PyGEE-ST-MEDALUS: AI Spatiotemporal Framework Integrating MODIS and Sentinel-1/-2 Data for Desertification Risk Assessment in Northeastern Algeria
Abstract
1. Introduction
2. Materials and Methods
2.1. Study Area
2.2. Data and Preprocessing
2.3. Methodology
2.3.1. Integrated Workflow Architecture for Desertification Prediction
2.3.2. MEDALUS Model
- Soil Quality Index (SQI)
- Climate Quality Index (CQI)
- Vegetation Quality Index (VQI)
- Land Management Quality Index (LQI)
- Desertification Sensitive Index (DSI)
2.3.3. Machine and Deep Learning Models
2.3.4. Training
2.3.5. Validation
3. Results
3.1. MEDALUS Model Implementation and 2020-DSI Assessment
3.2. MODIS and Sentinel Datasets-Derived Correlation Matrices
3.3. Training and Validation Outcome
3.3.1. Training and Validations Behavior Along the Deep Learning Methods
3.3.2. Feature Importance Analysis for DSI Prediction Using MODIS and Sentinel Data
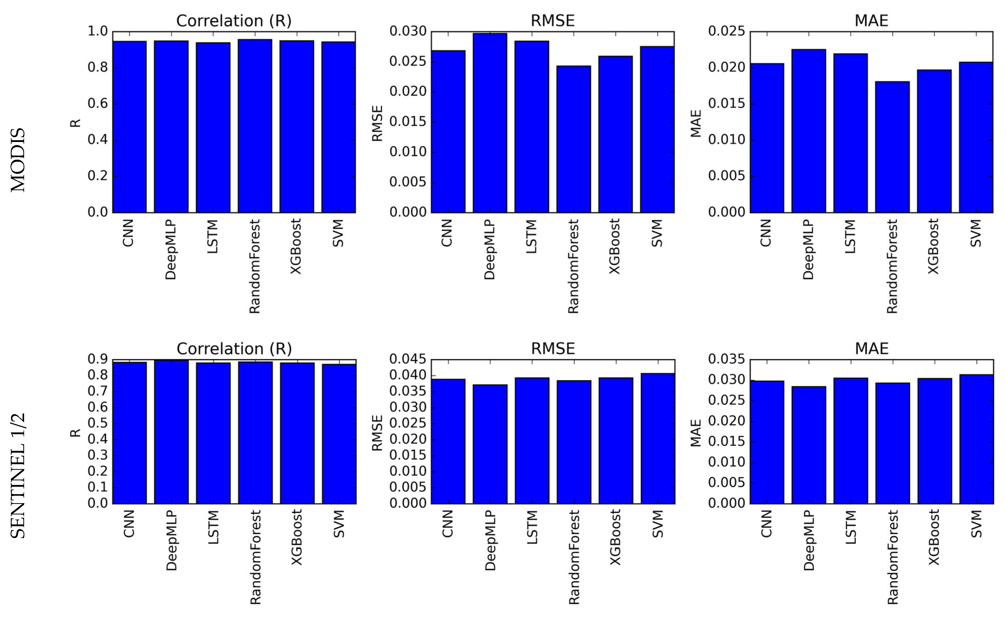
3.3.3. MODIS Dataset Versus Sentinel Dataset-Based Results
3.4. DSI Annual Spatial Variations from 2001 to 2028
3.5. Extrapolation with SARIMA
3.6. DSI Annual Trends and Spatial Distribution from 2001 to 2028
3.7. MODIS Versus Sentinel Dataset-Based Predictive Performance
4. Discussion
5. Conclusions
Author Contributions
Funding
Data Availability Statement
Acknowledgments
Conflicts of Interest
Abbreviations
| CMIP6 | Coupled Model Intercomparison Project Phase 6 |
| CNN | Convolutional Neural Network |
| CQI | Climate Quality Index |
| DeepMLP | Deep Multi-Layer Perceptron |
| DEM | Digital Elevation Model |
| DSI | Desertification Sensitivity Index |
| ET | Evapotranspiration |
| EVI | Enhanced Vegetation Index |
| GBM | Gradient Boosting Machine |
| GEE | Google Earth Engine |
| GLM | Generalized Linear Model |
| LC | Land Cover |
| LQI | Land Management Quality Index |
| LST | Land Surface Temperature |
| LSTM | Long Short-Term Memory |
| LULC | Land-Use and Land-Cover |
| MAE | Mean Absolute Error |
| MEDALUS | Mediterranean Desertification and Land Use |
| MLP | Multilayer Perceptron |
| MODIS | Moderate Resolution Imaging Spectroradiometer |
| MSAVI | Modified Soil-Adjusted Vegetation Index |
| MSE | Mean Squared Error |
| NDDI | Normalized Difference Drought Index |
| NDVI | Normalized Difference Vegetation Index |
| PCn | n Principal Component |
| PCA | Principal Component Analysis |
| PyGEE | Python Google Earth Engine |
| R | Correlation Coefficients |
| R2 | Coefficient of Determination |
| RF | Random Forest |
| rGEE | R for Google Earth Engine |
| RMSE | Root Mean Square Error |
| SARIMA | Seasonal Auto-Regressive Integrated Moving Average |
| SAVI | Soil Adjusted Vegetation Index |
| SHAP | SHapley Additive exPlanations |
| SOILM | Soil Moisture |
| SQI | Soil Quality Index |
| SVM | Support Vector Machine |
| TS | Temporal–Spatial |
| VQI | Vegetation Quality Index |
| XGBoost | eXtreme Gradient Boosting |
Appendix A
| Model | Input Shape | Architecture Details | Parameters/Layers |
|---|---|---|---|
| CNN | (30,) | • Input reshaped to (3,10,1) • Conv2D: 32 filters, (2,2) kernel • Flatten • Dense(64) + ReLU • Dropout(20%) • Dense(1) linear | Filters: 32 Kernel: (2,2) Dense Units: 64 Dropout: 0.2 |
