Abstract
Frequency Diverse Array Multiple-Input Multiple-Output (FDA-MIMO) radar introduces range-dependent beamforming capabilities, enhancing its ability to differentiate true targets from main lobe jammers. However, this innovation also introduces new challenges, particularly when errors disrupt the transceiver steering vectors, leading to performance degradation in main lobe interference suppression. To this end, a robust beamforming method tailored for FDA-MIMO radar systems is proposed to address signal mismatches caused by range–angle errors, array element position errors, frequency offsets, and coherent local scattering. Initially, a logarithmic function is used to decouple range and angle, enabling the design of a stable beampattern. The desired steering vector is then computed by addressing an optimization problem that leverages the interference-plus-noise covariance matrix alongside the signal-plus-noise covariance matrix. This estimation process, combined with mismatch correction through the diagonal loading method, significantly stabilizes the covariance matrix and enhances the robustness of FDA-MIMO systems. Extensive simulations validate the proposed approach across various error scenarios specific to FDA-MIMO radars, demonstrating superior robustness in main lobe interference suppression. These findings contribute to advancing robust beamforming techniques for FDA-MIMO radar systems, paving the way for enhanced performance in complex and error-prone environments.
1. Introduction
In complex electromagnetic environments, radar systems face significant challenges in detecting targets due to various types of interference [1,2], especially main lobe interference [3]. Adaptive beamforming is widely used in fields like communication, sonar, and radar for its effectiveness in mitigating interference [4,5]. However, it is challenging to attain improved beamforming performance in mitigating main lobe interference when the actual steering vectors of correlated signals are unknown or when the actual interference-plus-noise covariance matrix (INCM) contains elements related to the desired signal (DS). Additional issues, including signal direction of arrival (DOA) estimation errors, array calibration mismatches, and range quantization errors, can further degrade adaptive beamforming performance and affect main lobe interference suppression.
In order to enhance robustness resisting such mismatches, many robust beamforming methods have been explored [6,7,8,9,10]. These techniques encompass subspace-based methods [11,12,13], linearly constrained minimum variance (LCMV) beamforming [14], diagonal loading (DL) approaches [15], worst-case optimization methods [16], and, drawing from worst-case performance optimization, the newly developed adaptive beamformers employing uncertainty-set-based algorithm [17]. Subspace-based methods have gained significant attention due to their ability to exploit spatial characteristics for interference mitigation. Subspace beamforming primarily relies on eigenvalue decomposition or singular value decomposition to extract the signal and interference subspaces. The eigenspace-based beamformer projects the array weights onto the signal subspace to refine the target steering vector, offering rapid convergence and high robustness. However, the effectiveness of this method significantly deteriorates under low signal-to-noise ratio (SNR) conditions or with limited snapshots [18,19]. The conventional DL technique is widely used because of its simplicity and effectiveness in preventing DS self-cancellation. While straightforward, determining the appropriate loading factor is challenging. The worst-case optimization method degrades interference rejection performance when dealing with large mismatched target steering vectors. The uncertainty-set-based algorithm [20] can be used to estimate the DS, thus enhancing robustness against mismatches. However, its effectiveness heavily depends on selecting appropriate uncertainty parameters. Despite these advancements, accurately accounting for steering vector mismatches and error bounds remains challenging in practical applications. Consequently, there is a pressing need to develop low-complexity, robust adaptive beamforming techniques.
Recently, researchers have explored combining existing algorithms to enhance beamforming robustness. For instance, a novel interference source covariance matrix diagonal loading method was proposed [21] to prevent DS from being suppressed, demonstrating strong performance across various input SNR conditions. Similarly, the subspace-constrained diagonal loading (SSC-DL) method was introduced to improve robust beamforming by mitigating DoA mismatches [22]. Although SSC-DL achieves excellent output SINR performance, the optimal selection of the diagonal loading factor and subspace dimension in practical applications remains unclear [23]. Furthermore, in scenarios with a limited number of snapshots, noise eigenvalue discretization in the sample covariance matrix can degrade beamforming performance. To address this issue, a matrix decomposition-based diagonal loading beamforming algorithm was proposed [24] to enhance numerical stability and robustness. In addition, under complex interference conditions, a robust source enumeration algorithm was developed to effectively handle both white and colored noise, integrating adaptive diagonal loading with linear shrinkage coefficients to improve estimation accuracy and stability [25].
Frequency Diverse Array Multiple-Input Multiple-Output (FDA-MIMO) radars have recently gained attention for their ability to provide additional degrees of freedom (DOFs) in the range domain [26], proving more effective in mitigating main lobe jammers [27,28,29]. Xu et al. pioneered the use of FDA-MIMO architectures for suppressing main lobe interference [27] and advanced the direct data-domain method for this purpose [30], achieving greater robustness and interference mitigation. A robust adaptive beamforming approach was proposed in [31] to suppress interference located in the main and side lobe positions while accounting for angular and amplitude-phase errors in FDA-MIMO radar. A robust FDA-MIMO beamformer was developed in [32] for the random deceptive interference suppression problem. The authors of [33] extended a robust beamformer using covariance matrix reconstruction to counteract deceptive jamming in FDA-MIMO radars. Additionally, covariance matrix reconstruction with null broadening, as in [34], introduces artificial fluctuations around jammers to robustness against fast-moving jammers and to solve the platform motion problem. The authors of [35] investigated the robust moving target detection for FDA-MIMO radar, which considers a target that is embedded in a Gaussian clutter environment with an unknown covariance matrix. In the work [36], a robust adaptive beamforming algorithm based on minimally redundant arrays is investigated for the FDA-MIMO radar, addressing multiple main lobe interferences using virtual domain signals. However, this approach has a limit on the number of transmitting units. Although the above methods have made some progress in main lobe interference suppression by designing robust beams, there are relatively few studies considering the simultaneous presence of range and angular errors in the joint transceiver steering vectors of FDA-MIMO radar.
