Are There One or More Geophysical Coupling Mechanisms before Earthquakes? The Case Study of Lushan (China) 2013
Abstract
1. Introduction
- Pure electromagnetic channel. In this case, the electromagnetic pre-earthquake disturbances propagate using the Maxwell equations of electromagnetism. These models include the ULF electromagnetic waves induced by the separation of charges at the fault level as predicted by Molchanov and Hayakawa [27,28] or an induced current in the ionosphere for variation of resistivity in the ground as indicated by Enomoto [29].
- Chain of mechanical, chemical, thermal, and electromagnetic phenomena. In this mechanism, one process induces another. For example, an increase in mechanical stress can release some radon gas at the Earth’s surface that increases the temperature, drops the humidity, ionizes the air, creates aerosols and clouds, and perturbs electric circuits as proposed by Pulinets and Ouzounov [30], Pulinets and Khachikyan [31], and Pulinets et al. [32,33].
- Acoustic gravity waves. Hayakawa et al. [34] proposed that thermal heating of the ground for the accumulation of the stress on the fault could induce some air pressure oscillations that generate acoustic gravity waves potentially reaching the ionosphere.
2. Materials and Methods
2.1. Lithosphere
2.2. Geomagnetic Ground Data Processing
2.3. Atmosphere: Climatological Archive Data Analysis
- Calculation of preliminary historical mean and exclusion of years that contain some outliers, i.e., one or more values greater than the mean plus 10 standard deviations of all the data.
- Calculation of historical time series (from 1980 to 2021), in terms of mean and standard deviations of the values of a 3-degree side square centered on the epicenter excluding the year of the earthquakes (2013).
- Overplot of the year of the earthquake (2013) above the mean plus or minus 1.0, 1.5, and 2.0 standard deviations of each specific day of the historical time series.
- Defining the values outside the 2-standard deviation thresholds as anomalous and, for such days, extracting the map and spatial information of locations of high values of the investigated quantity.
2.4. Ionosphere
2.4.1. TEC
- Select a couple of TEC maps: one preceding, and the other following, the selected local time to be analyzed.
