Trend Analysis of High-Resolution Soil Moisture Data Based on GAN in the Three-River-Source Region During the 21st Century
Abstract
1. Introduction
2. Materials and Methods
2.1. Study Area
2.2. Data
2.2.1. ERA5-Land Data
2.2.2. AMSMQTP Data
2.2.3. CMIP6 Data
2.2.4. In Situ Data
2.3. Method
2.3.1. UNet-Gan
- GeneratorThe U-Net architecture is a convolutional neural network (CNN) designed for image segmentation tasks, particularly in biomedical imaging [47]. It has a symmetric architecture comprising two main parts: a contracting path (encoder) and an expansive path (decoder). The contracting path captures context by downsampling the input image through successive convolutional and pooling layers, effectively extracting high-level features. The expansive path then upsamples these features, reconstructing the spatial resolution while combining them with corresponding high-resolution features from the contracting path via skip connections. These skip connections help preserve spatial information that might otherwise be lost during the downsampling process, allowing for precise localization of features.In this study, we employ a U-Net architecture as the generator within a GAN framework; the model structure is shown in Figure 3. The U-Net’s ability to accurately capture and reconstruct spatial features makes it particularly suitable for generating high-resolution SM data from lower-resolution inputs. By leveraging the U-Net structure, the model can effectively learn the mapping between coarse CMIP6 inputs and the corresponding high-resolution AMSMQTP or ERA5-Land outputs, ensuring that fine-scale details are preserved in the generated SM predictions. The optimization objective for the generator is expressed by the following equation:The loss function is a weighted average of several losses, including content loss, total variation Loss [48], adversarial loss [49], and a novel auxiliary loss method specifically designed for the Earth sciences, referred to as in situ loss. The calculation methods for each type of loss will be described in detail in the following sections.
- DiscriminatorThe model structure of the discriminator is shown in Figure 4. It first processes the input through a convolutional layer and a leaky ReLU activation, followed by seven convolutional blocks. The output is then mapped to a one-dimensional value through a dense layer and a sigmoid layer, representing the probability that an image is real or fake, with values ranging from 0 to 1. The optimization objective for the discriminator is as follows:The above formula calculates the relative loss between and the , where the expectation operation is computed over each minibatch [49].
2.3.2. Generator’s Loss Function
- Content lossMean squared error (MSE) loss measures the average of the squared differences between predicted and target values, providing a direct assessment of prediction accuracy. It is commonly used in regression tasks within generator models, as it penalizes larger errors more heavily, encouraging the model to produce outputs closer to the true values. In the following formula, H represents the number of latitude pixels, W represents the number of longitude pixels, and C represents the number of soil layers.VGG Loss, based on the VGG network, captures perceptual differences by comparing high-level features between generated and target images, helping to produce visually more realistic results [48]. It is particularly effective in preserving texture and fine details, as it measures the similarity in feature space rather than directly comparing pixel values [48]. In this study, the pre-trained VGG16 model is used, where i and j represent the starting and ending layers of the pre-trained model, respectively. denotes a portion of the pre-trained model, and , , and represent the height, width, and number of channels of the feature map produced by . In this paper, i and j are set to 0 and 30 (both inclusive), respectively. The formula is as follows:The content loss is obtained by a weighted combination of the two loss functions mentioned above, as expressed in the following formula:
- Adversarial lossThe formula for the adversarial loss is similar to that of the discriminator loss, but the optimization objective is completely opposite. We aim for to be closer to real data than . The formula is as follows:
- In-situ lossIn situ observations are generally considered the most accurate means of measuring SM, which is why this paper introduces a novel in situ loss as an auxiliary loss. The main process is illustrated in Figure 2. Our key idea is to convert point-based in situ observations into spatial grids. We first use Random Forest [50] Regression, training it with five simple features (soil layer, latitude, longitude, year, and month) to infer . Additionally, we employ a Random Forest Classifier using the same five features, where labeled data are assigned a class of 1, the pseudocode is shown in Algorithm 1. We then randomly sample unlabeled data from the spatial domain (matching the number of labeled data points for class balance) and assign them a class of 0. The classifier is trained and used to infer , which indicates the reliability of the data, with values ranging from 0 to 1. The formula for calculating in situ loss is as follows:
| Algorithm 1 Random Forest Classifier for In Situ Observations |
| Input: Labeled dataset , where are the features. Unlabeled dataset |
| Output: Inferred class probabilities for unlabeled data |
|
- Total Variation LossTotal Variation (TV) Loss is incorporated into the generator’s loss function to promote spatial smoothness in the generated outputs while preserving essential image structures. By minimizing the differences between neighboring pixels, TV Loss reduces noise and prevents the introduction of artifacts, ensuring that the generated SM maps maintain coherent and natural-looking spatial patterns. This loss is particularly effective in enhancing the visual quality of generated images, making them more realistic and consistent with physical processes.
