Abstract
The Urban Heat Island (UHI) phenomenon, combined with reduced vegetation and heat generated by human activities, presents a major environmental challenge for many European urban areas. The UHI effect is especially concerning in hot and temperate climates, like the Mediterranean region, during the summer months as it intensifies the discomfort and raises the risk of heat-related health issues. As a result, assessing urban heat dynamics and steering sustainable land management practices is becoming increasingly crucial. Analyzing the relationship between land cover and Land Surface Temperature (LST) can significantly contribute to achieving this objective. This study evaluates the spatial correlations between various land cover types and LST trends in Thessaloniki, Greece, using data from the Coordination of Information on the Environment (CORINE) program and advanced vegetation index techniques within Google Earth Engine (GEE). Our analysis revealed that there has been a gradual increase in average surface temperature over the past five years, with a more pronounced increase observed in the last two years (2022 and 2023) with mean annual LST values reaching 26.07 °C and 27.09 °C, respectively. By employing indices such as the Normalized Difference Vegetation Index (NDVI) and performing correlation analysis, we further analyzed the influence of diverse urban landscapes on LST distribution across different land use categories over the study area, contributing to a deeper understanding of UHI effects.
1. Introduction
The witnessed urbanization taking place today is contributing significantly to the urgent issue of global climate destabilization. A demonstrative example of this climate change is the observed Urban Heat Island (UHI) phenomenon in urbanized regions, which arises from reduced vegetation and the discharge of anthropogenic heat. UHI is usually expressed as the percentage difference in temperatures between urban and rural areas: UHI = ((urban temperature-rural temperature)/rural temperature) %. The UHI phenomenon is characterized by urban areas being warmer than their rural surroundings, a temperature disparity that is typically more pronounced at night, particularly under calm wind conditions. In Europe, for example, about 73% of its population lives in cities [1], meaning that the observed UHI effect is affecting more than half of the continent’s population. In 2006, Oke [2] identified four important control factors of urban climate: ‘…urban structure (dimensions of the buildings and the spaces between them, street widths and street spacing), urban cover (fractions of built-up, paved, vegetated, bare soil, water), urban fabric (construction and natural materials), and urban metabolism (heat, water and pollutants due to human activity)’. The modification of these factors because of rapid urban development contributes to the intensification of the UHI effect.
The intensity of the UHI effect tends to be especially severe in cities with poorly managed or ineffective urban landscape. In these urban areas, the challenges associated with heat islands, such as increased energy consumption and diminished air quality, become increasingly pressing [3]. The study of UHI and, more recently, the analysis of Surface Urban Heat Island (SUHI) intensity, which results from the interaction of different layers of urban atmosphere and surface properties, has been the focus of numerous scientific studies [4,5]. Tan et al. [6] noted in their study that ‘UHI effect may potentially increase the magnitude and duration of extreme events such as heat waves’. In the European region, heatwaves are becoming more frequent and more intense [7]. Moreover, SUHI leads to a notable surge in energy consumption, attributed to the increased usage of cooling systems in both commercial and residential buildings [8]. This is an increasingly alarming issue for European governments due to the energy crisis that was evident in previous years (2022–2023) and is expected to remain in the following years.
To address these issues, intending to control and minimize the SUHI effect, it is important to perform an accurate detection and estimation of urban area development, including its direction, especially in conjunction with microclimate parameters such as Land Surface Temperature (LST). Employing Remote Sensing techniques for extracting LST and conducting spatio-temporal analysis of urban development can effectively contribute to SUHI analysis. Relevant studies have initially extracted LST using satellite data of Landsat ETM+ and Landsat 8, proposing several approaches to obtain LST from satellite data with various methods to address emissivity and atmospheric effects [9,10]. Parallel investigations of LST patterns with land cover types have been in the research work of many studies [11,12]. For instance, Abdulmana et al. [13] investigated LST trends in Taiwan from 2000 to 2021 and concluded that elevation, land cover and the vegetation index significantly influence the rise of LST. Balas et al., in 2023 [14], demonstrated that changes in land use in their study area over a period of five years have impacted LST. Chen et al. [15] analyzed LST over different urban growth patterns in order to model and predict the LST of urban growth trends. In Greece, Eleftheriou et al., in 2017 [16], investigated annual and seasonal daytime and nighttime patterns of LST extracted from Moderate Resolution Imaging Spectroradiometer (MODIS) sensor data, with 1 km spatial resolution. Stathopoulou et al. [17] investigated LST variations using National Oceanic and Atmospheric Administration/Advanced Very High Resolution Radiometer (NOAA/AVHRR) thermal infrared data alongside Land Use and Land Cover (LULC) datasets deriving from the Coordination of Information on the Environment program (CORINE). The CORINE Land Cover program, under the European Union’s Copernicus initiative, delivers LULC datasets, monitors changes across the pan-European region and provides information on the distribution of various land cover types [18]. CORINE data were used in the research study of Gemitzi et al. [19], where they identified, using Landsat imagery, whether changes in land cover are linked to alterations in carbon stocks.
Understanding the factors that influence temperature variability in urban areas could offer valuable insights for developing strategies in Greece to address the inevitable effects of climate change, which have already started being present in the country over the past few years. More specifically, in a report of Cartalis et al. in 2017 [20] and the fine-tuning of their results in 2021, they concluded that, across the majority of climate parameters and geographic regions in Greece, the impact of climate change in Greece is negative and the predominant trend is concerning: the country is gradually experiencing a warmer and drier climate, with more intense, frequent and prolonged extreme weather events. This does not concern only Greece; it is a widely accepted notion for countries in the Mediterranean, which recent scientific studies have identified as a ‘climate hot spot’, meaning a region that will be more severely impacted by climate change [21]. The Intergovernmental Panel on Climate Change (IPCC) further expects temperature increases in the region of 2 °C to 3 °C by 2050, and 3 °C to 5 °C by 2100 [22]. Although the role of landscape composition on LST variation is well documented, to the best of our knowledge, the majority of studies in Greece have examined LST variations in relation to land uses using satellite data with moderate resolution, like MODIS [16,23] and NOAA/AVHRR [24] or Landsat ETM+ [25], addressing the UHI issue on a city level. In this paper, we examine the spatial correlations during a five-year period between various land cover types and LST trends within the urban area of Thessaloniki (Northern Greece), with an attempt to address the issue at a finer scale. Moving from a broad city-level analysis to a more detailed examination, we used Landsat 8 time series data together with the CORINE Land Cover dataset and advanced vegetation indices within the Google Earth Engine (GEE) platform. The employed algorithm enables the automatic LST mapping and cross-correlation with indicators such as Normalized Difference Vegetation Index (NDVI) to analyze urban albedo and its effects on LST. The advantage of this methodology is twofold: first, Landsat 8 carries the Operational Land Imager (OLI), with 30 m multispectral spatial resolution, and the Thermal Infrared Sensor (TIRS) instruments that measure surface temperature in two thermal bands, making it easier to estimate LST trends on a finer scale, while GEE provides access to collections of these data, enabling the use of detailed, time series analysis to obtain more accurate and diachronic surface temperature information. Our principal objective was to utilize exclusively free and readily accessible data for both processing and validation, thereby avoiding the need for in situ measurements and facilitating the adaptable analysis of time series data. This approach ensures that the proposed algorithm can be easily implemented in various regions of Greece, even in scenarios where land use data sources are unavailable.
2. Materials and Methods
2.1. Study Area and Data
Thessaloniki is the second-largest city in Greece and serves as the capital of the Central Macedonia region. It is located in the northern part of the country, along the Thermaic Gulf, which is part of the Aegean Sea. The area examined in this study is defined within a rectangular geographic boundary, with coordinates ranging from the lower left corner at 22.7252°E, 40.4349°N to the upper right corner at 23.1845°E, 40.7673°N. This spatial extent includes the urban core of Thessaloniki as well as surrounding rural and coastal areas, providing a comprehensive representation of the region’s varied land cover and climatic influences (Figure 1). The greater area of Thessaloniki is home to a population exceeding one million residents. The city lies to the east of the Axios River and is surrounded by a combination of coastal and hilly terrain; high mountains in the east-northeast and a nearly flat terrain in the west [26]. Thessaloniki’s climate is warm and temperate, with an average annual air temperature of 15.4 °C, according to the European Centre for Medium-Range Weather Forecasts (ECMWF) database. July is the warmest month, with an average temperature of 26.6 °C, while January has the lowest average temperature of the year (4.2 °C) [27]. The urban albedo comprises both old and more recently developed areas, characterized by high and low built-up density, respectively, with a continuous increase in impervious land surfaces over the last decade.
Figure 1.
Study area of Thessaloniki, Greece (base map: National Geographic, ESRI).
2.2. Data Collection and Processing
The GEE platform provides an extensive collection of Landsat satellite images produced by the United States Geological Survey (USGS). For this study, time series data from Landsat 8 were used. GEE has grouped the scenes into collections by tiers and satellites to facilitate users; in our case, we selected Collection 2/Level 2 products that are pre-processed to include atmospheric corrections, providing a reliable baseline for LST calculations. The cloud masking applied in GEE allowed us to collect images taken on cloudless days throughout all seasons from 2019 to 2023, corresponding to a mean local time of 10 a.m. (±15 min). It is important to note that Level 2 data provide analysis-ready Bottom-of-Atmosphere (BOA) reflectance data.
Vector datasets for the CORINE LULC classes within the urban and peri-urban region of Thessaloniki were obtained from the official website of CORINE [18]. The identified classes with the associated codes of CORINE land use classes are summarized and displayed in Table 1, grouped in a three-level hierarchy (Table 1).
Table 1.
The identified CORINE LULC classes within the study area grouped in a three-level hierarchy.
