Assessing the Performance of a Handheld Laser Scanning System for Individual Tree Mapping—A Mixed Forests Showcase in Spain
Abstract
1. Introduction
2. Materials and Methods
2.1. Study Area and Tree-Level Inventory Data
2.2. Handheld Laser Scanning (HLS)
2.3. Point Cloud Post-Processing Using Forest Structural Complexity Tool
2.4. Airborne Laser Scanning Data for Tree Height Validation
2.5. Validation of HLS & FSCT Performance
3. Results
3.1. Point Cloud Data Pre-Processing
3.2. Consistency in Point Cloud Density
3.3. Omission and Commission Errors
3.4. Estimation of Diameter at Breast Height
3.5. Estimation of Tree Height
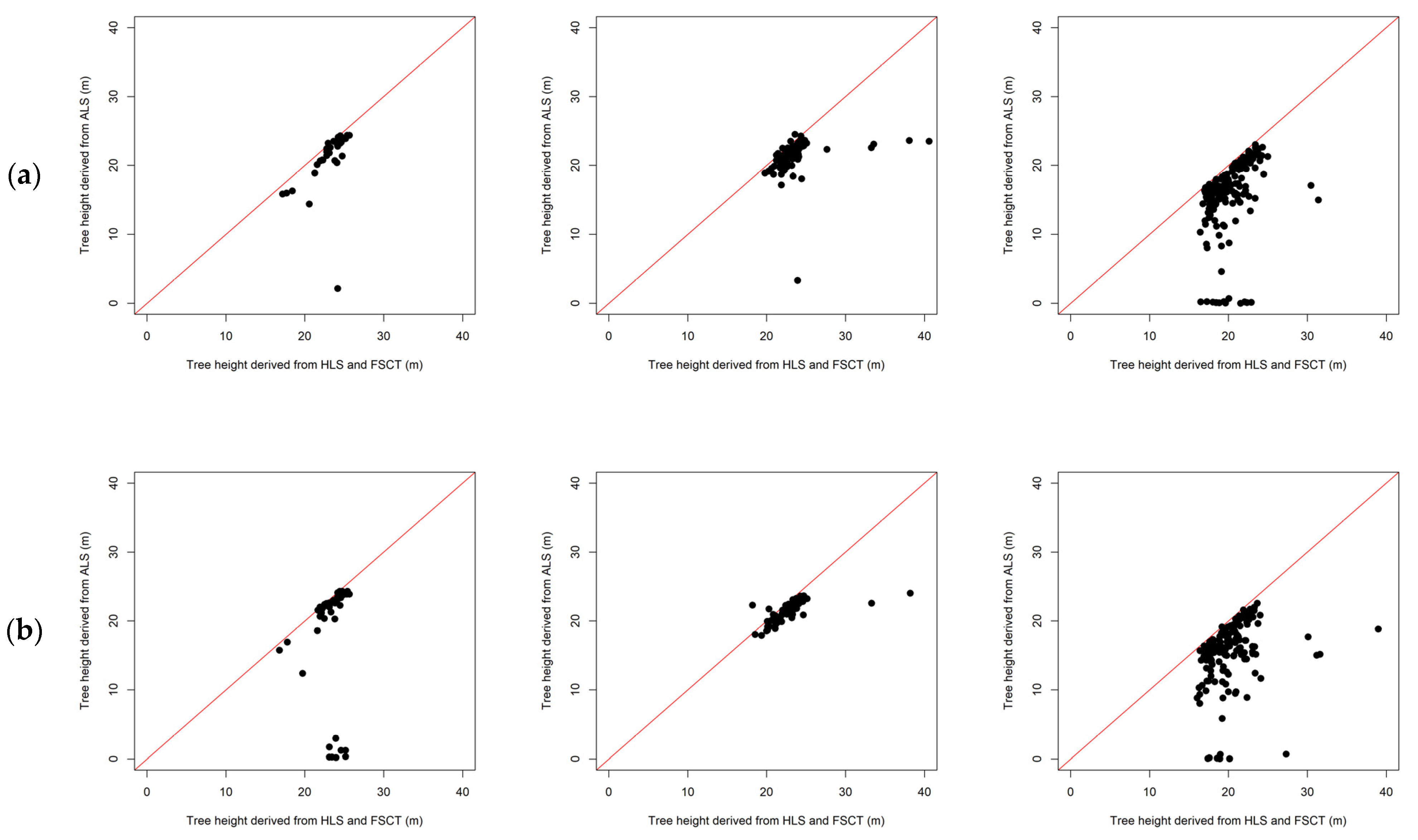
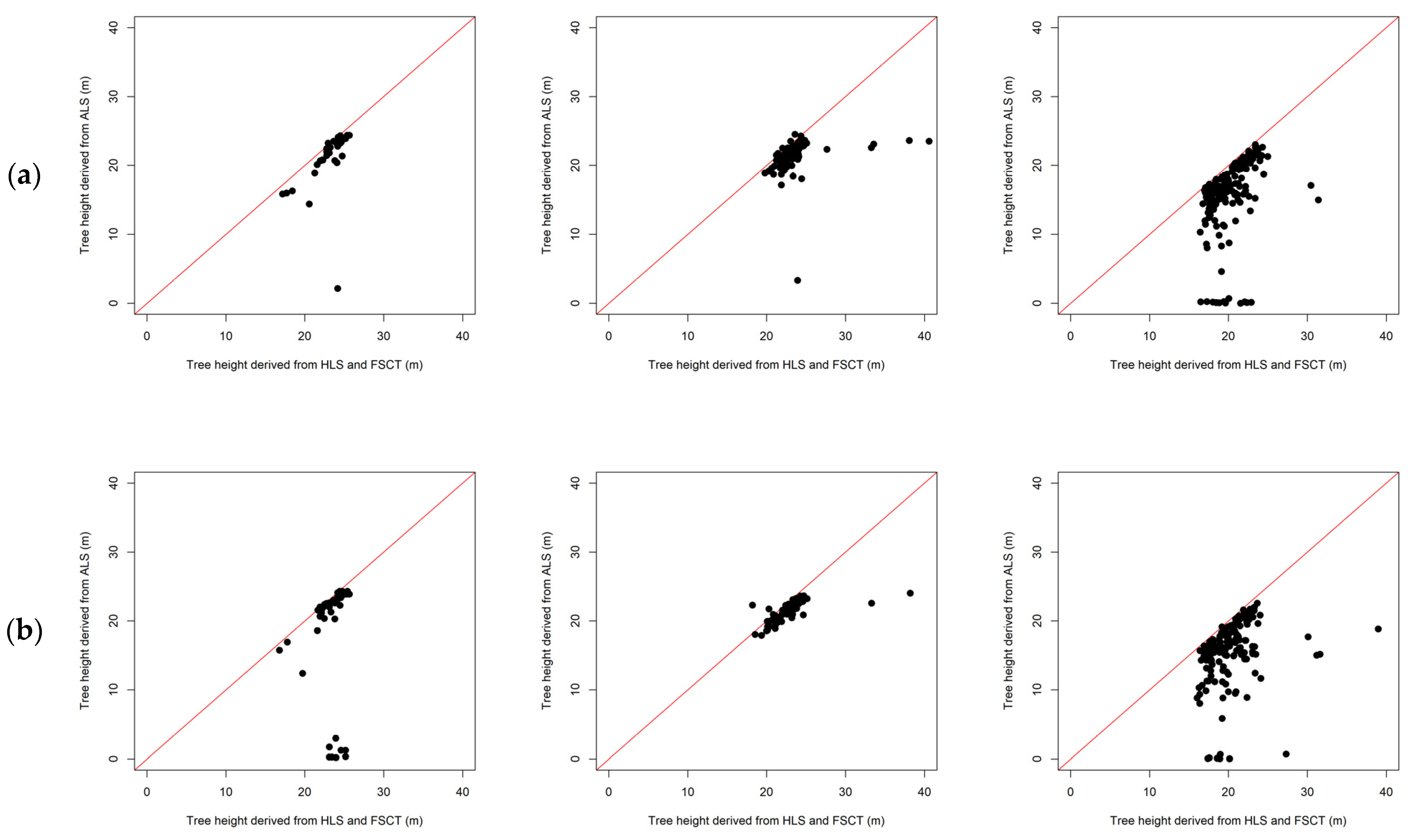
3.6. Airborne Laser Data to Assess HLS Tree Heights
4. Discussion
5. Conclusions
Author Contributions
Funding
Data Availability Statement
Conflicts of Interest
Appendix A
| Region | Sensor | Formations | Number of Plots | Tree Detection, Producer’s Accuracy | Variable | Bias | Accuracy of Extended Attributes | Ref |
|---|---|---|---|---|---|---|---|---|
| (Commission, Omission) | (in Unit for Each Variable) | (RMSE, rRMSE) | ||||||
| Belgium | ZEB1 | B: broadleaveC: Coniferous M: mixed | 10 (15 m diameter) | 90% ± 12% | DBH | 0.08 | 1.11 (4.1%) | [2] |
| −21% | ||||||||
| Germany | Riegl VMX-250 | Mixed forest | 2 (radius 12.62 m) | Plot 3 87.5% | DBH | 3.7 | [13] | |
| Plot 2 (100%, 49) | CPA | underest. | 2.2 m2 | |||||
| V | underest. | 0.4 m3 and 0.6 m3 | ||||||
| Spain | ZEB-REVO | P. pinea and Platanus hispanica | 1 (1 ha), 277 trees | - | DBH | −0.1 | 1.1 | [62] |
| H | 0.94 | 1.34 | ||||||
| Pinus sylvestris | 1 (0.5 ha) | - | DBH | −0.1 | 0.9 | |||
| H | −9 | 9.44 | ||||||
| Italy | ZEB1 | Mediterranean multi-layered forest | 1 (r = 13 m) | 100% | DBH | −0.38 | 1.28 | [29] |
| H | −4.61 | 2.15 | ||||||
| CBH | 1.67 | 1.91 | ||||||
| CPA | 0.25 | 0.59 | ||||||
| Norway | ZEB1 | Picea abies P. sylvestris, Betula pubescens | 7 (500 m2, 335) | 74% (4.8%, 26%) | DBH | 0.3 | 3.1 (14.3%) | [31] |
| China | ZEB-REVORT | Styphnolobium japonicum | 1 rectangular (300 m2, 30 trees) | 93.3% (6.1%) | DBH | −1.26 | 1.58 (11.8%) | [14] |
| Italy | ZEB1 | Pure culture stand; Castanea sativa | 3 circular plots | 93% (6% omission) | DBH | −0.22 | 2.5 cm | [16] |
| (r = 30 m, 98 trees) | H (<10–20 m) | 0.16 | 0.67 (6.52%) | |||||
| CBH | −0.14 | 0.30 (11.12%) | ||||||
| H | 4.026 | 4.026 | ||||||