Unlike traditional phased-array radars, FDA-MIMO radars take advantage of range dimensionality, which has led to significant advancements in addressing both angular and ranging estimation problems [37,38,39]. However, in practical implementations, FDA-MIMO radar systems often encounter a mismatch between the ideal and actual focus of the target signal in both the angular and distance domains. This misalignment necessitates a large feasible region to accurately recover the true steering vector from the assumed one, which results in deteriorated beamforming performance and reduced main lobe interference rejection [40]. While conventional beamforming algorithms, primarily designed for phased-array and MIMO systems, focus mainly on correcting angular errors, there is relatively little research specifically addressing the unique challenges of FDA-MIMO radar. FDA radar requires a more comprehensive approach that simultaneously accounts for both range and angular errors to ensure robust performance.
To address these challenges, inspired by the work in [41], a novel SINR-based robust beamforming method for FDA-MIMO radar systems was proposed, combining the subspace method and DL techniques, termed robust subspace–DL beamforming (RSDLB). First, a logarithmic function is applied to decouple range and angle, enabling a stable beampattern. Next, a novel convex optimization problem is proposed and solved to determine the DS vector using the interference-plus-noise subspace and the signal-plus-noise covariance matrix. Finally, the robustness of the FDA-MIMO system is enhanced through the application of the DL method. The effectiveness of the proposed method is validated using simulations, accompanied by an experimental analysis that compares it with existing robust beamforming techniques.
Our study addresses critical challenges unique to FDA-MIMO radar systems and offers the following significant contributions:
- Robust beamforming tailored for FDA-MIMO radars: A robust beamforming framework specifically designed for FDA-MIMO radar systems is proposed. This method applies subspace decomposition, steering vector estimation, and diagonal loading—well-established techniques in conventional phased-array systems—to address range–angle mismatches and optimize the signal-to-interference-plus-noise ratio (SINR). The novelty lies in adapting these methods to FDA-MIMO’s unique range-dependent beamforming framework.
- INCM estimation for FDA-MIMO: Building on traditional INCM reconstruction techniques and adapted to account for the spatial-temporal characteristics of FDA-MIMO systems, by leveraging a reduced angle set identified through the Capon spatial spectrum and using eigen-decomposition to separate signal and interference, followed by mismatch correction with the diagonal loading technique, this method accommodates the range–angle information inherent to FDA-MIMO radar, ensuring accurate interference-plus-noise covariance matrix estimation.
- Comprehensive error analysis in FDA-MIMO contexts: Beyond range–angle mismatches, the analysis is extended to address issues such as array element position errors, frequency offsets, and coherent local scattering—key challenges that disrupt FDA-MIMO’s transmit–receive steering vectors. While these error scenarios are well studied in conventional systems, their impact on FDA-MIMO radar performance and the corresponding robustness of our method are explored comprehensively for the first time.
- Enhanced FDA-MIMO interference suppression: Significant improvements in main lobe interference suppression have been achieved by combining existing beamforming techniques with the range-dependent framework of the FDA-MIMO radar. This contribution highlights the system’s potential for robust performance under complex error-prone conditions, demonstrating its practical relevance in challenging radar environments.
To ensure generality and facilitate the discussion of the problem, if there are no special instructions, the simulations in this paper use uniform line arrays and make the following assumptions about the arrays and signal sources:
- (1)
- The signal source is assumed to be a narrowband far-field signal;
- (2)
- The array is blur-free, which is to say that the total number of signal sources arriving at the array is equal to the rank of the direction matrix;
- (3)
- It is assumed that the number of signal sources incident on the array is fewer than the number of array units.
2. Methodology
2.1. FDA-MIMO Radar Signal Model
As depicted in Figure 1, a collocated FDA-MIMO radar is considered, comprising M transmitting units and N receiving units, with the spacing between each element denoted as for the transmitters and for the receivers. To prevent the influence of the aliasing effect, both and are consistently set to half the wavelength of the maximum emission frequency, specifically, , with , of which and denotes the speed of light. The frequency increment is denoted as , with representing the center frequency, where . So, the carrying frequency of the transmitting element is given by the following expression:
Figure 1.
Diagram of colocated FDA-MIMO radar.
The transmission signal from the array unit can be defined as follows:
where denotes the complex envelope of the transmit element. Unlike FDA radar, FDA-MIMO radar incorporates the characteristics of MIMO radar, ensuring that the signal envelopes transmitted by different elements are orthogonal to one another. This orthogonality is crucial because it allows for independent signal separation at the receiver, reducing interference and simplifying signal processing. Consequently, the complex envelopes of the transmitted signals can be expressed as follows [42]:
Suppose there is a target in the far field with a distance from the first array element of and an angle of . After the point target scatters the transmitted signal, the receiving signal at the array unit has the following form:
where is the attenuation of the signal as it propagates and denotes the signal propagation delay, which has the following form:
where and are the array element placement intervals for the transmitter and receiver arrays, respectively. c denotes the speed of light; is the common delay term. and are the delay terms caused by the structure of the FDA-MIMO radar transmitting and receiving arrays, respectively.
Under the assumption of a narrowband waveform, . At the receiver side as shown in Figure 2, after matching filtering using the reference signal , the output of the receiver can be calculated by
where is a complex-valued scattering coefficient, related to transmitting amplitude, phase, target reflectivity, and channel propagation effects.
Figure 2.
FDA-MIMO radar reception and processing.
By applying matched filtering to the M waveforms and subsequently stacking the received signals, snapshots are obtained. Thus, we allow the target signal to be represented as a vector
where , ⊗ is the Kronecker product, and represents transpose operation. The vectors and represent the receiving and transmitting steering vectors, respectively, and are expressed as follows:
where ⨀ denotes the Hardmard product and and are the range-dependent and angle-dependent transmitting steering vectors, respectively. Equation (9) shows that, unlike traditional MIMO radar, where the transmit steering vector includes only target angle information, the FDA-MIMO radar’s transmit steering vector incorporates both angle and range information. Therefore, this enables FDA-MIMO radar to be better against main lobe range-deceptive jamming due to the additional information related to the range dimension.
Consider uncorrelated, narrow-band signals originating from far-field sources, consisting of one DS and Q jamming. So, the array’s received complex sample vector at the snapshot has the following form:
where and are the desired signal and interference components, respectively, and denotes additive white Gaussian noise with zero mean and variance . , , with denoting the scattering coefficient of the target, , with being the complex echo amplitude of the interference sampled at time k. Specifically, and represent the transmit and receive steering vectors of the DS, respectively, while and correspond to the transmit and receive steering vectors of the interference signal. is the array manifold matrix, which can be expressed as
where the denotes the transceiver steering vector associated with the target.