The 27 classes identified in the study area were continuously grouped into 9 sets to streamline the procedures in the GEE: (1) urban fabric (classes 1.1.1, 1.1.2 and 1.4.2); (2) industrial and commercial units (classes 1.2.1 and 1.2.3); (3) road and rail networks and associated land (class 1.2.2); (4) airport areas (class 1.2.4); (5) mineral extraction sites/construction sites (classes 1.3.1 and 1.3.3); (6) agricultural land (classes 2.1.1, 2.1.2, 2.1.3, 2.3.1, 2.4.2 and 2.4.3); (7) forest (classes 3.1.1, 3.1.2 and 3.1.3); (8) natural grassland (1.4.1, 3.2.1, 3.2.3 and 3.2.4); and (9) waterbodies/wetlands (classes 4.1.1, 4.2.1, 5.1.1, 5.2.1 and 5.2.3). The spatial distribution of the land cover classes is presented in Figure 2.
Figure 2.
Spatial distribution of the identified CORINE Land Cover data over Thessaloniki’s region. (base map: National Geographic, ESRI).
2.3. LST Retrieval
Land Surface Temperature (LST) was calculated for a region of approximately 476 km2 at 30 m resolution, using the Landsat 8 time series data within GEE. Only relatively cloud-free scenes were used for the time series data from 2019 to 2023, with satellite visits at 10.04 h local time. The NDVI was calculated continuously using the following formula:
where RED and NIR represent the spectral reflectance values obtained from the red (visible) and near-infrared regions, respectively. Median NDVI was calculated for each annual time series dataset. Masking for waterbodies was an essential step, as water temperature can differ significantly from land surface temperature, potentially skewing the results. To exclude water-covered areas from the analysis, the Normalized Difference Water Index (NDWI) was derived using the shortwave infrared (SWIR) and green bands.
where GREEN and SWIR represent the spectral reflectance values obtained from the green and shortwave infrared regions of the Landsat 8 sensor, respectively.
NDVI = (NIR − RED)/(NIR + RED)
NDWI = (GREEN − SWIR)/(GREEN + SWIR)
LST was extracted using the NDVI-adjusted emissivity method (NBEM) [28,29]. This approach uses the NDVI to account for changes in surface cover, improving the precision of LST retrieval in heterogeneous landscapes like Thessaloniki. The emissivity correction was applied to accurately derive LST from the brightness temperature of the thermal band (B10), using the inverse of Planck’s law equation [30]:
where LST is the LST in Celsius (°C), Tb is the brightness temperature in the TIR channel (Β10) using the scale factor provided by USGS for converting Digital Numbers (DN) to brightness temperature (0.00341802*DN + 149), λ is the wavelength of emitted radiance for band 10 (λ = 10.9μm.) and ρ is a constant derived as h *(c/σ)* (1.438 × 10−2) mK, where σ is the Boltzmann constant (1.38 × 10−23 J/K), h is Planck’s constant (6.626 × 10−34 Js) and c is the velocity of light (2.998 × 108 m/s).
ε represents the emissivity of the surface, with values ranging from 0 to 1. The minimum and the maximum NDVI values of the study area were used for calculating the Fractional Vegetation Cover (FVC), and the NDVI-adjusted emissivity can then be estimated using the formula:
FVC = (NDVI − NDVImax)/(NDVImin − NDVImax)
In Equation (4), εveg and εbare represent the emissivity of vegetation and bare ground for a given spectral band. In Equation (5), NDVImin and NDVImax depict the minimum and maximum NDVI values of a given study area, respectively.
As the study area is mainly urban with rural surfaces in its surroundings, the εveg and εbare values were adjusted to εveg and εurban. The differences in spectral variations, though, which are unavoidable in medium spatial resolution imagery like Landsat 8 (often referred to as the mixed pixel problem), emphasize the challenges in accurately determining representative emissivity values for εveg and εurban. As seen in the research by Chen et al. [31], different anthropogenic materials from diverse urban areas, with varying climatological and geographical conditions, could result in LST retrieval errors caused by emissivity uncertainty. However, the NDVI-based emissivity method, with appropriately selected thresholds tailored to the urban and peri-urban landscape of the study area, could reduce this issue and more accurately reflect the surface emissivity of the tested areas [28,32]. Table 2 summarizes the literature-derived emissivity values used in NDVI-based emissivity estimation methods.
Table 2.
Emissivity values of natural and anthropogenic materials used in the literature.
For this study, εveg was set to 0.982 (average value of literature-derived [25,32] emissivity values for these land cover types), as the majority of the observed vegetated surfaces was composed of trees, forest and bare ground. The εurban was set to 0.948 accordingly, as the core urban area of Thessaloniki region falls into the categories of concrete and cement, asphalt, and roofing shingle and tiles from Table 2.
3. Results
3.1. LST Distribution
Figure 3 shows the annual LST images of the study area, featuring mean surface temperature values ranging from 2019 to 2023.
Figure 3.
(a) Satellite image of the study area and LST values derived from Landsat 8 in GEE data over the years of (b) 2019; (c) 2020; (d) 2021; (e) 2022; (f) 2023. (g) Legend of LST values in °C.
Figure 4 displays both the annual and monthly mean LST values for Thessaloniki, measured in degrees Celsius, with the calculated standard deviation being ±3.08 °C in the temperature readings. These graphs visually illustrate the fluctuations in surface temperatures over the course of the studied years and across various months, offering a clearer insight into the temperature dynamics within the region.

Figure 4.
(a) Annual and (b) monthly mean LST values for Thessaloniki, measured in degrees Celsius, based on Landsat 8 time series data.
Over the five-year period from 2019 to 2023, according to the extracted LST values from the Landsat 8 time series data, Thessaloniki’s annual mean LST values ranged from 22.95 °C in 2021 to 27.09 °C in 2023. As anticipated, the summer months of June, July and August recorded the highest LST values during this period. More specifically, Thessaloniki recorded a five-year average LST of 39.95 °C in June, 41.78 °C in July, 40.40 °C in August and 32.32 °C in September. Over this period, LST values have shown a steady increase, particularly intensifying between 2021 and 2023. For instance, in July, the average LST increased from 40.07 °C in 2021 to 43.63 °C in 2023. May also saw a notable rise in LST, with the lowest value recorded at 26.39 °C in 2020, increasing to 33.29 °C by 2023. A prominent trend is the significant rise in LSTs during typically colder months such as February, October, November and December, especially between 2021 and 2023. In this three-year span, February’s LST climbed from 13.89 °C to 17.30 °C, October’s from 22.85 °C to 28.31 °C, November’s from 11.78 °C to 17.09 °C and December’s from 7.44 °C to 14.03 °C.
Recognizing the potential for significant variations in LST within a single year, we extended our analysis to include seasonal temperature dynamics across the Thessaloniki region. This approach allowed us to capture the spatial and temporal variations in LST that might be overlooked in annual averages. By calculating the seasonal mean LST values for autumn, winter, spring and summer, we aimed to identify distinct patterns and trends associated with seasonal climate and surface conditions. The results of this analysis are illustrated in Figure 5, Figure 6, Figure 7 and Figure 8, providing a comprehensive view of how LST fluctuates throughout the year and across the diverse landscapes of the region.


Figure 5.
Autumn mean temperature values of Thessaloniki region for (a) 2019, (b) 2020, (c) 2021, (d) 2022 and (e) 2023.

Figure 6.
Winter mean temperature values of Thessaloniki region for (a) 2019, (b) 2020, (c) 2021, (d) 2022 and (e) 2023.

Figure 7.
Spring mean temperature values of Thessaloniki region for (a) 2019, (b) 2020, (c) 2021, (d) 2022 and (e) 2023.

Figure 8.
Summer mean temperature values of Thessaloniki region for (a) 2019, (b) 2020, (c) 2021, (d) 2022 and (e) 2023.
Based on the extracted LST values for autumn in Thessaloniki, there is notable interannual variability over the five-year period from 2019 to 2023. The autumn average LST ranged from a low of 20.78 °C in 2021 to a high of 26.43 °C in 2022. The values in 2019, 2022 and 2023 are relatively consistent, remaining close to 26 °C, indicating a gradual rise in average temperatures over the years.
The seasonal results for winter average LST values indicate that there is a clear upward trend in average winter temperatures over the five-year period from 2019 to 2023. The lowest average temperature was recorded in 2021 at 9.93 °C, while the highest was observed in 2023 at 13.36 °C. Winter temperatures in 2019, 2020 and 2022 show intermediate values of 10.66 °C, 12.23 °C and 12.56 °C, respectively. These results indicate a gradual increase in winter LST, suggesting warming trends during the colder months.
The lowest average temperature in spring was recorded in 2021 at 22.04 °C, followed closely by 2020 at 22.94 °C. Temperatures in 2019 and 2022 were slightly higher, with averages of 25.57 °C and 24.73 °C, respectively. The highest spring average was observed in 2023 at 26.77 °C, reflecting a notable increase compared to previous years. These results suggest that while spring LST remained relatively moderate in 2020 and 2021, a general warming trend is evident from both the extracted LST values and their distribution, as illustrated in Figure 7, particularly in more recent years.
The extracted LST values for summer in Thessaloniki indicate notable variations over the five-year period from 2019 to 2023. The lowest summer average temperature was recorded in 2021 at 39.02 °C, while the highest was observed in 2023 at 42.06 °C. Summer temperatures in 2019, 2020 and 2022 show relatively consistent values, averaging 41.14 °C, 40.61 °C and 40.55 °C, respectively. These results suggest a moderate increase in summer LST over the years, with an overall warming trend in more recent years, which is further emphasized by the peak temperature in 2023.