2.3.3. Mann–Kendall Trend Analysis
2.3.4. Evaluation Metrics
2.3.5. Implementation Details
3. Results and Analysis
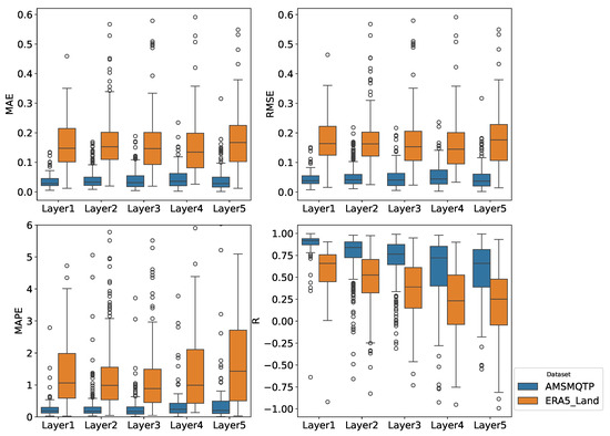
3.1. Accuracy Comparison of ERA5-Land and AMSMQTP Data in the TRSR
3.2. Evaluation of CMIP6UNet-Gan
3.3. Spatial Distribution of SM Trends Under Four Emission Scenarios
3.4. Time Series of SM in the TRSR
3.5. Temporal TRSR SM and Its Rate of Change
4. Discussion
5. Conclusions
- Overall Increasing Trend in SM: SM in the TRSR and its sub-regions shows a significant increasing trend across all five layers, with higher emission scenarios (SSP5-8.5) leading to faster increases.
- Spatial Distribution Characteristics: There is spatial heterogeneity in SM increase rates among different soil layers in various regions of the TRSR. For instance, the high-value areas for moisture increase rates in Layer 1 and Layer 2 are mainly concentrated in the western part of the Yangtze River and the southeastern part of the Yellow River. In deeper layers (Layer 3 to Layer 5), the distribution of high-value areas changes, particularly with high-value areas emerging in the northeastern part of the Yellow River.
- Decrease in SM Increase Rate with Depth: The rate of moisture increase decreases with increasing depth from Layer 1 to Layer 5. This phenomenon is significant throughout the year and across all seasons, indicating that deeper soils respond more slowly to climate change compared to shallower soils.
- Seasonal Variations in Moisture Increase Trends: Among the four seasons, spring and winter exhibit the most significant moisture increase trends, with the highest increase rates, while summer and autumn show fewer significant moisture increase trends. Particularly in summer, the significant moisture increase areas and rates are the smallest, with some scenarios even showing no significant increase trend.
- Temporal Distribution of Future Moisture Increase Rates: In the early 21st century (2021–2040) and late 21st century (2071–2100), the rate of significant SM increase is higher, while there is almost no significant increase trend in the mid-21st century (2041–2070). Additionally, the moisture increase rate in the early 21st century is generally higher than that in the late 21st century.