| Austria | ZEB-HORIZON | broadleaved, coniferous, mixed) | 20 circular(r = 20 m) | 96% (0.62, 1.62%) | DBH | 0.21 | 2.32 (12.01%) | [11] |
| Finland | ZEB-HORIZON | Boreal, coniferousdominated, mixed stands | sparse | Plot1 | DBH | −0.39 and −1.44 | 0.9 (3.5%) and 1.3 (4.2%) | [17] |
| (32 × 32 m, 42 trees) | 87.5% | H | −0.16 and −1.1 | 0.4 (1.6%) and 1.4 (5.7%) | ||||
| Obstructed stand (32 × 3 2 m, 43 trees) | Plot 2 100% | V | 37 dm3 and 5 dm3 | 71 dm3 (11.5%) and 81 dm3 (8.9%) | ||||
| U.S. | ZEB-HORIZON | Pinus ponderosa | 12 circular plots (0.04 ha, 209 trees) | 94.7% (8.5%, 1.8%) | DBH | overestimation | 4.8 (25.9%) | [41] |
| H | overestimation | 1.3 (14.2%) | ||||||
| Italy | Kaarta Stencil 2.1 | Pinus nigra | 0.5 ha 50 trees | - | DBH | 0.01 | 10.8% | [21] |
| CBH | −1.48 | 13.9% | ||||||
| H | −1.2 | 14.7% | ||||||
| Italy | ZEB-HORIZON | Mixed forest | 20 plots (r = 15.20, 25 m) | - | DBH | 2.401 | 3.52 | [9] |
Appendix B

References
- Maltamo, M.; Næsset, E.; Vauhkonen, J. (Eds.) Forestry Applications of Airborne Laser Scanning: Concepts and Case Studies; Managing Forest Ecosystems; Springer: Dordrecht, The Netherlands, 2014; Volume 27, ISBN 978-94-017-8662-1. [Google Scholar]
- Bauwens, S.; Bartholomeus, H.; Calders, K.; Lejeune, P. Forest Inventory with Terrestrial LiDAR: A Comparison of Static and Hand-Held Mobile Laser Scanning. Forests 2016, 7, 127. [Google Scholar] [CrossRef]
- Maas, H.-G.; Bienert, A.; Scheller, S.; Keane, E. Automatic Forest Inventory Parameter Determination from Terrestrial Laser Scanner Data. Int. J. Remote Sens. 2008, 29, 1579–1593. [Google Scholar] [CrossRef]
- Liang, X.; Litkey, P.; Hyyppa, J.; Kaartinen, H.; Vastaranta, M.; Holopainen, M. Automatic Stem Mapping Using Single-Scan Terrestrial Laser Scanning. IEEE Trans. Geosci. Remote Sens. 2012, 50, 661–670. [Google Scholar] [CrossRef]
- Almeida, A.; Gonçalves, F.; Silva, G.; Mendonça, A.; Gonzaga, M.; Silva, J.; Souza, R.; Leite, I.; Neves, K.; Boeno, M.; et al. Individual Tree Detection and Qualitative Inventory of a Eucalyptus Sp. Stand Using UAV Photogrammetry Data. Remote Sens. 2021, 13, 3655. [Google Scholar] [CrossRef]
- Persson, H.J.; Olofsson, K.; Holmgren, J. Two-Phase Forest Inventory Using Very-High-Resolution Laser Scanning. Remote Sens. Environ. 2022, 271, 112909. [Google Scholar] [CrossRef]