3.2. LST Variation Within LULC Classes
To analyze the results at the urban and peri-urban level, we applied zonal statistics to the annual LST images using vector datasets from the CORINE Land Use and Land Cover (LULC) classes for the study area. The findings are summarized in Table 3. Zonal statistics linked the raster values of the annual mean LST images with the defined geographic areas of the CORINE LULC classes, providing a comprehensive understanding of LST distribution in the test area. In addition to the mean surface temperature in °C, the table also includes the total number of vector polygons for each LULC class (column N) and the standard deviation of the calculated temperature.
Table 3.
The identified CORINE LULC classes with their LST values from 2019–2023.
Both the spatial distribution shown in Figure 3 and in seasonal LST distribution in Figure 5, Figure 6, Figure 7 and Figure 8, alongside the data in Table 3, reveal a gradual rise in average surface temperature over the past five years, except for 2021, which recorded the lowest mean LST. This is evident from the spatial distribution of LST in 2021 (refer to Figure 3d), where most of the study area has an annual mean LST below 24 °C, except for the northwestern region, which includes the city’s industrial zone. The highest mean annual LST values were observed in 2019, 2022 and 2023, at 25.85 °C, 26.07 °C and 27.09 °C, respectively. Across all five years, the CORINE LULC classes ‘urban fabric’, ‘industrial and commercial units’, ‘airport areas’, ‘road and rail networks and associated land’ and ‘mineral extraction sites’ consistently recorded the highest temperatures, while the class ‘forest’ steadily demonstrated the lowest LST values. The ‘wetlands/waterbodies’ class shows an interesting rise in mean LST over time, from 25.33 °C in 2019 to 28.16 °C in 2023. In the study area, this class is situated along the riverside of the Axios River and its delta area; since wetlands and waterbodies typically have a cooling effect, this trend might suggest lower water levels or environmental changes impacting their ability to regulate temperature.
The standard deviation of the calculated LST for every LULC class gives another perspective: the results from all examined years indicate that the ‘industrial and commercial units’ class exhibited a high standard deviation (reaching 7.27 °C in 2022 and 6.61 °C in 2019), suggesting significant heterogeneity of LST values that derive from different surface properties within this class in the study area. This is something that was expected, though, as industrial and commercial units consist of a variety of materials, such as buildings, roads, concrete and bare soil. Similarly, high values were observed within the geographic area of the class ‘agricultural land’, with a maximum standard deviation of 4.82 °C in 2019, indicating variability in LST due to diverse agricultural cover. Although agricultural land typically shows lower standard deviation due to its uniform canopy cover and evapotranspiration, the relatively high values in this study can be linked to the presence of both cultivated and bare soil areas, as well as sparse urban settlements that are present within the agricultural class of the study area.
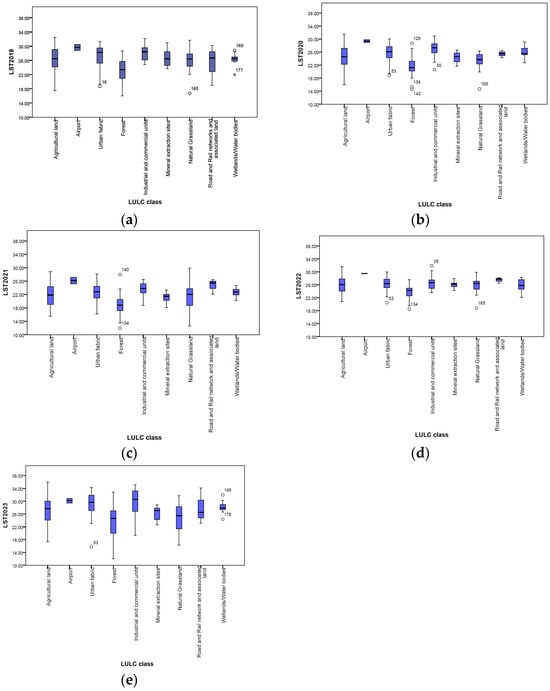
The calculated boxplots with the estimated median values of LST (Figure 9) for all LULC classes illustrate a clear relationship between land cover type and surface temperature.
Figure 9.
Boxplots of CORINE Land Cover classes with their LST values: (a) for 2019, (b) for 2020, (c) for 2021, (d) for 2022 and (e) for 2023. Each box spans from the first quartile (Q1) to the third quartile (Q3) of the distribution, representing the middle 50% of the data, called Interquartile Range (IQR). A horizontal line inside the box marks the median value, indicating the midpoint of the dataset. The lines extending from each end of the box represent the range of variability outside the quartiles. Mild outliers are represented by circles with values that are more than 1.5× IQR below Q1 or above Q3, and extreme outliers are represented by asterisks with values that are more than 3.0× IQR below Q1 or above Q3.
Specifically, the ‘airport’ and ‘urban fabric’ classes exhibit the highest median LST values across all five years, at around 28 °C, with relatively narrow interquartile ranges, indicating consistent temperatures. ‘Industrial and commercial units’ and ‘mineral extraction sites’ also show high median temperatures (approximately 27 °C), reflecting the influence of industrial materials on surface heating. Additionally, boxplots of classes that contain mainly cultivated areas, bare soil or green areas and water (‘forest’, ‘agricultural land’, ‘natural grassland’, ‘wetlands/waterbodies’) have negative skewness as their median value tends to be closer to the upper quartile value, meaning that LST has lower values than the median value. The class ‘forest’ has a median LST ranging from 20 °C to 23 °C, demonstrating greater variability with a wider range, with a negative skew as the median value over the years is closer to the upper quartile value. This indicates that the diverse microclimatic conditions within forested areas can be reflected in the LST variation. ‘Agricultural land’ shows a median LST of around 25 °C (except for the year 2021, which has a median LST value close to 22 °C). Notably, in 2023, all classes (except for ‘airport’ and ‘wetlands/waterbodies’) display long whiskers (the lines extending from each end of the box), indicating greater variability or spread in LST data beyond the first and third quartiles. There are few outliers identified that deviate from the general temperature trend of their class, approximately three mild outliers per year out of the 178 vector polygons of the LULC classes, indicating that these data are between 1.5 and 3 times the interquartile range. These outliers could reflect the influence of localized environmental conditions on the LST distribution, but it may also indicate potential measurement errors, which should be excluded from the calculations in such cases. For instance, outlier 165, observed in 2019, 2020 and 2022, corresponds to a large area on the outskirts of the Seich Shou mountainous region (see Figure 10). Although primarily forested, it is classified as 3.2.4—‘transitional woodland shrub’ in the CORINE LULC classification but grouped in GEE as ‘natural grassland’. Due to this discrepancy, it was decided to reclassify this vector as ‘forest’ and the LST of these two LULC classes was recalculated accordingly.
Figure 10.
Identified outlier 165, classified as natural grassland in GEE calculations.
After fine-tuning the LST calculations, we conducted a further analysis of LST variations across the study area by comparing the differences between rural and urban areas based on the LULC classes. This provides an additional metric for understanding the magnitude and distribution of heat within the urban environment of Thessaloniki and its surroundings. Rural areas typically serve as a baseline, with lower LSTs due to less human activity and more natural vegetation, while urban areas often exhibit higher temperatures due to factors like dense construction, impervious surfaces and reduced green spaces. By comparing these LSTs, it becomes possible to quantify the UHI effect and, more specifically, the SUHI effect since our temperature data refer to surface temperatures derived from satellite imagery. This allows us to identify the most heat-prone urban zones and the land use types that contribute most to the phenomenon. Towards this direction, the LST values of the LULC class of ‘agricultural land’ were defined as the baseline for the LST difference calculations over the 5-year period. These values represent preferably the surface temperatures within the surrounding rural regions of Thessaloniki, which are predominantly characterized by agricultural land cover in CORINE classification. These areas also include sparsely built-up areas, which are present at the outskirts of the city (refer to Figure 3). Table 4 summarizes the results, highlighting temperature increases in green and temperature decreases in red, and Figure 11 presents the LST difference maps.
Table 4.
Annual mean LST differences in Celsius between urban and rural classes for the city of Thessaloniki.

Figure 11.
(a) CORINE LULC classes and annual mean LST differences in Celsius between urban and rural classes for (b) 2019; (c) 2020; (d) 2021; (e) 2022; (f) 2023. The figures demonstrate that ‘urban fabric’ areas located in the city center are, on average, over 2 °C warmer than rural areas, with temperature differences reaching their highest in 2023.
The results reveal that all LULC of CORINE urban areas (namely ‘urban fabric’, ‘airport’, ‘industrial and commercial units’, ‘mineral extraction sites’ and ‘road and rail networks and associated land’) exhibit higher surface temperature values compared to their rural surroundings. On average, ‘urban fabric’ areas are over 2 °C warmer than rural areas, with temperature differences reaching up to 2.39 °C in 2023. Airport areas experience the largest temperature increases compared to rural areas over the five-year period, with the highest rise of 5.25 °C occurring in 2020. ‘Industrial and commercial units’ show a moderate increase in temperatures, ranging from 0.59 °C in 2020 to 1.05 °C in 2019. ‘Mineral extraction/construction sites’ recorded the greatest rise of 1.86 °C in 2019 and the lowest rise of 0.27 °C in 2020 compared to rural areas. Lastly, ‘road and rail networks and associated land’ consistently show an increase of approximately 2 °C throughout the five-year period. In contrast, the LULC class of ‘forest’ exhibited the largest temperature decreases compared to its rural surroundings, with the greatest difference occurring in 2023, where temperatures were approximately 3 °C lower than those of the class ‘agricultural land’. Similarly, ‘natural grasslands’ also showed significant temperature reductions, with the largest difference in 2023 being about 2 °C lower than the LST of rural land that year. ‘Wetland/waterbodies’ areas of Axios River are also presenting a concerning rise of 1–2 °C compared to the rural surroundings across all 5 examined years.
