Analysis of a Low-Earth Orbit Satellite Downlink Considering Antenna Radiation Patterns and Space Environment in Interference Situations
Abstract
1. Introduction
2. Antenna Simulation for LEO Downlink Analysis
3. Space Wave Propagation for LEO Downlink Analysis
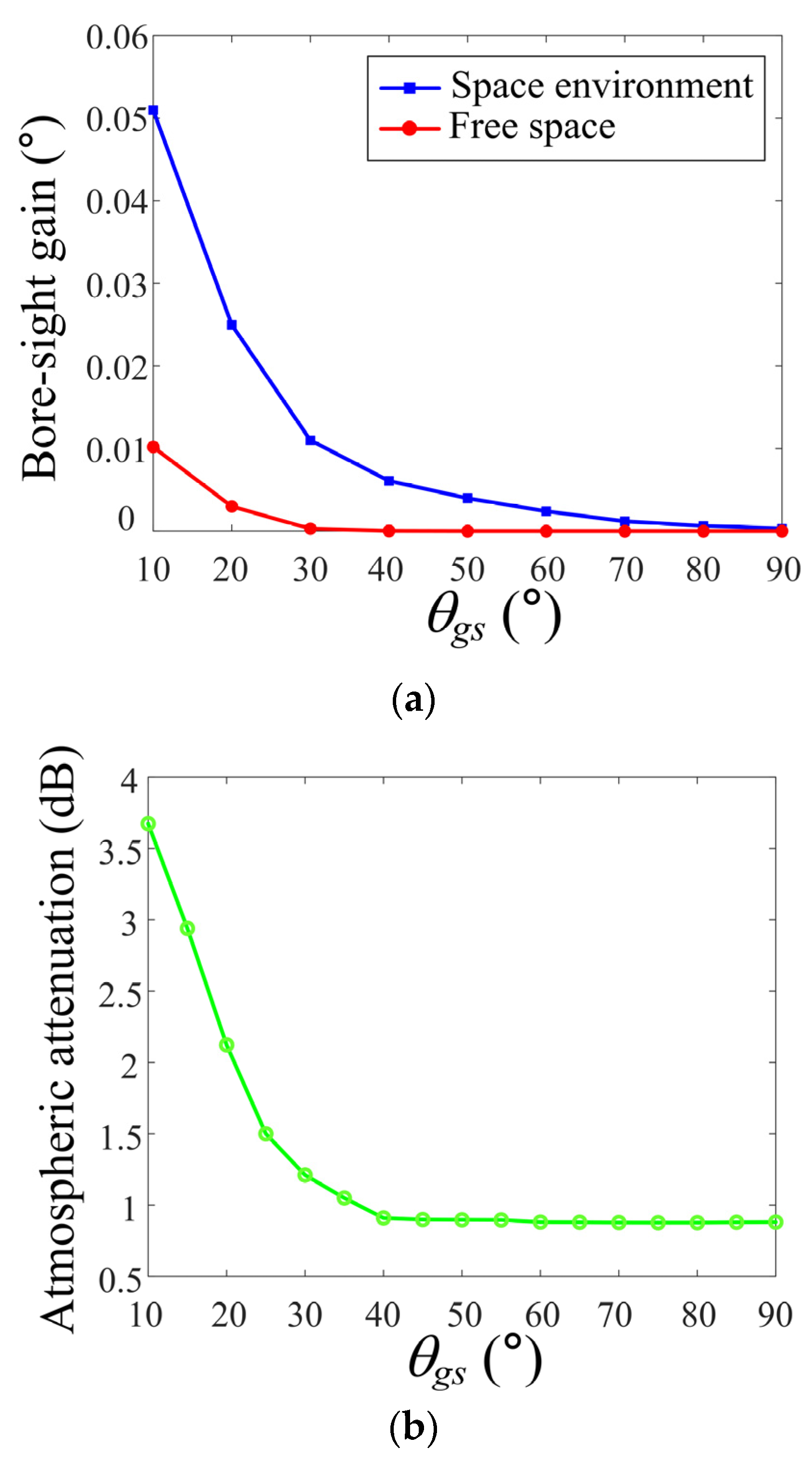
4. Analysis of LEO Satellite Downlink
5. Conclusions
Author Contributions
Funding
Acknowledgments
Conflicts of Interest
References
- Lim, J.H.; Lee, J.W.; Lee, T.K.; Lee, H.C.; Lee, S.G.; Ryu, S.B.; Yoon, S.S. Performance evaluation of a modified Sweep SAR mode for quad-pol application in SAR systems. J. Electromagn. Eng. Sci. 2020, 20, 199–206. [Google Scholar] [CrossRef]
- Kang, Y.G.; Kim, C.K.; Park, S.O. Ocean image formation algorithm using altimeter data for next generation satellite SAR. J. Electromagn. Eng. Sci. 2022, 22, 85–94. [Google Scholar] [CrossRef]
- Jiang, W.; Zong, P. Analysis and validation of a new path loss model for LEO satellite communication systems. In Proceedings of the 2010 2nd International Conference on Computer Engineering and Technology, Chengdu, China, 16–18 April 2010; Volume 2, pp. V2-523–V2-527. [Google Scholar]
- Gongora-Torres, J.M.; Vargas-Rosales, C.; Aragon-Zavala, A.; Villalpando-Hernandez, R. link budget analysis for LEO satellites based on the statistics of the elevation angle. IEEE Access 2022, 10, 14518–14528. [Google Scholar] [CrossRef]
- Hofmann, C.A.; Knopp, A. Satellite downlink jamming propagation measurements at ku-band. In Proceedings of the MILCOM 2018-2018 IEEE Military Communications Conference, Los Angeles, CA, USA, 29–31 October 2018; pp. 853–858. [Google Scholar]