- Calders, K. Terrestrial Laser Scanning for Forest Monitoring. PhD Thesis, Wageningen University, Wageningen, NL, USA, 2015. [Google Scholar] [CrossRef]
- Liang, X.; Hyyppä, J.; Kaartinen, H.; Lehtomäki, M.; Pyörälä, J.; Pfeifer, N.; Holopainen, M.; Brolly, G.; Francesco, P.; Hackenberg, J.; et al. International Benchmarking of Terrestrial Laser Scanning Approaches for Forest Inventories. ISPRS J. Photogramm. Remote Sens. 2018, 144, 137–179. [Google Scholar] [CrossRef]
- Sofia, S.; Maetzke, F.G.; Crescimanno, M.; Coticchio, A.; La Mela Veca, D.S.; Galati, A. The Efficiency of LiDAR HMLS Scanning in Monitoring Forest Structure Parameters: Implications for Sustainable Forest Management. EuroMed J. Bus. 2022, 17, 350–373. [Google Scholar] [CrossRef]
- Gollob, C.; Ritter, T.; Nothdurft, A. Forest Inventory with Long Range and High-Speed Personal Laser Scanning (PLS) and Simultaneous Localization and Mapping (SLAM) Technology. Remote Sens. 2020, 12, 1509. [Google Scholar] [CrossRef]
- Gollob, C.; Ritter, T.; Nothdurft, A. Comparison of 3D Point Clouds Obtained by Terrestrial Laser Scanning and Personal Laser Scanning on Forest Inventory Sample Plots. Data 2020, 5, 103. [Google Scholar] [CrossRef]
- 12. Liang, X.; Kukko, A.; Balenovic, I.; Saarinen, N.; Junttila, S.; Kankare, V.; Holopainen, M.; Mokros, M.; Surovy, P.; Kaartinen, H.; et al. Close-Range Remote Sensing of Forests: The State of the Art, Challenges, and Opportunities for Systems and Data Acquisitions. IEEE Trans. Geosci. Remote Sens. 2022, 10, 32–71. [Google Scholar] [CrossRef]
- Bienert, A.; Georgi, L.; Kunz, M.; Maas, H.-G.; von Oheimb, G. Comparison and Combination of Mobile and Terrestrial Laser Scanning for Natural Forest Inventories. Forests 2018, 9, 395. [Google Scholar] [CrossRef]
- Chen, S.; Liu, H.; Feng, Z.; Shen, C.; Chen, P. Applicability of Personal Laser Scanning in Forestry Inventory. PLoS ONE 2019, 14, e0211392. [Google Scholar] [CrossRef] [PubMed]
- Balenović, I.; Liang, X.; Jurjević, L.; Hyyppä, J.; Seletković, A.; Kukko, A. Hand-Held Personal Laser Scanning: Current Status and Perspectives for Forest Inventory Application. Croat. J. For. Eng. 2021, 42, 165–183. [Google Scholar] [CrossRef]
- Del Perugia, B.; Giannetti, F.; Chirici, G.; Travaglini, D. Influence of Scan Density on the Estimation of Single-Tree Attributes by Hand-Held Mobile Laser Scanning. Forests 2019, 10, 277. [Google Scholar] [CrossRef]
