The Impact of Land Use and Landscape Pattern on Ecosystem Services in the Dongting Lake Region, China
Abstract
1. Introduction
2. Materials and Methods
2.1. Study Area
2.2. Data Source and Data Processing
2.3. Data Analyses
2.3.1. LUCC Analysis
2.3.2. Calculation of Landscape Patterns
2.3.3. Calculation of Ecosystem Services
- (1)
- Carbon storage
- (2)
- GPP
- (3)
- Water conservation capacity
- (4)
- Crop yield
2.3.4. Trade-Offs and Synergies among Ecosystem Services
2.3.5. Impacts of LUCC and Landscape Patterns on Ecosystem Services
3. Results
3.1. Changes in Land Use and Land Cover
3.2. Evolution of Landscape Patterns
3.3. Ecosystem Service Function and Trade-Offs
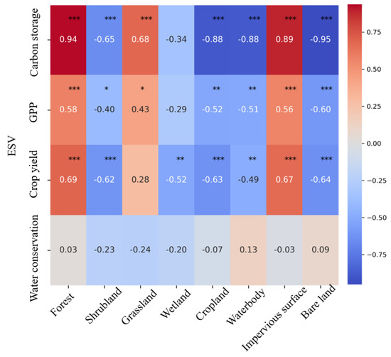
3.4. Impact of LUCC and Landscape Patterns on Ecosystem Services
4. Discussion
5. Conclusions
Supplementary Materials
Author Contributions
Funding
Data Availability Statement
Acknowledgments
Conflicts of Interest
References
- Watson, L.; Straatsma, M.; Wanders, N.; Verstegen, J.; De Jong, S.; Karssenberg, D. Global ecosystem service values in climate class transitions. Environ. Res. Lett. 2020, 15, 024008. [Google Scholar] [CrossRef]
- Sterner, R.W.; Keeler, B.; Polasky, S.; Poudel, R.; Rhude, K.; Rogers, M. Ecosystem services of Earth’s largest freshwater lakes. Ecosyst. Serv. 2020, 41, 101046. [Google Scholar] [CrossRef]
- Piao, S.; Fang, J.; Ciais, P.; Peylin, P.; Huang, Y.; Sitch, S. The carbon balance of terrestrial ecosystems in China. Nature 2009, 458, 1009–1013. [Google Scholar] [CrossRef] [PubMed]
- Piao, S.; Ciais, P.; Friedlingstein, P.; Peylin, P.; Reichstein, M.; Luyssaert, S.; Margolis, H.; Fang, J.; Barr, A.; Chen, A.; et al. Net carbon dioxide losses of northern ecosystems in response to autumn warming. Nature 2008, 451, 49–52. [Google Scholar] [CrossRef] [PubMed]
- Chen, I.C.; Hill, J.; Ohlemüller, R.; Roy, D.B.; Thomas, C. Rapid Range Shifts of Species Associated with High Levels of Climate Warming. Science 2011, 333, 1024–1026. [Google Scholar] [CrossRef] [PubMed]
- Knutson, T.R.; McBride, J.L.; Chan, J.; Emanuel, K.; Holland, G.; Landsea, C.; Held, I.; Kossin, J.P.; Srivastava, A.K.; Sugi, M. Tropical cyclones and climate change. Nat. Geosci. 2010, 3, 157–163. [Google Scholar] [CrossRef]
- Stirling, E.; Fitzpatrick, R.; Mosley, L. Drought effects on wet soils in inland wetlands and peatlands. Earth-Sci. Rev. 2020, 210, 103387. [Google Scholar] [CrossRef]
- Raskin, P. Global Scenarios: Background Review for the Millennium Ecosystem Assessment. Ecosystems 2005, 8, 133–142. [Google Scholar] [CrossRef]
- Strassburg, B.B.; Iribarrem, A.; Beyer, H.L.; Cordeiro, C.L.; Crouzeilles, R.; Jakovac, C.C.; Junqueira, A.B.; Lacerda, E.; Latawiec, A.E.; Balmford, A. Global priority areas for ecosystem restoration. Nature 2020, 586, 724–729. [Google Scholar] [CrossRef]
- Mao, D.; He, X.; Wang, Z.; Tian, Y.; Xiang, H.; Yu, H.; Man, W.; Jia, M.; Ren, C.; Zheng, H. Diverse policies leading to contrasting impacts on land cover and ecosystem services in Northeast China. J. Clean. Prod. 2019, 240, 117961. [Google Scholar] [CrossRef]