Supplementary Materials
Author Contributions
Funding
Data Availability Statement
Acknowledgments
Conflicts of Interest
References
- Rodriguez-Iturbe, I.; D’odorico, P.; Porporato, A.; Ridolfi, L. On the spatial and temporal links between vegetation, climate, and soil moisture. Water Resour. Res. 1999, 35, 3709–3722. [Google Scholar] [CrossRef]
- Wasko, C.; Nathan, R.; Peel, M.C. Changes in antecedent soil moisture modulate flood seasonality in a changing climate. Water Resour. Res. 2020, 56, e2019WR026300. [Google Scholar] [CrossRef]
- Humphrey, V.; Berg, A.; Ciais, P.; Gentine, P.; Jung, M.; Reichstein, M.; Seneviratne, S.I.; Frankenberg, C. Soil moisture–atmosphere feedback dominates land carbon uptake variability. Nature 2021, 592, 65–69. [Google Scholar] [CrossRef] [PubMed]
- Wu, D.; Wang, T.; Di, C.; Wang, L.; Chen, X. Investigation of controls on the regional soil moisture spatiotemporal patterns across different climate zones. Sci. Total Environ. 2020, 726, 138214. [Google Scholar] [CrossRef]
- Li, W.; Migliavacca, M.; Forkel, M.; Denissen, J.M.; Reichstein, M.; Yang, H.; Duveiller, G.; Weber, U.; Orth, R. Widespread increasing vegetation sensitivity to soil moisture. Nat. Commun. 2022, 13, 3959. [Google Scholar] [CrossRef]
- Tan, X.; Luo, S.; Li, H.; Hao, X.; Wang, J.; Dong, Q.; Chen, Z. Investigating the effects of snow cover and vegetation on soil temperature using remote sensing indicators in the three river source region, China. Remote Sens. 2022, 14, 4114. [Google Scholar] [CrossRef]
- Luo, S.; Wang, J.; Tan, X.; Meng, X.; Shang, L.; Li, H.; Zhou, B.; Chen, Q. Characteristics of ground surface heat flux for alpine vegetation in freeze-thaw cycles in the three river source region. Renew. Energy 2024, 221, 119793. [Google Scholar] [CrossRef]
- Liang, L.; Li, L.; Liu, C.; Cuo, L. Climate change in the Tibetan Plateau Three Rivers Source Region: 1960–2009. Int. J. Climatol. 2013, 33, 2900–2916. [Google Scholar] [CrossRef]
- Li, H.; Yan, L.; Wen, T.; Feng, X. Characteristics of Climate Change and Its Impact Assessment in the Three-River Regions. Plateau Meteorol. 2022, 41, 306–316. [Google Scholar]
- Luo, S.; Fang, X.; Lyu, S.; Jiang, Q.; Wang, J. Interdecadal changes in the freeze depth and period of frozen soil on the Three Rivers Source Region in China from 1960 to 2014. Adv. Meteorol. 2017, 2017, 5931467. [Google Scholar] [CrossRef]
- Fang, X.; Luo, S.; Lyu, S.; Cheng, C.; Li, Z.; Zhang, S. Numerical modeling of the responses of soil temperature and soil moisture to climate change over the Tibetan Plateau, 1961–2010. Int. J. Climatol. 2021, 41, 4134–4150. [Google Scholar] [CrossRef]
- O’Neill, B.C.; Tebaldi, C.; Van Vuuren, D.P.; Eyring, V.; Friedlingstein, P.; Hurtt, G.; Knutti, R.; Kriegler, E.; Lamarque, J.F.; Lowe, J.; et al. The scenario model intercomparison project (ScenarioMIP) for CMIP6. Geosci. Model Dev. 2016, 9, 3461–3482. [Google Scholar] [CrossRef]
- Zelinka, M.D.; Myers, T.A.; McCoy, D.T.; Po-Chedley, S.; Caldwell, P.M.; Ceppi, P.; Klein, S.A.; Taylor, K.E. Causes of higher climate sensitivity in CMIP6 models. Geophys. Res. Lett. 2020, 47, e2019GL085782. [Google Scholar] [CrossRef]