| DeepMLP | (30,) | • Dense(512) + ReLU • Dropout(30%) • Dense(256) + ReLU • Dropout(30%) • Dense(128) + ReLU • Dropout(20%) • Dense(64) + ReLU • Dense(1) linear | Dense Units: 512→256→128→64 Dropout Rates: 0.3→0.3→0.2 |
| LSTM | (3,10) | • LSTM(64) • Dropout(20%) • Dense(32) + ReLU • Dense(1) linear | LSTM Units: 64 Dense Units: 32 Dropout: 0.2 Return Sequences: False |
| RandomForest | (30,) | • 100 decision trees • Max tree depth: 15 | n_estimators: 100 max_depth: 15 random_state: 42 |
| XGBoost | (30,) | • Gradient boosted trees • 100 sequential trees • Max depth: 6 | n_estimators: 100 max_depth: 6 learning_rate: 0.1 |
| SVM | (30,) | • RBF kernel transformation • ε-insensitive loss | Kernel: rbf C: 1.0 epsilon: 0.1 |
References
- Berdyyev, A.; Al-Masnay, Y.A.; Juliev, M.; Abuduwaili, J. Desertification Monitoring Using Machine Learning Techniques with Multiple Indicators Derived from Sentinel-2 in Turkmenistan. Remote Sens. 2024, 16, 4525. [Google Scholar] [CrossRef]
- Jiang, Z.; Ni, X.; Xing, M. A Study on Spatial and Temporal Dynamic Changes of Desertification in Northern China from 2000 to 2020. Remote Sens. 2023, 15, 1368. [Google Scholar] [CrossRef]
- Habibie, M.I. The Application of Machine Learning using Google Earth Engine for Remote Sensing Analysis. J. Teknoinfo 2022, 16, 233. [Google Scholar] [CrossRef]
- Amani, M.; Ghorbanian, A.; Ahmadi, S.A.; Kakooei, M.; Moghimi, A.; Mirmazloumi, S.M.; Moghaddam, S.H.A.; Mahdavi, S.; Ghahremanloo, M.; Parsian, S.; et al. Google Earth Engine Cloud Computing Platform for Remote Sensing Big Data Applications: A Comprehensive Review. IEEE J. Sel. Top. Appl. Earth Obs. Remote Sens. 2020, 13, 5326–5350. [Google Scholar] [CrossRef]
- Antezana Lopez, F.P.; Zhou, G.; Jing, G.; Zhang, K.; Chen, L.; Chen, L.; Tan, Y. Global Daily Column Average CO2 at 0.1° × 0.1° Spatial Resolution Integrating OCO-3, GOSAT, CAMS with EOF and Deep Learning. Sci. Data 2025, 12, 268. [Google Scholar] [CrossRef]
- Ali, A.; Zhou, G.; Pablo Antezana Lopez, F.; Xu, C.; Jing, G.; Tan, Y. Deep learning for water quality multivariate assessment in inland water across China. Int. J. Appl. Earth Obs. Geoinf. 2024, 133, 104078. [Google Scholar] [CrossRef]
- Antezana Lopez, F.P.; Zhou, G.; Paye Vargas, L.; Jing, G.; Oscori Marca, M.E.; Villalobos Quispe, M.; Ticona, E.A.; Tonconi, N.M.M.; Apaza, E.O. Lithium quantification based on random forest with multi-source geoinformation in Coipasa salt flats, Bolivia. Int. J. Appl. Earth Obs. Geoinf. 2023, 117, 103184. [Google Scholar] [CrossRef]
- Shaik, A.S.; Shaik, N.; Priya, D.C.K. Predictive Modeling in Remote Sensing Using Machine Learning Algorithms. Int. J. Curr. Sci. Res. Rev. 2024, 7, 4116–4123. [Google Scholar] [CrossRef]
- Sellami, E.M.; Rhinane, H. Google Earth Engine and Machine Learning for Flash Flood Exposure Mapping—Case Study: Tetouan, Morocco. Geosciences 2024, 14, 152. [Google Scholar] [CrossRef]
- Boali, A.; Asgari, H.R.; Mohammadian Behbahani, A.; Salmanmahiny, A.; Naimi, B. Remotely sensed desertification modeling using ensemble of machine learning algorithms. Remote Sens. Appl. 2024, 34, 101149. [Google Scholar] [CrossRef]