- Xing, Z.; Wen, X.; Chen, S.; Ding, J.; Zhang, Y. Quantifying Land Use/Land Cover and Landscape Pattern Changes and Impacts on Ecosystem Services. Int. J. Environ. Res. Public Health 2019, 17, 126. [Google Scholar]
- Kang, R.; Liang, L.; Tian, Z.; Yan, J.; Shi, Y.; Qiu, S. A review and prospect of annual report on remote sensing monitoring of global ecological environment. In Proceedings of the 2021 9th International Conference on Agro-Geoinformatics (Agro-Geoinformatics), Shenzhen, China, 26–29 July 2021. [Google Scholar]
- Hasan, S.S.; Zhen, L.; Miah, M.G.; Ahamed, T.; Samie, A. Impact of land use change on ecosystem services: A review. Environ. Dev. 2020, 34, 100527. [Google Scholar] [CrossRef]
- Ouyang, Z.; Song, C.; Zheng, H.; Polasky, S.; Xiao, Y.; Bateman, I.J.; Liu, J.; Ruckelshaus, M.; Shi, F.; Xiao, Y. Using gross ecosystem product (GEP) to value nature in decision making. Proc. Natl. Acad. Sci. USA 2020, 117, 14593–14601. [Google Scholar] [CrossRef]
- Mononen, L.; Auvinen, A.P.; Ahokumpu, A.L.; Rönkä, M.; Aarras, N.; Tolvanen, H.; Kamppinen, M.; Viirret, E.; Kumpula, T.; Vihervaara, P. National ecosystem service indicators: Measures of social–ecological sustainability. Ecol. Indic. 2016, 61, 27–37. [Google Scholar] [CrossRef]
- Alrajoula, M.T.; Al Zayed, I.S.; Elagib, N.A.; Hamdi, M.R. Hydrological, socio-economic and reservoir alterations of Er Roseires Dam in Sudan. Sci. Total. Environ. 2016, 566–567, 938–948. [Google Scholar] [CrossRef]
- Holdren, J.; Ehrlich, P. Human Population and the Global Environment: Population Growth, Rising Per Capita Material Consumption, and Disruptive Technologies Have Made Civilization a Global Ecological Force. Am. Sci. 1974, 62, 282–292. [Google Scholar]
- Daily, G.C. The Future of Nature Nature’s Services: Societal Dependence on Natural Ecosystems (1997). In Documents of Global Change; Robin, L., Sörlin, S., Warde, P., Eds.; Yale University Press: New Haven, CT, USA, 2013; pp. 454–464. [Google Scholar]
- Costanza, R.; d’Arge, R.; de Groot, R.; Farber, S.; Grasso, M.; Hannon, B.; Limburg, K.; Naeem, S.; O’Neill, R.V.; Paruelo, J.; et al. The value of the world’s ecosystem services and natural capital. Ecol. Econ. 1998, 25, 3–15. [Google Scholar] [CrossRef]
- Baudron, F.; Dilla, A.M.; Tirfessa, D.; Argaw, M. Impact of farmland exclosure on the productivity and sustainability of a mixed crop-livestock system in the Central Rift Valley of Ethiopia. Agric. Ecosyst. Environ. 2015, 207, 109–118. [Google Scholar] [CrossRef]
- Burkhard, B.; Kroll, F.; Müller, F.; Windhorst, W. Landscapes‘ Capacities to Provide Ecosystem Services—A Concept for Land-Cover Based Assessments. Landsc. Online 2009, 15, 1–22. [Google Scholar] [CrossRef]
- Wang, Y.; Dai, E.; Ge, Q.; Zhang, X.; Yu, C. Spatial heterogeneity of ecosystem services and their trade-offs in the Hengduan Mountain region, Southwest China. Catena 2021, 207, 105632. [Google Scholar] [CrossRef]