Visual analysis of the resulting LST difference maps (Figure 11) reveals that the most heat-prone urban area is the densely built-up region in the center of Thessaloniki, pointing out that building density tends to increase local air temperatures. In contrast, as we move towards the peripheral zones of the city’s core, where green spaces are more abundant and building density is lower, the conditions change as the LST differences become less pronounced. Road and rail networks, along with their surrounding land, are also identified as heat-prone urban areas. Their associated infrastructure is usually made of materials like asphalt and concrete, which have high thermal mass [34]. These materials absorb and retain heat during the day, thus contributing to the identified LST differences with the rural areas. Moreover, the airport area consistently exhibits higher temperatures than the rural surroundings of Thessaloniki, making it easily distinguishable on the difference map. All these identified heat-prone areas belong to the LULC general category of artificial surfaces; due to their imperviousness, these areas usually prevent water infiltration, and as a result, natural cooling mechanisms such as evaporation are limited. This could lead to an increase in surface temperatures, especially during heatwaves and warm seasons, resulting in the SUHI effect as recognized in this study. Finally, the ‘wetland/waterbodies’ areas of the Axios River are also showing a concerning increase, once again emphasizing that the thermal conditions in this region may be hindering effective temperature regulation.
3.3. Validation of LST Measurements
In Greece, reliable and freely accessible data can be found in the monthly air temperature records provided by the Hellenic National Meteorological Service (HNMS) [35]. HNMS operates meteorological stations across Greece and offers data from 2016 onward. The satellite-derived LST characterizes the near-surface thermal environment, thus comparing the extracted LST values with recorded air temperatures could serve as a validation method. For this purpose, 500 random points were selected across the LULC classes and their monthly mean LST temperature was collected and used for the monthly mean LST calculations (Table 5, Figure 12). On the other side, monthly temperature data for Thessaloniki were collected from the HNMS website and the differences between LST and observed air temperatures were calculated continuously.
Table 5.
Monthly average LST values and HNMS data in Celsius over the five-year period from 2019 to 2023, derived from the 500 sample points.
Figure 12.
Spatial distribution of sample points.
Table 6 presents the paired samples correlations between the LST and the HNMS monthly recorded air temperatures from 2019 to 2023. The correlation values measure the strength of the relationship between LST and air temperatures, while the ‘Sig.’ column represents the statistical significance of these correlations. In summary, for each year from 2019 to 2023, the correlations between LST and air temperatures are strong, all above 0.94, with a significance value of 0.000, indicating a highly consistent and statistically significant relationship between the two values across these years. As an initial assumption, it can be suggested that the extracted LST values may offer an accurate representation of the thermal environment in the study area. Regarding the actual temperature differences, Table 5 reveals that the largest differences between LST and HNMS data occurred in June, July and August, with the highest 5-year average difference reaching 11.79 °C in June. In contrast, the smallest differences were recorded during the colder months of January, November and December, ranging from 1.47 °C to 1.66 °C. In February, March and October, LST values are also higher than the recorded HNMS air temperature values, with differences ranging from 5 °C to 5.91 °C. This pattern is consistent with findings from other studies, such as the research by Do Nascimento et al. [36] in 2022, which compared air temperatures with LST for São Paulo, Brazil, as well as other related studies [37,38]. During the colder months (November to February), cloud cover can reduce infrared radiation loss from the surface, resulting in LST values that are in line with air temperatures. However, in the summer months, when solar radiation is stronger, the atmosphere absorbs less energy from the transmitted radiation, resulting in significantly higher LST compared to air temperature. Furthermore, HNMS notes that air temperature deviations from actual values recorded by WMO (World Meteorological Organization) stations can range from 0.5 °C to 4.5 °C. The analysis of our LST results revealed an average difference of approximately 6 °C when compared to air temperatures. However, taking into consideration the deviations from actual values, the 6 °C average difference in LST could reflect not only the surface’s thermal characteristics but also the inherent limitations of air temperature measurements. Thus, while the LST calculations and air temperature appear to have a noteworthy difference in our test area, this difference must be interpreted with caution, considering the potential inaccuracies in air temperature data. Added to that, the WMO network in Greece has limited spatial coverage, with typically one to two stations per city. As a result, it cannot reliably capture temperature data that reflect thermal conditions within urban areas. In contrast, LST extraction from Landsat 8 data provides a more representative view of surface temperature variations, and, by extension, air temperature variations within densely populated urban environments.
Table 6.
Paired samples correlations between extracted LST values and air temperatures recorded by HNMS.
3.4. LST Correlation with NDVI
Recognizing the significant influence of vegetation on surface temperature variations, we proceeded to analyze the distribution of NDVI across the study area over the examined five-year period, correlating it with the extracted LST data. This approach could serve as an additional tool for developing mitigation strategies focused on enhancing green spaces to help reduce the SUHI effect over the study area. In detail, scatterplots were produced between mean values of LST and mean values of NDVI in every vector LULC dataset for the reference years 2019 to 2023 and the correlation coefficient was also calculated for the examined couples (LST-NDVI). The results are shown in Figure 13 and the calculated Pearson correlation in Table 7. The Pearson correlation ranges from −1 to +1. A value above 0 indicates a positive relationship, meaning that as one variable increases, the other also tends to increase. Conversely, a value below 0 indicates a negative relationship, where an increase in one variable corresponds to a decrease in the other. Overall, there is a consistent negative relationship between NDVI and LST across all years, thus confirming the sense that increased vegetation (demonstrating higher NDVI values) tends to be associated with lower surface temperatures. The strength of this relationship varies by year, with 2023 showing the strongest correlation with R2 = 0.659, suggesting that, in the year with the highest recorded surface temperatures, vegetation had a much more considerable cooling effect on surface temperatures compared to earlier years.
Figure 13.
Scatterplots for LST and NDVI for the reference years of (a) 2019, (b) 2020, (c) 2021, (d) 2022 and (e) 2023. A consistent negative relationship between NDVI and LST is present across all years.
Table 7.
Pearson correlation results for LST and NDVI for the reference years of 2019–2023.
The observed correlation between LST and NDVI in the study area provides additional evidence of vegetation’s role in mitigating urban heat, which could be crucial for urban planning and sustainability initiatives. Our findings align with the results of several studies [39,40] which demonstrate a strong relationship between NDVI and LST that is closely related to the different surface types present in the study area. Therefore, conducting a comprehensive analysis of land cover composition using NDVI, along with assessing the varying effects of different land cover types on surface temperatures, is crucial for understanding how urban morphology and land cover impact local climate conditions.
4. Discussion
This paper presents an analysis of how urban land cover composition influences the urban thermal climate in the region of Thessaloniki, Greece. Time series satellite imagery from Landsat 8, covering the years 2019 to 2023, along with CORINE LULC data were used to divide and analyze the study area at a finer scale and at a more granular intra-urban level. The climate-related variable of LST was calculated using the NDVI-based emissivity method in GEE, representing the thermal conditions of the study area. The LST distribution across the study area was accomplished by applying zonal statistics using the vector files of the identified LULC classes as reference zones in the area under study. Monthly air temperature data were obtained from Greece’s official WMO network to validate the extracted LST values and enhance the understanding of the significance of the findings. Several statistical tests were conducted to further analyze and evaluate the relationship between the CORINE LULC classes in the study area and the extracted temperature values, as well as to assess the spatio-temporal correlation between LST and LULC classes. Finally, correlation analysis was conducted for the extracted LSTs and the calculated NDVI over the 5-year period, providing extra evidence of vegetation’s role in mitigating urban heat.
By calculating and analyzing both annual and seasonal LST values, we were able to capture key patterns of temperature variation and their distribution across the region. The findings reveal noticeable interannual and seasonal variability, with evidence of a gradual warming trend, particularly during the summer and winter months in more recent years. This finding aligns with reports implemented by the European Centre for Medium-Range Weather Forecasts (ECMWF) [41]. The detailed temperature analysis revealed that there has been a gradual increase in average surface temperature over the past five years, with a more pronounced increase observed in the last two years (2022 and 2023), with mean annual LST values reaching 26.07 °C and 27.09 °C, respectively. The application of the NDVI-based emissivity approach allowed for precise adjustments to the variability in land cover, ensuring accurate LST retrieval in this heterogeneous landscape. The distinct difference is identified in different LULC datasets of the study area, where pervious green areas or areas of water (CORINE classes of ‘agricultural land’, ‘forest’, ‘natural grassland’, ‘wetlands/waterbodies’) possess lower LST values than the impervious LULC dataset with dense settlements and lack of vegetation, namely ‘urban fabric’, ‘industrial and commercial units’, ‘road and rail networks and associated land’, ‘airport areas’ and ‘mineral extraction sites/construction sites’.