- Tebaldi, C.; Debeire, K.; Eyring, V.; Fischer, E.; Fyfe, J.; Friedlingstein, P.; Knutti, R.; Lowe, J.; O’Neill, B.; Sanderson, B.; et al. Climate model projections from the scenario model intercomparison project (ScenarioMIP) of CMIP6. Earth Syst. Dyn. 2021, 12, 253–293. [Google Scholar] [CrossRef]
- Cook, B.I.; Mankin, J.S.; Marvel, K.; Williams, A.P.; Smerdon, J.E.; Anchukaitis, K.J. Twenty-first century drought projections in the CMIP6 forcing scenarios. Earth’s Future 2020, 8, e2019EF001461. [Google Scholar] [CrossRef]
- Hirsch, A.L.; Ridder, N.N.; Perkins-Kirkpatrick, S.E.; Ukkola, A. CMIP6 MultiModel evaluation of present-day heatwave attributes. Geophys. Res. Lett. 2021, 48, e2021GL095161. [Google Scholar] [CrossRef]
- Gebrechorkos, S.; Leyland, J.; Slater, L.; Wortmann, M.; Ashworth, P.J.; Bennett, G.L.; Boothroyd, R.; Cloke, H.; Delorme, P.; Griffith, H.; et al. A high-resolution daily global dataset of statistically downscaled CMIP6 models for climate impact analyses. Sci. Data 2023, 10, 611. [Google Scholar] [CrossRef]
- Kreienkamp, F.; Lorenz, P.; Geiger, T. Statistically downscaled CMIP6 projections show stronger warming for Germany. Atmosphere 2020, 11, 1245. [Google Scholar] [CrossRef]
- Tian, J.; Zhang, Z.; Ahmed, Z.; Zhang, L.; Su, B.; Tao, H.; Jiang, T. Projections of precipitation over China based on CMIP6 models. Stoch. Environ. Res. Risk Assess. 2021, 35, 831–848. [Google Scholar] [CrossRef]
- Noël, T.; Loukos, H.; Defrance, D.; Vrac, M.; Levavasseur, G. Extending the global high-resolution downscaled projections dataset to include CMIP6 projections at increased resolution coherent with the ERA5-Land reanalysis. Data Brief 2022, 45, 108669. [Google Scholar] [CrossRef]
- Dey, A.; Sahoo, D.P.; Kumar, R.; Remesan, R. A multimodel ensemble machine learning approach for CMIP6 climate model projections in an Indian River basin. Int. J. Climatol. 2022, 42, 9215–9236. [Google Scholar] [CrossRef]
- Feng, D.; Wang, G.; Wei, X.; Amankwah, S.O.Y.; Hu, Y.; Luo, Z.; Hagan, D.F.T.; Ullah, W. Merging and downscaling soil moisture data from CMIP6 projections using deep learning method. Front. Environ. Sci. 2022, 10, 847475. [Google Scholar] [CrossRef]
- Soltani, K.; Amiri, A.; Ebtehaj, I.; Cheshmehghasabani, H.; Fazeli, S.; Gumiere, S.J.; Bonakdari, H. Advanced Forecasting of Drought Zones in Canada Using Deep Learning and CMIP6 Projections. Climate 2024, 12, 119. [Google Scholar] [CrossRef]
- Goodfellow, I.; Pouget-Abadie, J.; Mirza, M.; Xu, B.; Warde-Farley, D.; Ozair, S.; Courville, A.; Bengio, Y. Generative adversarial networks. Commun. ACM 2020, 63, 139–144. [Google Scholar] [CrossRef]
- Creswell, A.; White, T.; Dumoulin, V.; Arulkumaran, K.; Sengupta, B.; Bharath, A.A. Generative adversarial networks: An overview. IEEE Signal Process. Mag. 2018, 35, 53–65. [Google Scholar] [CrossRef]
- Wang, K.; Gou, C.; Duan, Y.; Lin, Y.; Zheng, X.; Wang, F.Y. Generative adversarial networks: Introduction and outlook. IEEE/CAA J. Autom. Sin. 2017, 4, 588–598. [Google Scholar] [CrossRef]
- Jozdani, S.; Chen, D.; Pouliot, D.; Johnson, B.A. A review and meta-analysis of generative adversarial networks and their applications in remote sensing. Int. J. Appl. Earth Obs. Geoinf. 2022, 108, 102734. [Google Scholar] [CrossRef]
- Zhang, H.; Song, Y.; Han, C.; Zhang, L. Remote sensing image spatiotemporal fusion using a generative adversarial network. IEEE Trans. Geosci. Remote Sens. 2020, 59, 4273–4286. [Google Scholar] [CrossRef]
