Assimilating FY-3D MWHS2 Radiance Data to Predict Typhoon Muifa Based on Different Initial Background Conditions and Fast Radiative Transfer Models
Abstract
1. Introduction
2. Materials and Methods
2.1. Observations
2.1.1. MWHS2 Radiance Data
2.1.2. Conventional and Precipitation Observation
2.2. Background Fields
2.3. WRFDA Assimilation System
2.4. MWHS2 Radiance Data Assimilation Method
3. Typhoon Case and Experimental Design
3.1. Overview of Typhoon Muifa
3.2. Experiment Design
4. Results Based on Different Initial Fields
4.1. Bias Correction
4.2. Impacts of the MWHS2 Data on Analyses
4.2.1. Geopotential Height Increment
4.2.2. Sea-Level Pressure (SLP) and Near-Surface Wind
4.2.3. Potential Temperature Anomaly and Horizontal Wind
4.3. Impacts of the MWHS2 Data on Forecasts
5. Results Based on Different Fast Radiative Transfer Models
5.1. Radiance Simulation and Bias Correction
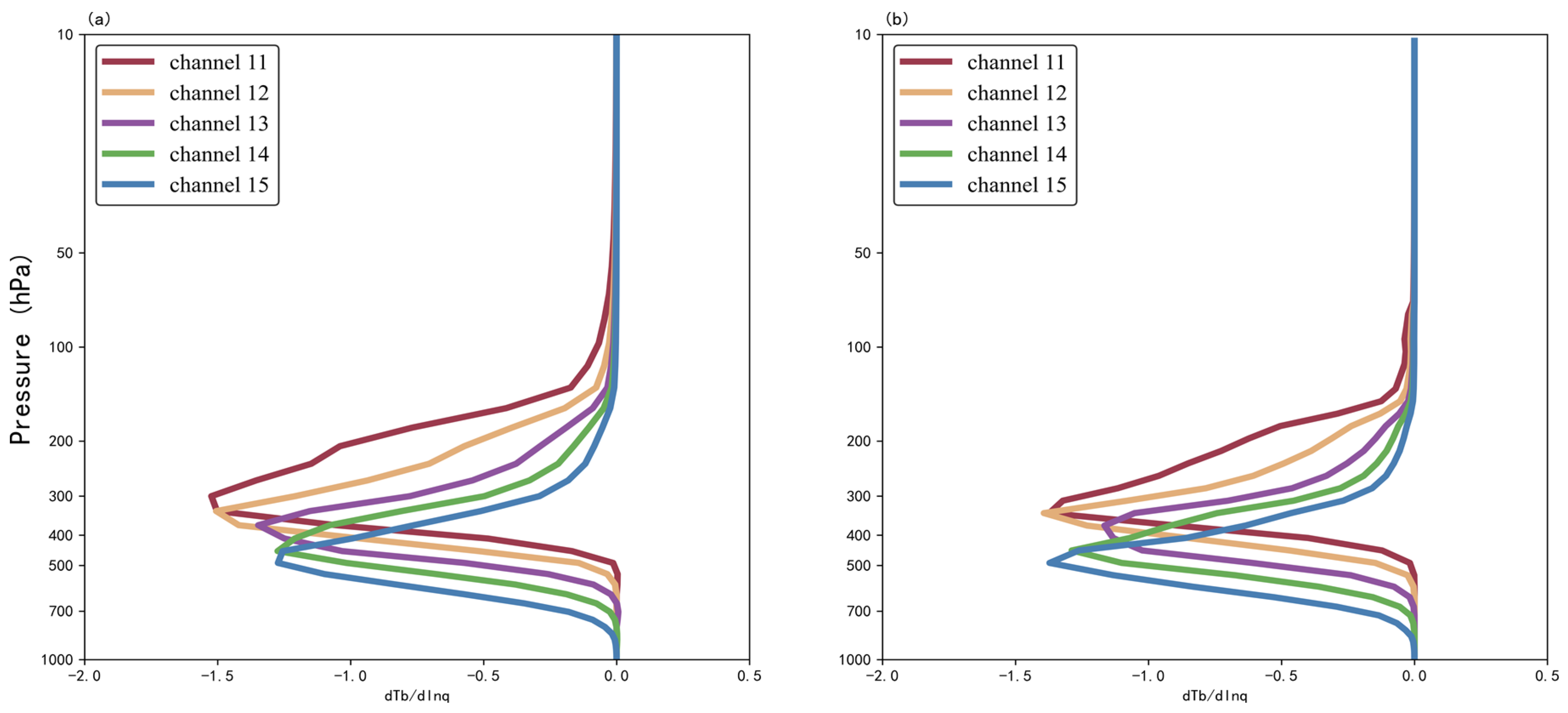
5.2. Jacobian Functions
5.3. Forecast Verification
5.3.1. Track Forecast
5.3.2. Intensity Forecast
6. Discussion
- Under clear-sky conditions, there is a significant reduction in notable errors in the GFS and ERA-5 background fields, and the simulated MWHS2 radiance matches better with the observations after assimilating the MWHS2 radiance data. Comparing the scatter diagrams, it is found that assimilating the FY-3D MWHS2 radiance data is efficient for the investigated typhoon case.