- Morong, T.; Puričer, P.; Kovář, P. Study of the GNSS jamming in real environment. Int. J. Electron. Telecommun. 2019, 65, 65–70. [Google Scholar]
- Lichtman, M.; Reed, J.H. Analysis of reactive jamming against satellite communications. Int. J. Satell. Commun. Netw. 2016, 34, 195–210. [Google Scholar] [CrossRef]
- Garcia, J.R.; Benammar, B.; Dudal, C.; Bompis, O.; Artaud, G.; Issler, J.L.; Guillon, H. Performance Comparison of Low Earth Orbit (LEO) Direct To Earth (DTE) High Data Rate Telemetry in X and Ka Bands; CNES: Toulouse, France, 2016.
- Tirkas, P.A.; Wangsvick, C.M.; Balanis, C.A. Propagation model for building blockage in satellite mobile communication systems. IEEE Trans. Antennas Propag. 1998, 46, 991–997. [Google Scholar] [CrossRef]
- Lee, H.C. Ku-band link budget analysis of UAV with atmospheric losses. In Proceedings of the 2006 IEEE/AIAA 25TH Digital Avionics Systems Conference, Portland, OR, USA, 15–18 October 2006; pp. 1–8. [Google Scholar]
- Merabtine, N.; Boualleg, A.; Benslama, M. Analysis of radiation patterns and feed illumination of the reflector antenna using the physical and geometrical optics. Semicond. Phys. Quant. 2006, 9, 53–57. [Google Scholar] [CrossRef]
- Florio, A.; Avitabile, G.; Coviello, G.A. Linear Technique for Artifacts Correction and Compensation in Phase Interferometric Angle of Arrival Estimation. Sensors 2022, 22, 1427. [Google Scholar] [CrossRef] [PubMed]
- Satsearch. Available online: https://satsearch.co/products/endurosat-x-band-4x4-patch-array-antenna (accessed on 1 October 2022).