2.2. Output SINR
After the beamforming process, the array beamformer output is
where represents the weight vector of the designed beamformer. The system output SINR of the designed beamformer could be obtained from [43]:
where is the signal power and denotes the INCM.
The optimal weight vector w is obtained by maximizing the beamformer output SINR. So, the problem of mathematically maximizing Equation (14) becomes
Using the Lagrange multiplier method, solving the above equation yields an expression for the array of adaptive weights as
In practice, the INCM is often replaced by the sample covariance matrix of the received data. However, factors such as the limited number of snapshots and inaccuracies in the desired signal steering vector can significantly degrade beamforming performance, making it necessary to reconstruct the precise INCM [44]. As shown in Equation (16), the optimal weight vector solution depends on . However, is often unavailable or inaccurate because of various mismatches. These include errors caused in the array calibration process, DOA estimation errors, phase and gain inaccuracies, and mismatches in the spatial features of the signal. Therefore, the steering vector mismatch for must also be considered.
2.3. Frequency Diverse Array Covariance Matrix Reconstruction
It is presumed that the DS, interference, and noise are statistically uncorrelated. The position of a source is defined by the DOA of the corresponding plane wave in relation to the array axis. The term indicates the corner sector from which the desired signal originated, while the term represents the sector that complements it in the overall spatial domain. Suppose the entire domain is split into two sections: the noise domain and the interference domain . If the interferences are contained within the interference domain, the covariance matrix of the interference is calculated by using a small integration interval, which can greatly mitigate angular and range inaccuracies in the steering vector.
As we know, noise power is always lower than interference power and the interference power is theoretically unknown beforehand. The noise power, however, can be obtained from the eigen-decomposition of the . In order to better distinguish between noise and interference regions, a reasonable power threshold can be set once the noise power is known. Angles corresponding to power values exceeding this threshold can be classified as interference intervals. The power search across different angles can be performed using the conventional Capon spatial spectrum method, which has the following form:
Similarly, the noise power obtained by the Capon spatial spectrum estimator is written by
After calculating the noise power, a threshold is defined to identify the angle domain consisting of q interferences, which can be obtained as follows:
where is a constant equal to a multiple of , so it is greater than 1, according to [41].
Upon obtaining , the smaller integral sector of interference is determined as follows:
Once Formula (20) is satisfied, if the angle is located in the angular sector , the INCM can be derived using the following expression:
Then, by integrating over the region , the signal covariance matrix is reformulated as
The newly reconstructed signal-plus-noise covariance matrix has the following form:
2.4. Desired Steering Vector Estimation in FDA-MIMO Contexts
The subspace method is a widely used technique in array signal processing. It involves projecting the matrix to be processed onto a given subspace, thereby filtering out irrelevant components. In beamforming, for instance, the most common approach to obtaining the subspace is through covariance matrix decomposition. This involves selecting eigenvectors that satisfy specific criteria and assembling them into a subspace. There are various ways to divide the subspace. Based on this principle, the matrix can be divided into two parts: a signal subspace and an interference-plus-noise subspace. Thus, the eigen-decomposition of matrices and yields the following results:
We denote the eigenvector corresponding to the largest eigenvalue in the signal covariance array as . The vector of correlation coefficients is computed using Equation (25):
where represents the absolute value symbol and the principal eigenvector of is represented by e.
The elements in are sorted from largest to smallest, resulting in , and then the is rearranged in the same order and can be written as .
The first vectors consist of the DS subspace , and it can be written in vector form as
where refers to the number of column vectors that satisfy
where represents the signal subspace scale parameter, constrained within the range . This parameter facilitates a more accurate separation of the signal- and interference-plus-noise subspaces, as demonstrated by the experiments in [41].
Accordingly, the remainder is divided into a subspace consisting of the interference-plus-noise signal components, namely,
When confronted with vector mismatches related to angle and range, the nominal steering vector and the actual steering vector can be given by
The real steering vector satisfies the following relationship with the nominal steering vector :
where represents a real constant and and denote the parallel and orthogonal components of real steering vector , respectively. Moreover, the reconstructed covariance array is independent of the parallel components . In addition, the output power of the nominal signal is smaller than that of the true target power, so the following relationship holds:
So, the proposed optimized problem is to solve the steering vector estimation problem of the DS, which is equal to the following quadratic-constrained quadratic programming (QCQP) optimization problem:
2.5. Diagonal Loading for Robust Beamforming
In FDA-MIMO radar systems, the accuracy and robustness of the covariance matrix are critical to the performance of beamforming algorithms. The steering vector , obtained from solving the optimization problem in Equation (35), is substituted into Equation (16) to compute the optimal weight vector . As shown in Equation (16), the optimal weight vector is highly dependent on the covariance matrix , underscoring the importance of an accurate and stable estimate of this matrix.
Subspace-based beamforming methods, while effective in exploiting spatial characteristics for interference mitigation, face several practical challenges. These include reliance on accurate covariance matrix estimation, difficulties in separating signal and interference subspaces when they overlap, sensitivity to array imperfections, and performance degradation at low SNRs. These limitations can significantly degrade the robustness and performance of subspace-based methods in real-world applications. To address potential inaccuracies in the covariance matrix, DL is introduced, which enhances the stability of the covariance matrix estimation and improves beamforming performance, particularly in the presence of estimation errors, model mismatches, and low-SNR conditions.
However, traditional DL methods often rely on a fixed or empirically chosen loading factor, which may not be optimal under varying interference and noise conditions. To overcome this limitation, we propose an enhanced approach that integrates DL with a subspace-based method, creating a new robust beamforming framework. This combination adapts dynamically to the interference and noise environment, effectively mitigating errors in FDA-MIMO radar and suppressing the main lobe interference. The classic DL update to the covariance matrix is given by
where represents the diagonal loading factor and is an dimensional identity matrix. The corresponding loading noise ratio (LNR) is defined as
where is the power of the white noise and represents the loading noise level, and it is typically set to 10, as mentioned in [45]. This value allows for the derivation of a more appropriate diagonal loading based on the noise power. Consequently, by applying the optimal power vector solution of the MVDR, a more general vector solution for the diagonally loaded beamformer can be obtained:
This formula demonstrates that the beamformer’s robustness is significantly enhanced by adding the diagonal loading term. By augmenting the sample covariance matrix with a scaled identity matrix, the DL technique improves numerical stability during the inversion process. This partially mitigates the signal component, allowing for a more accurate reconstruction of the interference-plus-noise covariance matrix and improving the overall reliability of the beamforming solution.
