Real-Time Precise Point Positioning during Outages of the PPP-B2b Service
Abstract
1. Introduction
2. Methodologies
2.1. The Evaluation Principles of PPP-B2b Precision Products
2.2. The Repair Methods of Matching Error
3. Experiments and Results
3.1. Continuity of B2b Corrections
3.1.1. Jumps in Orbit Corrections
3.1.2. Jumps in Clock Corrections
3.2. The Quality of the PPP-B2b Corrections Degradation over Time
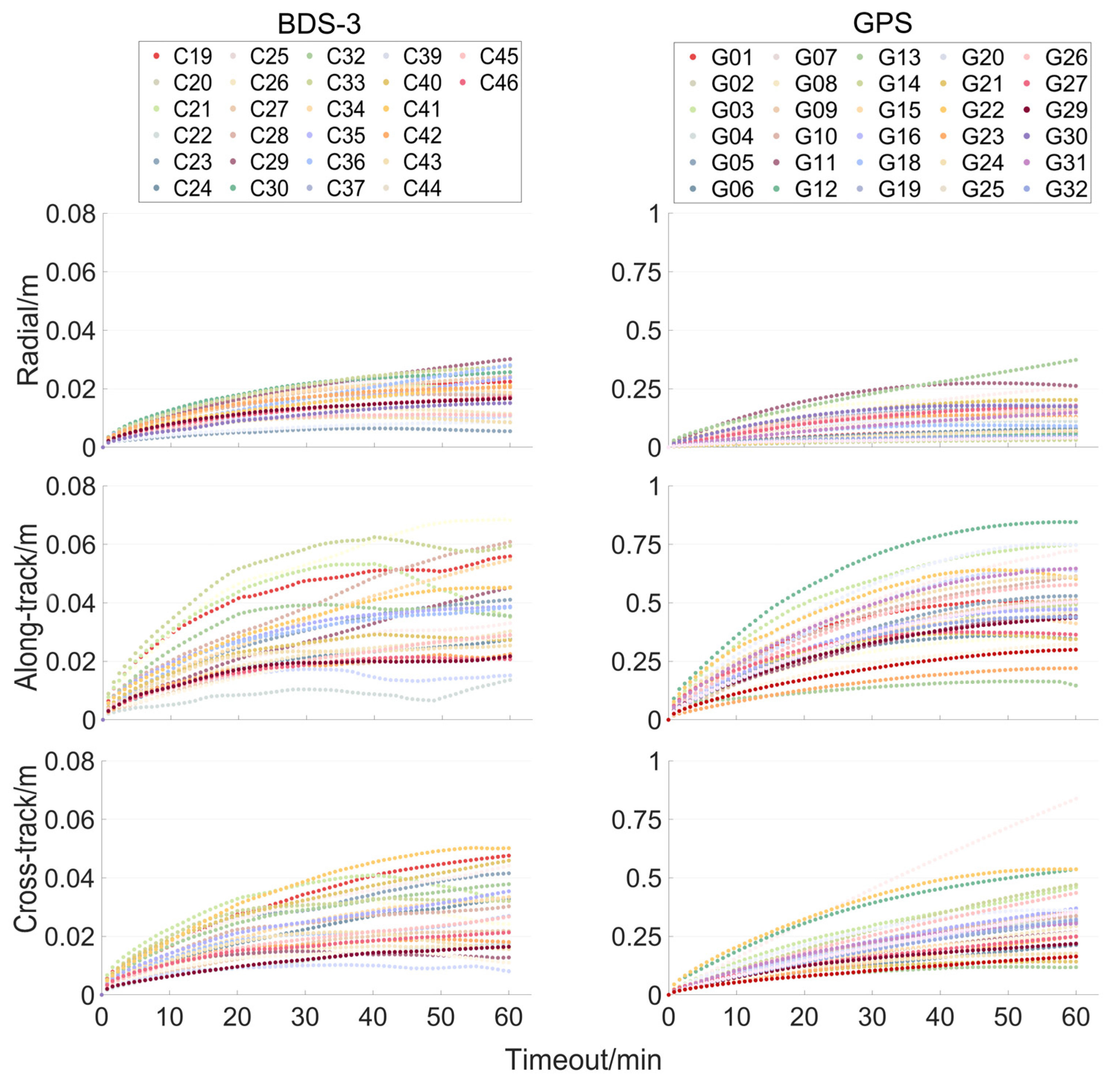
3.2.1. Accuracy of the PPP-B2b Corrections
3.2.2. Accuracy of the PPP-B2b Extension Corrections
3.3. Positioning Quality Degradation over Time
3.3.1. Accuracy of the Real-Time PPP-B2b Positioning
3.3.2. Accuracy of the Real-Time PPP-B2b Positioning Using Extended Corrections
4. Discussion
5. Conclusions
Author Contributions
Funding
Data Availability Statement
Acknowledgments
Conflicts of Interest
References
- Dow, J.M.; Neilan, R.; Gendt, G. The International GPS service: Celebrating the 10th anniversary and looking to the next decade. Adv. Space Res. 2005, 36, 320–326. [Google Scholar] [CrossRef]
- Kouba, J. A Guide to Using International GNSS Service (IGS) Products. 2009. Available online: http://acc.igs.org/UsingIGSProductsVer21.pdf (accessed on 15 March 2022).
