; Li, X.; Xu, Z.; Che, T.; Xiao, Q.; Ma, M.; Liu, Q.; Jin, R.; Guo, J.; Wang, L.; et al. The Heihe Integrated Observatory Network: A Basin-Scale Land Surface Processes Observatory in China. Vadose Zone J. 2018, 17, 180072. [Google Scholar] [CrossRef]
- Yan, X. Estimation of Irrigation Efficience at Different Scales in the Middle Stream of Heihe River Irrigation District; China Institute of Water Resources and Hydropower Research: Beijing, China, 2015. [Google Scholar]
- Jiang, Y. Simulation Analysis and Optimal Regulation for Agro-Hydrological Processes and Water Use Efficiency on Multiple Scales of the Middle Heihe River Basin; China Agricultural University: Beijing, China, 2017. [Google Scholar]
- Chen, X.; Sivapalan, M. Hydrological Basis of the Budyko Curve: Data-Guided Exploration of the Mediating Role of Soil Moisture. Water Resour. Res. 2020, 56, e2020WR028221. [Google Scholar] [CrossRef]
- van Eekelen, M.W.; Bastiaanssen, W.G.M.; Jarmain, C.; Jackson, B.; Ferreira, F.; van der Zaag, P.; Saraiva Okello, A.; Bosch, J.; Dye, P.; Bastidas-Obando, E.; et al. A Novel Approach to Estimate Direct and Indirect Water Withdrawals from Satellite Measurements: A Case Study from the Incomati Basin. Agric. Ecosyst. Environ. 2015, 200, 126–142. [Google Scholar] [CrossRef]
- Jia, L.; Shang, H.; Hu, G.; Menenti, M. Phenological Response of Vegetation to Upstream River Flow in the Heihe Rive Basin by Time Series Analysis of MODIS Data. Hydrol. Earth Syst. Sci. 2011, 15, 1047–1064. [Google Scholar] [CrossRef]
- Dastane, N.G. Effective Rainfall in Irrigated Agriculture; FAO Irrigation and Drainage Paper No: 25; Food and Agriculture Organization: Rome, Italy, 1978. [Google Scholar]
- Muratoglu, A.; Bilgen, G.K.; Angin, I.; Kodal, S. Performance Analyses of Effective Rainfall Estimation Methods for Accurate Quantification of Agricultural Water Footprint. Water Res. 2023, 238, 120011. [Google Scholar] [CrossRef]
- Smith, M. (Ed.) CROPWAT: A Computer Program for Irrigation Planning and Management; FAO Irrigation and Drainage Paper No. 46; Food and Agriculture Organization: Rome, Italy, 1992; ISBN 978-92-5-103106-3. [Google Scholar]
- Choudhury, B.J.; DiGirolamo, N.E. A Biophysical Process-Based Estimate of Global Land Surface Evaporation Using Satellite and Ancillary Data I. Model Description and Comparison with Observations. J. Hydrol. 1998, 205, 164–185. [Google Scholar] [CrossRef]
- Schaake, J.C.; Koren, V.I.; Duan, Q.-Y.; Mitchell, K.; Chen, F. Simple Water Balance Model for Estimating Runoff at Different Spatial and Temporal Scales. J. Geophys. Res. Atmos. 1996, 101, 7461–7475. [Google Scholar] [CrossRef]
- Li, X.; Cheng, G.; Fu, B.; Xia, J.; Zhang, L.; Yang, D.; Zheng, C.; Liu, S.; Li, X.; Song, C.; et al. Linking Critical Zone with Watershed Science: The Example of the Heihe River Basin. Earth’s Future 2022, 10, e2022EF002966. [Google Scholar] [CrossRef]
- Cai, W.; Jiang, X.; Sun, H.; Lei, Y.; Nie, T.; Li, L. Spatial Scale Effect of Irrigation Efficiency Paradox Based on Water Accounting Framework in Heihe River Basin, Northwest China. Agric. Water Manag. 2023, 277, 108118. [Google Scholar] [CrossRef]
- Zhang, A.; Zheng, C.; Wang, S.; Yao, Y. Analysis of Streamflow Variations in the Heihe River Basin, Northwest China: Trends, Abrupt Changes, Driving Factors and Ecological Influences. J. Hydrol. Reg. Stud. 2015, 3, 106–124. [Google Scholar] [CrossRef]
- Zhang, L.; Potter, N.; Hickel, K.; Zhang, Y.; Shao, Q. Water Balance Modeling over Variable Time Scales Based on the Budyko Framework—Model Development and Testing. J. Hydrol. 2008, 360, 117–131. [Google Scholar] [CrossRef]
- Zang, C.; Liu, J.; Gerten, D.; Jiang, L. Influence of Human Activities and Climate Variability on Green and Blue Water Provision in the Heihe River Basin, NW China. J. Water Clim. Chang. 2015, 6, 800–815. [Google Scholar] [CrossRef]
- Zhang, R.; Wang, L. Characteristics of Green and Blue Water Flow of Hydrological Landscapes of Upper Heihe in Northwest China. J. Phys. Conf. Ser. 2020, 1637, 012074. [Google Scholar] [CrossRef]