- Spatially interpolate the value of TEC at the epicenter latitude and longitude for each map by a cubic surface.
- Temporal linear interpolate the TEC at the selected local time with the previous two values from step 2.
- Check the geomagnetic conditions by Dst and ap indexes rejecting the samples recorded during disturbed conditions (|Dst| > 20 nT or ap > 10 nT).
- Repeat this process for each day/year to be analyzed, contributing to the background or the time series to be analyzed if inside the period of six months preceding the Lushan earthquake.
- For each year, the average TEC and Sun Spot Number index (also selected in quiet geomagnetic time, i.e., the same days used for TEC) is calculated and reported in Figure 5A.
- An exponential fit of the TEC versus the Sunspot number is performed and shown in Figure 5B.
- The TEC is finally normalized by dividing each value for the value estimated for that year by the fit calculated in Step 7.
- For each day, the background mean and standard deviation of the normalized TEC are calculated, excluding the six months before the Lushan earthquake
- A time series graph is produced, and the values before the Lushan earthquake that overpassed the background mean plus two standard deviations are defined as anomalous.
2.4.2. Vertical Electron Density profiles from FormoSat-3
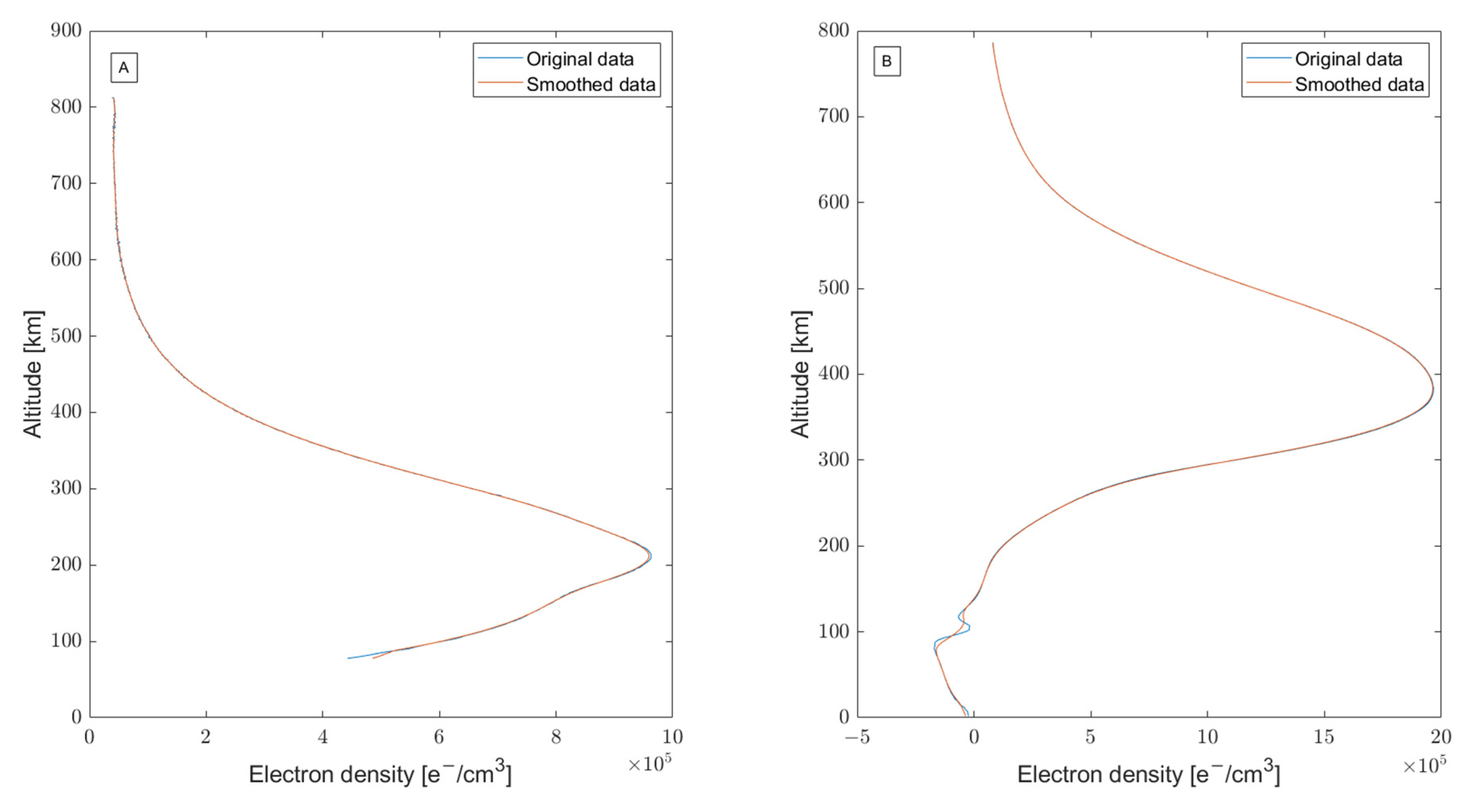
- Smoothing of the original Ne vertical profile with a moving average calculated sample-by-sample in a window of 11 samples. This operation assures that any spike in the original vertical profiles can be removed.
- Rejection of the profile below 50 km altitude as the F2 peak cannot be under such an altitude. However, the satellite often measured very high electron density values close to the ground, which were probably some bias in the measurements or data inversion.
- Extraction of the F2 maximum electron density value (NmF2), its altitude (hmF2), and its geographical position. It is important to note that the vertical profile is inclined, and any point corresponds to a different latitude and longitude, and we obtained the F2 value.
- Using the International Reference Ionosphere Model IRI-2016 [55], the information was reported to the epicentral coordinates by the proportion of the model computed at the measurement point and the epicenter.
