Predicting Dry Pea Maturity Using Machine Learning and Advanced Sensor Fusion with Unmanned Aerial Systems (UASs)
Abstract
1. Introduction
2. Materials and Methods
2.1. Study Area and Data Acquisition
2.2. Data Pre-Processing and Image Processing
2.2.1. Radiometric Calibration
2.2.2. Image Stitching and Plot Data Extraction
2.2.3. Masking out Soil and Shaded Pixels
2.2.4. Outlier Detection and Removal
2.2.5. Machine Learning Datasets Creation and Feature Selection
2.3. Machine Learning Models
2.3.1. RF
2.3.2. KNN
2.3.3. ANN
2.3.4. NB
2.3.5. SVM
2.3.6. Late Fusion
2.4. Model Architecture and Trainging Process
2.4.1. Model Configuration
2.4.2. Model Inputs
2.4.3. Model Implementation
2.4.4. Model Assessment
3. Results
3.1. Optimal Time for Dry Pea Maturity Assessment
3.2. Feature Selection
3.3. Performance of UAS-Derived Predictors for Dry Pea Maturity
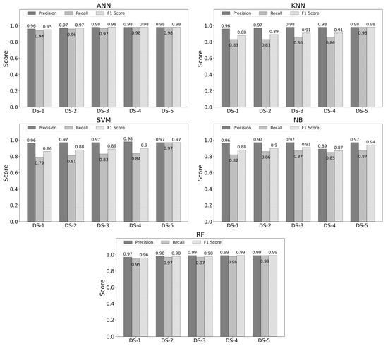
3.4. Machine Learning Model Performance for Estimating Dry Pea Maturity with Combined Datasets
3.5. Performances of Machine Learning Models in Estimateingthe Maturity of Dry Peas by Considering Plant Growth Stage
4. Discussion
5. Conclusions
Author Contributions
Funding
Data Availability Statement
Acknowledgments
Conflicts of Interest
References
- Tulbek, M.; Lam, R.; Asavajaru, P.; Wang, C. Pea: A Sustainable Vegetable Protein Crop. In Sustainable Protein Sources; Elsevier: Amsterdam, The Netherlands, 2017; pp. 145–164. [Google Scholar]
- Quirós Vargas, J.J.; Zhang, C.; Smitchger, J.A.; McGee, R.J.; Sankaran, S. Phenotyping of Plant Biomass and Performance Traits Using Remote Sensing Techniques in Pea (Pisum sativum L.). Sensors 2019, 19, 2031. [Google Scholar] [CrossRef] [PubMed]
- Lupwayi, N.Z.; Clayton, G.W.; Rice, W.A. Rhizobial Inoculants for Legume Crops. J. Crop Improv. 2006, 15, 289–321. [Google Scholar] [CrossRef]
- Singh, K.D.; Duddu, H.S.N.; Vail, S.; Parkin, I.; Shirtliffe, S.J. UAV-Based Hyperspectral Imaging Technique to Estimate Canola (Brassica napus L.) Seedpods Maturity. Can. J. Remote Sens. 2021, 47, 33–47. [Google Scholar] [CrossRef]
- Williams, E.J.; Drexler, J.S. A Non-Destructive Method for Determining Peanut Pod Maturity. Peanut Sci. 1981, 8, 134–141. [Google Scholar] [CrossRef]
- Hassanzadeh, A.; Zhang, F.; Murphy, S.P.; Pethybridge, S.J.; van Aardt, J. Toward Crop Maturity Assessment via UAS-Based Imaging Spectroscopy—A Snap Bean Pod Size Classification Field Study. IEEE Trans. Geosci. Remote Sens. 2021, 60, 5519717. [Google Scholar] [CrossRef]
- Sharma, B.; Yadav, J.K.P.S.; Yadav, S. Predict Crop Production in India Using Machine Learning Technique: A Survey. In Proceedings of the 2020 8th International Conference on Reliability, Infocom Technologies and Optimization (Trends and Future Directions) (ICRITO), Noida, India, 4–5 June 2020; pp. 993–997. [Google Scholar]
- Galli, G.; Horne, D.W.; Collins, S.D.; Jung, J.; Chang, A.; Fritsche-Neto, R.; Rooney, W.L. Optimization of UAS-Based High-Throughput Phenotyping to Estimate Plant Health and Grain Yield in Sorghum. Plant Phenome J. 2020, 3, e20010. [Google Scholar] [CrossRef]
- Guo, W.; Carroll, M.E.; Singh, A.; Swetnam, T.L.; Merchant, N.; Sarkar, S.; Singh, A.K.; Ganapathysubramanian, B. UAS-Based Plant Phenotyping for Research and Breeding Applications. Plant Phenomics 2021, 2021, 9840192. [Google Scholar] [CrossRef]
- Houldcroft, C.J.; Campbell, C.L.; Davenport, I.J.; Gurney, R.J.; Holden, N. Measurement of Canopy Geometry Characteristics Using LiDAR Laser Altimetry: A Feasibility Study. IEEE Trans. Geosci. Remote Sens. 2005, 43, 2270–2282. [Google Scholar]
- Walter, J.D.; Edwards, J.; McDonald, G.; Kuchel, H. Estimating Biomass and Canopy Height with LiDAR for Field Crop Breeding. Front. Plant Sci. 2019, 10, 1145. [Google Scholar] [CrossRef]