- Caissy, M.; Agrotis, L.; Weber, G.; Hernandez-Pajares, M.; Hugentobler, U. Coming soon: The international GNSS real-time service, 2012. GPS World 2013, 23, 52–58. [Google Scholar]
- Dousa, J. Precise near real-time GNSS analyses at Geodetic Observatory Pecny–precise orbit determination and water vapour monitoring. Acta Geodyn. Geromaterialia 2010, 7, 7–18. [Google Scholar]
- Dow, J.M.; Neilan, R.; Rizos, C. The international GNSS service in a changing landscape of global navigation satellite systems. J. Geod. 2009, 83, 191–198. [Google Scholar] [CrossRef]
- Nie, Z.; Gao, Y.; Wang, Z.; Ji, S.; Yang, H. An approach to GPS clock prediction for real-time PPP during outages of RTS stream. GPS Solut. 2018, 22, 1–14. [Google Scholar] [CrossRef]
- Barnes, D. GPS Status and Modernization. Presentation at Munich Satellite Navigation Summit 2019. Available online: https://apps.dtic.mil/dtic/tr/fulltext/u2/a550403.pdf (accessed on 14 September 2021).
- Zrinjski, M.; Barković, Đ.; Matika, K. Development and Modernization of GNSS. Geod. List 2019, 73, 45–65. Available online: https://hrcak.srce.hr/218855 (accessed on 28 December 2022).
- Hein, G.W. Status, perspectives and trends of satellite navigation. Satell. Navig. 2020, 1, 1–12. [Google Scholar] [CrossRef] [PubMed]
- Cai, H.; Meng, Y.; Geng, T.; Xie, X. Initial results of precise orbit determination using satellite-ground and inter-satellite link observations for BDS-3 satellites. Geomat. Inf. Sci. Wuhan Univ. 2020, 45, 1493–1500. [Google Scholar] [CrossRef]
- China Satellite Navigation Office. BeiDou Navigation Satellite System Signal In Space Interface Control Document Precise Point Positioning Service Signal PPP-B2b (Version 1.0) 2020. Available online: http://www.bedou.gov.cn/xt/gfxz/202008/P020200803362062482940.pdf (accessed on 18 September 2022).