3. Results
3.1. Lithosphere
3.2. Geomagnetic Data from Earth’s Surface
3.3. Atmospheric Temperature and Composition
3.4. Ionosphere
4. Discussion
4.1. Three Possible Lithosphere–Atmosphere–Ionosphere Couplings before the Earthquake
4.2. Space-Time Distribution of the Anomalies in Lithosphere Atmosphere and Ionosphere
4.3. Possible Explanation from the LAIC Models for the Identified Anomalies
5. Conclusions
Supplementary Materials
Author Contributions
Funding
Data Availability Statement
Acknowledgments
Conflicts of Interest
References
- Xie, Z.; Jin, B.; Zheng, Y.; Ge, C.; Xiong, X.; Xiong, C.; Hsu, H. Source Parameters Inversion of the 2013 Lushan Earthquake by Combining Teleseismic Waveforms and Local Seismograms. Sci. China Earth Sci. 2013, 56, 1177–1186. [Google Scholar] [CrossRef]
- Zhao, G.; Unsworth, M.J.; Zhan, Y.; Wang, L.; Chen, X.; Jones, A.G.; Tang, J.; Xiao, Q.; Wang, J.; Cai, J.; et al. Crustal Structure and Rheology of the Longmenshan and Wenchuan Mw 7.9 Earthquake Epicentral Area from Magnetotelluric Data. Geology 2012, 40, 1139–1142. [Google Scholar] [CrossRef]
- Geller, R.J. Earthquake Prediction: A Critical Review. Geophys. J. Int. 1997, 131, 425–450. [Google Scholar] [CrossRef]
- Fidani, C.; Freund, F.; Grant, R. Cows Come Down from the Mountains before the (Mw = 6.1) Earthquake Colfiorito in September 1997; A Single Case Study. Animals 2014, 4, 292–312. [Google Scholar] [CrossRef] [PubMed]
- Fraser-Smith, A.C.; Bernardi, A.; McGill, P.R.; Ladd, M.E.; Helliwell, R.A.; Villard, O.G. Low-Frequency Magnetic Field Measurements near the Epicenter of the Ms 7.1 Loma Prieta Earthquake. Geophys. Res. Lett. 1990, 17, 1465–1468. [Google Scholar] [CrossRef]
- Piscini, A.; De Santis, A.; Marchetti, D.; Cianchini, G. A Multi-Parametric Climatological Approach to Study the 2016 Amatrice–Norcia (Central Italy) Earthquake Preparatory Phase. Pure Appl. Geophys. 2017, 174, 3673–3688. [Google Scholar] [CrossRef]
- Chen, H.; Han, P.; Hattori, K. Recent Advances and Challenges in the Seismo-Electromagnetic Study: A Brief Review. Remote Sens. 2022, 14, 5893. [Google Scholar] [CrossRef]
- Han, P.; Hattori, K.; Huang, Q.; Hirooka, S.; Yoshino, C. Spatiotemporal Characteristics of the Geomagnetic Diurnal Variation Anomalies Prior to the 2011 Tohoku Earthquake (Mw 9.0) and the Possible Coupling of Multiple Pre-Earthquake Phenomena. J. Asian Earth Sci. 2016, 129, 13–21. [Google Scholar] [CrossRef]
- Ouzounov, D.; Pulinets, S.; Davidenko, D.; Rozhnoi, A.; Solovieva, M.; Fedun, V.; Dwivedi, B.N.; Rybin, A.; Kafatos, M.; Taylor, P. Transient Effects in Atmosphere and Ionosphere Preceding the 2015 M7.8 and M7.3 Gorkha–Nepal Earthquakes. Front. Earth Sci. 2021, 9, 757358. [Google Scholar] [CrossRef]
- Fan, M.; Zhu, K.; De Santis, A.; Marchetti, D.; Cianchini, G.; Piscini, A.; He, X.; Wen, J.; Wang, T.; Zhang, Y.; et al. Analysis of Swarm Satellite Magnetic Field Data for the 2015 Mw 7.8 Nepal Earthquake Based on Nonnegative Tensor Decomposition. IEEE Trans. Geosci. Remote Sens. 2022, 60, 2006119. [Google Scholar] [CrossRef]
- Marchetti, D.; De Santis, A.; D’Arcangelo, S.; Poggio, F.; Piscini, A.; Campuzano, S.A.; De Carvalho, W.V.J.O. Pre-Earthquake Chain Processes Detected from Ground to Satellite Altitude in Preparation of the 2016–2017 Seismic Sequence in Central Italy. Remote Sens. Environ. 2019, 229, 93–99. [Google Scholar] [CrossRef]