- Yin, W.; Hu, Q.; Liu, J.; He, P.; Zhu, D.; Boali, A. Assessing Climate and Land-Use Change Scenarios on Future Desertification in Northeast Iran: A Data Mining and Google Earth Engine-Based Approach. Land 2024, 13, 1802. [Google Scholar] [CrossRef]
- Karimli, N.; Selbesoğlu, M.O. Remote Sensing-Based Yield Estimation of Winter Wheat Using Vegetation and Soil Indices in Jalilabad, Azerbaijan. ISPRS Int. J. Geoinf. 2023, 12, 124. [Google Scholar] [CrossRef]
- Gabriele, M.; Brumana, R. Monitoring Land Degradation Dynamics to Support Landscape Restoration Actions in Remote Areas of the Mediterranean Basin (Murcia Region, Spain). Sensors 2023, 23, 2947. [Google Scholar] [CrossRef]
- Meng, X.; Li, S.; Akhmadi, K.; He, P.; Dong, G. Trends, turning points, and driving forces of desertification in global arid land based on the segmental trend method and SHAP model. GIScience Remote Sens. 2024, 61, 2367806. [Google Scholar] [CrossRef]
- Piao, Y.; Jeong, S.; Park, S.; Lee, D. Analysis of Land Use and Land Cover Change Using Time-Series Data and Random Forest in North Korea. Remote Sens. 2021, 13, 3501. [Google Scholar] [CrossRef]
- Liu, Z.; Han, Y.; Zhu, R.; Qu, C.; Zhang, P.; Xu, Y.; Zhang, J.; Zhuang, L.; Wang, F.; Huang, F. Spatio-Temporal Land-Use/Cover Change Dynamics Using Spatiotemporal Data Fusion Model and Google Earth Engine in Jilin Province, China. Land 2024, 13, 924. [Google Scholar] [CrossRef]
- Vo Quang, A.; Delbart, N.; Jaffrain, G.; Pinet, C.; Moiret, A. Detection of degraded forests in Guinea, West Africa, based on Sentinel-2 time series by inclusion of moisture-related spectral indices and neighbourhood effect. Remote Sens. Environ. 2022, 281, 113230. [Google Scholar] [CrossRef]
- Lanfredi, M.; Coppola, R.; Simoniello, T.; Coluzzi, R.; D’Emilio, M.; Imbrenda, V.; Macchiato, M. Early Identification of Land Degradation Hotspots in Complex Bio-Geographic Regions. Remote Sens. 2015, 7, 8154–8179. [Google Scholar] [CrossRef]
- Wang, S.; Lv, K.; Ma, J.; Jiang, Q.; Ren, Y.; Gao, F.; Moazzam, N.S. A multi-source data fusion method to retrieve soil moisture dynamics and its influencing factors analysis in the ecological zone of the eastern margin of the Tibetan Plateau. Ecol. Indic. 2024, 169, 112877. [Google Scholar] [CrossRef]
- D’Acunto, F.; Marinello, F.; Pezzuolo, A. Rural Land Degradation Assessment through Remote Sensing: Current Technologies, Models, and Applications. Remote Sens. 2024, 16, 3059. [Google Scholar] [CrossRef]
- Anees, S.A.; Mehmood, K.; Rehman, A.; Rehman, N.U.; Muhammad, S.; Shahzad, F.; Hussain, K.; Luo, M.; Alarfaj, A.A.; Alharbi, S.A.; et al. Unveiling fractional vegetation cover dynamics: A spatiotemporal analysis using MODIS NDVI and machine learning. Environ. Sustain. Indic. 2024, 24, 100485. [Google Scholar] [CrossRef]
- Lei, X.; Liu, H.; Li, S.; Luo, Q.; Cheng, S.; Hu, G.; Wang, X.; Bai, W. Coupling coordination analysis of urbanization and ecological environment in Chengdu-Chongqing urban agglomeration. Ecol. Indic. 2024, 161, 111969. [Google Scholar] [CrossRef]