- Hoogeveen, J.; Faurès, J.-M.; Peiser, L.; Burke, J.; van de Giesen, N. GlobWat—A Global Water Balance Model to Assess Water Use in Irrigated Agriculture. Hydrol. Earth Syst. Sci. 2015, 19, 3829–3844. [Google Scholar] [CrossRef]
- Shang, K.; Yao, Y.; Di, Z.; Jia, K.; Zhang, X.; Fisher, J.B.; Chen, J.; Guo, X.; Yang, J.; Yu, R.; et al. Coupling Physical Constraints with Machine Learning for Satellite-Derived Evapotranspiration of the Tibetan Plateau. Remote Sens. Environ. 2023, 289, 113519. [Google Scholar] [CrossRef]
- Zhao, W.L.; Gentine, P.; Reichstein, M.; Zhang, Y.; Zhou, S.; Wen, Y.; Lin, C.; Li, X.; Qiu, G.Y. Physics-Constrained Machine Learning of Evapotranspiration. Geophys. Res. Lett. 2019, 46, 14496–14507. [Google Scholar] [CrossRef]










| Station | Lon (°) | Lat (°) | Elev (m) | Land Cover | Time Period | Location |
|---|---|---|---|---|---|---|
| Arou | 100.46 | 38.05 | 3033 | Grassland | 2013–2021 | Upstream |
| Dashalong | 98.94 | 38.84 | 3739 | Grassland | 2013–2021 | Upstream |
| Daman | 100.37 | 38.86 | 1556 | Cropland | 2013–2021 | Midstream |
| Huazhaizi | 100.32 | 38.77 | 1731 | Bare land | 2013–2021 | Midstream |
| Mixedforest | 101.13 | 41.99 | 874 | Forest and Shrubland | 2013–2021 | Downstream |
| Sidaoqiao | 101.14 | 42.00 | 873 | Shrubland | 2013–2021 | Downstream |
| Year | Experimental Results (mm/a) | BET (mm/a) | PBIAS (%) | RMSE (mm/a) | ||||||
|---|---|---|---|---|---|---|---|---|---|---|
| BH | WB | PD | BH | WB | PD | BH | WB | PD | ||
| 2012 | 308.3 ± 90.1 | 373.8 ± 103.7 | 381.8 ± 102.0 | 380.0 ± 103.8 | 23.8 | 26.9 | 25.8 | 84.8 | 90.8 | 89.5 |
| 2013 | 249.4 ± 62.0 | 346.2 ± 107.1 | 348.3 ± 106.1 | 352.9 ± 107.5 | 37.4 | 38.3 | 39.9 | 113.6 | 115.0 | 119.4 |
| GET (mm/a) | BET (mm/a) | |||||
|---|---|---|---|---|---|---|
| BH | WB | PD | BH | WB | PD | |
| Whole basin | 317.6 ± 16.6 | 301.2 ± 18.3 | 314.6 ± 17.4 | 128.0 ± 16.2 | 144.4 ± 17.1 | 131.0 ± 15.6 |
| Upstream | 372.0 ± 48.7 | 353.2 ± 48.1 | 372.8 ± 52.0 | 64.8 ± 48.3 | 83.6 ± 46.5 | 64.0 ± 50.9 |
| Midstream | 185.4 ± 33.1 | 173.8 ± 31.2 | 174.0 ± 30.3 | 275.6 ± 24.6 | 287.3 ± 25.0 | 287.0 ± 25.1 |
| Downstream | 49.8 ± 6.3 | 48.6 ± 6.0 | 48.8 ± 6.0 | 242.5 ± 32.7 | 244.1 ± 32.1 | 243.4 ± 32.8 |
Disclaimer/Publisher’s Note: The statements, opinions and data contained in all publications are solely those of the individual author(s) and contributor(s) and not of MDPI and/or the editor(s). MDPI and/or the editor(s) disclaim responsibility for any injury to people or property resulting from any ideas, methods, instructions or products referred to in the content. |
© 2025 by the authors. Licensee MDPI, Basel, Switzerland. This article is an open access article distributed under the terms and conditions of the Creative Commons Attribution (CC BY) license (https://creativecommons.org/licenses/by/4.0/).
Share and Cite
Zhou, D.; Zheng, C.; Jia, L.; Menenti, M. Partitioning Green and Blue Evapotranspiration by Improving Budyko Equation Using Remote Sensing Observations in an Arid/Semi-Arid Inland River Basin in China. Remote Sens. 2025, 17, 612. https://doi.org/10.3390/rs17040612
Zhou D, Zheng C, Jia L, Menenti M. Partitioning Green and Blue Evapotranspiration by Improving Budyko Equation Using Remote Sensing Observations in an Arid/Semi-Arid Inland River Basin in China. Remote Sensing. 2025; 17(4):612. https://doi.org/10.3390/rs17040612
Chicago/Turabian StyleZhou, Dingwang, Chaolei Zheng, Li Jia, and Massimo Menenti. 2025. "Partitioning Green and Blue Evapotranspiration by Improving Budyko Equation Using Remote Sensing Observations in an Arid/Semi-Arid Inland River Basin in China" Remote Sensing 17, no. 4: 612. https://doi.org/10.3390/rs17040612
APA StyleZhou, D., Zheng, C., Jia, L., & Menenti, M. (2025). Partitioning Green and Blue Evapotranspiration by Improving Budyko Equation Using Remote Sensing Observations in an Arid/Semi-Arid Inland River Basin in China. Remote Sensing, 17(4), 612. https://doi.org/10.3390/rs17040612