- Marchetti, D.; De Santis, A.; Shen, X.; Campuzano, S.A.; Perrone, L.; Piscini, A.; Di Giovambattista, R.; Jin, S.; Ippolito, A.; Cianchini, G.; et al. Possible Lithosphere-Atmosphere-Ionosphere Coupling Effects Prior to the 2018 Mw = 7.5 Indonesia Earthquake from Seismic, Atmospheric and Ionospheric Data. J. Asian Earth Sci. 2020, 188, 104097. [Google Scholar] [CrossRef]
- De Santis, A.; Cianchini, G.; Marchetti, D.; Piscini, A.; Sabbagh, D.; Perrone, L.; Campuzano, S.A.; Inan, S. A Multiparametric Approach to Study the Preparation Phase of the 2019 M7.1 Ridgecrest (California, United States) Earthquake. Front. Earth Sci. 2020, 8, 540398. [Google Scholar] [CrossRef]
- De Santis, A.; Perrone, L.; Calcara, M.; Campuzano, S.A.; Cianchini, G.; D’Arcangelo, S.; Di Mauro, D.; Marchetti, D.; Nardi, A.; Orlando, M.; et al. A Comprehensive Multiparametric and Multilayer Approach to Study the Preparation Phase of Large Earthquakes from Ground to Space: The Case Study of the June 15 2019, M7.2 Kermadec Islands (New Zealand) Earthquake. Remote Sens. Environ. 2022, 283, 113325. [Google Scholar] [CrossRef]
- Marchetti, D.; Zhu, K.; Zhang, H.; Zhima, Z.; Yan, R.; Shen, X.; Chen, W.; Cheng, Y.; He, X.; Wang, T.; et al. Clues of Lithosphere, Atmosphere and Ionosphere Variations Possibly Related to the Preparation of La Palma 19 September 2021 Volcano Eruption. Remote Sens. 2022, 14, 5001. [Google Scholar] [CrossRef]
- Marchetti, D.; Zhu, K.; Yan, R.; ZeRen, Z.; Shen, X.; Chen, W.; Cheng, Y.; Fan, M.; Wang, T.; Wen, J.; et al. Ionospheric Effects of Natural Hazards in Geophysics: From Single Examples to Statistical Studies Applied to M5.5+ Earthquakes. In Proceedings of the 4th International Electronic Conference on Geosciences, Online, 1–15 December 2022; MDPI: Basel, Switzerland, 2022. [Google Scholar]
- D’Arcangelo, S.; Bonforte, A.; De Santis, A.; Maugeri, S.R.; Perrone, L.; Soldani, M.; Arena, G.; Brogi, F.; Calcara, M.; Campuzano, S.A.; et al. A Multi-Parametric and Multi-Layer Study to Investigate the Largest 2022 Hunga Tonga–Hunga Ha’apai Eruptions. Remote Sens. 2022, 14, 3649. [Google Scholar] [CrossRef]
- Hattori, K.; Han, P.; Yoshino, C.; Febriani, F.; Yamaguchi, H.; Chen, C.-H. Investigation of ULF Seismo-Magnetic Phenomena in Kanto, Japan During 2000–2010: Case Studies and Statistical Studies. Surv. Geophys. 2013, 34, 293–316. [Google Scholar] [CrossRef]
- Genzano, N.; Filizzola, C.; Hattori, K.; Pergola, N.; Tramutoli, V. Statistical Correlation Analysis Between Thermal Infrared Anomalies Observed From MTSATs and Large Earthquakes Occurred in Japan (2005–2015). J. Geophys. Res. Solid Earth 2021, 126, e2020JB020108. [Google Scholar] [CrossRef]
- Yan, R.; Parrot, M.; Pinçon, J.-L. Statistical Study on Variations of the Ionospheric Ion Density Observed by DEMETER and Related to Seismic Activities: Ionospheric Density and Seismic Activity. J. Geophys. Res. Space Phys. 2017, 122, 12421–12429. [Google Scholar] [CrossRef]
- Ouyang, X.Y.; Parrot, M.; Bortnik, J. ULF Wave Activity Observed in the Nighttime Ionosphere Above and Some Hours Before Strong Earthquakes. J. Geophys. Res. Space Phys. 2020, 125, e2020JA028396. [Google Scholar] [CrossRef]
- De Santis, A.; Marchetti, D.; Pavón-Carrasco, F.J.; Cianchini, G.; Perrone, L.; Abbattista, C.; Alfonsi, L.; Amoruso, L.; Campuzano, S.A.; Carbone, M.; et al. Precursory Worldwide Signatures of Earthquake Occurrences on Swarm Satellite Data. Sci. Rep. 2019, 9, 20287. [Google Scholar] [CrossRef] [PubMed]