- Saharwardi, M.S.; Dasari, H.P.; Hassan, W.U.; Gandham, H.; Pathak, R.; Zampieri, M.; Ashok, K.; Hoteit, I. Projected increase in droughts over the Arabian Peninsula and associated uncertainties. Sci. Rep. 2025, 15, 1711. [Google Scholar] [CrossRef]
- Hossain, I.; Rana, M.d.S.; Haque, A.K.M.M.; Al Masud, A. Urban household adaptation to extreme heatwaves: Health impacts, socio-economic disparities and sustainable strategies in Rajshahi. Discov. Sustain. 2024, 5, 518. [Google Scholar] [CrossRef]
- Xin, X.; Liu, B.; Di, K.; Zhu, Z.; Zhao, Z.; Liu, J.; Yue, Z.; Zhang, G. Monitoring urban expansion using time series of night-time light data: A case study in Wuhan, China. Int. J. Remote Sens. 2017, 38, 6110–6128. [Google Scholar] [CrossRef]
- Cherif, I.; Kolintziki, E.; Alexandridis, T.K. Monitoring of Land Degradation in Greece and Tunisia Using Trends. Earth with a Focus on Cereal Croplands. Remote Sens. 2023, 15, 1766. [Google Scholar] [CrossRef]
- Weitkamp, T.; Jan Veldwisch, G.; Karimi, P.; de Fraiture, C. Mapping irrigated agriculture in fragmented landscapes of sub-Saharan Africa: An examination of algorithm and composite length effectiveness. Int. J. Appl. Earth Obs. Geoinf. 2023, 122, 103418. [Google Scholar] [CrossRef]
- Decha, R.; Adad, M.C. The City and its Spatial Transformations: A Diachronic and Quantitative Analysis of the Urban Sprawl Process. Case Study of Tebessa(Algeria). Int. J. Innov. Technol. Social Sci. 2024, 4, 1–15. [Google Scholar] [CrossRef]
- Macheroum, A.; Chenchouni, H. Short-term land degradation driven by livestock grazing does not affect soil properties in semiarid steppe rangelands. Front. Environ. Sci. 2022, 10, 846045. [Google Scholar] [CrossRef]
- Mihi, A.; Ghazela, R.; Wissal, D. Mapping potential desertification-prone areas in North-Eastern Algeria using logistic regression model, GIS, and remote sensing techniques. Environ. Earth Sci. 2022, 81, 385. [Google Scholar] [CrossRef]
- Feng, K.; Wang, T.; Liu, S.; Kang, W.; Chen, X.; Guo, Z.; Zhi, Y. Monitoring Desertification Using Machine-Learning Techniques with Multiple Indicators Derived from MODIS Images in Mu Us Sandy Land, China. Remote Sens. 2022, 14, 2663. [Google Scholar] [CrossRef]
- Zerrouki, N.; Dairi, A.; Harrou, F.; Zerrouki, Y.; Sun, Y. Efficient land desertification detection using a deep learning-driven generative adversarial network approach: A case study. Concurr. Comput. 2022, 34, e6604. [Google Scholar] [CrossRef]
- Kairis, O.; Karamanos, A.; Voloudakis, D.; Kapsomenakis, J.; Aratzioglou, C.; Zerefos, C.; Kosmas, C. Identifying Degraded and Sensitive to Desertification Agricultural Soils in Thessaly, Greece, under Simulated Future Climate Scenarios. Land 2022, 11, 395. [Google Scholar] [CrossRef]
- Borrelli, P.; Robinson, D.A.; Fleischer, L.R.; Lugato, E.; Ballabio, C.; Alewell, C.; Meusburger, K.; Modugno, S.; Schütt, B.; Ferro, V.; et al. An assessment of the global impact of 21st century land use change on soil erosion. Nat. Commun. 2017, 8, 2013. [Google Scholar] [CrossRef] [PubMed]
- Fentaw, A.E.; Yimer, A.A.; Zeleke, G.A. Monitoring spatio-temporal drought dynamics using multiple indices in the dry land of the upper Tekeze Basin, Ethiopia. Environ. Chall. 2023, 13, 100781. [Google Scholar] [CrossRef]