- Yan, X.; Li, L. Spatiotemporal characteristics and influencing factors of ecosystem services in Central Asia. J. Arid. Land 2023, 15, 1–19. [Google Scholar] [CrossRef]
- Flynn, D.; Gogol-Prokurat, M.; Nogeire, T.; Molinari, N.; Richers, B.; Lin, B.; Simpson, N.; Mayfield, M.; Declerck, F. Loss of functional diversity under land use intensification across multiple taxa. Ecol. Lett. 2009, 12, 22–33. [Google Scholar] [CrossRef] [PubMed]
- Priess, J.; Mimler, M.; Klein, A.; Schwarze, S.; Tscharntke, T.; Steffan-Dewenter, I. Linking deforestation scenarios to pollination services and economic returns in coffee agroforestry systems. Ecol. Appl. 2007, 17, 407–417. [Google Scholar] [CrossRef] [PubMed]
- Liu, Y.B.; Hou, X.Y.; Li, X.W.; Song, B.Y.; Wang, C. Assessing and predicting changes in ecosystem service values based on land use/cover change in the Bohai Rim coastal zone. Ecol. Indic. 2020, 111, 106004. [Google Scholar] [CrossRef]
- Li, Z.G.; Sun, Z.S.; Tian, Y.J.; Zhong, J.L.; Yang, W.N. Impact of Land Use/Cover Change on Yangtze River Delta Urban Agglomeration Ecosystem Services Value: Temporal-Spatial Patterns and Cold/Hot Spots Ecosystem Services Value Change Brought by Urbanization. Int. J. Environ. Res. Public Health 2019, 16, 123. [Google Scholar] [CrossRef]
- Cao, S.X. Impact of China’s Large-Scale Ecological Restoration Program on the Environment and Society in Arid and Semiarid Areas of China: Achievements, Problems, Synthesis, and Applications. Crit. Rev. Environ. Sci. Technol. 2011, 41, 317–335. [Google Scholar] [CrossRef]
- Furst, C.; Helming, K.; Lorz, C.; Muller, F.; Verburg, P.H. Integrated land use and regional resource management—A cross-disciplinary dialogue on future perspectives for a sustainable development of regional resources. J. Environ. Manag. 2013, 127, S1–S5. [Google Scholar] [CrossRef]
- Pastor, A.; Tzoraki, O.; Bruno, D.; Kaletová, T.; Mendoza-Lera, C.; Alamanos, A.; Brummer, M.; Datry, T.; De Girolamo, A.; Jakubínský, J. Rethinking ecosystem service indicators for their application to intermittent rivers. Ecol. Indic. 2022, 137, 108693. [Google Scholar] [CrossRef]
- Lu, S.S.; Tang, X.; Guan, X.L.; Qin, F.; Liu, X.; Zhang, D.H. The assessment of forest ecological security and its determining indicators: A case study of the Yangtze River Economic Belt in China. J. Environ. Manag. 2020, 258, 110048. [Google Scholar] [CrossRef]
- Zhao, S.; Fang, J. Impact of impoldering and lake restoration on land-cover changes in Dongting Lake area, Central Yangtze. AMBIO: A J. Hum. Environ. 2004, 33, 311–315. [Google Scholar] [CrossRef]
- Feng, S.; Liu, S.; Zhou, G.; Gao, C.; Sheng, D.; Yan, W.; Wu, Y.; Gao, H.; Jia, J.; Wang, Z. Long-term dense Landsat observations reveal detailed waterbody dynamics and temporal changes of the size-abundance relationship. J. Hydrol. Reg. Stud. 2022, 41, 101111. [Google Scholar] [CrossRef]
- Yang, L.; Wang, L.; Yu, D.; Yao, R.; He, Q.; Wang, S.; Wang, L. Four decades of wetland changes in Dongting Lake using Landsat observations during 1978–2018. J. Hydrol. 2020, 587, 124954. [Google Scholar] [CrossRef]