- De Santis, A.; Marchetti, D.; Perrone, L.; Campuzano, S.A.; Cianchini, G.; Cesaroni, C.; Di Mauro, D.; Orlando, M.; Piscini, A.; Sabbagh, D.; et al. Statistical Correlation Analysis of Strong Earthquakes and Ionospheric Electron Density Anomalies as Observed by CSES-01. Il Nuovo Cim. C 2021, 44, 1–4. [Google Scholar] [CrossRef]
- He, Y.; Zhao, X.; Yang, D.; Wu, Y.; Li, Q. A Study to Investigate the Relationship between Ionospheric Disturbance and Seismic Activity Based on Swarm Satellite Data. Phys. Earth Planet. Inter. 2022, 323, 106826. [Google Scholar] [CrossRef]
- Marchetti, D.; De Santis, A.; Campuzano, S.A.; Zhu, K.; Soldani, M.; D’Arcangelo, S.; Orlando, M.; Wang, T.; Cianchini, G.; Di Mauro, D.; et al. Worldwide Statistical Correlation of Eight Years of Swarm Satellite Data with M5.5+ Earthquakes: New Hints about the Preseismic Phenomena from Space. Remote Sens. 2022, 14, 2649. [Google Scholar] [CrossRef]
- Liperovsky, V.A.; Pokhotelov, O.A.; Meister, C.-V.; Liperovskaya, E.V. Physical Models of Coupling in the Lithosphere-Atmosphere-Ionosphere System before Earthquakes. Geomagn. Aeron. 2008, 48, 795–806. [Google Scholar] [CrossRef]
- Molchanov, O.A.; Hayakawa, M. Generation of ULF Electromagnetic Emissions by Microfracturing. Geophys. Res. Lett. 1995, 22, 3091–3094. [Google Scholar] [CrossRef]
- Molchanov, O.A.; Hayakawa, M. On the Generation Mechanism of ULF Seismogenic Electromagnetic Emissions. Phys. Earth Planet. Inter. 1998, 105, 201–210. [Google Scholar] [CrossRef]
- Enomoto, Y. Coupled Interaction of Earthquake Nucleation with Deep Earth Gases: A Possible Mechanism for Seismo-Electromagnetic Phenomena. Geophys. J. Int. 2012, 191, 1210–1214. [Google Scholar] [CrossRef]
- Pulinets, S.; Ouzounov, D. Lithosphere–Atmosphere–Ionosphere Coupling (LAIC) Model–An Unified Concept for Earthquake Precursors Validation. J. Asian Earth Sci. 2011, 41, 371–382. [Google Scholar] [CrossRef]
- Pulinets, S.; Khachikyan, G. The Global Electric Circuit and Global Seismicity. Geosciences 2021, 11, 491. [Google Scholar] [CrossRef]
- Pulinets, S.; Ouzounov, D.; Karelin, A.; Boyarchuk, K. Earthquake Precursors in the Atmosphere and Ionosphere: New Concepts; Springer: Dordrecht, The Netherlands, 2022; ISBN 978-94-024-2170-5. [Google Scholar]
- Pulinets, S.; Ouzounov, D.; Karelin, A.; Davidenko, D. Lithosphere-Atmosphere-Ionosphere-Magnetosphere Coupling-A Concept for Pre-Earthquake Signals Generation. In Pre-Earthquake Processes: A Multidisciplinary Approach to Earthquake Prediction Studies; Geophysical Monograph Series; Ouzounov, D., Pulinets, S., Hattori, K., Taylor, P., Eds.; John Wiley & Sons, Inc.: Hoboken, NJ, USA, 2018; pp. 77–98. ISBN 978-1-119-15694-9. [Google Scholar]
- Hayakawa, M.; Kasahara, Y.; Nakamura, T.; Hobara, Y.; Rozhnoi, A.; Solovieva, M.; Molchanov, O.; Korepanov, V. Atmospheric Gravity Waves as a Possible Candidate for Seismo-Ionospheric Perturbations. J. Atmospheric Electr. 2011, 31, 129–140. [Google Scholar] [CrossRef]
- Freund, F. Pre-Earthquake Signals: Underlying Physical Processes. J. Asian Earth Sci. 2011, 41, 383–400. [Google Scholar] [CrossRef]
- Freund, F.; Ouillon, G.; Scoville, J.; Sornette, D. Earthquake Precursors in the Light of Peroxy Defects Theory: Critical Review of Systematic Observations. Eur. Phys. J. Spec. Top. 2021, 230, 7–46. [Google Scholar] [CrossRef]
- Han, P.; Hattori, K.; Hirokawa, M.; Zhuang, J.; Chen, C.-H.; Febriani, F.; Yamaguchi, H.; Yoshino, C.; Liu, J.-Y.; Yoshida, S. Statistical Analysis of ULF Seismomagnetic Phenomena at Kakioka, Japan, during 2001–2010: ULF seismo-magnetic phenomena at Kakioka. J. Geophys. Res. Space Phys. 2014, 119, 4998–5011. [Google Scholar] [CrossRef]