- Zhu, Y.; Feng, L.; Jia, X.; Zhang, Q.; Ruan, R. The PPP Precision Analysis Based on BDS Regional Navigation System. Acta Geod. Cartogr. Sin. 2015, 44, 377–383. [Google Scholar] [CrossRef]
- Shi, C.; Zheng, F.; Lou, Y. Research and Evaluation of BDS Real-time Wide-area Precise Positioning Service System. Acta Geod. Cartogr. Sin. 2017, 46, 1354–1363. [Google Scholar] [CrossRef]
- Yang, Y.; Mao, Y.; Sun, B. Basic performance and future developments of BeiDou global navigation satellite system. Satell Navig. 2020, 1, 1. [Google Scholar] [CrossRef]
- Kouba, J.; Héroux, P. Precise point positioning using IGS orbit and clock products. GPS Solut. 2001, 5, 12–28. [Google Scholar] [CrossRef]
- Yang, Y.; Liu, L.; Li, J.; Yang, Y.; Ren, X. Featured services and performance of BDS-3. Sci. Bull. 2021, 66, 2135–2143. [Google Scholar] [CrossRef] [PubMed]
- Hauschild, A. Precise GNSS Clock-Estimation for Real-Time Navigation and Precise Point Positioning. Doctoral Dissertation, Technische Universität München, Munich, Germany, 2010. [Google Scholar]
- Tao, J.; Liu, J.; Hu, Z.; Zhao, Q.; Chen, G.; Ju, B. Initial Assessment of the BDS-3 PPP-B2b RTS compared with the CNES RTS. GPS Solut. 2021, 25, 1–16. [Google Scholar] [CrossRef]
- Ren, Z.; Gong, H.; Peng, J.; Tang, C.; Huang, X.; Sun, G. Performance assessment of real-time precise point positioning using BDS PPP-B2b service signal. Adv. Space Researc. 2021, 68, 3242–3254. [Google Scholar] [CrossRef]
- Liu, Y.; Yang, C.; Zhang, M. Comprehensive Analyses of PPP-B2b Performance in China and Surrounding Areas. Remote Sens. 2022, 14, 643. [Google Scholar] [CrossRef]
- Xu, Y.; Yang, Y.; Li, J. Performance evaluation of BDS-3 PPP-B2b precise point positioning service. GPS Solut. 2021, 25, 1–14. [Google Scholar] [CrossRef]
- Montenbruck, O.; Steigenberger, P.; Prange, L.; Deng, Z.; Zhao, Q.; Perosanz, F.; Romero, I.; Noll, C.; Sturze, A.; Weber, G.; et al. The Multi-GNSS Experiment (MGEX) of the International GNSS Service (IGS)—Achievements, prospects and challenges. Adv. Space Res. 2017, 59, 1671–1697. [Google Scholar] [CrossRef]
- Hadas, T.; Bosy, J. IGS RTS precise orbits and clocks verification and quality degradation over time. GPS Solut. 2015, 19, 93–105. [Google Scholar] [CrossRef]















| Extension Time/s | BDS-3 MEO | BDS-3 IGSO | GPS | ||||||
|---|---|---|---|---|---|---|---|---|---|
| R/m | A/m | C/m | R/m | A/m | C/m | R/m | A/m | C/m | |
| 30 | 0.14 | 0.23 | 0.20 | 0.14 | 0.29 | 0.24 | 0.07 | 0.29 | 0.25 |
| 60 | 0.14 | 0.23 | 0.21 | 0.15 | 0.29 | 0.24 | 0.07 | 0.32 | 0.26 |
| 120 | 0.15 | 0.24 | 0.21 | 0.15 | 0.30 | 0.25 | 0.08 | 0.34 | 0.27 |
| 180 | 0.15 | 0.24 | 0.21 | 0.15 | 0.30 | 0.25 | 0.08 | 0.35 | 0.28 |
| 300 | 0.15 | 0.25 | 0.22 | 0.15 | 0.30 | 0.26 | 0.09 | 0.38 | 0.29 |
| 600 | 0.16 | 0.26 | 0.23 | 0.16 | 0.31 | 0.27 | 0.11 | 0.45 | 0.33 |
| 1200 | 0.17 | 0.29 | 0.25 | 0.18 | 0.34 | 0.29 | 0.13 | 0.58 | 0.40 |
| 1800 | 0.18 | 0.31 | 0.27 | 0.19 | 0.35 | 0.31 | 0.18 | 0.67 | 0.45 |
| 3600 | 0.20 | 0.36 | 0.30 | 0.22 | 0.38 | 0.35 | 0.23 | 0.80 | 0.58 |
| Extension Time/s | BDS-3 MEO | BDS-3 IGSO | GPS |
|---|---|---|---|
| Clock/ns | Clock/ns | Clock/ns | |
| 30 | 1.75 | 1.88 | 3.89 |
| 60 | 1.79 | 1.94 | 3.96 |
| 120 | 1.83 | 2.01 | 4.05 |