- Ronneberger, O.; Fischer, P.; Brox, T. U-Net: Convolutional networks for biomedical image segmentation. In Medical Image Computing and Computer-Assisted Intervention—MICCAI 2015, Proceedings of the 18th International Conference, Munich, Germany, 5–9 October 2015; Proceedings, Part III 18; Springer: Cham, Switzerland, 2015; pp. 234–241. [Google Scholar]
- Luo, S.; Fang, X.; Lyu, S.; Ma, D.; Chang, Y.; Song, M.; Chen, H. Frozen ground temperature trends associated with climate change in the Tibetan Plateau Three River Source Region from 1980 to 2014. Clim. Res. 2016, 67, 241–255. [Google Scholar] [CrossRef]
- Goodman, D.S. Qinghai and the emergence of the West: Nationalities, communal interaction and national integration. China Q. 2004, 178, 379–399. [Google Scholar] [CrossRef]
- Yeh, E.T. Green governmentality and pastoralism in western China: ‘Converting pastures to grasslands’. Nomadic Peoples 2005, 9, 9–30. [Google Scholar] [CrossRef]
- Muñoz-Sabater, J.; Dutra, E.; Agustí-Panareda, A.; Albergel, C.; Arduini, G.; Balsamo, G.; Boussetta, S.; Choulga, M.; Harrigan, S.; Hersbach, H.; et al. ERA5-Land: A state-of-the-art global reanalysis dataset for land applications. Earth Syst. Sci. Data 2021, 13, 4349–4383. [Google Scholar] [CrossRef]
- Wang, Y.R.; Hessen, D.O.; Samset, B.H.; Stordal, F. Evaluating global and regional land warming trends in the past decades with both MODIS and ERA5-Land land surface temperature data. Remote Sens. Environ. 2022, 280, 113181. [Google Scholar] [CrossRef]
- Gomis-Cebolla, J.; Rattayova, V.; Salazar-Galán, S.; Francés, F. Evaluation of ERA5 and ERA5-Land reanalysis precipitation datasets over Spain (1951–2020). Atmos. Res. 2023, 284, 106606. [Google Scholar] [CrossRef]
- Luo, S.; Li, Z.; Tan, X.; Hao, X. The Dataset of Daily Soil Moisture at 0.1-Degree Resolution over Five Layers on the Qinghai–Tibet Plateau from 2000 to 2021; National Cryosphere Desert Data Center: Lanzhou, China, 2024. [Google Scholar] [CrossRef]
- Turnock, S.T.; Allen, R.J.; Andrews, M.; Bauer, S.E.; Deushi, M.; Emmons, L.; Good, P.; Horowitz, L.; John, J.G.; Michou, M.; et al. Historical and future changes in air pollutants from CMIP6 models. Atmos. Chem. Phys. 2020, 20, 14547–14579. [Google Scholar] [CrossRef]
- Su, B.; Huang, J.; Mondal, S.K.; Zhai, J.; Wang, Y.; Wen, S.; Gao, M.; Lv, Y.; Jiang, S.; Jiang, T.; et al. Insight from CMIP6 SSP-RCP scenarios for future drought characteristics in China. Atmos. Res. 2021, 250, 105375. [Google Scholar] [CrossRef]
- Olén, N.B.; Lehsten, V. High-resolution global population projections dataset developed with CMIP6 RCP and SSP scenarios for year 2010–2100. Data Brief 2022, 40, 107804. [Google Scholar] [CrossRef]
- Dorigo, W.; Himmelbauer, I.; Aberer, D.; Schremmer, L.; Petrakovic, I.; Zappa, L.; Preimesberger, W.; Xaver, A.; Annor, F.; Ardö, J.; et al. The International Soil Moisture Network: Serving Earth system science for over a decade. Hydrol. Earth Syst. Sci. 2021, 25, 5749–5804. [Google Scholar] [CrossRef]
- Dorigo, W.; Xaver, A.; Vreugdenhil, M.; Gruber, A.; Dostálová, A.; Sanchis-Dufau, A.D.; Zamojski, D.; Cordes, C.; Wagner, W.; Drusch, M. Global Automated Quality Control of In Situ Soil Moisture Data from the International Soil Moisture Network. Vadose Zone J. 2013, 12, vzj2012.0097. [Google Scholar] [CrossRef]