- Dobrovolsky, I.P.; Zubkov, S.I.; Miachkin, V.I. Estimation of the Size of Earthquake Preparation Zones. Pure Appl. Geophys. 1979, 117, 1025–1044. [Google Scholar] [CrossRef]
- Wiemer, S. A Software Package to Analyze Seismicity: ZMAP. Seismol. Res. Lett. 2001, 72, 373–382. [Google Scholar] [CrossRef]
- Wiemer, S. Minimum Magnitude of Completeness in Earthquake Catalogs: Examples from Alaska, the Western United States, and Japan. Bull. Seismol. Soc. Am. 2000, 90, 859–869. [Google Scholar] [CrossRef]
- Mignan, A. The Stress Accumulation Model: Accelerating Moment Release and Seismic Hazard. In Advances in Geophysics; Elsevier: Amsterdam, The Netherlands, 2008; Volume 49, pp. 67–201. ISBN 978-0-12-374231-5. [Google Scholar]
- Zhuang, J.; Vere-Jones, D.; Guan, H.; Ogata, Y.; Ma, L. Preliminary Analysis of Observations on the Ultra-Low Frequency Electric Field in the Beijing Region. Pure Appl. Geophys. 2005, 162, 1367–1396. [Google Scholar] [CrossRef]
- Fritsch, F.N.; Carlson, R.E. Monotone Piecewise Cubic Interpolation. SIAM J. Numer. Anal. 1980, 17, 238–246. [Google Scholar] [CrossRef]
- Alken, P.; Thébault, E.; Beggan, C.D.; Amit, H.; Aubert, J.; Baerenzung, J.; Bondar, T.N.; Brown, W.J.; Califf, S.; Chambodut, A.; et al. International Geomagnetic Reference Field: The Thirteenth Generation. Earth Planets Space 2021, 73, 49. [Google Scholar] [CrossRef]
- Akhoondzadeh, M.; De Santis, A.; Marchetti, D.; Piscini, A.; Cianchini, G. Multi Precursors Analysis Associated with the Powerful Ecuador (MW= 7.8) Earthquake of 16 April 2016 Using Swarm Satellites Data in Conjunction with Other Multi-Platform Satellite and Ground Data. Adv. Space Res. 2018, 61, 248–263. [Google Scholar] [CrossRef]
- Akhoondzadeh, M.; De Santis, A.; Marchetti, D.; Piscini, A.; Jin, S. Anomalous Seismo-LAI Variations Potentially Associated with the 2017 Mw = 7.3 Sarpol-e Zahab (Iran) Earthquake from Swarm Satellites, GPS-TEC and Climatological Data. Adv. Space Res. 2019, 64, 143–158. [Google Scholar] [CrossRef]
- Akhoondzadeh, M.; De Santis, A.; Marchetti, D.; Wang, T. Developing a Deep Learning-Based Detector of Magnetic, Ne, Te and TEC Anomalies from Swarm Satellites: The Case of Mw 7.1 2021 Japan Earthquake. Remote Sens. 2022, 14, 1582. [Google Scholar] [CrossRef]
- Gelaro, R.; McCarty, W.; Suárez, M.J.; Todling, R.; Molod, A.; Takacs, L.; Randles, C.A.; Darmenov, A.; Bosilovich, M.G.; Reichle, R.; et al. The Modern-Era Retrospective Analysis for Research and Applications, Version 2 (MERRA-2). J. Clim. 2017, 30, 5419–5454. [Google Scholar] [CrossRef] [PubMed]
- Piscini, A.; Marchetti, D.; De Santis, A. Multi-Parametric Climatological Analysis Associated with Global Significant Volcanic Eruptions During 2002–2017. Pure Appl. Geophys. 2019, 176, 3629–3647. [Google Scholar] [CrossRef]
- Shi, K.; Guo, J.; Zhang, Y.; Li, W.; Kong, Q.; Yu, T. Multi-Dimension and Multi-Channel Seismic-Ionospheric Coupling: Case Study of Mw 8.8 Concepcion Quake on 27 February 2010. Remote Sens. 2021, 13, 2724. [Google Scholar] [CrossRef]
- Liu, J.-Y.; Chao, C.-K. An Observing System Simulation Experiment for FORMOSAT-5/AIP Detecting Seismo-Ionospheric Precursors. Terr. Atmos. Ocean. Sci. 2017, 28, 117–127. [Google Scholar] [CrossRef]
- Perrone, L.; Korsunova, L.P.; Mikhailov, A.V. Ionospheric Precursors for Crustal Earthquakes in Italy. Ann. Geophys. 2010, 28, 941–950. [Google Scholar] [CrossRef]
