The Automated Detection of Fusarium Wilt on Phalaenopsis Using VIS-NIR and SWIR Hyperspectral Imaging
Abstract
:1. Introduction
2. Materials and Methods
2.1. Pipeline Identification System
2.2. Samples of Phalaenopsis
2.3. Hyperspectrometer
2.4. Hyperspectral Image Calibration
2.5. Hyperspectral Image Region of Interest (ROI) Extraction
2.6. Statistical Indicators
2.7. Data Training Models
Deep Neural Network
2.8. Model Evaluation
The 3D Receiver Operating Characteristic Curve Analysis (3D ROC)
- Target Detectability (TD) indicates the effectiveness of a detector and the maximum detection probability it can achieve. Its formula is defined as follows:
- Background Suppressibility (BS) is used to describe the ability of a detector to suppress background noise, with as an indicator. A smaller value of indicates better Background Suppressibility. The formula for BS is defined as follows:
- TD in Background (TD-BS) is the first part of Joint Target Detectability with Background Suppressibility. It takes into account the probability of falsely detecting noise as a signal to generate . To calculate TD-BS, should be subtracted from . The formula for TD-BS is defined as follows:
- Overall Detection Probability (ODP) represents the overall probability of correct classification for both the signal and background data. It is the second part of the Joint Target Detectability with Background Suppressibility analysis, and is derived from a classification perspective. The formula for ODP is defined as follows:
- Overall Detection (OD) is a single quantitative value of detector performance that combines the AUC values generated by the three 2D ROC curves to evaluate each target detector being compared. It provides an overall assessment of the detector’s ability to differentiate targets from non-targets across a range of operating conditions. The formula for calculating OD is defined as follows:
- Signal-to-Noise Probability Ratio (SNPR) is an effective detection measure that is derived from a similar idea to the widely used signal-to-noise ratio (SNR) in communication/signal processing. SNPR is defined as the ratio of the target detection probability () to the false alarm probability (), which represents the degree of improvement in target detection while suppressing the background. The formula for SNPR is defined as follows:
3. Results
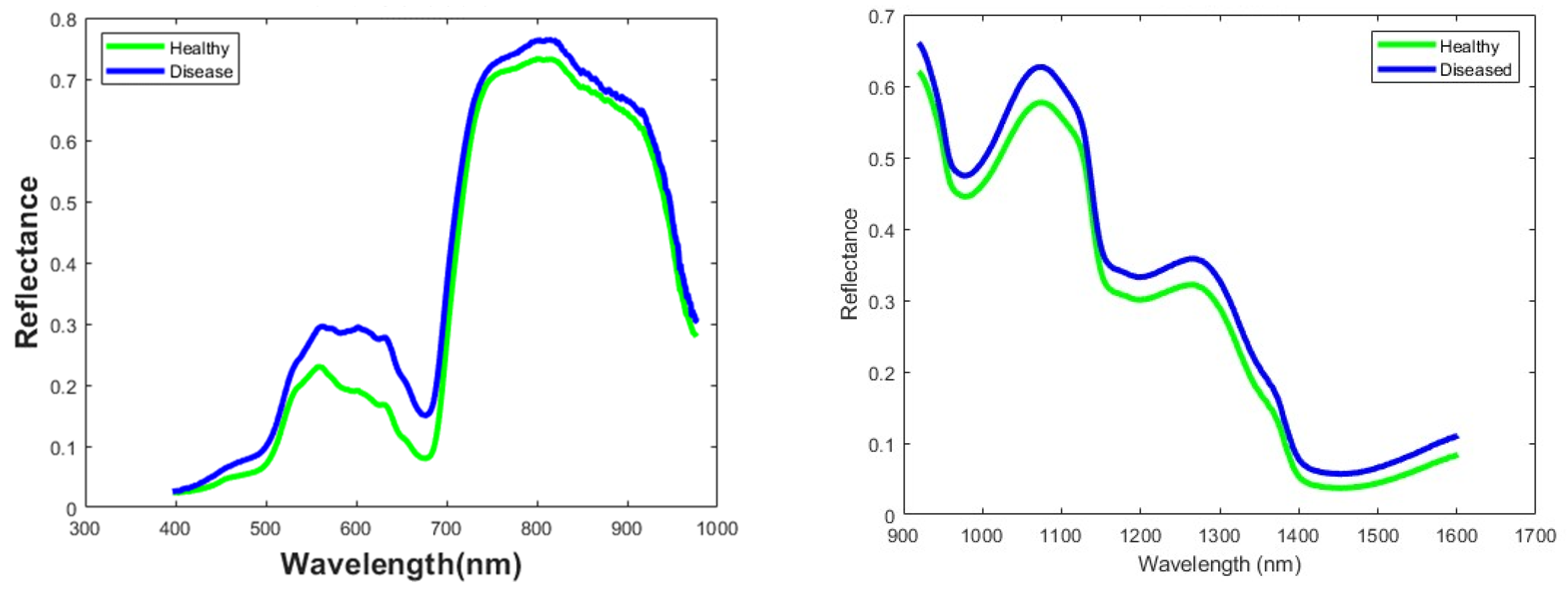
3.1. Reflectance of Phalaenopsis
3.2. Training Data
3.3. Classification
3.4. The Model Evaluation Using 3D ROC
3.5. Automated Pipeline Identification System
4. Discussion
4.1. Benefits of Statistical Indicators
4.2. The Future of Automated Pipeline Identification Systems
5. Conclusions
Author Contributions
Funding
Conflicts of Interest
References
- Srivastava, S.; Kadooka, C.; Uchida, J.Y. Fusarium species as pathogen on orchids. Microbiol. Res. 2018, 207, 188–195. [Google Scholar] [CrossRef] [PubMed]