- Hyyppä, E.; Yu, X.; Kaartinen, H.; Hakala, T.; Kukko, A.; Vastaranta, M.; Hyyppä, J. Comparison of Backpack, Handheld, Under-Canopy UAV, and Above-Canopy UAV Laser Scanning for Field Reference Data Collection in Boreal Forests. Remote Sens. 2020, 12, 3327. [Google Scholar] [CrossRef]
- Fan, Y.; Feng, Z.; Mannan, A.; Khan, T.; Shen, C.; Saeed, S. Estimating Tree Position, Diameter at Breast Height, and Tree Height in Real-Time Using a Mobile Phone with RGB-D SLAM. Remote Sens. 2018, 10, 1845. [Google Scholar] [CrossRef]
- Wang, Y.; Lehtomäki, M.; Liang, X.; Pyörälä, J.; Kukko, A.; Jaakkola, A.; Liu, J.; Feng, Z.; Chen, R.; Hyyppä, J. Is Field-Measured Tree Height as Reliable as Believed—A Comparison Study of Tree Height Estimates from Field Measurement, Airborne Laser Scanning and Terrestrial Laser Scanning in a Boreal Forest. ISPRS J. Photogramm. Remote Sens. 2019, 147, 132–145. [Google Scholar] [CrossRef]
- Davison, S.; Donoghue, D.N.M.; Galiatsatos, N. The Effect of Leaf-on and Leaf-off Forest Canopy Conditions on LiDAR Derived Estimations of Forest Structural Diversity. Int. J. Appl. Earth Obs. Geoinf. 2020, 92, 102160. [Google Scholar] [CrossRef]
- Chiappini, S.; Pierdicca, R.; Malandra, F.; Tonelli, E.; Malinverni, E.S.; Urbinati, C.; Vitali, A. Comparing Mobile Laser Scanner and Manual Measurements for Dendrometric Variables Estimation in a Black Pine (Pinus Nigra Arn.) Plantation. Comput. Electron. Agric. 2022, 198, 107069. [Google Scholar] [CrossRef]
- Pretzsch, H. Forest Dynamics, Growth and Yield: From Measurement to Model; Springer: Berlin/Heidelberg, Germany, 2009; ISBN 978-3-540-88306-7. [Google Scholar]
- Bravo-Oviedo, A.; Pretzsch, H.; Ammer, C.; Andenmatten, E.; Barbati, A.; Barreiro, S.; Brang, P.; Bravo, F.; Coll, L.; Corona, P.; et al. European Mixed Forests: Definition and Research Perspectives. For. Syst. 2014, 23, 518. [Google Scholar] [CrossRef]
- Bravo, F.; Fabrika, M.; Ammer, C.; Barreiro, S.; Bielak, K.; Coll, L.; Fonseca, T.; Kangur, A.; Löf, M.; Merganičová, K.; et al. Modelling Approaches for Mixed Forests Dynamics Prognosis. Research Gaps and Opportunities. For. Syst. 2019, 28, eR002. [Google Scholar] [CrossRef]
- López-Marcos, D.; Turrión, M.-B.; Bravo, F.; Martínez-Ruiz, C. Understory Response to Overstory and Soil Gradients in Mixed versus Monospecific Mediterranean Pine Forests. Eur. J. For. Res. 2019, 138, 939–955. [Google Scholar] [CrossRef]