- Bogdanov, V.; Gavrilov, V.; Pulinets, S.; Ouzounov, D. Responses to the Preparation of Strong Kamchatka Earth-Quakes in the Lithosphere–Atmosphere–Ionosphere System, Based on New Data from Integrated Ground and Iono-Spheric Monitoring. E3S Web Conf. 2020, 196, 03005. [Google Scholar] [CrossRef]
- Pedatella, N.M.; Yue, X.; Schreiner, W.S. An Improved Inversion for FORMOSAT-3/COSMIC Ionosphere Electron Density Profiles. J. Geophys. Res. Space Phys. 2015, 120, 8942–8953. [Google Scholar] [CrossRef]
- Bilitza, D.; Altadill, D.; Truhlik, V.; Shubin, V.; Galkin, I.; Reinisch, B.; Huang, X. International Reference Ionosphere 2016: From Ionospheric Climate to Real-time Weather Predictions. Space Weather. 2017, 15, 418–429. [Google Scholar] [CrossRef]
- Liu, Q.; Shen, X.; Zhang, J.; Li, M. Exploring the Abnormal Fluctuations of Atmospheric Aerosols before the 2008 Wenchuan and 2013 Lushan Earthquakes. Adv. Space Res. 2019, 63, 3768–3776. [Google Scholar] [CrossRef]
- Dai, X.; Liu, J.; Zhang, H. Application of AR Model in the Analysis of Preearthquake Ionospheric Anomalies. Math. Probl. Eng. 2015, 2015, 157184. [Google Scholar] [CrossRef]
- Sasmal, S.; Chowdhury, S.; Kundu, S.; Politis, D.Z.; Potirakis, S.M.; Balasis, G.; Hayakawa, M.; Chakrabarti, S.K. Pre-Seismic Irregularities during the 2020 Samos (Greece) Earthquake (M = 6.9) as Investigated from Multi-Parameter Approach by Ground and Space-Based Techniques. Atmosphere 2021, 12, 1059. [Google Scholar] [CrossRef]
- Ye, Q.; Singh, R.P.; He, A.; Ji, S.; Liu, C. Characteristic Behavior of Water Radon Associated with Wenchuan and Lushan Earthquakes along Longmenshan Fault. Radiat. Meas. 2015, 76, 44–53. [Google Scholar] [CrossRef]
- Ventura, G.; Di Giovambattista, R. Fluid Pressure, Stress Field and Propagation Style of Coalescing Thrusts from the Analysis of the 20 May 2012 M L 5.9 Emilia Earthquake (Northern Apennines, Italy): Propagation Style of Coalescing Thrusts. Terra Nova 2013, 25, 72–78. [Google Scholar] [CrossRef]
- Kuo, C.L.; Lee, L.C.; Huba, J.D. An Improved Coupling Model for the Lithosphere-Atmosphere-Ionosphere System. J. Geophys. Res. Space Phys. 2014, 119, 3189–3205. [Google Scholar] [CrossRef]
- Prokhorov, B.E.; Zolotov, O.V. Comment on “An Improved Coupling Model for the Lithosphere-Atmosphere-Ionosphere System” by Kuo et al. [2014]: COMMENTS ON “AN IMPROVED COUPLING...”. J. Geophys. Res. Space Phys. 2017, 122, 4865–4868. [Google Scholar] [CrossRef]
- Kuo, C.-L.; Lee, L.-C. Reply to Comment by B. E. Prokhorov and O. V. Zolotov on “An Improved Coupling Model for the Lithosphere-Atmosphere-Ionosphere System”: Reply to Comment. J. Geophys. Res. Space Phys. 2017, 122, 4869–4874. [Google Scholar] [CrossRef]
- Wu, L.; Qi, Y.; Mao, W.; Lu, J.; Ding, Y.; Peng, B.; Xie, B. Scrutinizing and Rooting the Multiple Anomalies of Nepal Earthquake Sequence in 2015 with the Deviation–Time–Space Criterion and Homologous Lithosphere–Coversphere–Atmosphere–Ionosphere Coupling Physics. Nat. Hazards Earth Syst. Sci. 2023, 23, 231–249. [Google Scholar] [CrossRef]
- Mogi, K. Sequential Occurrences of Recent Great Earthquakes. J. Phys. Earth 1968, 16, 30–36. [Google Scholar] [CrossRef]
- Console, R.; Carluccio, R.; Papadimitriou, E.; Karakostas, V. Synthetic Earthquake Catalogs Simulating Seismic Activity in the Corinth Gulf, Greece, Fault System: Corinth Earthquakes Simulations. J. Geophys. Res. Solid Earth 2015, 120, 326–343. [Google Scholar] [CrossRef]