- Mpanyaro, Z.; Kalumba, A.M.; Zhou, L.; Afuye, G.A. Mapping and Assessing Riparian Vegetation Response to Drought along the Buffalo River Catchment in the Eastern Cape Province, South Africa. Climate 2024, 12, 7. [Google Scholar] [CrossRef]
- Zeng, Y.; Jia, L.; Menenti, M.; Jiang, M.; Barnieh, B.A.; Bennour, A.; Lv, Y. Changes in vegetation greenness related to climatic and non-climatic factors in the Sudano-Sahelian region. Reg. Environ. Chang. 2023, 23, 92. [Google Scholar] [CrossRef]
- Benhizia, R.; Phinzi, K.; Hateffard, F.; Aib, H.; Szabó, G. Drought Monitoring Using Moderate Resolution Imaging Spectroradiometer-Derived NDVI Anomalies in Northern Algeria from 2011 to 2022. Environments 2024, 11, 95. [Google Scholar] [CrossRef]
- Mahcer, I.; Baahmed, D.; Oudin, L.; Chemirik, C.H.K. Multidimensional analysis of NDVI dynamics in response to climate and land use/land cover change in Northwest Algeria. J. Hydrol. Hydromech. 2024, 72, 399–412. [Google Scholar] [CrossRef]
- Gad, A. Qualitative and Quantitative Assessment of Land Degradation and Desertification in Egypt Based on Satellite Remote Sensing: Urbanization, Salinization and Wind Erosion. In Environmental Remote Sensing in Egypt; Springer: Berlin/Heidelberg, Germany, 2020; pp. 443–497. [Google Scholar] [CrossRef]
- Chen, Y.; Ma, L.; Wang, X.; Liu, T.; Qiao, Z. Spatiotemporal patterns of desertification sensitivity and influencing factors across the Western Inner Mongolia Plateau, China. Ecol. Inform. 2025, 89, 103190. [Google Scholar] [CrossRef]
- Nguyen, B.T.; Dinh, G.D.; Le, L.B. Spatial and temporal-trend assessment of desertification-sensitive land using the desertification sensitivity index in the provincial Ninh Thuan, Vietnam. Environ. Monit. Assess. 2024, 196, 536. [Google Scholar] [CrossRef] [PubMed]
- Pradhan, B.; Dikshit, A.; Lee, S.; Kim, H. An explainable AI (XAI) model for landslide susceptibility modeling. Appl. Soft Comput. 2023, 142, 110324. [Google Scholar] [CrossRef]
- Xiao, Y.; Huang, M.; Xie, G.; Zhen, L. Evaluating the impacts of land use change on ecosystem service values under multiple scenarios in the Hunshandake region of China. Sci. Total Environ. 2022, 850, 158067. [Google Scholar] [CrossRef]
- Zhang, Y.; Liu, J.; Shen, W. A Review of Ensemble Learning Algorithms Used in Remote Sensing Applications. Appl. Sci. 2022, 12, 8654. [Google Scholar] [CrossRef]
- Han, X.; Jia, G.; Yang, G.; Wang, N.; Liu, F.; Chen, H.; Guo, X.; Yang, W.; Liu, J. Spatiotemporal dynamic evolution and driving factors of desertification in the Mu Us Sandy Land in 30 years. Sci. Rep. 2020, 10, 21734. [Google Scholar] [CrossRef]
- Bakr, N.; Weindorf, D.C.; Bahnassy, M.H.; El-Badawi, M.M. Multi-temporal assessment of land sensitivity to desertification in a fragile agro-ecosystem: Environmental indicators. Ecol. Indic. 2012, 15, 271–280. [Google Scholar] [CrossRef]
- Elnashar, A.; Zeng, H.; Wu, B.; Gebremicael, T.G.; Marie, K. Assessment of environmentally sensitive areas to desertification in the Blue Nile Basin driven by the MEDALUS-GEE framework. Sci. Total Environ. 2022, 815, 152925. [Google Scholar] [CrossRef]