With the intention of estimating the SUHI effect over the examined area, LST differences were calculated for the urban LULC areas and the surrounding rural areas (CORINE LULC class of ‘agricultural land’). The five-year analysis indicates that the densely populated urban area of Thessaloniki experiences higher temperatures compared to its rural surroundings. The estimated LST differences throughout this period show that the ’urban fabric’ and ’industrial and commercial units’ are, on average, more than 2 °C warmer than their rural areas. The areas of ‘industrial and commercial units’, ‘mineral and extraction site/construction sites’ and ‘road and rail networks and associated land’ show a moderate increase in LST of 1 °C, while ‘airport’ areas experience the largest temperature increases compared to rural areas over the five-year period, with the highest rise of 5.25 °C occurring in 2020. In contrast, the ’forest’ class shows a consistent decrease of 2 °C compared to the rural areas of Thessaloniki, while the ’natural grassland’ class experiences both increases and decreases in LST differences over the examined five-year period. This reinforces the notion that low vegetation could offer greater cooling benefits when shaded [42]. Finally, our findings identified an interesting rise in the mean LST of ‘wetlands/waterbodies’ over time, going from 25.33 °C in 2019 to 28.16 °C in 2023. As these areas are linked to the Axios riverside and its delta region, this is an alarming situation. Axios River is known for its rich biodiversity and ecological importance and it supports diverse habitats, including wetlands, forests and agricultural lands along its banks [43]. Axios has historically supported local agriculture and has played an essential role in the region’s cultural and economic development. In the work of Vokou et al. in 2016, [44] where they analyzed the Axios, Aliakmon and Gallikos Delta Complex (Northern Greece), the importance of this region was highlighted; it is a Ramsar site, a national park and includes multiple Natura 2000 sites as well as wildlife refuges. Its deterioration requires close examination, and this study could contribute valuable support to ongoing monitoring efforts. The use of CORINE LULC data ensured that our algorithm could be easily implemented in various regions of Greece, even in cases where other sources of land use data may not be available [45,46]. Stathopoulou et al. [47] in their extensive study have demonstrated the statistically significant differences in emissivity associated with different land cover types of CORINE, reinforcing the robustness of the applied NDVI-based emissivity in our study for extracting LST. Our primary intention was to rely exclusively on free and readily accessible data [48] for both processing and validation, avoiding the need for in situ measurements and enabling the examination of time series data that can be easily adapted.
Data validation was conducted using the monthly recorded air temperatures provided by the HNMO, and the statistical tests performed showed that the observed LST values are statistically significantly correlated. Hooker et al. [49], in their analysis of a global dataset of air temperatures derived from satellite remote sensing, highlight the limited availability of datasets containing actual air temperature records. They demonstrated with their statistical models from a global analysis that satellite-derived LST can be used to bridge gaps in surface air temperature measurements across both space and time. Therefore, it could be safely concluded that the extracted LSTs represent the spatial variations in the thermal conditions within the area under study. However, the recorded LST values varied from the monthly air temperatures at the WMO stations, showing an average discrepancy of 6 °C. Summer months, in particular, reportedly showed the biggest differences, with values reaching 11.79 °C in June. Our analysis, though, aimed to highlight trends and variations in LST that go beyond any discrepancies with air temperature data, as it focuses on surface-type differences. These results are also consistent with similar research studies that have found significant differences in satellite-derived LST values during the hotter months [36]. Our study observed a significant difference during typically colder months such as February, October, November and December. These months in our LST records have shown a notable increase in surface temperatures over the last three years, from 2021 to 2023. European State of the Climate (ESOTC) reports [50] further confirm that 2023 was the second-warmest year on record for Europe, and the largest anomalies occurred in eastern and central areas, where winter showed significant seasonal average surface air temperature anomalies. This was also affirmed by the National Observatory of Athens, which reported that temperatures in Greece reached exceptionally high levels during the winter of 2022/2023, marking it as the warmest winter ever recorded in the country [51]. Consequently, despite the observed deviation found in our analysis, it can be safely concluded that these values indicate the ongoing upward trend in temperature [52], which has a significant impact on shaping air temperature. Our analysis shows that this increase has been more pronounced over the past two years, reinforcing the observation that heatwaves in Europe are becoming more frequent and intense [6,7].
These results align with broader global studies that report increasing LST values in urbanized and peri-urban areas due to urban heat island effects [53] and climate change [54,55,56]. Moreover, the findings validate regional analyses in Mediterranean cities, where seasonal LST fluctuations are strongly influenced by vegetation dynamics and urban expansion [56,57]. This research highlights the utility of satellite data for retrospective LST analysis and demonstrates the importance of combining remote sensing and emissivity models for enhanced temperature monitoring [58,59]. Our study contributes to a better understanding of thermal dynamics in Thessaloniki, an area previously unexplored in this context, as the majority of relevant studies have focused mainly on Athens [24,25,60], and offers a foundation for urban climate adaptation strategies, further emphasizing the significance of integrating satellite-based observations in regional climate studies [61].
The use of the GEE platform for LST extraction offers significant advantages, particularly in its ability to process extensive time series data over large geographic areas with consistent methodologies [10,40,62]. While discrepancies between LST and air temperature data may arise, especially during the summer months, these differences can be attributed to the inherent constraints of air temperature measurements, which typically rely on data from a limited number of meteorological stations [14,36]. These stations provide point-based measurements that may not adequately capture the spatial variability of temperature across urban and rural areas, particularly in regions with diverse land cover and topography [49]. In contrast, satellite-derived LST data provide spatially continuous information [63,64,65], allowing for a more comprehensive understanding of surface thermal dynamics. Despite these discrepancies, LST data offer unique insights into the surface energy balance and urban heat island effects that air temperature data alone cannot provide [49,66]. Therefore, integrating LST analysis via GEE represents a robust approach for studying land surface processes, while acknowledging and contextualizing these differences with air temperature measurements enhances the overall reliability and applicability of the research.
The cross-correlation of LST and the NDVI index within these LULC datasets demonstrated a moderate negative linear relationship between the two variables, aligning with the results of relevant studies [67,68,69]. Analyzing correlation scatterplots is useful for examining LST variation, as it quantifies the cooling effect of vegetation. This is crucial for evaluating how green spaces and parks impact temperature fluctuations within a city by mitigating the SUHI effect [70,71,72]. The patterns and trends we identified in the examined area over the five-year period are consistent with the documented trends and analyses from previous studies [43,73,74,75].
Seasonal variations and weather patterns play a significant role in shaping the intensity and characteristics of the SUHI effect [70,76,77], as they affect surface temperature fluctuations. Our approach allowed us to process time series satellite data within the platform of GEE, focusing on cloudless days across all seasons from 2019 to 2023. This methodology provided an opportunity to capture and analyze Land Surface Temperature variations in Thessaloniki, contributing to a novel approach for investigating temperature differences between urban and rural areas. By leveraging GEE’s computational resources, we were able to process large datasets efficiently, ensuring that only cloud-free images were used, thus maintaining the accuracy and reliability of the temperature measurements. The inclusion of data from all seasons provided a holistic view of the temporal dynamics of urban heat, enabling us to track seasonal fluctuations as well as the broader patterns of SUHI effects across different areas of the city. This made it possible to portray a more detailed spectrum of temperature variations and urban heat dynamics, offering valuable insights into the evolving relationship between urbanization, climate and local temperature trends in Thessaloniki. Moreover, our approach offers a comprehensive analysis by integrating multiple images over time, thus surpassing studies (examples seen in [75,78] that rely on single images for LST extraction and SUHI estimation. In countries like Greece, this could be an invaluable tool, given that reliable temperature data are often limited or insufficient, making it challenging to accurately capture the unique thermal dynamics of urban areas. Furthermore, the GEE platform facilitates extensive urban coverage, allowing for the application of our approach across diverse geographic locations and time periods. This capability ensures that researchers can analyze a wide range of urban environments and their thermal dynamics, enabling more comprehensive insights into how different cities experience and respond to temperature variations over time.
5. Conclusions
To ensure the sustainability of urban centers, it is necessary to systematically study the factors that hamper LST. The climate in cities is constantly deteriorating, making it very difficult for people to live healthily [79,80,81]. While urban centers continually develop and expand, measures must be taken quickly to protect the environment and citizens from further adverse effects. For this purpose, Remote Sensing is a very effective way of observing, predicting and managing the phenomenon of rising Land Surface Temperature. The 2030 Agenda for Sustainable Development of the United Nations [82] suggests that practical solutions that can accelerate progress on the Sustainable Development Goals (SDGs) are urgently needed; climate change measures should be integrated into national policies and planning in order to address the multifaceted challenges posed by global warming. Many studies have demonstrated that the most effective way to cool asphalt surfaces is through the presence of trees. As a result, expanding tree cover and increasing urban green spaces are crucial for mitigating the UHI effect [83]. O’Malley et al. [84] explored strategies for mitigating UHI that are both effective and resilient, aiming to offer guidance for their future implementation. Various urban cooling methodologies have been proposed, including enhancing the surface reflectivity of urban materials [85] or the enhancement of urban vegetation with green spaces or even green roofs [86,87,88] to facilitate a decrease in the SUHI effect.
It is always challenging to identify and implement key measures that lead to climatic resilience, and climate monitoring plays an important role. Thessaloniki has witnessed rapid growth and ongoing developments in both its urban and peri-urban areas. It is essential to evaluate the repercussions of this urban expansion to strengthen its climatic resilience. The current study with an LST distribution over 5 years could contribute towards this goal as it facilitates and suggests the impact of this urbanization on the area’s urban climate. Considering that Thessaloniki, similar to many Greek cities, has limited available land in urban areas for developing more resilient urban spaces, one of the most effective strategies to combat urban overheating is to integrate and promote green spaces in various forms within the current urban landscape. Nature-based actions and solutions, targeting ‘underprivileged’ areas where a lack of vegetation and higher values of LST are observed with this methodology, could contribute to this climate change adaptation [42,89,90]. Initiatives should focus on creating parks, retrofitting unused spaces, promoting green roofs and establishing shaded cool corridors connecting green areas [91,92]. Monitoring these measures with additional weather stations will ensure lasting impact. Together, these actions offer a scalable approach to mitigate UHI effects in Thessaloniki that will improve the city’s resilience to heat and enhance the quality of urban life.
Moreover, further measures should be taken, and more studies should follow to support this research. Further analysis could include incorporating additional parameters such as elevation and building height (examples seen in the work of [93,94] into the algorithm. The inclusion of these parameters in the proposed algorithm could significantly enhance the depth of our analysis in the Thessaloniki region. These variables play a pivotal role in shaping localized thermal responses. Additionally, analyzing urban density could help quantify the intensity and spatial variability of heat variation in urban areas compared to their rural counterparts. Integrating these parameters into the analysis would provide a more comprehensive understanding of LST dynamics, offering valuable insights for urban planning and the development of sustainable, climate-resilient cities.