- Benefiting from the assimilation of MWHS2 radiance data, the 500 hPa geopotential height and the SLP simulated using the GFS analysis data as the background field and the ERA-5 reanalysis data as the background field are improved, respectively. The horizontal wind speed and relative humidity at 850 hPa simulated by both background fields show a positive adjustment effect, although the adjustment of relative humidity simulated by the GFS background field is more apparent.
- The assimilation of MWHS2 radiance data results in a more obvious positive adjustment effect on the typhoon track simulated using the GFS analysis data as the background field, while the positive adjustment effect on typhoon intensity is more obvious when using the ERA-5 reanalysis data as the background field.
- It seems that the channels in the CRTM experiment are more sensitive to water vapor compared to the RTTOV experiment, when considering the total effects of all the channels. As a result, the simulated typhoon track using the CRTM slightly matches the observation better than that of the RTTOV model. However, the intensity error from both experiments with the CRTM and the RTTOV model is rather comparable.
7. Conclusions
Author Contributions
Funding
Data Availability Statement
Acknowledgments
Conflicts of Interest
References
- Chen, L.; Li, Y.; Cheng, Z. An overview of research and forecasting on rainfall associated with landfalling tropical cyclones. Adv. Atmos. Sci. 2010, 27, 967–976. [Google Scholar] [CrossRef]
- Wu, Z.; Alshdaifat, N.M. Simulation of marine weather during an extreme rainfall event: A case study of a tropical cyclone. Hydrology 2019, 6, 42. [Google Scholar] [CrossRef]
- Zhang, D.; Wang, J.; Zhang, Y. Review of typhoon monitoring technology based on remote sensing satellite data. Remote Sens. Technol. Appl. 2014, 28, 994–999. [Google Scholar]
- Bormann, N.; Duncan, D.; English, S.; Healy, S.; Lonitz, K.; Chen, K.; Lawrence, H.; Lu, Q. Growing operational use of FY-3 data in the ECMWF system. Adv. Atmos. Sci. 2021, 38, 1285–1298. [Google Scholar] [CrossRef]
- Zou, X. Studies of FY-3 Observations over the past 10 years: A review. Remote Sens. 2021, 13, 673. [Google Scholar] [CrossRef]
- Wang, Y.; Wang, B.; Fei, J.; Han, Y.; Ma, G. The effects of assimilating satellite brightness temperature and bogus data on the simulation of Typhoon Kalmaegi (2008). Acta Meteorol. Sin. 2013, 27, 415–434. [Google Scholar] [CrossRef]
- Liu, C.; Gong, J. Impact of AMSU-A and MHS radiances assimilation on Typhoon Megi (2016) forecasting. Open Geosci. 2023, 15, 20220460. [Google Scholar] [CrossRef]
- Dhanya, M.; Gopalakrishnan, D.; Chandrasekar, A.; Singh, S.K.; Prasad, V. The impact of assimilating MeghaTropiques SAPHIR radiances in the simulation of tropical cyclones over the Bay of Bengal using the WRF model. Int. J. Remote Sens. 2016, 37, 3086–3103. [Google Scholar] [CrossRef]