- Kumari, S.; Muthulakshmi, P. SARIMA Model: An Efficient Machine Learning Technique for Weather Forecasting. Procedia Comput. Sci. 2024, 235, 656–670. [Google Scholar] [CrossRef]
- Martínez-Acosta, L.; Medrano-Barboza, J.P.; López-Ramos, Á.; Remolina López, J.F.; López-Lambraño, Á.A. SARIMA Approach to Generating Synthetic Monthly Rainfall in the Sinú River Watershed in Colombia. Atmosphere 2020, 11, 602. [Google Scholar] [CrossRef]
- Liu, J.; Ren, Y.; He, P.; Xiao, J. Quantifying Uncertainty in Projections of Desertification in Central Asia Using Bayesian Networks. Remote Sens. 2025, 17, 665. [Google Scholar] [CrossRef]
- de Jesus Macêdo, T.H.; Tagliaferre, C.; da Silva, B.L.; de Paula, A.; Lemos, O.L.; Adenilson Rocha, F.; Pinheiro, R.G.d.S.; Lima, A.C.S. Assessment of Land Desertification in the Brazilian East Atlantic Region Using the Medalus Model and Google Earth Engine. Land 2023, 13, 31. [Google Scholar] [CrossRef]
- Ogbue, C.; Igboeli, E.; Ajaero, C.; Ochege, F.U.; Yahaya, I.I.; Yeneayehu, F.; You, Y.; Wang, Y. Remote sensing analysis of desert sensitive areas using MEDALUS model and GIS in the Niger River Basin. Ecol. Indic. 2024, 158, 111404. [Google Scholar] [CrossRef]
- Nour-Eldin, H.; Shalaby, A.; Mohamed, R.M.; Youssef, E.; Rostom, N.G.; Khedr, H.S. Assessment of the desertification sensitivity of Northwestern El Minya Governorate, Egypt using MEDALUS model. Egypt. J. Remote Sens. Space Sci. 2023, 26, 758–767. [Google Scholar] [CrossRef]
- Hamad, K.O.; Surucu, A. Land degradation sensitivity and desertification risk in Harrir region, northern Iraq. Heliyon 2024, 10, e27123. [Google Scholar] [CrossRef]
- Guo, B.; Zhang, R.; Lu, M.; Xu, M.; Liu, P.; Wang, L. A New Large-Scale Monitoring Index of Desertification Based on Kernel Normalized Difference Vegetation Index and Feature Space Model. Remote Sens. 2024, 16, 1771. [Google Scholar] [CrossRef]
- Nathawat, R.; Singh, S.K.; Sajan, B.; Pareek, M.; Kanga, S.; Đurin, B.; Kantamaneni, K.; Rathnayake, U. Integrating Cloud-Based Geospatial Analysis for Understanding Spatio-Temporal Drought Dynamics and Microclimate Variability in Rajasthan: Implications for Urban Development Planning. J. Indian Soc. Remote Sens. 2025, 53, 1685–1704. [Google Scholar] [CrossRef]

















| Sources (GEE ID) | Spatial Resolution | Variables (Script-Level) |
|---|---|---|
| − TerraClimate—IDAHO_EPSCOR/TERRACLIMATE | 0.05° | Annual Pr, PET, Tmax, Tmin, VPD; median PDSI (named SPI); Modified Fournier Index (MFI) |
| − CHIRPS Daily Precipitation—UCSB-CHG/CHIRPS/DAILY | 0.05° | Annual precipitation sum (CHIRPS) |
| − SRTM GL1 DEM—USGS/SRTMGL1_003 | 30 m | Elevation (DEM), derived Slope ° (Slope), Aspect, TRI |
| − Sentinel-2 SR (harmonized)—COPERNICUS/S2_SR_HARMONIZED | 10 m | Bands B8 and B4 → NDVI, SAVI (annual means) |
| − MODIS LAI/FPAR—MODIS/061/MCD15A3H | 500 m | LAI, FAPAR (annual means) |
| − MODIS Vegetation Indices—MODIS/006/MOD13Q1 | 250 m | EVI (annual mean) |
| − MODIS LST—MODIS/006/MOD11A2 | 1 km | LST_Day, LST_Night (annual means, °C) |