| 180 | 1.86 | 2.07 | 4.10 |
| 300 | 1.91 | 2.14 | 4.19 |
| 600 | 2.01 | 2.27 | 4.35 |
| 1200 | 2.16 | 2.44 | 4.57 |
| 1800 | 2.27 | 2.57 | 4.76 |
| 3600 | 2.52 | 2.85 | 5.16 |
| Extension Time/s | BDS-3 MEO | BDS-3 IGSO | GPS |
|---|---|---|---|
| Clock/ns | Clock/ns | Clock/ns | |
| 0–30 | 0.11 | 0.12 | 0.13 |
| 0–60 | 0.12 | 0.13 | 0.16 |
| 0–120 | 0.13 | 0.14 | 0.17 |
| 0–180 | 0.13 | 0.15 | 0.17 |
| 0–300 | 0.14 | 0.17 | 0.19 |
| 0–600 | 0.17 | 0.20 | 0.22 |
| 0–1200 | 0.20 | 0.24 | 0.28 |
| 0–1800 | 0.23 | 0.27 | 0.31 |
| 0–3600 | 0.29 | 0.33 | 0.41 |
| Item | Processing Strategy |
|---|---|
| System | BDS-3 + GPS |
| Frequencies | GPS L1/L2 and BDS-3 B1I/B3I |
| Observation data | Real-time data stream |
| Satellite orbit and clock | B2b corrections + Broadcast ephemeris |
| Ionospheric delay | Ionosphere-free linear combination with dual frequency |
| Tropospheric delay | Estimation zenith total delay and horizontal gradient parameters |
| Antenna PCO/PCV | Igs14.atx |
| Elevation cut-off angle | 7° |
| Site | Latitude (°) | Longitude (°) | Height (km) |
|---|---|---|---|
| BJ01 | 40.07 | 116.27 | 0.09 |
| JFNG | 30.52 | 114.49 | 0.07 |
| HKSC | 22.32 | 114.14 | 0.02 |
| KSKT | 39.50 | 75.93 | 1.27 |
| MSSA | 36.14 | 138.35 | 1.63 |
| Interruption Times/min | 3D Error/m | ||||
|---|---|---|---|---|---|
| BJ01 | JFNG | HKSC | KSKT | MSSA | |
| No Interruption | 0.111 | 0.137 | 0.141 | 0.266 | 0.340 |
| 0–10 | 0.118 | 0.138 | 0.142 | 0.289 | 0.351 |
| 10–20 | 0.143 | 0.159 | 0.167 | 0.354 | 0.434 |
| 20–30 | 0.179 | 0.233 | 0.210 | 0.432 | 0.479 |
| 30–40 | 0.218 | 0.319 | 0.262 | 0.461 | 0.513 |
| 40–50 | 0.262 | 0.405 | 0.328 | 0.505 | 0.566 |
| 50–60 | 0.305 | 0.413 | 0.369 | 0.558 | 0.689 |
Disclaimer/Publisher’s Note: The statements, opinions and data contained in all publications are solely those of the individual author(s) and contributor(s) and not of MDPI and/or the editor(s). MDPI and/or the editor(s) disclaim responsibility for any injury to people or property resulting from any ideas, methods, instructions or products referred to in the content. |
© 2023 by the authors. Licensee MDPI, Basel, Switzerland. This article is an open access article distributed under the terms and conditions of the Creative Commons Attribution (CC BY) license (https://creativecommons.org/licenses/by/4.0/).
Share and Cite
Chen, Y.; Wang, X.; Zhou, K.; Zhang, J.; Qiu, C.; Li, H.; Xin, S. Real-Time Precise Point Positioning during Outages of the PPP-B2b Service. Remote Sens. 2023, 15, 784. https://doi.org/10.3390/rs15030784
Chen Y, Wang X, Zhou K, Zhang J, Qiu C, Li H, Xin S. Real-Time Precise Point Positioning during Outages of the PPP-B2b Service. Remote Sensing. 2023; 15(3):784. https://doi.org/10.3390/rs15030784
Chicago/Turabian StyleChen, Yufei, Xiaoming Wang, Kai Zhou, Jinglei Zhang, Cong Qiu, Haobo Li, and Shiji Xin. 2023. "Real-Time Precise Point Positioning during Outages of the PPP-B2b Service" Remote Sensing 15, no. 3: 784. https://doi.org/10.3390/rs15030784
APA StyleChen, Y., Wang, X., Zhou, K., Zhang, J., Qiu, C., Li, H., & Xin, S. (2023). Real-Time Precise Point Positioning during Outages of the PPP-B2b Service. Remote Sensing, 15(3), 784. https://doi.org/10.3390/rs15030784