Author Contributions
Conceptualization, A.S.; methodology, A.S. and E.S.; software, A.S.; validation, A.S., A.D. and A.B.; investigation, A.S.; data curation, A.S. and E.K.; writing—original draft preparation, A.S.; writing—review and editing, A.S., E.S., I.T., E.K., A.D. and A.B.; visualization, A.S., A.D. and A.B.; supervision E.S. All authors have read and agreed to the published version of the manuscript.
Funding
This research received no external funding.
Data Availability Statement
The Landsat data used in the study are openly available on the Google Earth Engine platform: https://developers.google.com/earth-engine/datasets/catalog/landsat (accessed on 21 January 2025). The CORINE Land Cover data are openly available at https://land.copernicus.eu/en/products/corine-land-cover/clc2018 (accessed on 21 January 2025). The climatic data by month used in the study are openly available in the Greek portal of the Hellenic National Meteorological Service—HNMS: https://www.emy.gr/bulletins-studies (accessed on 21 January 2025).
Conflicts of Interest
The authors declare no conflicts of interest.
References
- United Nations Department of Economic and Social Affairs. World Urbanization Prospects 2018 Highlights; United Nations Department of Economic and Social Affairs: New York, NY, USA, 2018. [Google Scholar]
- Oke, T.R. Towards Better Scientific Communication in Urban Climate. Theor. Appl. Climatol. 2006, 84, 179–190. [Google Scholar] [CrossRef]
- Fernández, F. Lisa Gartlant Heat Islands: Understanding and Mitigating Heat in Urban Areas; Editorial Earthscan Publications Ltd.: London, UK, 2008; Volume 192. [Google Scholar] [CrossRef]
- Li, X.; Mitra, C.; Dong, L.; Yang, Q. Understanding Land Use Change Impacts on Microclimate Using Weather Research and Forecasting (WRF) Model. Phys. Chem. Earth 2018, 103, 115–126. [Google Scholar] [CrossRef]
- Bonafoni, S.; Baldinelli, G.; Verducci, P. Sustainable Strategies for Smart Cities: Analysis of the Town Development Effect on Surface Urban Heat Island through Remote Sensing Methodologies. Sustain. Cities Soc. 2017, 29, 211–218. [Google Scholar] [CrossRef]
- Tan, J.; Zheng, Y.; Tang, X.; Guo, C.; Li, L.; Song, G.; Zhen, X.; Yuan, D.; Kalkstein, A.J.; Li, F.; et al. The Urban Heat Island and Its Impact on Heat Waves and Human Health in Shanghai. Int. J. Biometeorol. 2010, 54, 75–84. [Google Scholar] [CrossRef] [PubMed]
- Heaviside, C.; Vardoulakis, S.; Cai, X.M. Attribution of Mortality to the Urban Heat Island during Heatwaves in the West Midlands, UK. Environ. Health A Glob. Access Sci. Source 2016, 15, 49–59. [Google Scholar] [CrossRef]
- Vujovic, S.; Haddad, B.; Karaky, H.; Sebaibi, N.; Boutouil, M. Urban Heat Island: Causes, Consequences, and Mitigation Measures with Emphasis on Reflective and Permeable Pavements. CivilEng 2021, 2, 459–484. [Google Scholar] [CrossRef]
- Li, Z.L.; Tang, B.H.; Wu, H.; Ren, H.; Yan, G.; Wan, Z.; Trigo, I.F.; Sobrino, J.A. Satellite-Derived Land Surface Temperature: Current Status and Perspectives. Remote Sens. Environ. 2013, 131, 14–37. [Google Scholar] [CrossRef]
- Ermida, S.L.; Soares, P.; Mantas, V.; Göttsche, F.M.; Trigo, I.F. Google Earth Engine Open-Source Code for Land Surface Temperature Estimation from the Landsat Series. Remote Sens. 2020, 12, 1471. [Google Scholar] [CrossRef]
- Lazzarini, M.; Marpu, P.R.; Ghedira, H. Temperature-Land Cover Interactions: The Inversion of Urban Heat Island Phenomenon in Desert City Areas. Remote Sens. Environ. 2013, 130, 136–152. [Google Scholar] [CrossRef]
- Carter, J.G.; Cavan, G.; Connelly, A.; Guy, S.; Handley, J.; Kazmierczak, A. Climate Change and the City: Building Capacity for Urban Adaptation. Prog. Plan. 2015, 95, 1–66. [Google Scholar] [CrossRef]
- Abdulmana, S.; Garcia-Constantino, M.; Lim, A. The Influence of Elevation, Land Cover and Vegetation Index on LST Increase in Taiwan from 2000 to 2021. Sustainability 2023, 15, 3262. [Google Scholar] [CrossRef]
- Balas, D.B.; Tiwari, M.K.; Trivedi, M.; Patel, G.R. Impact of Land Surface Temperature (LST) and Ground Air Temperature (Tair) on Land Use and Land Cover (LULC): An Investigative Study. Int. J. Environ. Clim. Change 2023, 13, 3117–3130. [Google Scholar] [CrossRef]
- Chen, Y.; Shu, B.; Zhang, R.; Amani-Beni, M. LST Determination of Different Urban Growth Patterns: A Modeling Procedure to Identify the Dominant Spatial Metrics. Sustain. Cities Soc. 2023, 92, 104459. [Google Scholar] [CrossRef]
- Eleftheriou, D.; Kiachidis, K.; Kalmintzis, G.; Kalea, A.; Bantasis, C.; Koumadoraki, P.; Spathara, M.E.; Tsolaki, A.; Tzampazidou, M.I.; Gemitzi, A. Determination of Annual and Seasonal Daytime and Nighttime Trends of MODIS LST over Greece—Climate Change Implications. Sci. Total Environ. 2018, 616–617, 937–947. [Google Scholar] [CrossRef]
- Stathopoulou, M.; Cartalis, C.; Keramitsoglou, I. Mapping Micro-Urban Heat Islands Using NOAA/AVHRR Images and CORINE Land Cover: An Application to Coastal Cities of Greece. Int. J. Remote Sens. 2004, 25, 2301–2316. [Google Scholar] [CrossRef]
- CORINE Land Cover 2018 (Vector/Raster 100 m), Europe, 6-Yearly. Available online: https://land.copernicus.eu/en/products/corine-land-cover/clc2018 (accessed on 25 April 2024).
- Gemitzi, A.; Albarakat, R.; Kratouna, F.; Lakshmi, V. Land Cover and Vegetation Carbon Stock Changes in Greece: A 29-Year Assessment Based on CORINE and Landsat Land Cover Data. Sci. Total Environ. 2021, 786, 147408. [Google Scholar] [CrossRef]
- Georgakopoulos, T. ‘The Impact of Climate Change on the Greek Economy’, Dianeosis. Available online: https://www.dianeosis.org/en/2017/08/impact-climate-change-greek-economy/ (accessed on 30 September 2024).
- Cos, J.; Doblas-Reyes, F.; Jury, M.; Marcos, R.; Bretonnière, P.-A.; Samsó, M. The Mediterranean Climate Change Hotspot in the CMIP5 and CMIP6 Projections. Earth Syst. Dyn. 2022, 13, 321–340. [Google Scholar] [CrossRef]
- United Nations Environment Programme/Mediterranean Action Plan and Plan Bleu (2020) SoED 2020: State of Environment and Development in Mediterranean, Plan-bleu: Environnement et développement en Méditerranée. Available online: https://planbleu.org/en/soed-2020-state-of-environment-and-development-in-mediterranean/ (accessed on 30 September 2024).
- Polydoros, A.; Mavrakou, T.; Cartalis, C. Quantifying the Trends in Land Surface Temperature and Surface Urban Heat Island Intensity in Mediterranean Cities in View of Smart Urbanization. Urban Sci. 2018, 2, 16. [Google Scholar] [CrossRef]
- Stathopoulou, M.; Cartalis, C. Downscaling AVHRR Land Surface Temperatures for Improved Surface Urban Heat Island Intensity Estimation. Remote Sens. Environ. 2009, 113, 2592–2605. [Google Scholar] [CrossRef]
- Stathopoulou, M.; Cartalis, C. Daytime Urban Heat Islands from Landsat ETM+ and Corine Land Cover Data: An Application to Major Cities in Greece. Sol. Energy 2007, 81, 358–368. [Google Scholar] [CrossRef]
- Flocas, H.; Kelessis, A.; Helmis, C.; Petrakakis, M.; Zoumakis, M.; Pappas, K. Synoptic and Local Scale Atmospheric Circulation Associated with Air Pollution Episodes in an Urban Mediterranean Area. Theor. Appl. Climatol. 2009, 95, 265–277. [Google Scholar] [CrossRef]
- Climate-Data.Org Climate-Data. Available online: https://en.climate-data.org/ (accessed on 10 April 2023).