- Yang, K.; Qin, J.; Zhao, L.; Chen, Y.; Tang, W.; Han, M.; Zhu, l.; Chen, Z.; Lv, N.; Ding, B.; et al. A Multi-Scale Soil Moisture and Freeze-Thaw Monitoring Network on the Third Pole. Bull. Am. Meteorol. Soc. 2013, 94, 1907–1916. [Google Scholar] [CrossRef]
- Dente, L.; Su, Z.; Wen, J. Validation of SMOS soil moisture products over the Maqu and Twente regions. Sensors 2012, 12, 9965–9986. [Google Scholar] [CrossRef] [PubMed]
- Su, Z.; Wen, J.; Dente, L.; Velde, R.; Wang, L.; Ma, Y.; Yang, K.; Hu, Z. The Tibetan Plateau observatory of plateau scale soil moisture and soil temperature (Tibet-Obs) for quantifying uncertainties in coarse resolution satellite and model products. Hydrol. Earth Syst. Sci. 2011, 15, 2303–2316. [Google Scholar] [CrossRef]
- Hussain, M.; Mahmud, I. pyMannKendall: A python package for non parametric Mann Kendall family of trend tests. J. Open Source Softw. 2019, 4, 1556. [Google Scholar] [CrossRef]
- Huang, H.; Lin, L.; Tong, R.; Hu, H.; Zhang, Q.; Iwamoto, Y.; Han, X.; Chen, Y.W.; Wu, J. Unet 3+: A full-scale connected unet for medical image segmentation. In Proceedings of the ICASSP 2020—2020 IEEE International Conference on Acoustics, Speech and Signal Processing (ICASSP), Barcelona, Spain, 4–8 May 2020; pp. 1055–1059. [Google Scholar]
- Li, Z.; Liu, F.; Yang, W.; Peng, S.; Zhou, J. A survey of convolutional neural networks: Analysis, applications, and prospects. IEEE Trans. Neural Netw. Learn. Syst. 2021, 33, 6999–7019. [Google Scholar] [CrossRef] [PubMed]
- Ledig, C.; Theis, L.; Huszár, F.; Caballero, J.; Cunningham, A.; Acosta, A.; Aitken, A.; Tejani, A.; Totz, J.; Wang, Z.; et al. Photo-realistic single image super-resolution using a generative adversarial network. In Proceedings of the IEEE Conference on Computer Vision and Pattern Recognition, Honolulu, HI, USA, 21–26 July 2017; pp. 4681–4690. [Google Scholar]
- Wang, X.; Yu, K.; Wu, S.; Gu, J.; Liu, Y.; Dong, C.; Qiao, Y.; Change Loy, C. Esrgan: Enhanced super-resolution generative adversarial networks. In Proceedings of the European Conference on Computer Vision (ECCV) Workshops, Munich, Germany, 8–14 September 2018. [Google Scholar]
- Breiman, L. Random forests. Mach. Learn. 2001, 45, 5–32. [Google Scholar] [CrossRef]
- Paszke, A.; Gross, S.; Massa, F.; Lerer, A.; Bradbury, J.; Chanan, G.; Killeen, T.; Lin, Z.; Gimelshein, N.; Antiga, L.; et al. Pytorch: An imperative style, high-performance deep learning library. Adv. Neural Inf. Process. Syst. 2019, 32. [Google Scholar]
- Dong, J.; Ochsner, T.E. Soil texture often exerts a stronger influence than precipitation on mesoscale soil moisture patterns. Water Resour. Res. 2018, 54, 2199–2211. [Google Scholar] [CrossRef]
- Ran, Q.; Wang, F.; Gao, J. The effect of storm movement on infiltration, runoff and soil erosion in a semi-arid catchment. Hydrol. Process. 2020, 34, 4526–4540. [Google Scholar] [CrossRef]
- Zhou, S.; Williams, A.P.; Lintner, B.R.; Berg, A.M.; Zhang, Y.; Keenan, T.F.; Cook, B.I.; Hagemann, S.; Seneviratne, S.I.; Gentine, P. Soil moisture–atmosphere feedbacks mitigate declining water availability in drylands. Nat. Clim. Chang. 2021, 11, 38–44. [Google Scholar] [CrossRef]