- Chen, S.-Y.; Wu, Y.-J.; Hsieh, T.-F.; Su, J.-F.; Shen, W.-C.; Lai, Y.-H.; Lai, P.-C.; Chen, W.-H.; Chen, H.-H. Develop an efficient inoculation technique for Fusarium solani isolate ‘TJP-2178-10′ pathogeny assessment in Phalaenopsis orchids. Bot. Stud. 2021, 62, 4. [Google Scholar] [CrossRef] [PubMed]
- Kim, W.-G.; Lee, B.-D.; Kim, W.-S.; Cho, W.-D. Root Rot of Moth Orchid Caused by Fusarium spp. Plant Pathol. J. 2002, 18, 225–227. [Google Scholar] [CrossRef]
- Gullino, M.L.; Minuto, A.; Gilardi, G.; Garibaldi, A. Efficacy of azoxystrobin and other strobilurins against Fusarium wilts of carnation, cyclamen and Paris daisy. Crop Prot. 2002, 21, 57–61. [Google Scholar] [CrossRef]
- Shanavas, J. Biocontrol of fusarium wilt of vanilla (vanilla planifolia) Using combined inoculation of trichoderma sp. And Pseudomonas sp. Int. J. Pharma Bio Sci. 2012, 3, 706–716. [Google Scholar]
- Albetis, J.; Jacquin, A.; Goulard, M.; Poilvé, H.; Rousseau, J.; Clenet, H.; Dedieu, G.; Duthoit, S. On the Potentiality of UAV Multispectral Imagery to Detect Flavescence dorée and Grapevine Trunk Diseases. Remote Sens. 2019, 11, 23. [Google Scholar] [CrossRef]
- Vélez, S.; Ariza-Sentís, M.; Valente, J. Mapping the spatial variability of Botrytis bunch rot risk in vineyards using UAV multispectral imagery. Eur. J. Agron. 2023, 142, 126691. [Google Scholar] [CrossRef]
- Chang, A.; Yeom, J.; Jung, J.; Landivar, J. Comparison of Canopy Shape and Vegetation Indices of Citrus Trees Derived from UAV Multispectral Images for Characterization of Citrus Greening Disease. Remote Sens. 2020, 12, 4122. [Google Scholar] [CrossRef]
- van Roy, J.; Wouters, N.; De Ketelaere, B.; Saeys, W. Semi-supervised learning of hyperspectral image segmentation applied to vine tomatoes and table grapes. J. Spectr. Imaging 2018, 7, a7. [Google Scholar] [CrossRef]
- Hu, N.; Wei, D.; Zhang, L.; Wang, J.; Xu, H.; Zhao, Y. Application of Vis-NIR hyperspectral imaging in agricultural products detection. In Proceedings of the 2017 9th International Conference on Advanced Infocomm Technology (ICAIT), Chengdu, China, 22–24 November 2017; pp. 350–355. [Google Scholar] [CrossRef]
- Dang, H.-Q.; Kim, I.; Cho, B.-K.; Kim, M.S. Detection of bruise damage of pear using hyperspectral imagery. In Proceedings of the 2012 12th International Conference on Control, Automation and Systems, Jeju Island, Republic of Korea, 17–21 October 2012; pp. 1258–1260. [Google Scholar]
- Yuan, L.; Yan, P.; Han, W.; Huang, Y.; Wang, B.; Zhang, J.; Zhang, H.; Bao, Z. Detection of anthracnose in tea plants based on hyperspectral imaging. Comput. Electron. Agric. 2019, 167, 105039. [Google Scholar] [CrossRef]
- Zhang, X.; Wang, Y.; Zhou, Z.; Zhang, Y.; Wang, X. Detection Method for Tomato Leaf Mildew Based on Hyperspectral Fusion Terahertz Technology. Foods 2023, 12, 535. [Google Scholar] [CrossRef] [PubMed]