- Cao, Z.; Wan, B.; Xiao, Y.; Wu, M.; Tan, X.; Zhang, Q.; Wang, D. Exploring the impact of landscape ecological risk on water quality in the Danjiangkou Reservoir, China. Earth Space Sci. 2022, 9, e2022EA002363. [Google Scholar] [CrossRef]
- Merlot Le-sage, K.-T.; Jean Victor, K.; Lucas, K.; Adoua, N.K.; Sylvano, M.S.; Jules, N. Hydrogeological potential estimation of Ngoua watershed, West Cameroon, using petrography, Shuttle Radar Topography Mission (SRTM), and geophysical data. Arab. J. Geosci. 2021, 14, 1–14. [Google Scholar] [CrossRef]
- Zhu, Z.; Woodcock, C.E. Continuous change detection and classification of land cover using all available Landsat data. Remote Sens. Environ. 2014, 144, 152–171. [Google Scholar] [CrossRef]
- Liu, M.; Liu, S.; Ning, Y.; Zhu, Y.; Valbuena, R.; Guo, R.; Li, Y.; Tang, W.; Mo, D.; Rosa, I.M.D.; et al. Co-Evolution of Emerging Multi-Cities: Rates, Patterns and Driving Policies Revealed by Continuous Change Detection and Classification of Landsat Data. Remote. Sens. 2020, 12, 2905. [Google Scholar] [CrossRef]
- Hesselbarth, M.H.K.; Sciaini, M.; With, K.A.; Wiegand, K.; Nowosad, J. landscapemetrics: An open-source R tool to calculate landscape metrics. Ecography 2019, 42, 1648–1657. [Google Scholar] [CrossRef]
- Wang, L.; Wen, C. Traditional Villages in Forest Areas: Exploring the Spatiotemporal Dynamics of Land Use and Landscape Patterns in Enshi Prefecture, China. Forests 2021, 12, 65. [Google Scholar] [CrossRef]
- Gao, H.; Liu, S.; Feng, S.; Peng, X.; Ning, Y.; Shi, Y.; Wang, Z.; Wei, B.; Yan, W. Nonlinear imprints of forest coverage on the relationships between gross primary production (GPP) and landscape patterns. Ecol. Indic. 2023, 146, 109783. [Google Scholar] [CrossRef]
- Zhou, B.-B.; Lv, L. Understanding the dynamics of farmland loss in a rapidly urbanizing region: A problem-driven, diagnostic approach to landscape sustainability. Landsc. Ecol. 2020, 35, 2471–2486. [Google Scholar] [CrossRef]
- Dadashpoor, H.; Azizi, P.; Moghadasi, M. Land use change, urbanization, and change in landscape pattern in a metropolitan area. Sci. Total. Environ. 2019, 655, 707–719. [Google Scholar] [CrossRef] [PubMed]
- Liu, J.; Kang, J.; Behm, H.; Luo, T. Effects of landscape on soundscape perception: Soundwalks in city parks. Urban Plan. 2014, 123, 30–40. [Google Scholar] [CrossRef]
- Lu, F.; Hu, H.; Sun, W.; Zhu, J.; Liu, G.; Zhou, W.; Zhang, Q.; Shi, P.; Liu, X.; Wu, X.; et al. Effects of national ecological restoration projects on carbon sequestration in China from 2001 to 2010. Proc. Natl. Acad. Sci. USA 2018, 115, 4039–4044. [Google Scholar] [CrossRef] [PubMed]
- Ming, A.; Jia, H.; Zhao, J.; Tao, Y.; Li, Y. Above-and below-ground carbon stocks in an indigenous tree (Mytilaria laosensis) plantation chronosequence in subtropical China. PLOS ONE 2014, 9, e109730. [Google Scholar] [CrossRef]