- Oveland, I.; Hauglin, M.; Gobakken, T.; Næsset, E.; Maalen-Johansen, I. Automatic Estimation of Tree Position and Stem Diameter Using a Moving Terrestrial Laser Scanner. Remote Sens. 2017, 9, 350. [Google Scholar] [CrossRef]
- Sibona, E.; Vitali, A.; Meloni, F.; Caffo, L.; Dotta, A.; Lingua, E.; Motta, R.; Garbarino, M. Direct Measurement of Tree Height Provides Different Results on the Assessment of LiDAR Accuracy. Forests 2016, 8, 7. [Google Scholar] [CrossRef]
- Chudá, J.; Kadlečík, R.; Mokroš, M.; Mikita, T.; Tuček, J.; Chudý, F. Slam and ins based positional accuracy assessment of natural and artificial objects under the forest canopy. Int. Arch. Photogramm. Remote Sens. Spat. Inf. Sci. 2022, 43, 197–205. [Google Scholar] [CrossRef]
- Giannetti, F.; Puletti, N.; Quatrini, V.; Travaglini, D.; Bottalico, F.; Corona, P.; Chirici, G. Integrating Terrestrial and Airborne Laser Scanning for the Assessment of Single-Tree Attributes in Mediterranean Forest Stands. Eur. J. Remote Sens. 2018, 51, 795–807. [Google Scholar] [CrossRef]
- Fan, W.; Liu, H.; Xu, Y.; Lin, W. Comparison of Estimation Algorithms for Individual Tree Diameter at Breast Height Based on Hand-Held Mobile Laser Scanning. Scand. J. For. Res. 2021, 36, 460–473. [Google Scholar] [CrossRef]
- Oveland, I.; Hauglin, M.; Giannetti, F.; Schipper Kjørsvik, N.; Gobakken, T. Comparing Three Different Ground Based Laser Scanning Methods for Tree Stem Detection. Remote Sens. 2018, 10, 538. [Google Scholar] [CrossRef]
- Krisanski, S.; Taskhiri, M.S.; Gonzalez Aracil, S.; Herries, D.; Muneri, A.; Gurung, M.B.; Montgomery, J.; Turner, P. Forest Structural Complexity Tool—An Open Source, Fully-Automated Tool for Measuring Forest Point Clouds. Remote Sens. 2021, 13, 4677. [Google Scholar] [CrossRef]
- Schuck, A.; Kraus, D.; Krumm, F.; Held, A.; Schmitt, H. Integrate+ Marteloscopes—Calibrating Silvicultural Decision Making; Integrate+ Technical Paper; European Forest Institute: Barcelona, Spain, 2015; p. 12. [Google Scholar]
- Pretzsch, H.; Zenner, E.K. Toward Managing Mixed-Species Stands: From Parametrization to Prescription. For. Ecosyst. 2017, 4, 19. [Google Scholar] [CrossRef]
- MITECO 4rd Spanish National Forest Inventory in Extremadura.: Ministerio Para La Transición Ecológica y El Reto Demográfico 2020. Available online: https://www.miteco.gob.es/es/biodiversidad/temas/inventarios-nacionales/inventario-forestal-nacional/cuarto_inventario.aspx (accessed on 10 December 2022).