Table 1 summarizes the solution steps of the proposed methodology.
Table 1.
This flowchart illustrates the steps of the proposed robust beamforming algorithm.
3. Simulation Experiments
Consider a colocated FDA-MIMO radar that consists of 10 transmitting units and 10 receiving units with a half-wavelength array element space and a log-squared frequency offset setting. In this part, the performance of the proposed algorithm against main lobe interference in FDA-MIMO radar is experimentally verified, and the parameter settings are detailed in Table 2. It is assumed that the arrays receive narrowband signals from far fields, which contain one desired signal and three interfering sources, with the actual incidence angle of the desired signal being 0° and the incidence angles of the three interfering sources being −10°, 10°, and 20°, respectively, and it is assumed that the additive noise follows a zero-mean Gaussian random process.
Table 2.
Simulation settings.
Combined with the actual complex environment, it is assumed in the simulation that the incident azimuth information of the DS and the interference signals cannot be accurately obtained. Therefore, to simulate array calibration errors, we assume that each component of the steering vector for each incoming signal is subject to perturbation, with the angular sector of the DS set to , and the distance range of the desired signal is set as . The angular sector of the interfering signal is set as , and the distance range of the interfering signal is set to . All these range–angle sectors are uniformly sampled to be discrete sectors with rangle interval = 0.5 km; the angle interval is , and the integration interval is set to , as detailed in Table 2.
To assess the validity of our proposed method, this section provides a detailed evaluation of the FDA-MIMO radar’s performance in mitigating main lobe interference using the proposed approach and the following methods: optimal beamforming, subspace decomposition (SD) [41], robust diagonal loading (RDL) [46], robust capon beamformer (RCB) [47], and worst-case performance optimization (WCP) [48].
3.1. Results of Transceiver Beampattern
To analyze the performance of the beampattern from the point of view of the numerical and spectral modes, the proposed approach was compared with the results of other schemes, considering 3-D beampatterns and range and angular profiles under the absence of any array error, as well as under range–angle error.
Figure 3 plots the 3-D beampatterns using different methods, including WCP, RCB, RDL, SD, and our proposed technique. From Figure 3f, it can be concluded that our RSDLB method proposed in this paper has better directional map stability, as it can form a single maximal beampattern in the range–angle dimension that accurately points to the DS direction, which is almost similar to the conventional optimal beampattern illustrated in Figure 3a. In addition, our proposed method has the lowest side lobe level and better resolution in all range–angle domains compared to other tested beamforming methods. This indicates that the proposed method has superior beampattern focusing and decoupling capabilities and can be more conducive to suppressing main lobe interference, even in the presence of steering vector error.
Figure 3.
Three-dimensional transceiver beampatterns under different methods: (a) optimal; (b) FDA-MIMO RDL; (c) FDA-MIMO RCB; (d) FDA-MIMO WCP; (e) FDA-MIMO SD; (f) FDA-MIMO RSDLB (ours).
Figure 4 compares the beampatterns of different optimization methods in angle and range dimensions without any error. As shown in Figure 4a, the new RSDLB method proposed in this paper generates a beampattern with higher power at the target angle, which has a peak power close to the maximum power of the optical beam. In addition, the method proposed in this paper can form deep zero-traps at the range and angular domain where the interference is located and shows better main lobe interference suppression performance. As depicted in Figure 4b, although the SD method can form a single-peak beam in the distance dimension, its directional map cannot accurately point to the desired target and fails to form zero-traps at the interference position, and it produces a pseudo-peak beam in the angular dimension and therefore cannot well distinguish between the target and interference. However, our proposed method can form a narrower beam in the main lobe, and the magnitude of this power value is close to the optimal system, which is better able to produce an accurate beam pointing to the target position (0°, 30 km).
Figure 4.
Comparison of beampatterns in angular and range dimensions for different optimization methods without any error: (a) angle profile; (b) range profile.
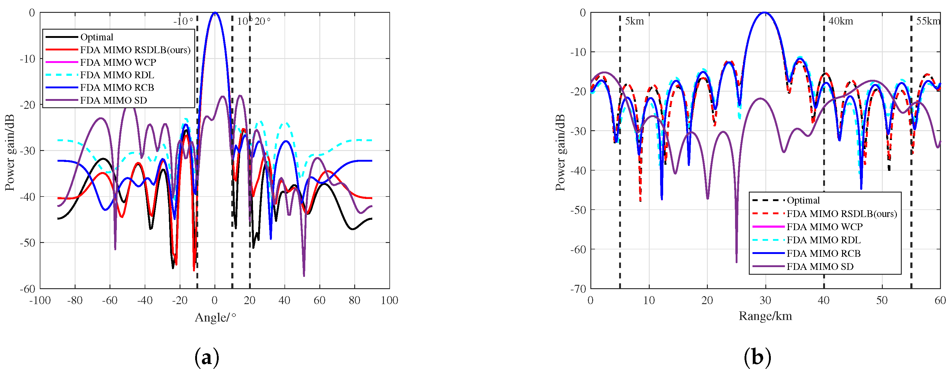
As can be seen in Figure 5, conventional beamformers, such as WCP, RCB, RDL, and SD, form a nulling domain in the interference direction, and the main lobe beampattern formed by these methods has large deviations in both range and angle dimensions, the side lobe levels are generally higher than those of the proposed methods, and the performance of the directional map is unstable, which causes pseudo-peaks to appear near the true target, resulting in the target signals being eliminated as interference as well and therefore poor interference suppression. On the contrary, even with angular and range errors, the beam pointing of the proposed method is stable over all ranges and angles in the joint domain. Figure 5a shows that the proposed method achieves deeper and more accurate nulling in the angle profile. From Figure 5b, it can be seen that the main lobe width of our method is narrower than that of other methods and the power at the interference location is the lowest. As a result, the designed beampattern can point to the target accurately in both range and angular dimensions (0°, 30 km). Therefore, it can be concluded that the proposed RSDLB method demonstrates greater robustness against transmit–receive steering vector errors and effectively suppresses main lobe interference while preserving the integrity of the target.