- Tang, X.; Zhao, X.; Bai, Y.; Tang, Z.; Wang, W.; Zhao, Y.; Wan, H.; Xie, Z.; Shi, X.; Wu, B.; et al. Carbon pools in China’s terrestrial ecosystems: New estimates based on an intensive field survey. Proc. Natl. Acad. Sci. USA 2018, 115, 4021–4026. [Google Scholar] [CrossRef]
- Wang, F.; Xu, X.; Zou, B.; Guo, Z.; Li, Z.; Zhu, W. Biomass accumulation and carbon sequestration in four different aged Casuarina equisetifolia coastal shelterbelt plantations in south China. PLoS ONE 2013, 8, e77449. [Google Scholar] [CrossRef]
- Wei, Y.; Li, M.; Chen, H.; Lewis, B.J.; Yu, D.; Zhou, L.; Zhou, W.; Fang, X.; Zhao, W.; Dai, L. Variation in carbon storage and its distribution by stand age and forest type in boreal and temperate forests in northeastern China. PLoS ONE 2013, 8, e72201. [Google Scholar] [CrossRef]
- Huang, X.; Zheng, Y.; Zhang, H.; Lin, S.; Liang, S.; Li, X.; Ma, M.; Yuan, W. High spatial resolution vegetation gross primary production product: Algorithm and validation. Sci. Remote. Sens. 2022, 5, 100049. [Google Scholar] [CrossRef]
- Wang, Z.; Liu, S.; Wang, Y.; Valbuena, R.; Wu, Y.; Kutia, M.; Zheng, Y.; Lu, W.; Zhu, Y.; Zhao, M.; et al. Tighten the Bolts and Nuts on GPP Estimations from Sites to the Globe: An Assessment of Remote Sensing Based LUE Models and Supporting Data Fields. Remote. Sens. 2021, 13, 168. [Google Scholar] [CrossRef]
- Jie, X.; Yu, X.; Gaodi, X. Analysis on the Spatio-Temporal Patterns of Water Conservation Services in Beijing. J. Resour. Ecol. 2019, 10, 362. [Google Scholar] [CrossRef]
- Liu, H.; Xiao, W.; Li, Q.; Tian, Y.; Zhu, J. Spatio-Temporal Change of Multiple Ecosystem Services and Their Driving Factors: A Case Study in Beijing, China. Forests 2022, 13, 260. [Google Scholar] [CrossRef]
- Rana, G.; Palatella, L.; Scanlon, T.M.; Martinelli, N.; Ferrara, R.M. CO2 and H2O flux partitioning in a Mediterranean cropping system. Agric. For. Meteorol. 2018, 260–261, 118–130. [Google Scholar] [CrossRef]
- Bengough, A.G.; McKenzie, B.M.; Hallett, P.D.; Valentine, T.A. Root elongation, water stress, and mechanical impedance: A review of limiting stresses and beneficial root tip traits. J. Exp. Bot. 2011, 62, 59–68. [Google Scholar] [CrossRef]
- Anderson, M.J.; Walsh, D.C.I.; Sweatman, W.L.; Punnett, A.J. Non-linear models of species’ responses to environmental and spatial gradients. Ecol. Lett. 2022, 25, 2739–2752. [Google Scholar] [CrossRef]
- R Core Team. R: A Language and Environment for Statistical Computing; R Foundation for Statistical Computing: Vienna, Austria, 2019. [Google Scholar]
- Qi, X.X.; Liu, L.M.; Liu, Y.B.; Yao, L. Risk assessment for sustainable food security in China according to integrated food security-taking Dongting Lake area for example. Environ. Monit. Assess. 2013, 185, 4855–4867. [Google Scholar] [CrossRef]
- Wang, J.L.; Gao, M.X.; Guo, H.H.; Chen, E.Y. Spatiotemporal distribution and historical evolution of polders in the Dongting Lake area, China. J. Geogr. Sci. 2016, 26, 1561–1578. [Google Scholar] [CrossRef]
- Xiong, Y.; Wang, K. Eco-compensation effects of the wetland recovery in Dongting Lake area. J. Geogr. Sci. 2010, 20, 389–405. [Google Scholar] [CrossRef]