- Cen, Y.; Huang, Y.; Hu, S.; Zhang, L.; Zhang, J. Early Detection of Bacterial Wilt in Tomato with Portable Hyperspectral Spectrometer. Remote Sens. 2022, 14, 2882. [Google Scholar] [CrossRef]
- Ashourloo, D.; Aghighi, H.; Matkan, A.A.; Mobasheri, M.R.; Rad, A.M. An Investigation Into Machine Learning Regression Techniques for the Leaf Rust Disease Detection Using Hyperspectral Measurement. IEEE J. Sel. Top. Appl. Earth Obs. Remote Sens. 2016, 9, 4344–4351. [Google Scholar] [CrossRef]
- Detection of Early Blight and Late Blight Diseases on Tomato Leaves USING Hyperspectral Imaging. Sci. Rep. 2015, 5, 16564. Available online: https://www.nature.com/articles/srep16564 (accessed on 3 August 2023).
- Lowe, A.; Harrison, N.; French, A.P. Hyperspectral image analysis techniques for the detection and classification of the early onset of plant disease and stress. Plant Methods 2017, 13, 80. [Google Scholar] [CrossRef]
- Wan, L.; Li, H.; Li, C.; Wang, A.; Yang, Y.; Wang, P. Hyperspectral Sensing of Plant Diseases: Principle and Methods. Agronomy 2022, 12, 1451. [Google Scholar] [CrossRef]
- Nguyen, C.; Sagan, V.; Maimaitiyiming, M.; Maimaitijiang, M.; Bhadra, S.; Kwasniewski, M.T. Early Detection of Plant Viral Disease Using Hyperspectral Imaging and Deep Learning. Sensors 2021, 21, 742. [Google Scholar] [CrossRef]
- Ren, H.; Chang, C.-I. Automatic spectral target recognition in hyperspectral imagery. IEEE Trans. Aerosp. Electron. Syst. 2003, 39, 1232–1249. [Google Scholar] [CrossRef]
- Chang, C.-I. Target signature-constrained mixed pixel classification for hyperspectral imagery. IEEE Trans. Geosci. Remote Sens. 2002, 40, 1065–1081. [Google Scholar] [CrossRef]
- Liu, J.-M.; Chang, C.-I.; Chieu, B.-C.; Ren, H.; Wang, C.-M.; Lo, C.-S.; Chung, P.-C.; Yang, C.-W.; Ma, D.-J. Generalized constrained energy minimization approach to subpixel target detection for multispectral imagery. Opt. Eng. 2000, 39, 1275–1281. [Google Scholar] [CrossRef]
- Chen, S.-Y.; Lin, C.; Tai, C.-H.; Chuang, S.-J. Adaptive Window-Based Constrained Energy Minimization for Detection of Newly Grown Tree Leaves. Remote Sens. 2018, 10, 96. [Google Scholar] [CrossRef]
- Gardner, M.W.; Dorling, S.R. Artificial neural networks (the multilayer perceptron)—A review of applications in the atmospheric sciences. Atmos. Environ. 1998, 32, 2627–2636. [Google Scholar] [CrossRef]
- Hearst, M.A.; Dumais, S.T.; Osuna, E.; Platt, J.; Scholkopf, B. Support vector machines. IEEE Intell. Syst. Their Appl. 1998, 13, 18–28. [Google Scholar] [CrossRef]
- Ho, T.K. Random decision forests. In Proceedings of the 3rd International Conference on Document Analysis and Recognition, Montreal, QC, Canada, 14–16 August 1995; Volume 1, pp. 278–282. [Google Scholar] [CrossRef]