- Mathur, A.; Gangwar, R.; Gohil, B.; Deb, S.K.; Kumar, P.; Shukla, M.V.; Simon, B.; Pal, P. Humidity profile retrieval from SAPHIR on-board the Megha-Tropiques. Curr. Sci. 2013, 104, 1650–1655. [Google Scholar]
- Zhang, L.; Chen, B. Improving numerical simulation of typhoon LEKIMA (2019) through assimilating ATMS radiance data. In Proceedings of the EGU General Assembly Conference Abstracts, Vienna, Austria, 3–8 May 2020; p. 6256. [Google Scholar]
- He, J.; Chen, H.; Zhang, S.; Li, N. Observations and Forcasting Analysis of Hurricane Sandy Using Satellite Microwave Remote Sensing. In Proceedings of the IGARSS 2019-2019 IEEE International Geoscience and Remote Sensing Symposium, Yokohama, Japan, 28 July–2 August 2019; pp. 7552–7555. [Google Scholar]
- Yang, Y.-M.; Du, M.-B.; Zhang, J. FY-3A satellite microwave data assimilation experiments in tropical cyclone forecast. J. Trop. Meteorol. 2013, 19, 297. [Google Scholar]
- Xu, D.; Min, J.; Shen, F.; Ban, J.; Chen, P. Assimilation of MWHS radiance data from the FY-3B satellite with the WRF Hybrid-3DVAR system for the forecasting of binary typhoons. J. Adv. Model. Earth Syst. 2016, 8, 1014–1028. [Google Scholar] [CrossRef]
- Jiang, L.; Shi, C.; Zhang, T.; Guo, Y.; Yao, S. Evaluation of assimilating FY-3C MWHS-2 radiances using the GSI global analysis system. Remote Sens. 2020, 12, 2511. [Google Scholar] [CrossRef]
- Lawrence, H.; Bormann, N.; Lu, Q.; Geer, A.; English, S. An evaluation of FY-3C MWHS-2 at ECMWF. In EUMETSAT/ECMWF Fellowship Programme Research Report; EUMETSAT/ECMWF: Reading, UK, 2015; Volume 37. [Google Scholar]
- Lawrence, H.; Bormann, N.; Geer, A.J.; Lu, Q.; English, S.J. Evaluation and assimilation of the microwave sounder MWHS-2 onboard FY-3C in the ECMWF numerical weather prediction system. IEEE Trans. Geosci. Remote Sens. 2018, 56, 3333–3349. [Google Scholar] [CrossRef]
- Li, J.; Liu, G. Direct assimilation of Chinese FY-3C Microwave Temperature Sounder-2 radiances in the global GRAPES system. Atmos. Meas. Tech. 2016, 9, 3095–3113. [Google Scholar] [CrossRef]
- Chen, K.; Fan, J.; Xian, Z. Assimilation of MWHS-2/FY-3C 183 GHz channels using a dynamic emissivity retrieval and its impacts on precipitation forecasts: A southwest vortex case. Adv. Meteorol. 2021, 2021, 6427620. [Google Scholar] [CrossRef]
- Chen, K.; Chen, Z.; Xian, Z.; Li, G. Impacts of the All-Sky Assimilation of FY-3C and FY-3D MWHS-2 Radiances on Analyses and Forecasts of Typhoon Hagupit. Remote Sens. 2023, 15, 2279. [Google Scholar] [CrossRef]
- Xian, Z.; Chen, K.; Zhu, J. All-sky assimilation of the MWHS-2 observations and evaluation the impacts on the analyses and forecasts of binary typhoons. J. Geophys. Res. Atmos. 2019, 124, 6359–6378. [Google Scholar] [CrossRef]
- Sun, W.; Xu, Y. Assimilation of FY-3D MWHS-2 radiances with WRF hybrid-3DVar system for the forecast of heavy rainfall evolution associated with Typhoon Ampil. Mon. Weather. Rev. 2021, 149, 1419–1437. [Google Scholar] [CrossRef]