- Li, H.; Zhao, B.; Dezhi, W.; Zhang, K.; Tan, X.; Zhang, Q. Effect of multiple spatial scale characterization of land use on water quality. Environ. Sci. Pollut. Res. 2022, 30, 7106–7120. [Google Scholar] [CrossRef]
- Gao, Y.; Xie, Y.H.; Zou, D.S. Hydrological regime change and its ecological responses in East Dongting Lake, China. Ecohydrol. Hydrobiol. 2020, 20, 142–150. [Google Scholar] [CrossRef]
- Feng, S.; Liu, S.; Huang, Z.; Jing, L.; Zhao, M.; Peng, X.; Yan, W.; Wu, Y.; Lv, Y.; Smith, A.R.; et al. Inland water bodies in China: Features discovered in the long-term satellite data. Proc. Natl. Acad. Sci. USA 2019, 116, 25491–25496. [Google Scholar] [CrossRef]
- Hu, Y.; Huang, J.; Du, Y.; Han, P.; Huang, W. Monitoring Spatial and Temporal Dynamics of Flood Regimes and Their Relation to Wetland Landscape Patterns in Dongting Lake from MODIS Time-Series Imagery. Remote. Sens. 2015, 7, 7494–7520. [Google Scholar] [CrossRef]
- Hu, W.M.; Li, G.; Gao, Z.H.; Jia, G.Y.; Wang, Z.C.; Li, Y. Assessment of the impact of the Poplar Ecological Retreat Project on water conservation in the Dongting Lake wetland region using the InVEST model. Sci. Total. Environ. 2020, 733, 139423. [Google Scholar] [CrossRef] [PubMed]
- Hansen, M.C.; Potapov, P.V.; Moore, R.; Hancher, M.; Turubanova, S.A.; Tyukavina, A.; Thau, D.; Stehman, S.V.; Goetz, S.J.; Loveland, T.R. High-resolution global maps of 21st-century forest cover change. Science 2013, 342, 850–853. [Google Scholar] [CrossRef] [PubMed]
- Wu, H.-B.; Zheng, B.-H. Wetland area identification and waterbird protection management in consideration of lake topography and water level change. Glob. Ecol. Conserv. 2020, 23, e01056. [Google Scholar] [CrossRef]
- Zheng, H.; Peng, J.; Qiu, S.; Xu, Z.; Zhou, F.; Xia, P.; Adalibieke, W. Distinguishing the impacts of land use change in intensity and type on ecosystem services trade-offs. J. Environ. Manag. 2022, 316, 115206. [Google Scholar] [CrossRef]
- Liu, L.; Guan, L.; Liu, X. Directly estimating diurnal changes in GPP for C3 and C4 crops using far-red sun-induced chlorophyll fluorescence. Agric. For. Meteorol. 2017, 232, 1–9. [Google Scholar] [CrossRef]
- Zhang, Q.; Cheng, Y.-B.; Lyapustin, A.I.; Wang, Y.; Gao, F.; Suyker, A.; Verma, S.; Middleton, E.M. Estimation of crop gross primary production (GPP): fAPARchl versus MOD15A2 FPAR. Remote. Sens. Environ. 2014, 153, 1–6. [Google Scholar] [CrossRef]
- Ma, L.; Sun, R.; Kazemi, E.; Pang, D.; Zhang, Y.; Sun, Q.; Zhou, J.; Zhang, K. Evaluation of ecosystem services in the Dongting Lake wetland. Water 2019, 11, 2564. [Google Scholar] [CrossRef]
- Li, G.; Chen, W.; Zhang, X.; Yang, Z.; Bi, P.; Wang, Z. Ecosystem service values in the dongting lake eco-economic zone and the synergistic impact of its driving factors. Int. J. Environ. Res. Public Health 2022, 19, 3121. [Google Scholar] [CrossRef]










| Abbreviation | Category | Description |
|---|---|---|
| PLAND | area and edge metric | percentage of landscape: the percentage of the landscape belonging to a given class |