- Mao, C.X.; Gao, S.; Wang, Y.; Chu, Q.X.; Yang, X.X. Dual-band circularly polarized shared-aperture array for C/X-band satellite communications, IEEE Antennas Wirel. Propag. Lett. 2017, 65, 5171–5178. [Google Scholar]
- García-Aguilar, A.; Inclán-Alonso, J.M.; Vigil-Herrero, L.; Fernández-González, J.M.; Sierra-Pérez, M. Low-profile dual circularly polarized antenna array for satellite communications in the X band. IEEE Trans. Antennas Propag. 2012, 60, 2276–2284. [Google Scholar] [CrossRef]
- Wettergren, J.; Dimming, P.; Johansson, J.F.; Öhgren, M. A high gain X-band isoflux helix antenna. In Proceedings of the 2016 10th European Conference on Antennas and Propagation, Switzerland, Davos, 10–15 April 2016. [Google Scholar]
- Lee, Y.J.; Lu, J.-H.; Tarn, I.-Y.; Chen, S.-L.; Chung, S.-J. An X-band circularly polarized antenna for satellite applications. In Proceedings of the 2014 Asia-Pacific Microwave Conference, Sendai, Japan, 4–7 November 2014. [Google Scholar]
- Dubrovka, F.; Martunyuk, S.; Dubrovka, R.; Lytvyn, M.; Lytvyn, S.; Ovsianyk, Y.; Piltyay, S.; Sushko, O.; Zakharchenko, O. Circularly polarised X-band H11- and H21-modes antenna feed for monopulse autotracking ground station. In Proceedings of the 2020 IEEE Ukrainian Microwave Week, Kharkiv, Ukraine, 21–25 September 2020. [Google Scholar]
- Cheong, S.S.; Kim, T.-H.; Jung, J.-M.; Lee, S.-G.; Kim, Y.-H. Design of 2-axis gimbal spaceborne x-band antenna for high data rate payload transmission. In Proceedings of the 2013 Asia-Pacific Microwave Conference, Seoul, Korea, 5–8 November 2013. [Google Scholar]
- Tomoki, K.; Saito, H. Dual circularly polarization antenna with high XPD for downlink communication of earth observation satellite. In Proceedings of the 2017 IEEE Conference on Antenna Measurements & Applications, Tsukuba, Japan, 4–6 December 2017. [Google Scholar]
- Chahat, N.; Amaro, L.R.; Harrell, J.; Wang, C.; Estabrook, P.; Butman, S.A. X-band choke ring horn telecom antenna for interference mitigation on NASA’s SWOT mission. IEEE Trans. Antennas Propag. 2016, 64, 2075–2082. [Google Scholar] [CrossRef]
- Arnaud, E.; Dugenet, J.; Elis, K.; Girardot, A.; Guihard, D.; Menudier, C.; Monediere, T.; Roziere, F.; Thevenot, M. Compact isoflux X-band payload telemetry antenna with simultaneous dual circular polarization for LEO satellite applications. IEEE Antennas Wirel. Propag. Lett. 2020, 19, 1679–1683. [Google Scholar] [CrossRef]
- Akan, V. Choke ring horn antenna design for satellite payload data transmitters. Microw. Opt. Technol. Lett. 2021, 63, 1913–1919. [Google Scholar] [CrossRef]
- Fouany, J.; Thevenot, M.; Arnaud, E.; Torres, F.; Monediere, T.; Adnet, N.; Manrique, R.; Duchesne, L.; Baracco, J.M.; Elis, K. Circurlaly polarized isoflux compact X band antenna for nano-satellites applications. In Proceedings of the 2015 European Radar Conference, Paris, France, 9–11 September 2015; pp. 381–384. [Google Scholar]
- El-Hassan, M.A.; Hussein, K.F.A.; Farahat, A.E.; Awadalla, K.H. X-Band isoflux concentric circular antenna arrays for image data download from LEO satellites to ground stations. Appl. Comput. Electromagn. Soc. J. 2019, 34, 1694–1703. [Google Scholar]
- Nawaz, W.; Ali, A.S. Improvement of gain in dual fed X band isoflux choke horn antenna for use in LEO satellite mission. In Proceedings of the 2015 Fourth International Conference on Aerospace Science and Engineering, Lahore, Pakistan, 2–4 August 2015; pp. 1–4. [Google Scholar]
- ITU. Radiation Diagrams for Use as Design Objectives for Antennas of Earth Stations Operating with Geostationary Satellites; Recommendation ITU-R, S. 580-6; ITU: Geneva, Switzerland, 2003. [Google Scholar]
- Kim, C.; Park, Y.B. Prediction of electromagnetic wave propagation in space environments based on geometrical optics. J. Electromagn. Eng. Sci. 2017, 17, 165–167. [Google Scholar] [CrossRef]
- Balanis, C.A. Advanced Engineering Electromagnetics, 2nd ed.; Wiley: Chichester, UK, 2012; pp. 742–761. [Google Scholar]
- Bean, B.R. The radio refractive index of air. Proc. IRE 1962, 50, 260–273. [Google Scholar] [CrossRef]
- Liebe, H.J. MPM-An atmospheric millimeter-wave propagation model. Int. J. Infrared Millimeter Waves 1989, 10, 631–650. [Google Scholar] [CrossRef]
- Atmospheric Soundings–Wyoming Weather Web. Available online: http://weather.uwyo.edu/upperair/sounding.html (accessed on 1 October 2022).