- Xu, D.; Shu, A.; Li, H.; Shen, F.; Li, Q.; Su, H. Effects of Assimilating Clear-Sky FY-3D MWHS2 Radiance on the Numerical Simulation of Tropical Storm Ampil. Remote Sens. 2021, 13, 2873. [Google Scholar] [CrossRef]
- Song, L.; Shen, F.; Shao, C.; Shu, A.; Zhu, L. Impacts of 3DEnVar-Based FY-3D MWHS-2 Radiance Assimilation on Numerical Simulations of Landfalling Typhoon Ampil (2018). Remote Sens. 2022, 14, 6037. [Google Scholar] [CrossRef]
- Shu, A.; Xu, D.; Zhang, S.; Shen, F.; Zhang, X.; Song, L. Impacts of Multi-Source Microwave Satellite Radiance Data Assimilation on the Forecast of Typhoon Ampil. Atmosphere 2022, 13, 1427. [Google Scholar] [CrossRef]
- Li, Y.; Chen, K.; Xian, Z. Evaluation of all-Sky assimilation of FY-3C/MWHS-2 on Mei-yu precipitation forecasts over the Yangtze-Huaihe river basin. Adv. Atmos. Sci. 2021, 38, 1397–1414. [Google Scholar] [CrossRef]
- Lucia, A.; Guo, X.; Richey, P.J.; Derebail, R. Simple process equations, fixed-point methods, and chaos. AlChE J. 1990, 36, 641–654. [Google Scholar] [CrossRef]
- Ha, T.; Heo, K.-Y.; Jeon, J.S.; Kang, S. Numerical modelling of large swell waves using different atmospheric reanalysis data in east sea. J. Coast. Res. 2017, 79, 164–168. [Google Scholar] [CrossRef]
- Shen, F.; Tang, C.; Xu, D.; Li, H.; Liu, R. Experiment of assimilating Doppler radar data in Typhoon Saomai based on the different initial conditions. Haiyang Xuebao 2021, 43, 69–81. [Google Scholar]
- Li, X.; Zeng, M.; Wang, Y.; Wang, W.; Wu, H.; Mei, H. Evaluation of two momentum control variable schemes and their impact on the variational assimilation of radarwind data: Case study of a squall line. Adv. Atmos. Sci. 2016, 33, 1143–1157. [Google Scholar] [CrossRef]
- Harris, B.; Kelly, G. A satellite radiance-bias correction scheme for data assimilation. Q. J. R. Meteorolog. Soc. 2001, 127, 1453–1468. [Google Scholar] [CrossRef]
- Liou, Y.-A.; Liu, J.-C.; Liu, C.-C.; Chen, C.-H.; Nguyen, K.-A.; Terry, J.P. Consecutive dual-vortex interactions between quadruple typhoons Noru, Kulap, Nesat and Haitang during the 2017 North Pacific typhoon season. Remote Sens. 2019, 11, 1843. [Google Scholar] [CrossRef]
- Grasso, L.; Lindsey, D.T.; Lim, K.-S.S.; Clark, A.; Bikos, D.; Dembek, S.R. Evaluation of and suggested improvements to the WSM6 microphysics in WRF-ARW using synthetic and observed GOES-13 imagery. Mon. Weather. Rev. 2014, 142, 3635–3650. [Google Scholar] [CrossRef]
- Hong, S.-Y.; Lim, J.-O.J. The WRF single-moment 6-class microphysics scheme (WSM6). Asia-Pac. J. Atmos. Sci. 2006, 42, 129–151. [Google Scholar]
- Dudhia, J. Numerical study of convection observed during the winter monsoon experiment using a mesoscale two-dimensional model. J. Atmos. Sci. 1989, 46, 3077–3107. [Google Scholar] [CrossRef]
- Mlawer, E.J.; Taubman, S.J.; Brown, P.D.; Iacono, M.J.; Clough, S.A. Radiative transfer for inhomogeneous atmospheres: RRTM, a validated correlated-k model for the longwave. J. Geophys. Res. Atmos. 1997, 102, 16663–16682. [Google Scholar] [CrossRef]