| FRAC | shape metric | fractal dimension index: based on the patch perimeter and the patch area and describing the patch complexity |
| COHESION | aggregation metric | contiguity index: quantifies the connectivity of habitat as perceived by organisms dispersing in binary landscapes |
| Year | Forest | Shrubland | Grassland | Wetland | Cropland | Waterbody | Imperious | Bareland |
|---|---|---|---|---|---|---|---|---|
| 1988 | 4518.88 | 351.71 | 2.97 | 1839.46 | 9127.57 | 2431.50 | 1138.22 | 540.11 |
| 1995 | 4534.69 | 330.19 | 1.13 | 1836.52 | 9189.68 | 2452.00 | 1142.07 | 464.44 |
| 2003 | 4619.41 | 330.59 | 1.22 | 1910.33 | 9803.62 | 2456.85 | 1166.33 | 382.21 |
| 2011 | 4754.04 | 326.28 | 2.38 | 1948.63 | 9047.43 | 2352.30 | 1204.63 | 311.89 |
| 2019 | 5137.54 | 306.05 | 2.43 | 1836.37 | 8758.43 | 2363.33 | 1341.56 | 176.05 |
| 1988–1995 | 15.81 | −21.52 | −1.84 | −2.94 | 62.11 | 20.50 | 3.85 | −75.67 |
| 1995–2003 | 84.72 | 0.40 | 0.09 | 73.81 | 613.94 | 4.85 | 24.26 | −82.23 |
| 2003–2011 | 134.63 | −4.31 | 1.16 | 38.30 | −756.19 | −104.55 | 38.30 | −70.32 |
| 2011–2019 | 383.50 | −20.23 | 0.05 | −112.26 | −289.00 | 11.03 | 136.93 | −135.84 |
| 1988–2019 | 618.66 | −45.66 | −0.54 | −3.09 | −369.14 | −68.17 | 203.34 | −364.06 |
Disclaimer/Publisher’s Note: The statements, opinions and data contained in all publications are solely those of the individual author(s) and contributor(s) and not of MDPI and/or the editor(s). MDPI and/or the editor(s) disclaim responsibility for any injury to people or property resulting from any ideas, methods, instructions or products referred to in the content. |
© 2023 by the authors. Licensee MDPI, Basel, Switzerland. This article is an open access article distributed under the terms and conditions of the Creative Commons Attribution (CC BY) license (https://creativecommons.org/licenses/by/4.0/).
Share and Cite
Zhao, J.; Liu, S.; Wang, Z.; Gao, H.; Feng, S.; Wei, B.; Hou, Z.; Xiao, F.; Jing, L.; Liao, X. The Impact of Land Use and Landscape Pattern on Ecosystem Services in the Dongting Lake Region, China. Remote Sens. 2023, 15, 2228. https://doi.org/10.3390/rs15092228
Zhao J, Liu S, Wang Z, Gao H, Feng S, Wei B, Hou Z, Xiao F, Jing L, Liao X. The Impact of Land Use and Landscape Pattern on Ecosystem Services in the Dongting Lake Region, China. Remote Sensing. 2023; 15(9):2228. https://doi.org/10.3390/rs15092228
Chicago/Turabian StyleZhao, Jianlun, Shuguang Liu, Zhao Wang, Haiqiang Gao, Shuailong Feng, Baojing Wei, Zhaozhen Hou, Fangmeng Xiao, Lei Jing, and Xiaoping Liao. 2023. "The Impact of Land Use and Landscape Pattern on Ecosystem Services in the Dongting Lake Region, China" Remote Sensing 15, no. 9: 2228. https://doi.org/10.3390/rs15092228
APA StyleZhao, J., Liu, S., Wang, Z., Gao, H., Feng, S., Wei, B., Hou, Z., Xiao, F., Jing, L., & Liao, X. (2023). The Impact of Land Use and Landscape Pattern on Ecosystem Services in the Dongting Lake Region, China. Remote Sensing, 15(9), 2228. https://doi.org/10.3390/rs15092228