- Erdody, T.L.; Moskal, L.M. Fusion of LiDAR and Imagery for Estimating Forest Canopy Fuels. Remote Sens. Environ. 2010, 114, 725–737. [Google Scholar] [CrossRef]
- Andersen, H.-E.; Reutebuch, S.E.; McGaughey, R.J. A Rigorous Assessment of Tree Height Measurements Obtained Using Airborne Lidar and Conventional Field Methods. Can. J. Remote Sens. 2006, 32, 355–366. [Google Scholar] [CrossRef]
- Roussel, J.-R.; Auty, D.; Coops, N.C.; Tompalski, P.; Goodbody, T.R.H.; Meador, A.S.; Bourdon, J.-F.; de Boissieu, F.; Achim, A. LidR: An R Package for Analysis of Airborne Laser Scanning (ALS) Data. Remote Sens. Environ. 2020, 251, 112061. [Google Scholar] [CrossRef]
- R Core Team. R: A Language and Environment for Statistical Computing; R Core Team: Vienna, Austria, 2022. [Google Scholar]
- Tockner, A.; Gollob, C.; Kraßnitzer, R.; Ritter, T.; Nothdurft, A. Automatic Tree Crown Segmentation Using Dense Forest Point Clouds from Personal Laser Scanning (PLS). Int. J. Appl. Earth Obs. Geoinf. 2022, 114, 103025. [Google Scholar] [CrossRef]
- Donager, J.J.; Sánchez Meador, A.J.; Blackburn, R.C. Adjudicating Perspectives on Forest Structure: How Do Airborne, Terrestrial, and Mobile Lidar-Derived Estimates Compare? Remote Sens. 2021, 13, 2297. [Google Scholar] [CrossRef]
- Kükenbrink, D.; Marty, M.; Bösch, R.; Ginzler, C. Benchmarking Laser Scanning and Terrestrial Photogrammetry to Extract Forest Inventory Parameters in a Complex Temperate Forest. Int. J. Appl. Earth Obs. Geoinf. 2022, 113, 102999. [Google Scholar] [CrossRef]
- Krisanski, S.; Taskhiri, M.S.; Gonzalez Aracil, S.; Herries, D.; Turner, P. Sensor Agnostic Semantic Segmentation of Structurally Diverse and Complex Forest Point Clouds Using Deep Learning. Remote Sens. 2021, 13, 1413. [Google Scholar] [CrossRef]
- Ester, M.; Kriegel, H.-P.; Xu, X. A Density-Based Algorithm for Discovering Clusters in Large Spatial Databases with Noise. kdd 1996, 96, 226–231. [Google Scholar]
- Hyyppä, E.; Kukko, A.; Kaijaluoto, R.; White, J.C.; Wulder, M.A.; Pyörälä, J.; Liang, X.; Yu, X.; Wang, Y.; Kaartinen, H.; et al. Accurate Derivation of Stem Curve and Volume Using Backpack Mobile Laser Scanning. ISPRS J. Photogramm. Remote Sens. 2020, 161, 246–262. [Google Scholar] [CrossRef]
- Guerra-Hernández, J.; Botequim, B.; Bujan, S.; Jurado-Varela, A.; Molina-Valero, J.A.; Martínez-Calvo, A.; Pérez-Cruzado, C. Interpreting the Uncertainty of Model-Based and Design-Based Estimation in Downscaling Estimates from NFI Data: A Case-Study in Extremadura (Spain). GIScience Remote Sens. 2022, 59, 686–704. [Google Scholar] [CrossRef]
- rapidlasso GmbH. “LAStools—Efficient LiDAR Processing Software”, version 141017, commercial; rapidlasso GmbH: Gilching, Germany. Available online: http://rapidlasso.com/LAStools (accessed on 18 January 2023).
- Pascual, A. Using Tree Detection Based on Airborne Laser Scanning to Improve Forest Inventory Considering Edge Effects and the Co-Registration Factor. Remote Sens. 2019, 11, 2675. [Google Scholar] [CrossRef]
- Ryding, J.; Williams, E.; Smith, M.J.; Eichhorn, M.P. Assessing Handheld Mobile Laser Scanners for Forest Surveys. Remote Sens. 2015, 7, 1095–1111. [Google Scholar] [CrossRef]
- Holopainen, M.; Kankare, V.; Vastaranta, M.; Liang, X.; Lin, Y.; Vaaja, M.; Yu, X.; Hyyppä, J.; Hyyppä, H.; Kaartinen, H.; et al. Tree Mapping Using Airborne, Terrestrial and Mobile Laser Scanning—A Case Study in a Heterogeneous Urban Forest. Urban For. Urban Green. 2013, 12, 546–553. [Google Scholar] [CrossRef]
- Luoma, V.; Saarinen, N.; Wulder, M.; White, J.; Vastaranta, M.; Holopainen, M.; Hyyppä, J. Assessing Precision in Conventional Field Measurements of Individual Tree Attributes. Forests 2017, 8, 38. [Google Scholar] [CrossRef]