- Chang, C.-I. An Effective Evaluation Tool for Hyperspectral Target Detection: 3D Receiver Operating Characteristic Curve Analysis. IEEE Trans. Geosci. Remote Sens. 2021, 59, 5131–5153. [Google Scholar] [CrossRef]
- Chang, C.-I.; Chiang, S.-S.; Du, Q.; Ren, H.; Ifarragaerri, A. An ROC analysis for subpixel detection. In IGARSS 2001. Scanning the Present and Resolving the Future, Proceedings of the IEEE 2001 International Geoscience and Remote Sensing Symposium (Cat. No.01CH37217), Sydney, Ausralia, 9–13 July 2001; IEEE: Piscataway, NJ, USA, 2001; Volume 5, pp. 2355–2357. [Google Scholar] [CrossRef]
- Wang, L.; Chang, C.-I.; Lee, L.-C.; Wang, Y.; Xue, B.; Song, M.; Yu, C.; Li, S. Band Subset Selection for Anomaly Detection in Hyperspectral Imagery. IEEE Trans. Geosci. Remote Sens. 2017, 55, 4887–4898. [Google Scholar] [CrossRef]
- Wang, S.; Chang, C.-I.; Yang, S.-C.; Hsu, G.-C.; Hsu, H.-H.; Chung, P.-C.; Guo, S.-M.; Lee, S.-K. 3D ROC Analysis for Medical Imaging Diagnosis. In Proceedings of the 2005 IEEE Engineering in Medicine and Biology 27th Annual Conference, Shanghai, China, 17–18 January 2006; pp. 7545–7548. [Google Scholar] [CrossRef]
- Hyperspectral Imaging: Techniques for Spectral Detection and Classification | SpringerLink. Available online: https://link.springer.com/book/10.1007/978-1-4419-9170-6 (accessed on 3 August 2023).











| V10E-B1410CL | N17E-InGaAs | |
|---|---|---|
| Spectral Range (nm) | 400–1000 | 900–1700 |
| Spectral Channels | 616 | 512 |
| Spectral Resolution (nm) | 3 | 5 |
| Spatial Pixels | 816 | 640 |
| Layer | Number of Neurons | Activation Function |
|---|---|---|
| Input Layer | 540/1080 | ReLU |
| Hidden Layer | 700 | ReLU |
| Hidden Layer | 500 | ReLU |
| Hidden Layer | 300 | ReLU |
| Hidden Layer | 50 | ReLU |
| Output Layer | 2 | ReLU |
| Healthy Samples | Diseased Samples | |
|---|---|---|
| VNIR | 55,600 | 53,000 |
| SWIR | 56,320 | 52,992 |
| Healthy Samples | Diseased Samples | |
|---|---|---|
| VNIR | 38,000 | 42,000 |
| SWIR | 38,656 | 36,864 |
| Input Features | Classifier | Day 0 | Day 1 | Day 2 | Day 3 | Day 4 | Day 5 | Day 6 | Average Precision | |
|---|---|---|---|---|---|---|---|---|---|---|
| Pixel | 540 | SVM | 71.73% | 84.51% | 84.82% | 86.84% | 86.91% | 86.47% | 88.39% | 84.24% |
| DNN | 72.88% | 86.49% | 87.10% | 87.74% | 88.32% | 88.39% | 90.47% | 85.91% | ||
| RFC | 62.86% | 84.46% | 81.31% | 81.50% | 81.29% | 80.28% | 82.01% | 79.10% | ||
| Mean–Variance | 1080 | SVM | 83.97% | 84.25% | 87.43% | 89.50% | 90.3% | 90.35% | 92.24% | 88.29% |
| DNN | 86.51% | 87.97% | 87.22% | 87.90% | 93.00% | 93.24% | 95.77% | 90.23% | ||
| RFC | 82.50% | 82.68% | 87.01% | 89.37% | 90.04% | 91.65% | 92.49% | 87.96% |
| Input Features | Classifier | Day 0 | Day 1 | Day 2 | Day 3 | Day 4 | Day 5 | Day 6 | Average Precision | |
|---|---|---|---|---|---|---|---|---|---|---|
| Pixel | 540 | SVM | 69.80% | 70.15% | 72.20% | 74.64% | 76.11% | 78.04% | 80.8% | 74.43% |