- Marchetti, D.; Zhu, K.; Marchetti, L.; Zhang, Y.; Chen, W.; Cheng, Y.; Fan, M.; Wang, S.; Wang, T.; Wen, J.; et al. Quick Report on the ML = 3.3 on 1 January 2023 Guidonia (Rome, Italy) Earthquake: Evidence of a Seismic Acceleration. Remote Sens. 2023, 15, 942. [Google Scholar] [CrossRef]


























| Date and Time UT | Days with Respect to the EQ | hmF2 in the Dobrovolsky [km] | hmF2 in the Background [km] | Δ hmF2 | Local Time | Geomagnetic Indexes |
|---|---|---|---|---|---|---|
| 31 October 2012 13:08:24 | −170.5 | 202. 5 | 333.1 | −39.2% | 20:00 | Dst = 12 nT, ap = 4 nT, AE = 44 nT |
| 14 November 2012 14:47:09 | −156.4 | 372.8 | 294.6 | 26.6% | 21:39 | Dst = − 64nT, ap = 7 nT, AE = 83 nT |
| 24 December 2012 18:59:09 | −116.2 | 348.1 | 256.4 | 35.7% | 1:51 | Dst = 2 nT, ap = 2 nT, AE = 84 nT |
| 26 December 2012 18:14:25 | −114.2 | 334.4 | 250.5 | 33.5% | 1:06 | Dst = 7 nT, ap = 0 nT, AE = 17 nT |
| 14 February 2012 4:56:41 | −64.8 | 258.0 | 391.6 | -34.1% | 11:48 | Dst = −21 nT, ap = 18 nT, AE = 338 nT |
| Date | Days with Respect to the EQ | NeF2 in the Dobrovolsky [e−/cm3] | NeF2 in the Background [e−/cm3] | Δ NeF2 | Local Time | Geomagnetic Indexes |
| 31 October 2012 13:08:24 | −170.5 | 1.48 × 106 | 5.18 × 105 | 187% | 20:00 | Dst = 12 nT, ap = 4 nT, AE = 44 nT |
| 3 December 2012 11:13:45 | −137.5 | 9.13 × 105 | 2.54 × 105 | 260% | 18:05 | Dst = 8 nT, ap = 4 nT, AE = 35 nT |
| 11 December 2012 0:08:34 | −130.0 | 3.22 × 105 | 1.29 × 105 | 150% | 7:00 | Dst = 10 nT, ap = 5 nT, AE = 12 nT |
| 16 December 2012 8:28:51 | −124.6 | 2.35 × 106 | 7.22 × 105 | 226% | 15:20 | Dst = −7 nT, ap = 6 nT, AE = 239 nT |
| 31 December 2012 23:49:33 | −109.0 | 3.06 × 105 | 7.57 × 104 | 304% | 6:41 | Dst = 8 nT, ap = 2 nT, AE = 26 nT |
Disclaimer/Publisher’s Note: The statements, opinions and data contained in all publications are solely those of the individual author(s) and contributor(s) and not of MDPI and/or the editor(s). MDPI and/or the editor(s) disclaim responsibility for any injury to people or property resulting from any ideas, methods, instructions or products referred to in the content. |
© 2023 by the authors. Licensee MDPI, Basel, Switzerland. This article is an open access article distributed under the terms and conditions of the Creative Commons Attribution (CC BY) license (https://creativecommons.org/licenses/by/4.0/).
Share and Cite
Zhang, Y.; Wang, T.; Chen, W.; Zhu, K.; Marchetti, D.; Cheng, Y.; Fan, M.; Wang, S.; Wen, J.; Zhang, D.; et al. Are There One or More Geophysical Coupling Mechanisms before Earthquakes? The Case Study of Lushan (China) 2013. Remote Sens. 2023, 15, 1521. https://doi.org/10.3390/rs15061521
Zhang Y, Wang T, Chen W, Zhu K, Marchetti D, Cheng Y, Fan M, Wang S, Wen J, Zhang D, et al. Are There One or More Geophysical Coupling Mechanisms before Earthquakes? The Case Study of Lushan (China) 2013. Remote Sensing. 2023; 15(6):1521. https://doi.org/10.3390/rs15061521
Chicago/Turabian StyleZhang, Yiqun, Ting Wang, Wenqi Chen, Kaiguang Zhu, Dedalo Marchetti, Yuqi Cheng, Mengxuan Fan, Siyu Wang, Jiami Wen, Donghua Zhang, and et al. 2023. "Are There One or More Geophysical Coupling Mechanisms before Earthquakes? The Case Study of Lushan (China) 2013" Remote Sensing 15, no. 6: 1521. https://doi.org/10.3390/rs15061521
APA StyleZhang, Y., Wang, T., Chen, W., Zhu, K., Marchetti, D., Cheng, Y., Fan, M., Wang, S., Wen, J., Zhang, D., & Zhang, H. (2023). Are There One or More Geophysical Coupling Mechanisms before Earthquakes? The Case Study of Lushan (China) 2013. Remote Sensing, 15(6), 1521. https://doi.org/10.3390/rs15061521