- Tong, Q.J.; Zhang, S.Y. Stem Form Variations in the Natural Stands of Major Commercial Softwoods in Eastern Canada. For. Ecol. Manag. 2008, 256, 1303–1310. [Google Scholar] [CrossRef]
- Witzmann, S.; Matitz, L.; Gollob, C.; Ritter, T.; Kraßnitzer, R.; Tockner, A.; Stampfer, K.; Nothdurft, A. Accuracy and Precision of Stem Cross-Section Modeling in 3D Point Clouds from TLS and Caliper Measurements for Basal Area Estimation. Remote Sens. 2022, 14, 1923. [Google Scholar] [CrossRef]
- Liang, X.; Kankare, V.; Hyyppä, J.; Wang, Y.; Kukko, A.; Haggrén, H.; Yu, X.; Kaartinen, H.; Jaakkola, A.; Guan, F.; et al. Terrestrial Laser Scanning in Forest Inventories. ISPRS J. Photogramm. Remote Sens. 2016, 115, 63–77. [Google Scholar] [CrossRef]
- Hyyppä, J.; Hyyppä, H.; Leckie, D.; Gougeon, F.; Yu, X.; Maltamo, M. Review of Methods of Small-footprint Airborne Laser Scanning for Extracting Forest Inventory Data in Boreal Forests. Int. J. Remote Sens. 2008, 29, 1339–1366. [Google Scholar] [CrossRef]
- Gonçalves-Seco, L.; González-Ferreiro, E.; Diéguez-Aranda, U.; Fraga-Bugallo, B.; Crecente, R.; Miranda, D. Assessing the Attributes of High-Density Eucalyptus Globulus Stands Using Airborne Laser Scanner Data. Int. J. Remote Sens. 2011, 32, 9821–9841. [Google Scholar] [CrossRef]
- Roussel, J.-R.; Caspersen, J.; Béland, M.; Thomas, S.; Achim, A. Removing Bias from LiDAR-Based Estimates of Canopy Height: Accounting for the Effects of Pulse Density and Footprint Size. Remote Sens. Environ. 2017, 198, 1–16. [Google Scholar] [CrossRef]
- Comesaña-Cebral, L.; Martínez-Sánchez, J.; Lorenzo, H.; Arias, P. Individual Tree Segmentation Method Based on Mobile Backpack LiDAR Point Clouds. Sensors 2021, 21, 6007. [Google Scholar] [CrossRef] [PubMed]
- Seidel, D.; Ammer, C. Efficient Measurements of Basal Area in Short Rotation Forests Based on Terrestrial Laser Scanning under Special Consideration of Shadowing. IForest—Biogeosci. For. 2014, 7, 227–232. [Google Scholar] [CrossRef]
- Guerra-Hernández, J.; Arellano-Pérez, S.; González-Ferreiro, E.; Pascual, A.; Sandoval Altelarrea, V.; Ruiz-González, A.D.; Álvarez-González, J.G. Developing a Site Index Model for P. Pinaster Stands in NW Spain by Combining Bi-Temporal ALS Data and Environmental Data. For. Ecol. Manag. 2021, 481, 118690. [Google Scholar] [CrossRef]
- Pascual, A. Building Pareto Frontiers under Tree-Level Forest Planning Using Airborne Laser Scanning, Growth Models and Spatial Optimization. For. Policy Econ. 2021, 128, 102475. [Google Scholar] [CrossRef]
- Cabo, C.; Del Pozo, S.; Rodríguez-Gonzálvez, P.; Ordóñez, C.; González-Aguilera, D. Comparing Terrestrial Laser Scanning (TLS) and Wearable Laser Scanning (WLS) for Individual Tree Modeling at Plot Level. Remote Sens. 2018, 10, 540. [Google Scholar] [CrossRef]













| Variable | Quercus pyrenaica (Qp) | Pinus pinaster (Pp) | Alnus glutinosa (Ag) |
|---|---|---|---|
| Number of trees | 257 | 111 | 65 |
| Tree height (H, m) | 4.70–25.80 | 6.70–26.00 | 6.90–26.80 |
| Mean tree height (Hmean, m) | 16.99 | 21.99 | 21.75 |
| DBH (cm) | 7.05–48.40 | 6.25–65.90 | 18.20–58.15 |
| QMD (cm) | 24.0 | 44.9 | 36.6 |
| Stand basal area (G, m2 ha−1) | 11.20 | 17.30 | 6.40 |
| Tree volume (V, m3) | 0.046–1.273 | 0.032–3.20 | 0.074–2.03 |
| Total volume (m3 ha−1) | 76.9 | 159.4 | 50.3 |
| Scan ID | Points (106) | Length (m) | Scan Time | Transform. Method | File Size (Gb) | Processing Time | Trans. Error (m) |
|---|---|---|---|---|---|---|---|
| Scan 01 | 141.85 | 632.4 | 00:15:57 | Rigid | 1.19 | 00:15:12 | 2.00 |
| None-Rigid | 1.29 | 00:36:46 | 0.25 | ||||
| Scan 02 | 198.42 | 916.1 | 00:22:23 | Rigid | 1.67 | 00:21:39 | 0.47 |
| None-Rigid | 1.74 | 00:47:24 | 0.36 |
| Subplot | Scan 01 | Scan 02 | ||