- Xu, M.; Hou, Z.; Kang, S.; Wu, X.; Han, H.; Wang, P. Projection of snowfall and precipitation phase changes over the Northwest China based on CMIP6 multimodels. J. Hydrol. 2024, 641, 131743. [Google Scholar] [CrossRef]
- Zhang, J.; Wu, T.; Xin, X.; Lu, Y.; Yan, J.; Zhang, F.; Liu, L.; Zhao, H. Surface air temperature trend over the Tibetan Plateau in CMIP6 and its constraint in future projection. J. Geophys. Res. Atmos. 2023, 128, e2023JD039527. [Google Scholar] [CrossRef]
- Cui, Y.; Zeng, C.; Zhou, J.; Xie, H.; Wan, W.; Hu, L.; Xiong, W.; Chen, X.; Fan, W.; Hong, Y. A spatio-temporal continuous soil moisture dataset over the Tibet Plateau from 2002 to 2015. Sci. Data 2019, 6, 247. [Google Scholar] [CrossRef] [PubMed]
- Brocca, L.; Zhao, W.; Lu, H. High-resolution observations from space to address new applications in hydrology. Innovation 2023, 4, 100437. [Google Scholar] [CrossRef] [PubMed]

















| Model Name | Modelling Centre | Resolution (Lon × Lat) | Used Member |
|---|---|---|---|
| ACCESS-CM2 | CSIRO-ARCCSS | r1i1p1f1 | |
| BCC-CSM2-MR | BCC | r1i1p1f1 | |
| CanESM5-CanOE | CCCMA | r1i1p2f1 | |
| CESM2 | NCAR | r1i1p1f1 | |
| CMCC-CM2-SR5 | CMCC | r1i1p1f1 | |
| CNRM-CM6-1-HR | CNRM-CERFACS | r1i1p1f2 | |
| CNRM-ESM2-1 | CNRM-CERFACS | r1i1p1f2 | |
| EC-Earth3-Veg-LR | EC-Earth-Consortium | r1i1p1f1 | |
| KACE-1-0-G | NIMS-KMA | r1i1p1f1 | |
| MIROC6 | MIROC | r1i1p1f1 | |
| MIROC-ES2L | MIROC | r1i1p1f2 | |
| MPI-ESM1-2-LR | MPI-M AWI | r1i1p1f1 | |
| MRI-ESM2-0 | MRI | r1i1p1f1 | |
| NorESM2-LM | NCC | r1i1p1f1 | |
| NorESM2-MM | NCC | r1i1p1f1 | |
| TaiESM1 | AS-RCEC | r1i1p1f1 | |
| UKESM1-0-LL | MOHC, NERC, NIMS-KMA, NIWA | r1i1p1f2 |
Disclaimer/Publisher’s Note: The statements, opinions and data contained in all publications are solely those of the individual author(s) and contributor(s) and not of MDPI and/or the editor(s). MDPI and/or the editor(s) disclaim responsibility for any injury to people or property resulting from any ideas, methods, instructions or products referred to in the content. |
© 2024 by the authors. Licensee MDPI, Basel, Switzerland. This article is an open access article distributed under the terms and conditions of the Creative Commons Attribution (CC BY) license (https://creativecommons.org/licenses/by/4.0/).
Share and Cite
Li, Z.; Luo, S.; Tan, X.; Wang, J. Trend Analysis of High-Resolution Soil Moisture Data Based on GAN in the Three-River-Source Region During the 21st Century. Remote Sens. 2024, 16, 4367. https://doi.org/10.3390/rs16234367
Li Z, Luo S, Tan X, Wang J. Trend Analysis of High-Resolution Soil Moisture Data Based on GAN in the Three-River-Source Region During the 21st Century. Remote Sensing. 2024; 16(23):4367. https://doi.org/10.3390/rs16234367
Chicago/Turabian StyleLi, Zhuoqun, Siqiong Luo, Xiaoqing Tan, and Jingyuan Wang. 2024. "Trend Analysis of High-Resolution Soil Moisture Data Based on GAN in the Three-River-Source Region During the 21st Century" Remote Sensing 16, no. 23: 4367. https://doi.org/10.3390/rs16234367
APA StyleLi, Z., Luo, S., Tan, X., & Wang, J. (2024). Trend Analysis of High-Resolution Soil Moisture Data Based on GAN in the Three-River-Source Region During the 21st Century. Remote Sensing, 16(23), 4367. https://doi.org/10.3390/rs16234367