| DNN | 70.87% | 74.64% | 84.42% | 85.83% | 85.95% | 86.53% | 88.35% | 82.37% | ||
| RFC | 67.33% | 68.98% | 69.67% | 74.47% | 75.62% | 76.27% | 77.40% | 72.82% | ||
| Mean–Variance | 1080 | SVM | 66.36% | 66.70% | 72.98% | 75.28% | 80.72% | 81.32% | 81.94% | 75.04% |
| DNN | 63.11% | 77.88% | 87.29% | 88.19% | 90.04% | 91.58% | 91.72% | 84.26% | ||
| RFC | 66.13% | 66.20% | 71.31% | 74.75% | 79.25% | 79.71% | 80.37% | 73.96% |
| AUC(D, F) | AUC(D, τ) | AUC(F, τ) | AUCTD | AUCBS | AUCTD-BS | AUCODP | AUCOD | AUCSNPR | |
|---|---|---|---|---|---|---|---|---|---|
| SVM | 0.9579 | 0.4703 | 0.3009 | 1.4281 | 0.6569 | 0.1694 | 1.1694 | 1.1272 | 1.5628 |
| DNN | 0.9674 | 0.5831 | 0.0967 | 1.5505 | 0.8708 | 0.4864 | 1.4864 | 1.4538 | 6.0312 |
| RFC | 0.9142 | 0.4875 | 0.2427 | 1.4017 | 0.6715 | 0.2448 | 1.2448 | 1.1590 | 2.0086 |
| AUC(D, F) | AUC(D, τ) | AUC(F, τ) | AUCTD | AUCBS | AUCTD-BS | AUCODP | AUCOD | AUCSNPR | |
|---|---|---|---|---|---|---|---|---|---|
| SVM | 0.9032 | 0.3817 | 0.1162 | 1.2849 | 0.7870 | 0.2654 | 1.2654 | 1.1686 | 3.2833 |
| DNN | 0.9338 | 0.5187 | 0.0772 | 1.4525 | 0.8566 | 0.4415 | 1.4415 | 1.3753 | 6.7169 |
| RFC | 0.8773 | 0.3997 | 0.1340 | 1.3960 | 0.7434 | 0.3848 | 1.3848 | 1.2621 | 3.8723 |
Disclaimer/Publisher’s Note: The statements, opinions and data contained in all publications are solely those of the individual author(s) and contributor(s) and not of MDPI and/or the editor(s). MDPI and/or the editor(s) disclaim responsibility for any injury to people or property resulting from any ideas, methods, instructions or products referred to in the content. |
© 2023 by the authors. Licensee MDPI, Basel, Switzerland. This article is an open access article distributed under the terms and conditions of the Creative Commons Attribution (CC BY) license (https://creativecommons.org/licenses/by/4.0/).
Share and Cite
Shih, M.-S.; Chang, K.-C.; Chou, S.-A.; Liu, T.-S.; Ouyang, Y.-C. The Automated Detection of Fusarium Wilt on Phalaenopsis Using VIS-NIR and SWIR Hyperspectral Imaging. Remote Sens. 2023, 15, 4174. https://doi.org/10.3390/rs15174174
Shih M-S, Chang K-C, Chou S-A, Liu T-S, Ouyang Y-C. The Automated Detection of Fusarium Wilt on Phalaenopsis Using VIS-NIR and SWIR Hyperspectral Imaging. Remote Sensing. 2023; 15(17):4174. https://doi.org/10.3390/rs15174174
Chicago/Turabian StyleShih, Min-Shao, Kai-Chun Chang, Shao-An Chou, Tsang-Sen Liu, and Yen-Chieh Ouyang. 2023. "The Automated Detection of Fusarium Wilt on Phalaenopsis Using VIS-NIR and SWIR Hyperspectral Imaging" Remote Sensing 15, no. 17: 4174. https://doi.org/10.3390/rs15174174
APA StyleShih, M.-S., Chang, K.-C., Chou, S.-A., Liu, T.-S., & Ouyang, Y.-C. (2023). The Automated Detection of Fusarium Wilt on Phalaenopsis Using VIS-NIR and SWIR Hyperspectral Imaging. Remote Sensing, 15(17), 4174. https://doi.org/10.3390/rs15174174