- Chakraborty, T.C.; Lee, X.; Ermida, S.; Zhan, W. On the Land Emissivity Assumption and Landsat-Derived Surface Urban Heat Islands: A Global Analysis. Remote Sens. Environ. 2021, 265, 112682. [Google Scholar] [CrossRef]
- Rubio, E.; Caselles, V.; Badenas, C. Emissivity Measurements of Several Soils and Vegetation Types in the 8-14 Μm Wave Band: Analysis of Two Field Methods. Remote Sens. Environ. 1997, 59, 490–521. [Google Scholar] [CrossRef]
- Stamou, A.; Karachaliou, E.; Dosiou, A.; Tavantzis, I.; Stylianidis, E. Exploring Patterns of Surface Urban Heat Island Intensity: A Comparative Analysis of Three Greek Urban Areas. Discov. Cities 2024, 1, 18. [Google Scholar] [CrossRef]
- Chen, F.; Yang, S.; Su, Z.; Wang, K. Effect of Emissivity Uncertainty on Surface Temperature Retrieval over Urban Areas: Investigations Based on Spectral Libraries. ISPRS J. Photogramm. Remote Sens. 2016, 114, 53–65. [Google Scholar] [CrossRef]
- Sobrino, J.A.; Jiménez-Muñoz, J.C.; Sòria, G.; Romaguera, M.; Guanter, L.; Moreno, J.F.; Plaza, A.J.; Martínez, P. Land Surface Emissivity Retrieval From Different VNIR and TIR Sensors. IEEE Trans. Geosci. Remote Sens. 2008, 46, 316–327. [Google Scholar] [CrossRef]
- Osborne, P.E.; Alvares-Sanches, T. Quantifying How Landscape Composition and Configuration Affect Urban Land Surface Temperatures Using Machine Learning and Neutral Landscapes. Comput. Environ. Urban Syst. 2019, 76, 80–90. [Google Scholar] [CrossRef]
- Shafigh, P.; Asadi, I.; Mahyuddin, N.B. Concrete as a Thermal Mass Material for Building Applications—A Review. J. Build. Eng. 2018, 19, 14–25. [Google Scholar] [CrossRef]
- Hellenic National Meteorological Service. Available online: https://www.emy.gr/bulletins-studies? (accessed on 19 July 2024).
- Do Nascimento, A.C.L.; Galvani, E.; Gobo, J.P.A.; Wollmann, C.A. Comparison between Air Temperature and Land Surface Temperature for the City of São Paulo, Brazil. Atmosphere 2022, 13, 491. [Google Scholar] [CrossRef]
- Khatry, A.K.; Sodha, M.S.; Malik, M.A.S. Periodic Variation of Ground Temperature with Depth. Sol. Energy 1978, 20, 425–427. [Google Scholar] [CrossRef]
- Molnar, P. Differences between Soil and Air Temperatures: Implications for Geological Reconstructions of Past Climate. Geosphere 2022, 18, 800–824. [Google Scholar] [CrossRef]
- Jamei, Y.; Seyedmahmoudian, M.; Jamei, E.; Horan, B.; Mekhilef, S.; Stojcevski, A. Investigating the Relationship between Land Use/Land Cover Change and Land Surface Temperature Using Google Earth Engine; Case Study: Melbourne, Australia. Sustainability 2022, 14, 14868. [Google Scholar] [CrossRef]
- Puche, M.; Vavassori, A.; Brovelli, M.A. Insights into the Effect of Urban Morphology and Land Cover on Land Surface and Air Temperatures in the Metropolitan City of Milan (Italy) Using Satellite Imagery and In Situ Measurements. Remote Sens. 2023, 15, 733. [Google Scholar] [CrossRef]
- ECMWF|Advancing Global NWP Through International Collaboration. Available online: https://www.ecmwf.int/ (accessed on 20 January 2025).
- Armson, D.; Stringer, P.; Ennos, A.R. The Effect of Tree Shade and Grass on Surface and Globe Temperatures in an Urban Area. Urban For. Urban Green. 2012, 11, 245–255. [Google Scholar] [CrossRef]
- Smardon, R. The Axios River Delta—Mediterranean Wetland Under Siege. In Sustaining the World’s Wetlands: Setting Policy and Resolving Conflicts; Smardon, R., Ed.; Springer: New York, NY, USA, 2009; pp. 57–92. ISBN 978-0-387-49429-6. [Google Scholar]
- Vokou, D.; Giannakou, U.; Kontaxi, C.; Vareltzidou, S. Axios, Aliakmon, and Gallikos Delta Complex (Northern Greece). In The Wetland Book: II: Distribution, Description and Conservation; Finlayson, C.M., Milton, G.R., Prentice, R.C., Davidson, N.C., Eds.; Springer: Dordrecht, The Netherlands, 2016; pp. 1–12. ISBN 978-94-007-6173-5. [Google Scholar]
- Vilar, L.; Garrido, J.; Echavarría, P.; Martínez-Vega, J.; Martín, M.P. Comparative Analysis of CORINE and Climate Change Initiative Land Cover Maps in Europe: Implications for Wildfire Occurrence Estimation at Regional and Local Scales. Int. J. Appl. Earth Obs. Geoinf. 2019, 78, 102–117. [Google Scholar] [CrossRef]
- Gallardo, M.; Cocero, D. Using the European CORINE Land Cover Database: A 2011–2021 Specific Review. In Sustainable Development Goals in Europe: A Geographical Approach; De Lázaro Torres, M.L., De Miguel González, R., Eds.; Springer International Publishing: Cham, Swizterland, 2023; pp. 303–325. ISBN 978-3-031-21614-5. [Google Scholar]
- Stathopoulou, M.; Cartalis, C.; Petrakis, M. Integrating Corine Land Cover Data and Landsat TM for Surface Emissivity Definition: Application to the Urban Area of Athens, Greece. Int. J. Remote Sens. 2007, 28, 3291–3304. [Google Scholar] [CrossRef]
- Cieślak, I.; Biłozor, A.; Szuniewicz, K. The Use of the CORINE Land Cover (CLC) Database for Analyzing Urban Sprawl. Remote Sens. 2020, 12, 282. [Google Scholar] [CrossRef]
- Hooker, J.; Duveiller, G.; Cescatti, A. A Global Dataset of Air Temperature Derived from Satellite Remote Sensing and Weather Stations. Sci. Data 2018, 5, 180246. [Google Scholar] [CrossRef]
- European State of the Climate|Copernicus. Available online: https://climate.copernicus.eu/ESOTC (accessed on 20 January 2025).
- Unit for the Forecasting & Monitoring of Weather Related Natural Disasters (Meteo)—Institute for Environmental Research and Sustainable Development’. Available online: https://www.iersd.noa.gr/en/operational-services/meteo/ (accessed on 20 January 2025).
- Pastor, F.; Valiente, J.A.; Palau, J.L. Sea Surface Temperature in the Mediterranean: Trends and Spatial Patterns (1982–2016). Pure Appl. Geophys. 2018, 175, 4017–4029. [Google Scholar] [CrossRef]
- Rashid, N.; Alam, J.A.M.M.; Chowdhury, M.A.; Islam, S.L.U. Impact of Landuse Change and Urbanization on Urban Heat Island Effect in Narayanganj City, Bangladesh: A Remote Sensing-Based Estimation. Environ. Chall. 2022, 8, 100571. [Google Scholar] [CrossRef]
- Chanpichaigosol, N.; Chaichana, C.; Rinchumphu, D. Urban Heat Island Classification through Alternative Normalized Difference Vegetation Index. Glob. J. Environ. Sci. Manag. 2025, 11, 57–76. [Google Scholar] [CrossRef]
- Yuan, B.; Li, X.; Zhou, L.; Bai, T.; Hu, T.; Huang, J.; Liu, D.; Li, Y.; Guo, J. Global Distinct Variations of Surface Urban Heat Islands in Inter- and Intra-Cities Revealed by Local Climate Zones and Seamless Daily Land Surface Temperature Data. ISPRS J. Photogramm. Remote Sens. 2023, 204, 1–14. [Google Scholar] [CrossRef]
- Benas, N.; Chrysoulakis, N.; Cartalis, C. Trends of Urban Surface Temperature and Heat Island Characteristics in the Mediterranean. Theor. Appl. Climatol. 2017, 130, 807–816. [Google Scholar] [CrossRef]
- Wedler, M.; Pinto, J.G.; Hochman, A. More Frequent, Persistent, and Deadly Heat Waves in the 21st Century over the Eastern Mediterranean. Sci. Total Environ. 2023, 870, 161883. [Google Scholar] [CrossRef]
- Li, T.; Meng, Q. A Mixture Emissivity Analysis Method for Urban Land Surface Temperature Retrieval from Landsat 8 Data. Landsc. Urban Plan. 2018, 179, 63–71. [Google Scholar] [CrossRef]
- Vanhellemont, Q. Combined Land Surface Emissivity and Temperature Estimation from Landsat 8 OLI and TIRS. ISPRS J. Photogramm. Remote Sens. 2020, 166, 390–402. [Google Scholar] [CrossRef]
- Agathangelidis, I.; Cartalis, C.; Santamouris, M. Urban Morphological Controls on Surface Thermal Dynamics: A Comparative Assessment of Major European Cities with a Focus on Athens, Greece. Climate 2020, 8, 131. [Google Scholar] [CrossRef]
- Zhou, W.; Liu, Y.; Ata-Ul-Karim, S.T.; Ge, Q.; Li, X.; Xiao, J. Integrating Climate and Satellite Remote Sensing Data for Predicting County-Level Wheat Yield in China Using Machine Learning Methods. Int. J. Appl. Earth Obs. Geoinf. 2022, 111, 102861. [Google Scholar] [CrossRef]
- Farda, N.M. Multi-Temporal Land Use Mapping of Coastal Wetlands Area Using Machine Learning in Google Earth Engine. In Proceedings of the IOP Conference Series: Earth and Environmental Science, Yogyakarta, Indonesia, 27–28 September 2017; Volume 98. [Google Scholar]