Figure 5.
Beampattern comparison of angular and range dimensions under different optimization methods with range and angle error: (a) angle profile; (b) range profile.
3.2. Results of Suppressing Main Lobe Interference for FDA-MIMO Radar
Suppose a jammer intercepts the radar waveform and produces three false targets located within the main lobe field, indicated by “□”, alongside one actual target marked by “◯”. This section evaluates the performance of different beamforming methods in suppressing main lobe interference in FDA-MIMO radar under two scenarios: an ideal case with no range or angle errors and a practical case where both range and angle errors exist.
Figure 6 illustrates the performance of different beamforming techniques in suppressing main lobe interference in FDA-MIMO radar under ideal conditions, where no range or angle errors are present in the array. Comparing the results in Figure 6e, it can be observed that except for the beamformer under the SD-based method, the other four methods and the method proposed in this paper can provide near-optimal beampatterns in both the range and angle domains. Specifically, while effectively suppressing the main lobe interference, the single maximal beampattern formed by these methods can effectively highlight the target signals, ensuring reliable radar performance. Among them, the proposed method demonstrates superior main lobe interference suppression, as it more effectively mitigates the impact of range–angle mismatches and coherent interference. Compared to traditional beamformers, which may suffer from residual interference in the main lobe region, our RSDLB approach achieves more precise interference rejection while maintaining high target signal integrity. This improvement is particularly significant in scenarios where strong jamming sources exist, further validating the robustness of the proposed beamforming strategy.
Figure 6.
Robust FDA-MIMO radar suppression results for main lobe interference in the error-free case: (a) optimal; (b) FDA-MIMO RDL; (c) FDA-MIMO RCB; (d) FDA-MIMO WCP; (e) FDA-MIMO SD; (f) FDA-MIMO RSDLB (ours).
Figure 7 depicts the results of different techniques for suppressing main lobe interference when angle and range errors are present in the array steering vector. A comparison of Figure 7a,f reveals that the method RSDLB proposed in this paper yields near-optimal beampatterns in both the range and angle domains, i.e., while suppressing the main lobe interference, the single maximal beampattern formed can effectively highlight the target signals, which ensures the reliable radar performance. Other conventional methods, as shown in Figure 7b–d, produce pseudo-main lobe beams due to the presence of angular and range errors, which are shown in the figure as producing other yellow highlighted parts in addition to the target position, which prevents the generated beampatterns from being accurately directed to the target, leading to the target being eliminated by mistakenly recognizing it as interference. In addition, the method in Figure 7e incorrectly forms beampatterns at the two interference locations, resulting in the elimination of the true target in the range–angle domain.
Figure 7.
Results demonstrate robustness of FDA-MIMO radar against main lobe interference under angle and range errors: (a) optimal; (b) FDA-MIMO RDL; (c) FDA-MIMO RCB; (d) FDA-MIMO WCP; (e) FDA-MIMO SD; (f) FDA-MIMO RSDLB (ours).
3.3. Different Beamformer Output SINR Performance Analysis and Comparison
In practice, the false and true targets may not lie exactly in their assumed directions, which leads to small deviations between the assumed null points of the false targets in the equivalent transmit beam assignment. As a result, the performance of the main lobe interference suppression is degraded. It is therefore necessary to further analyze the performance of the beamformer under different array errors. The feasibility of the proposed method is verified, as well as to analyze the performance advantage of the robust beamformer proposed in this paper in suppressing the main lobe interference. Here, the performance advantages of the proposed method are compared with several other beampattern optimization methods under random range–angle error, array element calibration error, frequency offset error, random steering vector error, and so on.
Example 1.
In the first example, the absence of any array error is considered, i.e., the steering vectors of the real and false targets are accurately known, and the array position and frequency offset are accurately corrected.
The corresponding results are illustrated in Figure 8. It can be seen from Figure 8 that SD algorithms suffer severe SINR loss. This is because the SD method forms the multiple maximum gain at the interference direction and does not form the single maximum beampattern in the desired target, as the target is rejected as interference and causes the SINR loss. Under these conditions, our proposed method demonstrates superior performance in suppressing main lobe interference compared to existing techniques such as RDL, WCP, and RCB. Additionally, our approach RSDLB achieves a noticeable improvement in output SINR, closely approaching the performance of the optimal system. This suggests that the proposed beamformer effectively mitigates interference while preserving the desired signal, making it highly robust in ideal conditions.
Figure 8.
Variation in output SINR with SNR for different beamformers in the absence of array errors.
Example 2.
In this example, the output SINR performance of different beamformers under random range–angle error is compared. We assume that the angular random error for interference and the target is uniformly distributed within the range of [−4°, 4°] and the range random error falls within [−1 km, 1 km].
Figure 9 illustrates how the system output SINR varies with the input SNR in the presence of range–angle errors. The results demonstrate that our proposed RSDLB method closely aligns with the performance of an ideal system. It achieves zero-trapping at the location of the interference, effectively mitigating main lobe interference while accurately directing the beampattern toward the target. On the other hand, conventional beamformers like RDL, WCP, RCB, and SD are not able to ensure the maximization of the directional gain of the DS due to the beampattern pointing error; hence, it is not able to provide effective target identification and detection, especially when the power of the input signal is weaker. Therefore, it affects the performance of the output SINR, which leads to the system output SINR of the conventional approaches being lower than that of the proposed method.
Figure 9.
Output SINR vs. input SNR under random range–angle error.
Example 3.
This example discusses the influence of random frequency offset and array element position error on the system beamformer’s output SINR performance, respectively. Considering the actual hardware accuracy, the frequency offset error is set to obey the uniform distribution of [−0.01, 0.01].