|---|---|---|---|---|
| None-Rigid | Rigid | None-Rigid | Rigid | |
| Mean | 7179.09 | 6680.26 | 11,184.15 | 11,175.00 |
| SD | 1818.21 | 1905.85 | 2519.52 | 2586.24 |
| Section | Scan 01 | Scan 02 | ||
|---|---|---|---|---|
| None-Rigid | Rigid | None-Rigid | Rigid | |
| Measured trees | 433 | 433 | 433 | 433 |
| Detected Tree | 509 | 316 | 407 | 426 |
| Number of matching pairs | 318 | 306 | 394 | 412 |
| False detected trees | 191 | 10 | 13 | 14 |
| Undetected trees | 115 | 127 | 39 | 21 |
| Commission errors (%) | 37.5% | 3.2% | 3.2% | 3.3% |
| Omission errors (%) | 26.6% | 29.3% | 9.0% | 4.8% |
| Overall accuracy (%) | 51% | 69% | 88% | 92% |
| Scan | Transformation Mode | Species | n | R2 | RMSE (cm) | RMSE (%) |
|---|---|---|---|---|---|---|
| Scan 01 | Rigid | Ag | 34 | 0.070 | 7.848 | 22.229 |
| Qp | 96 | 0.431 | 7.142 | 16.279 | ||
| Pp | 169 | 0.302 | 5.992 | 25.922 | ||
| None-Rigid | Ag | 54 | 0.868 | 3.339 | 9.451 | |
| Pp | 74 | 0.837 | 3.818 | 8.723 | ||
| Qp | 156 | 0.965 | 1.444 | 5.996 | ||
| Scan 02 | Rigid | Ag | 49 | 0.656 | 5.140 | 14.214 |
| Pp | 105 | 0.810 | 4.120 | 9.303 | ||
| Qp | 214 | 0.930 | 1.974 | 8.543 | ||
| None-Rigid | Ag | 54 | 0.861 | 3.377 | 9.461 | |
| Pp | 105 | 0.906 | 2.905 | 6.566 | ||
| Qp | 225 | 0.895 | 2.417 | 10.418 |
| Scan | Transformation Mode | Species | n | R2 | RMSE (m) | RMSE (%) |
|---|---|---|---|---|---|---|
| Scan 01 | Rigid | Ag | 34 | 0.003 | 3.046 | 14.105 |
| Qp | 96 | 0.043 | 2.227 | 10.092 | ||
| Pp | 169 | 0.159 | 3.656 | 20.965 | ||
| None-Rigid | Ag | 54 | 0.006 | 3.822 | 17.513 | |
| Pp | 74 | 0.034 | 2.073 | 9.390 | ||
| Qp | 156 | 0.196 | 3.703 | 21.097 | ||
| Scan 02 | Rigid | Ag | 49 | 0.404 | 2.626 | 12.010 |
| Pp | 105 | 0.217 | 1.956 | 8.846 | ||
| Qp | 214 | 0.169 | 3.715 | 21.632 | ||
| None-Rigid | Ag | 54 | 0.325 | 3.192 | 14.746 | |
| Pp | 105 | 0.212 | 1.961 | 8.869 | ||
| Qp | 225 | 0.142 | 3.732 | 21.610 |
Disclaimer/Publisher’s Note: The statements, opinions and data contained in all publications are solely those of the individual author(s) and contributor(s) and not of MDPI and/or the editor(s). MDPI and/or the editor(s) disclaim responsibility for any injury to people or property resulting from any ideas, methods, instructions or products referred to in the content. |
© 2023 by the authors. Licensee MDPI, Basel, Switzerland. This article is an open access article distributed under the terms and conditions of the Creative Commons Attribution (CC BY) license (https://creativecommons.org/licenses/by/4.0/).
Share and Cite
Tupinambá-Simões, F.; Pascual, A.; Guerra-Hernández, J.; Ordóñez, C.; de Conto, T.; Bravo, F. Assessing the Performance of a Handheld Laser Scanning System for Individual Tree Mapping—A Mixed Forests Showcase in Spain. Remote Sens. 2023, 15, 1169. https://doi.org/10.3390/rs15051169
Tupinambá-Simões F, Pascual A, Guerra-Hernández J, Ordóñez C, de Conto T, Bravo F. Assessing the Performance of a Handheld Laser Scanning System for Individual Tree Mapping—A Mixed Forests Showcase in Spain. Remote Sensing. 2023; 15(5):1169. https://doi.org/10.3390/rs15051169
Chicago/Turabian StyleTupinambá-Simões, Frederico, Adrián Pascual, Juan Guerra-Hernández, Cristóbal Ordóñez, Tiago de Conto, and Felipe Bravo. 2023. "Assessing the Performance of a Handheld Laser Scanning System for Individual Tree Mapping—A Mixed Forests Showcase in Spain" Remote Sensing 15, no. 5: 1169. https://doi.org/10.3390/rs15051169
APA StyleTupinambá-Simões, F., Pascual, A., Guerra-Hernández, J., Ordóñez, C., de Conto, T., & Bravo, F. (2023). Assessing the Performance of a Handheld Laser Scanning System for Individual Tree Mapping—A Mixed Forests Showcase in Spain. Remote Sensing, 15(5), 1169. https://doi.org/10.3390/rs15051169