- Reiners, P.; Sobrino, J.; Kuenzer, C. Satellite-Derived Land Surface Temperature Dynamics in the Context of Global Change—A Review. Remote Sens. 2023, 15, 1857. [Google Scholar] [CrossRef]
- Zhou, D.; Xiao, J.; Bonafoni, S.; Berger, C.; Deilami, K.; Zhou, Y.; Frolking, S.; Yao, R.; Qiao, Z.; Sobrino, J.A. Satellite Remote Sensing of Surface Urban Heat Islands: Progress, Challenges, and Perspectives. Remote Sens. 2019, 11, 48. [Google Scholar] [CrossRef]
- Yang, Q.; Huang, X.; Li, J. Assessing the Relationship between Surface Urban Heat Islands and Landscape Patterns across Climatic Zones in China. Sci. Rep. 2017, 7, 9337. [Google Scholar] [CrossRef]
- Mirzaei, P.A.; Haghighat, F. Approaches to Study Urban Heat Island—Abilities and Limitations. Build. Environ. 2010, 45, 2192–2201. [Google Scholar] [CrossRef]
- Guha, S.; Govil, H.; Diwan, P. Monitoring LST-NDVI Relationship Using Premonsoon Landsat Datasets. Adv. Meteorol. 2020, 2020, 4539684. [Google Scholar] [CrossRef]
- Kikon, N.; Kumar, D.; Ahmed, S.A. Quantitative Assessment of Land Surface Temperature and Vegetation Indices on a Kilometer Grid Scale. Environ. Sci. Pollut. Res. 2023, 30, 107236–107258. [Google Scholar] [CrossRef]
- Singh, S.; Kumar, P.; Parijat, R.; Gonengcil, B.; Rai, A. Establishing the Relationship between Land Use Land Cover, Normalized Difference Vegetation Index and Land Surface Temperature: A Case of Lower Son River Basin, India. Geogr. Sustain. 2024, 5, 265–275. [Google Scholar] [CrossRef]
- Naserikia, M.; Hart, M.A.; Nazarian, N.; Bechtel, B.; Lipson, M.; Nice, K.A. Land Surface and Air Temperature Dynamics: The Role of Urban Form and Seasonality. Sci. Total Environ. 2023, 905, 167306. [Google Scholar] [CrossRef]
- Bindajam, A.A.; Mallick, J.; AlQadhi, S.; Singh, C.K.; Hang, H.T. Impacts of Vegetation and Topography on Land Surface Temperature Variability over the Semi-Arid Mountain Cities of Saudi Arabia. Atmosphere 2020, 11, 762. [Google Scholar] [CrossRef]
- Gherraz, H.; Guechi, I.; Alkama, D. Quantifying the Effects of Spatial Patterns of Green Spaces on Urban Climate and Urban Heat Island in a Semi-Arid Climate. Bull. Soc. R. Sci. Liege 2020, 89, 164–185. [Google Scholar] [CrossRef]
- Pal, S.; Ziaul, S. Detection of Land Use and Land Cover Change and Land Surface Temperature in English Bazar Urban Centre. Egypt. J. Remote Sens. Space Sci. 2017, 20, 125–145. [Google Scholar] [CrossRef]
- Unger, J.; Gál, T.; Rakonczai, J.; Mucsi, L.; Szatmári, J.; Tobak, Z.; Van Leeuwen, B.; Fiala, K. Air temperature versus Surface temperature in urban environment. In Proceedings of the the Seventh International Conference on Urban Climate, Yokohama, Japan, 29 July 2009. [Google Scholar]
- Hui, F. Intra-Annual Characteristics of the SUHI Intensity from NOAA/AVHRR HRPT Data Using ENVI in Batch Mode. Remote Sens. Technol. Appl. 2011, 23, 414–418. [Google Scholar] [CrossRef]
- Chen, H.; Mamitimin, Y.; Abulizi, A.; Huang, M.; Tao, T.; Ma, Y. Seasonal and Diurnal Characteristics and Drivers of Urban Heat Island Based on Optimal Parameters-Based Geo-Detector Model in Xinjiang, China. Atmosphere 2024, 15, 1377. [Google Scholar] [CrossRef]
- Zhao, Y.; Wu, Q.; Wei, P.; Zhao, H.; Zhang, X.; Pang, C. Explore the Mitigation Mechanism of Urban Thermal Environment by Integrating Geographic Detector and Standard Deviation Ellipse (SDE). Remote Sens. 2022, 14, 3411. [Google Scholar] [CrossRef]
- Weng, Q.; Lu, D. A Sub-Pixel Analysis of Urbanization Effect on Land Surface Temperature and Its Interplay with Impervious Surface and Vegetation Coverage in Indianapolis, United States. Int. J. Appl. Earth Obs. Geoinf. 2008, 10, 68–83. [Google Scholar] [CrossRef]
- Abbass, K.; Qasim, M.Z.; Song, H.; Murshed, M.; Mahmood, H.; Younis, I. A Review of the Global Climate Change Impacts, Adaptation, and Sustainable Mitigation Measures. Environ. Sci. Pollut. Res. 2022, 29, 42539–42559. [Google Scholar] [CrossRef]
- Bolan, S.; Padhye, L.P.; Jasemizad, T.; Govarthanan, M.; Karmegam, N.; Wijesekara, H.; Amarasiri, D.; Hou, D.; Zhou, P.; Biswal, B.K.; et al. Impacts of Climate Change on the Fate of Contaminants through Extreme Weather Events. Sci. Total Environ. 2024, 909, 168388. [Google Scholar] [CrossRef]
- Neira, M.; Erguler, K.; Ahmady-Birgani, H.; AL-Hmoud, N.D.; Fears, R.; Gogos, C.; Hobbhahn, N.; Koliou, M.; Kostrikis, L.G.; Lelieveld, J.; et al. Climate Change and Human Health in the Eastern Mediterranean and Middle East: Literature Review, Research Priorities and Policy Suggestions. Environ. Res. 2023, 216, 114537. [Google Scholar] [CrossRef]
- United Nations The-Sustainable-Development-Goals-Report-2023. Available online: https://unstats.un.org/sdgs/report/2023/ (accessed on 22 April 2024).
- Guerri, G.; Crisci, A.; Morabito, M. Urban Microclimate Simulations Based on GIS Data to Mitigate Thermal Hot-Spots: Tree Design Scenarios in an Industrial Area of Florence. Build. Environ. 2023, 245, 110854. [Google Scholar] [CrossRef]
- O’Malley, C.; Piroozfarb, P.A.E.; Farr, E.R.P.; Gates, J. An Investigation into Minimizing Urban Heat Island (UHI) Effects: A UK Perspective. Energy Procedia 2014, 62, 72–80. [Google Scholar] [CrossRef]
- Yuan, C.; Ren, C.; Ng, E. GIS-Based Surface Roughness Evaluation in the Urban Planning System to Improve the Wind Environment—A Study in Wuhan, China. Urban Clim. 2014, 10, 585–593. [Google Scholar] [CrossRef]
- Wang, Y.; Akbari, H. Analysis of Urban Heat Island Phenomenon and Mitigation Solutions Evaluation for Montreal. Sustain. Cities Soc. 2016, 26, 438–446. [Google Scholar] [CrossRef]
- Zuo, J.; Ma, J.; Lin, T.; Dong, J.; Lin, M.; Luo, J. Quantitative Valuation of Green Roofs’ Cooling Effects under Different Urban Spatial Forms in High-Density Urban Areas. Build. Environ. 2022, 222, 109367. [Google Scholar] [CrossRef]
- Jim, C.Y.; Hui, L.C. Offering Green Roofs in a Compact City: Benefits and Landscape Preferences of Socio-Demographic Cohorts. Appl. Geogr. 2022, 145, 102733. [Google Scholar] [CrossRef]
- Lin, M.; Dong, J.; Jones, L.; Liu, J.; Lin, T.; Zuo, J.; Ye, H.; Zhang, G.; Zhou, T. Modeling Green Roofs’ Cooling Effect in High-Density Urban Areas Based on Law of Diminishing Marginal Utility of the Cooling Efficiency: A Case Study of Xiamen Island, China. J. Clean. Prod. 2021, 316, 128277. [Google Scholar] [CrossRef]
- Chen, X.; Li, Z.; Wang, Z.; Li, J.; Zhou, Y. The Impact of Different Types of Trees on Annual Thermal Comfort in Hot Summer and Cold Winter Areas. Forests 2024, 15, 1880. [Google Scholar] [CrossRef]
- Luo, J.; Fu, H. Constructing an Urban Cooling Network Based on PLUS Model: Implications for Future Urban Planning. Ecol. Indic. 2023, 154, 110887. [Google Scholar] [CrossRef]
- Li, Y.; Wang, S.; Zhang, S.; Wei, M.; Chen, Y.; Huang, X.; Zhou, R. The Creation of Multi-Level Urban Ecological Cooling Network to Alleviate the Urban Heat Island Effect. Sustain. Cities Soc. 2024, 114, 105786. [Google Scholar] [CrossRef]
- Danniswari, D.; Honjo, T.; Furuya, K. Analysis of Building Height Impact on Land Surface Temperature by Digital Building Height Model Obtained from AW3D30 and SRTM. Geographies 2022, 2, 563–576. [Google Scholar] [CrossRef]
- Chen, C.; Bagan, H.; Yoshida, T.; Borjigin, H.; Gao, J. Quantitative Analysis of the Building-Level Relationship between Building Form and Land Surface Temperature Using Airborne LiDAR and Thermal Infrared Data. Urban Clim. 2022, 45, 101248. [Google Scholar] [CrossRef]
Disclaimer/Publisher’s Note: The statements, opinions and data contained in all publications are solely those of the individual author(s) and contributor(s) and not of MDPI and/or the editor(s). MDPI and/or the editor(s) disclaim responsibility for any injury to people or property resulting from any ideas, methods, instructions or products referred to in the content. |
© 2025 by the authors. Licensee MDPI, Basel, Switzerland. This article is an open access article distributed under the terms and conditions of the Creative Commons Attribution (CC BY) license (https://creativecommons.org/licenses/by/4.0/).



