Figure 10 shows the output SINR vs. input SNR under random frequency offset. It can be observed that the proposed RSDLB method consistently achieves near-optimal output SINR, demonstrating its robustness against frequency offset errors. Notably, at lower SNR levels, the SD-based methods exhibit significant performance fluctuations, indicating their sensitivity to noise and parameter variations. In contrast, the proposed approach maintains stable output SINR, suggesting better resilience to uncertain conditions. Additionally, at high SNR levels (e.g., 30 dB to 40 dB), all six methods experience a noticeable decline in output SINR. This degradation can be attributed to the increased impact of frequency offset errors, which disrupt the coherence of the FDA-MIMO array and reduce the effectiveness of beamforming. These results highlight the importance of robust compensation strategies in mitigating the adverse effects of frequency offset mismatches in practical radar applications.
Figure 10.
Output SINR vs. input SNR under random frequency offset error.
Similarly, suppose element position error is subject to the uniform distribution within [−0.1, 0.1]. Figure 11 depicts the output SINR vs. input SNR for different beamformers in case of array position error. It can be seen that the proposed RSDLB method continues to exhibit outstanding performance, significantly outperforming the other three tested beamformers. This result underscores the robustness of the proposed approach in mitigating main lobe interference, even in the presence of element position perturbations. In particular, traditional methods such as RDL, WCP, and RCB experience performance degradation due to their sensitivity to positional inaccuracies, which can lead to misalignment in beamforming weight calculations. By contrast, the proposed method effectively compensates for these errors, ensuring stable and high SINR across different SNR levels. Additionally, at high input SNRs, all the tested beamformers show a slight performance degradation, further emphasizing the need for enhanced robustness to array imperfections in practical FDA-MIMO radar applications.
Figure 11.
Output SINR vs. input SNR under random array unit position error.
Example 4.
This example here discusses the effect of target steering vector mismatch, which is caused by coherent local scattering on the output SINR. The real target steering vector assumes five coherent local scattering paths:
where is the steering vector corresponding to the desired target and , , denotes the steering vectors of the four additional coherent scattering paths. In each test, the range–angle corresponding to the coherent scattering path satisfies that is averaged by , and the error is [−1 km, 1 km] and are independently and uniformly distributed. And is randomly distributed within the range [0, 2π].
Figure 12 displays the output SINR versus SNR for various beamformers under coherent scattering conditions. From Figure 12, it can be concluded that our proposed RSDLB method outstands other tested methods, demonstrating its effectiveness in addressing the model mismatch issue under coherent local scattering. This is particularly evident in scenarios where mismatches in the target steering vector lead to significant performance degradation in traditional beamforming methods. Our proposed method mitigates these mismatches by incorporating a more robust beamforming strategy, which results in superior main lobe suppression performance. Moreover, the proposed beamformer achieves the highest output SINR, closely resembling the performance of an optimal system. The superiority of our method, especially in challenging conditions such as coherent local scattering, demonstrates its potential for enhancing the robustness and reliability of FDA-MIMO radar in practical applications.
Figure 12.
Output SINR vs. SNR for different beamformers under coherent scattering conditions.
4. Conclusions
This study addresses critical challenges inherent to FDA-MIMO radar systems and presents a robust framework for adaptive beamforming and interference suppression in complex environments. By tailoring conventional beamforming techniques to FDA-MIMO’s unique range-dependent characteristics, this paper develops innovative solutions to tackle range–angle mismatches, optimize the SINR, and improve overall system interference suppression performance. Our contributions include robust steering vector estimation and INCM reconstruction, adapted for FDA-MIMO’s spatial-temporal dynamics, along with the diagonal loading method to enhance covariance matrix stability and overall system robustness. These advancements effectively mitigate the impact of range–angle mismatches, array element position errors, frequency offset errors, and coherent local scattering. Extensive simulations confirm the proposed methods outperform traditional approaches, achieving superior interference suppression and precise beamforming, even under challenging conditions. This work bridges the gap between conventional phased-array methods and FDA-MIMO radar, providing a strong foundation for future research and practical advancements in modern radar systems.
Author Contributions
Conceptualization, methodology, software, and writing—original draft preparation, Y.T.; validation and writing—review and editing, M.M.A. and L.G.; visualization, L.D.; supervision, W.C.; funding acquisition, Y.L. All authors have read and agreed to the published version of the manuscript.
Funding
This work was supported in part by the Aeronautical Science Foundation of China under Grant 2024M051053001, the Key Research and Development Program of Shaanxi under Grant 2023-YBGY-258, and the National Natural Science Foundation of China under Grant 62301431.
Data Availability Statement
The original contributions presented in the study are included in the article; further inquiries can be directed to the corresponding author.
Conflicts of Interest
The authors declare no conflicts of interest.