- Papas, C.H. Theory of Electromagnetic Wave Propagation; Perlego: New York, NY, USA, 2014; pp. 165–201. [Google Scholar]
- ITU. Ionospheric Propagation Data and Prediction Methods Required for the Design of Satellite Networks and Systems; Recommendation ITU-R, P.531-14; ITU: Geneva, Switzerland, 2019. [Google Scholar]
- Jang, D.; Youn, S.; Lee, J.Y.; Choo, H. Statistical indoor exclusion zone analysis by investigating electromagnetic fields inside a nuclear power plant. Appl. Sci. 2021, 11, 4199. [Google Scholar] [CrossRef]
- Fumo, N.; Biswas, M.R. Regression analysis for prediction of residential energy consumption. Renew. Sust. Energ. 2015, 47, 332–343. [Google Scholar] [CrossRef]











| Downlink Parameters | Values |
|---|---|
| Receiving antenna gain | 59 dBi |
| Satellite altitude | 550~2200 km |
| Frequency range | 8025~8400 MHz |
| Transmitting power | 30 dBm |
| Transmitting antenna bore-sight gain (dBi) | 4.4 dBi |
| Effective isotopic radiation power (EIRP), Gt + Pt | 34.4 dBm |
| Free-space path loss | Lf dB |
| Bore-sight error loss | Lb dB |
| Atmospheric attenuation | Lat dB |
| Interference source power | 100~150 dBm |
| Interference source antenna gain | 10 dBi |
| Interference source altitude | 10 km |
| θgs | 10 | 60 | ||||||
|---|---|---|---|---|---|---|---|---|
| J/S (dB) | 0 | 5 | 10 | 15 | 0 | 5 | 10 | 15 |
| β (dB) | 3.53 | 2.56 | 2.16 | 1.63 | 0.02 | 0.37 | 0.62 | 0.14 |
Disclaimer/Publisher’s Note: The statements, opinions and data contained in all publications are solely those of the individual author(s) and contributor(s) and not of MDPI and/or the editor(s). MDPI and/or the editor(s) disclaim responsibility for any injury to people or property resulting from any ideas, methods, instructions or products referred to in the content. |
© 2023 by the authors. Licensee MDPI, Basel, Switzerland. This article is an open access article distributed under the terms and conditions of the Creative Commons Attribution (CC BY) license (https://creativecommons.org/licenses/by/4.0/).
Share and Cite
Kang, E.; Yang, J.; Park, Y.; Kim, J.; Shin, W.; Park, Y.B.; Choo, H. Analysis of a Low-Earth Orbit Satellite Downlink Considering Antenna Radiation Patterns and Space Environment in Interference Situations. Remote Sens. 2023, 15, 1748. https://doi.org/10.3390/rs15071748
Kang E, Yang J, Park Y, Kim J, Shin W, Park YB, Choo H. Analysis of a Low-Earth Orbit Satellite Downlink Considering Antenna Radiation Patterns and Space Environment in Interference Situations. Remote Sensing. 2023; 15(7):1748. https://doi.org/10.3390/rs15071748
Chicago/Turabian StyleKang, Eunjung, Junmo Yang, YoungJu Park, JungHoon Kim, WookHyeon Shin, Yong Bae Park, and Hosung Choo. 2023. "Analysis of a Low-Earth Orbit Satellite Downlink Considering Antenna Radiation Patterns and Space Environment in Interference Situations" Remote Sensing 15, no. 7: 1748. https://doi.org/10.3390/rs15071748
APA StyleKang, E., Yang, J., Park, Y., Kim, J., Shin, W., Park, Y. B., & Choo, H. (2023). Analysis of a Low-Earth Orbit Satellite Downlink Considering Antenna Radiation Patterns and Space Environment in Interference Situations. Remote Sensing, 15(7), 1748. https://doi.org/10.3390/rs15071748