| − Soil Organic C—OpenLandMap/SOL/SOL_ORGANIC-CARBON_USDA-6A1C_M/v02 | 250 m | SOC (0–30 cm depth) |
| − Soil Texture Class—OpenLandMap/SOL/SOL_TEXTURE-CLASS_USDA-TT_M/v02 | 250 m | USDA texture class |
| − Bedrock Depth—ISDASOIL/Africa/v1/bedrock_depth | 250 m | Depth-to-bedrock (0–200 cm depth) |
| − ESA WorldCover 2020—ESA/WorldCover/v100/2020 | 10 m | Land-cover class |
| − GPW v4 Population Density—CIESIN/GPWv411/GPW_Population_Density | 1 km | Population density |
| − VIIRS Night-time Lights—NOAA/VIIRS/DNB/MONTHLY_V1/VCMCFG | 463 m | Mean radiance (avg_rad) |
| SOURCE COLLECTION (MODIS dataset prediction) | ||
| − MODIS BRDF-corrected Reflectance—MODIS/061/MCD43A4 | 500 m | B1–B7 Nadir Reflectance |
| − MODIS Veg-Indices—MODIS/006/MOD13Q1 | 250 m | NDVI, EVI |
| − MODIS LST—MODIS/006/MOD11A2 | 1 km | LST_Day, LST_Night |
| − MODIS Daily NDWI—MODIS/MOD09GA_006_NDWI | 500 m | NDWI |
| − CHIRPS Precipitation—UCSB-CHG/CHIRPS/DAILY | 0.05° | Annual precip sum |
| − GLDAS NOAH v2.1—NASA/GLDAS/V021/NOAH/G025/T3H | 0.25° | SoilMoi0_10cm_inst |
| − MODIS ET (gap-filled)—MODIS/061/MOD16A2GF | 500 m | ET (8-day, kg m−2 8d−1) |
| − MODIS Land-Cover Type—MODIS/061/MCD12Q1 | 500 m | LC_Type1 |
| SOURCE COLLECTION (Sentinel 1/2 dataset prediction) | ||
| − Sentinel-1 GRD IW—COPERNICUS/S1_GRD | 10 m | VV, VH backscatter (median) |
| − Sentinel-2 SR (harmonized)—COPERNICUS/S2_SR_HARMONIZED | 10 m | B2 (Blue), B4 (Red), B8 (NIR), B11 (SWIR); indices: NDVI, NDWI, SAVI, MSI, NDDI |
| − CHIRPS Daily Precipitation—UCSB-CHG/CHIRPS/DAILY | 0.05° | Annual precip sum, 5-pixel focal-mean |
| − MODIS LST—MODIS/006/MOD11A2 | 1 km | LST_Day (annual mean, °C) |
| DSI Range | Classification | Risk | Description |
|---|---|---|---|
| 0.0–0.2 | Very Low | Very low | Highly resilient to desertification, with stable climate, vegetation, and soil quality. |
| 0.21–0.4 | Low | Low | Somewhat resilient but may face local environmental challenges that could lead to minor desertification. |
| 0.41–0.6 | Moderate | Moderate | Moderately sensitive to desertification, with certain indicators pointing towards potential risks. |
| 0.61–0.8 | High | High | At significant risk of desertification due to adverse climatic, soil, or vegetation conditions. |
| 0.81–1.0 | Very High | Very high | Highly susceptible to desertification, with extreme conditions of soil degradation, low vegetation, and poor climate resilience. |
| Ref. | Main Data/Method | Advantages | Limitations |
|---|---|---|---|
| [48] | Landsat-8 + climate layers in GEE; classic MEDALUS indices | Cloud platform ⇒ rapid, basin-scale mapping. Field checkpoints for accuracy. | One-year snapshot only. No ML or time-series forecasting. |
| [10] | MEDALUS layers fed to RF, GBM, SVM, GLM ensemble | ML ensemble boosts predictive skill. Scenario testing for 2030/2050. | High computational cost. Hyper-parameter tuning limits transferability. |
| [52] | Sentinel-2 and TerraClimate in GEE; MEDALUS | First MEDALUS-GEE study in humid-tropical Brazil. Fully reproducible code. | Single-year (2019) analysis. Limited ground validation. |