References
- Yu, H.; Liu, N.; Zhang, L.; Li, Q.; Zhang, J.; Tang, S.; Zhao, S. An interference suppression method for multistatic radar based on noise subspace projection. IEEE Sens. J. 2020, 20, 8797–8805. [Google Scholar] [CrossRef]
- Zhang, Z.; Chang, Q.; Liu, F.; Yang, S. Dual-functional radar-communication waveform design: Interference reduction versus exploitation. IEEE Commun. Lett. 2021, 26, 148–152. [Google Scholar] [CrossRef]
- Soumekh, M. SAR-ECCM using phase-perturbed LFM chirp signals and DRFM repeat jammer penalization. IEEE Trans. Aerosp. Electron. Syst. 2006, 42, 191–205. [Google Scholar] [CrossRef]
- Liu, X.; Huang, T.; Shlezinger, N.; Liu, Y.; Zhou, J.; Eldar, Y.C. Joint Transmit Beamforming for Multiuser MIMO Communications and MIMO Radar. IEEE Trans. Signal Process. 2020, 68, 3929–3944. [Google Scholar] [CrossRef]
- Gershman, A.B.; Nemeth, E.; Bohme, J.F. Experimental performance of adaptive beamforming in a sonar environment with a towed array and moving interfering sources. IEEE Trans. Signal Process. 2000, 48, 246–250. [Google Scholar] [CrossRef]
- Gu, Y.; Leshem, A. Robust adaptive beamforming based on interference covariance matrix reconstruction and steering vector estimation. IEEE Trans. Signal Process. 2012, 60, 3881–3885. [Google Scholar]
- Mohammadzadeh, S.; Nascimento, V.H.; de Lamare, R.C.; Kukrer, O. Maximum entropy-based interference-plus-noise covariance matrix reconstruction for robust adaptive beamforming. IEEE Signal Process. Lett. 2020, 27, 845–849. [Google Scholar] [CrossRef]
- Huang, L.; Zhang, J.; Xu, X.; Ye, Z. Robust adaptive beamforming with a novel interference-plus-noise covariance matrix reconstruction method. IEEE Trans. Signal Process. 2015, 63, 1643–1650. [Google Scholar] [CrossRef]
- Shen, F.; Chen, F.; Song, J. Robust adaptive beamforming based on steering vector estimation and covariance matrix reconstruction. IEEE Commun. Lett. 2015, 19, 1636–1639. [Google Scholar] [CrossRef]
- Gu, Y.; Goodman, N.A.; Hong, S.; Li, Y. Robust adaptive beamforming based on interference covariance matrix sparse reconstruction. Signal Process. 2014, 96, 375–381. [Google Scholar] [CrossRef]
- Rahmani, M.; Bastani, M.H. Robust and rapid converging adaptive beamforming via a subspace method for the signal-plus-interferences covariance matrix estimation. IET Signal Process. 2014, 8, 507–520. [Google Scholar] [CrossRef]
- Lorenz, R.G.; Boyd, S.P. Robust minimum variance beamforming. IET Signal Process. 2005, 53, 1684–1696. [Google Scholar]
- Fabrizio, G.A.; Gershman, A.B.; Turley, M.D. Robust adaptive beamforming for HF surface wave over-the-horizon radar. IEEE Trans. Aerosp. Electron. Syst. 2004, 40, 510–625. [Google Scholar] [CrossRef]
- Monzingo, R.A.; Miller, T.W. Introduction to Adaptive Arrays. Signal Process. 2014, 96, 375–381. [Google Scholar]
- Feldman, D.D. An analysis of the projection method for robust adaptive beamforming. IEEE Trans. Antennas Propag. 1996, 44, 1023–1030. [Google Scholar] [CrossRef]
- Yu, Z.L.; Gu, Z.; Zhou, J.; Li, Y.; Ser, W.; Er, M.H. A robust adaptive beamformer based on worst-case semi-definite programming. IEEE Trans. Signal Process. 2010, 58, 5914–5919. [Google Scholar] [CrossRef]
- Nai, S.E.; Ser, W.; Yu, Z.L.; Chen, H. Iterative robust minimum variance beamforming. IEEE Trans. Signal Process. 2011, 59, 1601–1611. [Google Scholar] [CrossRef]
- Huang, F.; Sheng, W.X.; Ma, X.F. Modified projection approach for robust adaptive array beamforming. Signal Process. 2012, 92, 1758–1763. [Google Scholar] [CrossRef]
- Pezeshki, A.; Van Veen, B.D.; Scharf, L.L.; Cox, H.; Lundberg, M. Eigenvalue beamforming using a multi-rank MVDR beamformer and subspace selection. IEEE Trans. Signal Process. 2008, 56, 1954–1967. [Google Scholar] [CrossRef]
- Yang, H.; Li, W.; Cao, D. A modified robust algorithm against large look direction error based on interference-plus-noise covariance matrix reconstruction and steering vector double estimation. In Proceedings of the 2017 Progress in Electromagnetics Research Symposium—Fall (PIERS—FALL), Singapore, 19–22 November 2017; pp. 615–620. [Google Scholar]
- Yang, Y.; Xu, X.; Yang, H.; Li, W. Robust adaptive beamforming via covariance matrix reconstruction with diagonal loading on interference sources covariance matrix. Digit. Signal Process. 2023, 136, 103977. [Google Scholar] [CrossRef]
- Tsai, Y.T.; Su, B.; Tsao, Y.; Wang, S.S. Robust beamforming against DoA mismatch using subspace-constrained diagonal loading. arXiv 2016, arXiv:1602.02690v1. [Google Scholar]
- Tsai, Y.T.; Su, B.; Tsao, Y.; Wang, S.S. Adaptive subspace-constrained diagonal loading. In Proceedings of the 2016 Asia-Pacific Signal and Information Processing Association Annual Summit and Conference (APSIPA), Jeju, Republic of Korea, 13–16 December 2016; pp. 1–4. [Google Scholar]
- Zeng, Z.; Liang, W.; Zhang, J. Beamforming algorithm of diagonal loading based on matrix decomposition. In Proceedings of the 2011 4th IEEE International Conference on Broadband Network and Multimedia Technology, Shenzhen, China, 28–30 October 2011; pp. 531–534. [Google Scholar]
- Tian, Y.; Zhang, Z.; Liu, W.; Chen, H.; Wang, G. Source Enumeration Utilizing Adaptive Diagonal Loading and Linear Shrinkage Coefficients. IEEE Trans. Signal Process. 2023, 72, 2073–2086. [Google Scholar] [CrossRef]
- Geng, L.; Li, Y.; Cheng, W.; Dong, L.; Tan, Y. Joint DOA-Range Estimation Based on Bidirectional Extension Frequency Diverse Coprime Array. In Proceedings of the IGARSS 2023—2023 IEEE International Geoscience and Remote Sensing Symposium, Pasadena, CA, USA, 16–21 July 2023; pp. 4820–4823. [Google Scholar]