- Kain, J.S. The Kain–Fritsch convective parameterization: An update. J. Appl. Meteorol. 2004, 43, 170–181. [Google Scholar] [CrossRef]
- Moradi, I.; Goldberg, M.; Brath, M.; Ferraro, R.; Buehler, S.A.; Saunders, R.; Sun, N. Performance of radiative transfer models in the microwave region. J. Geophys. Res. Atmos. 2020, 125, e2019JD031831. [Google Scholar] [CrossRef]
- Di, D.; Ai, Y.; Li, J.; Shi, W.; Lu, N. Geostationary satellite-based 6.7 μm band best water vapor information layer analysis over the Tibetan Plateau. J. Geophys. Res. Atmos. 2016, 121, 4600–4613. [Google Scholar] [CrossRef]














| Channel | Central Frequency (GHZ) | Bandwidth (MHz) | Frequency Stability (K) | Resolution (km) |
|---|---|---|---|---|
| 1 | 89 | 1500 | 50 | 25 |
| 2 | 118.75 ± 0.08 | 20 | 30 | 25 |
| 3 | 118.75 ± 0.2 | 100 | 30 | 25 |
| 4 | 118.75 ± 0.3 | 165 | 30 | 25 |
| 5 | 118.75 ± 0.8 | 200 | 30 | 25 |
| 6 | 118.75 ± 1.1 | 200 | 30 | 25 |
| 7 | 118.75 ± 2.5 | 200 | 30 | 25 |
| 8 | 118.75 ± 3.0 | 1000 | 30 | 25 |
| 9 | 118.75 ± 5.0 | 2000 | 30 | 25 |
| 10 | 150 | 1500 | 50 | 15 |
| 11 | 183.31 ± 1 | 500 | 30 | 15 |
| 12 | 183.31 ± 1.8 | 700 | 30 | 15 |
| 13 | 183.31 ± 3 | 1000 | 30 | 15 |
| 14 | 183.31 ± 4.5 | 2000 | 30 | 15 |
| 15 | 183.31 ± 7 | 2000 | 30 | 15 |
Disclaimer/Publisher’s Note: The statements, opinions and data contained in all publications are solely those of the individual author(s) and contributor(s) and not of MDPI and/or the editor(s). MDPI and/or the editor(s) disclaim responsibility for any injury to people or property resulting from any ideas, methods, instructions or products referred to in the content. |
© 2023 by the authors. Licensee MDPI, Basel, Switzerland. This article is an open access article distributed under the terms and conditions of the Creative Commons Attribution (CC BY) license (https://creativecommons.org/licenses/by/4.0/).
Share and Cite
Huang, L.; Xu, D.; Li, H.; Jiang, L.; Shu, A. Assimilating FY-3D MWHS2 Radiance Data to Predict Typhoon Muifa Based on Different Initial Background Conditions and Fast Radiative Transfer Models. Remote Sens. 2023, 15, 3220. https://doi.org/10.3390/rs15133220
Huang L, Xu D, Li H, Jiang L, Shu A. Assimilating FY-3D MWHS2 Radiance Data to Predict Typhoon Muifa Based on Different Initial Background Conditions and Fast Radiative Transfer Models. Remote Sensing. 2023; 15(13):3220. https://doi.org/10.3390/rs15133220
Chicago/Turabian StyleHuang, Lizhen, Dongmei Xu, Hong Li, Lipeng Jiang, and Aiqing Shu. 2023. "Assimilating FY-3D MWHS2 Radiance Data to Predict Typhoon Muifa Based on Different Initial Background Conditions and Fast Radiative Transfer Models" Remote Sensing 15, no. 13: 3220. https://doi.org/10.3390/rs15133220
APA StyleHuang, L., Xu, D., Li, H., Jiang, L., & Shu, A. (2023). Assimilating FY-3D MWHS2 Radiance Data to Predict Typhoon Muifa Based on Different Initial Background Conditions and Fast Radiative Transfer Models. Remote Sensing, 15(13), 3220. https://doi.org/10.3390/rs15133220