| [53] | MODIS and Sentinel; MEDALUS; GIS | Trans-boundary basin coverage. Hot-spot zoning for policy WISE. | No temporal dynamics. Management quality index omitted. |
| [54] | Sentinel-2, SRTM; MEDALUS | High-resolution (10 m) layers. Soil samples for SQI calibration. | Small study area. Desktop GIS workflow—no cloud scalability. |
| [55] | Field-collected 102 soil samples + RS; ESAI/MEDALUS | Dense ground truth. Fine-scale (1:25,000) risk zoning. | <200 km2 extent. Static, single-date assessment. |
| [42] | 2000–2022 MODIS series; MEDALUS; PCA driver analysis | Multi-year trend analysis. Quantifies driver weights. | Relies on coarse (500 m) MODIS. Limited field checks. |
| [1] | Sentinel-2 indices + RF; multi-indicator (non-MEDALUS) | 10 m, near-real-time mapping. Demonstrates pure ML alternative. | Lacks MEDALUS comparability. No management-quality layer. |
| This study | MODIS, Sentinel-1/-2, Weather in atmosphere and land parameters; MEDALUS in GEE and Python for temporal prediction. | Almost three-decade-long analysis (2001–2028). Spatio-temporal prediction. Machine and deep learning models enhance predictive accuracy. MEDALUS flexible implementation and robust Geo-AI integration. | Not all socio-economic or land management factors were considered. DL models require tuning and interpretability efforts. |
Disclaimer/Publisher’s Note: The statements, opinions and data contained in all publications are solely those of the individual author(s) and contributor(s) and not of MDPI and/or the editor(s). MDPI and/or the editor(s) disclaim responsibility for any injury to people or property resulting from any ideas, methods, instructions or products referred to in the content. |
© 2025 by the authors. Licensee MDPI, Basel, Switzerland. This article is an open access article distributed under the terms and conditions of the Creative Commons Attribution (CC BY) license (https://creativecommons.org/licenses/by/4.0/).
Share and Cite
Khaldi, Z.; Weng, J.; Antezana Lopez, F.P.; Zhou, G.; Ghedjatti, I.; Ali, A. PyGEE-ST-MEDALUS: AI Spatiotemporal Framework Integrating MODIS and Sentinel-1/-2 Data for Desertification Risk Assessment in Northeastern Algeria. Remote Sens. 2025, 17, 3350. https://doi.org/10.3390/rs17193350
Khaldi Z, Weng J, Antezana Lopez FP, Zhou G, Ghedjatti I, Ali A. PyGEE-ST-MEDALUS: AI Spatiotemporal Framework Integrating MODIS and Sentinel-1/-2 Data for Desertification Risk Assessment in Northeastern Algeria. Remote Sensing. 2025; 17(19):3350. https://doi.org/10.3390/rs17193350
Chicago/Turabian StyleKhaldi, Zakaria, Jingnong Weng, Franz Pablo Antezana Lopez, Guanhua Zhou, Ilyes Ghedjatti, and Aamir Ali. 2025. "PyGEE-ST-MEDALUS: AI Spatiotemporal Framework Integrating MODIS and Sentinel-1/-2 Data for Desertification Risk Assessment in Northeastern Algeria" Remote Sensing 17, no. 19: 3350. https://doi.org/10.3390/rs17193350
APA StyleKhaldi, Z., Weng, J., Antezana Lopez, F. P., Zhou, G., Ghedjatti, I., & Ali, A. (2025). PyGEE-ST-MEDALUS: AI Spatiotemporal Framework Integrating MODIS and Sentinel-1/-2 Data for Desertification Risk Assessment in Northeastern Algeria. Remote Sensing, 17(19), 3350. https://doi.org/10.3390/rs17193350