- Xu, J.; Liao, G.; Zhu, S.; So, H.C. Deceptive jamming suppression with frequency diverse MIMO radar. Signal Process. 2015, 113, 9–17. [Google Scholar] [CrossRef]
- Li, S.; Zhang, L.; Liu, N. Adaptive detection with conic rejection to suppress deceptive jamming for frequency diverse MIMO radar. Digit. Signal Process. 2017, 69, 32–40. [Google Scholar] [CrossRef]
- Lan, L.; Xu, J.; Liao, G.; Zhang, Y.; Fioranelli, F.; So, H.C. Suppression of Mainbeam Deceptive Jammer with FDA-MIMO Radar. IEEE Trans. Veh. Technol. 2020, 69, 11584–11598. [Google Scholar] [CrossRef]
- Xu, J.; Xu, Y.; Liao, G. Direct data domain based adaptive beamforming for FDA-MIMO radar. In Proceedings of the 2016 IEEE Statistical Signal Processing Workshop (SSP), Palma de Mallorca, Spain, 26–29 June 2016; pp. 1–5. [Google Scholar]
- Wu, Z.; Zhu, S.; Xu, J.; Lan, L.; Zhang, M.; Li, X. A Robust Interference Suppression Method Based on FDA-MIMO Radar. In Proceedings of the 2022 5th International Conference on Information Communication and Signal Processing (ICICSP), Shenzhen, China, 26–28 November 2022; pp. 419–423. [Google Scholar]
- Lan, L.; Liao, G.; Xu, J.; Zhang, Y.; Fioranelli, F. Suppression approach to main-beam deceptive jamming in FDA-MIMO radar using nonhomogeneous sample detection. IEEE Access 2018, 6, 34582–34597. [Google Scholar] [CrossRef]
- Li, Z.; Zhang, Y.; Ge, Q.; Xue, B. A robust deceptive jamming suppression method based on covariance matrix reconstruction with frequency diverse array mimo radar. In Proceedings of the 2017 IEEE International Conference on Signal Processing, Communications and Computing (ICSPCC), Xiamen, China, 22–25 October 2017; pp. 1–5. [Google Scholar]
- Ding, Z.; Xie, J.; Wang, B.; Zhang, H. Robust Adaptive Null Broadening Method Based on FDA-MIMO Radar. IEEE Access 2020, 8, 177976–177983. [Google Scholar] [CrossRef]
- Huang, B.; Wang, W.Q.; Liu, W.; Zhang, S.; Jia, Y. Robust moving target detection for FDA-MIMO radar with steering vector mismatches. Digit. Signal Process. 2024, 145, 104299. [Google Scholar] [CrossRef]
- Wu, Z.; Zhu, S.; Xu, J.; Lan, L.; Xu, Y.; Li, x. Robust Adaptive Beamforming Based on MR-FDA-MIMO radar Jamming Suppression. In Proceedings of the 2023 IEEE International Radar Conference, Sydney, Australia, 6–10 November 2023; pp. 1–6. [Google Scholar]
- Xu, J.; Liao, G.; Zhu, S.; Huang, L.; So, H.C. Joint range and angle estimation using mimo radar with frequency diverse array. IEEE Trans. Signal Process. 2015, 63, 3396–3410. [Google Scholar] [CrossRef]
- Tang, W.-G.; Jiang, H.; Zhang, Q. Range-angle decoupling and estimation for FDA-MIMO radar via atomic norm minimization and accelerated proximal gradient. IEEE Signal Process. Lett. 2020, 27, 366–370. [Google Scholar] [CrossRef]
- Xiong, J.; Wang, W.-Q.; Gao, K. FDA-MIMO radar range-angle estimation: CRLB, MSE, and resolution analysis. IEEE Trans. Aerosp. Electron. Syst. 2017, 54, 284–294. [Google Scholar] [CrossRef]
- Chen, H.; Lv, M.; Ma, J.; Xia, B.; Liu, Y.; Zhou, M. Exponential FDA-MIMO radar mainlobe jamming suppression based on DL-EVE algorithm. In Proceedings of the 2021 CIE International Conference on Radar (Radar), Haikou, China, 15–19 December 2021; pp. 1879–1882. [Google Scholar]
- Yang, J.; Tu, Y.; Lu, J.; Yang, Z. Robust Adaptive Beamforming Based on Subspace Decomposition, Steering Vector Estimation and Correction. IEEE Sens. J. 2022, 22, 12260–12268. [Google Scholar] [CrossRef]
- Tan, Y.; Li, Y.; Cheng, W.; Dong, L.; Geng, L. FDA-MIMO Radar Main Lobe Interference Suppression Based on Frequency Offset and Array Element Spacing Design. In Proceedings of the 2023 IEEE International Conference on Signal Processing, Communications and Computing (ICSPCC), Zhengzhou, China, 14–17 November 2023; pp. 1–5. [Google Scholar]
- Geng, L.; Li, Y.; Dong, L.; Tan, Y.; Cheng, W. Efficiently Refining Beampattern in FDA-MIMO Radar via Alternating Manifold Optimization for Maximizing Signal-to-Interference-Noise Ratio. Remote Sens. 2024, 16, 1364. [Google Scholar] [CrossRef]
- Bao, Q.; Chen, Z.; Wang, Y. Robust adaptive beamforming using IAA-based interference-plus-noise covariance matrix reconstruction. Electron Lett. 2016, 52, 1185–1186. [Google Scholar]
- Elnashar, A.; Elnoubi, S.M.; El-Mikati, H.A. Further Study on Robust Adaptive Beamforming With Optimum Diagonal Loading. IEEE Trans. Antennas Propag. 2006, 54, 3647–3658. [Google Scholar] [CrossRef]
- Li, J.; Stoica, P.; Wang, Z. On robust Capon beamforming and diagonal loading. IEEE Trans. Signal Process. 2003, 51, 1702–1715. [Google Scholar] [CrossRef]
- Stoica, P.; Wang, Z.; Li, J. Robust Capon beamforming. IEEE Signal Process. Lett. 2003, 10, 172–175. [Google Scholar] [CrossRef]
- Vorobyov, S.-A.; Gershman, A.-B.; Luo, Z.-Q. Robust adaptive beamforming using worst-case performance optimization: A solution to the signal mismatch problem. IEEE Trans. Signal Process. 2003, 51, 324–331. [Google Scholar] [CrossRef]
Disclaimer/Publisher’s Note: The statements, opinions and data contained in all publications are solely those of the individual author(s) and contributor(s) and not of MDPI and/or the editor(s). MDPI and/or the editor(s) disclaim responsibility for any injury to people or property resulting from any ideas, methods, instructions or products referred to in the content. |
© 2025 by the authors. Licensee MDPI, Basel, Switzerland. This article is an open access article distributed under the terms and conditions of the Creative Commons Attribution (CC BY) license (https://creativecommons.org/licenses/by/4.0/).