- Elmenreich, W. An Introduction to Sensor Fusion. Vienna Univ. Technol. Austria 2002, 502, 1–28. [Google Scholar]
- Zakaria, A.; Shakaff, A.Y.M.; Masnan, M.J.; Saad, F.S.A.; Adom, A.H.; Ahmad, M.N.; Jaafar, M.N.; Abdullah, A.H.; Kamarudin, L.M. Improved Maturity and Ripeness Classifications of Magnifera Indica Cv. Harumanis Mangoes through Sensor Fusion of an Electronic Nose and Acoustic Sensor. Sensors 2012, 12, 6023–6048. [Google Scholar] [CrossRef] [PubMed]
- Ignat, T.; Alchanatis, V.; Schmilovitch, Z. Maturity Prediction of Intact Bell Peppers by Sensor Fusion. Comput. Electron. Agric. 2014, 104, 9–17. [Google Scholar] [CrossRef]
- Fei, S.; Hassan, M.A.; Xiao, Y.; Su, X.; Chen, Z.; Cheng, Q.; Duan, F.; Chen, R.; Ma, Y. UAV-Based Multi-Sensor Data Fusion and Machine Learning Algorithm for Yield Prediction in Wheat. Precis. Agric. 2023, 24, 187–212. [Google Scholar] [CrossRef]
- Maimaitijiang, M.; Sagan, V.; Sidike, P.; Daloye, A.M.; Erkbol, H.; Fritschi, F.B. Crop Monitoring Using Satellite/UAV Data Fusion and Machine Learning. Remote Sens. 2020, 12, 1357. [Google Scholar] [CrossRef]
- Liakos, K.G.; Busato, P.; Moshou, D.; Pearson, S.; Bochtis, D. Machine Learning in Agriculture: A Review. Sensors 2018, 18, 2674. [Google Scholar] [CrossRef] [PubMed]
- Divyanth, L.; Marzougui, A.; González-Bernal, M.J.; McGee, R.J.; Rubiales, D.; Sankaran, S. Evaluation of Effective Class-Balancing Techniques for CNN-Based Assessment of Aphanomyces Root Rot Resistance in Pea (Pisum sativum L.). Sensors 2022, 22, 7237. [Google Scholar] [CrossRef]
- Adak, A.; Murray, S.C.; Božinović, S.; Lindsey, R.; Nakasagga, S.; Chatterjee, S.; Anderson, S.L.; Wilde, S. Temporal Vegetation Indices and Plant Height from Remotely Sensed Imagery Can Predict Grain Yield and Flowering Time Breeding Value in Maize via Machine Learning Regression. Remote Sens. 2021, 13, 2141. [Google Scholar] [CrossRef]
- Zheng, C.; Abd-Elrahman, A.; Whitaker, V.; Dalid, C. Prediction of Strawberry Dry Biomass from UAV Multispectral Imagery Using Multiple Machine Learning Methods. Remote Sens. 2022, 14, 4511. [Google Scholar] [CrossRef]
- Barzin, R.; Lotfi, H.; Varco, J.J.; Bora, G.C. Machine Learning in Evaluating Multispectral Active Canopy Sensor for Prediction of Corn Leaf Nitrogen Concentration and Yield. Remote Sens. 2022, 14, 120. [Google Scholar] [CrossRef]
- Zhuo, W.; Huang, J.; Gao, X.; Ma, H.; Huang, H.; Su, W.; Meng, J.; Li, Y.; Chen, H.; Yin, D. Prediction of Winter Wheat Maturity Dates through Assimilating Remotely Sensed Leaf Area Index into Crop Growth Model. Remote Sens. 2020, 12, 2896. [Google Scholar] [CrossRef]
- Yu, N.; Li, L.; Schmitz, N.; Tian, L.F.; Greenberg, J.A.; Diers, B.W. Development of Methods to Improve Soybean Yield Estimation and Predict Plant Maturity with an Unmanned Aerial Vehicle Based Platform. Remote Sens. Environ. 2016, 187, 91–101. [Google Scholar] [CrossRef]
- Teodoro, P.E.; Teodoro, L.P.R.; Baio, F.H.R.; da Silva Junior, C.A.; dos Santos, R.G.; Ramos, A.P.M.; Pinheiro, M.M.F.; Osco, L.P.; Gonçalves, W.N.; Carneiro, A.M.; et al. Predicting Days to Maturity, Plant Height, and Grain Yield in Soybean: A Machine and Deep Learning Approach Using Multispectral Data. Remote Sens. 2021, 13, 4632. [Google Scholar] [CrossRef]
- Hunt, E.R., Jr.; Daughtry, C.; Eitel, J.U.; Long, D.S. Remote Sensing Leaf Chlorophyll Content Using a Visible Band Index. Agron. J. 2011, 103, 1090–1099. [Google Scholar] [CrossRef]
- Ihuoma, S.O.; Madramootoo, C.A. Sensitivity of Spectral Vegetation Indices for Monitoring Water Stress in Tomato Plants. Comput. Electron. Agric. 2019, 163, 104860. [Google Scholar] [CrossRef]
- Eng, L.S.; Ismail, R.; Hashim, W.; Baharum, A. The Use of VARI, GLI, and VIgreen Formulas in Detecting Vegetation in Aerial Images. Int. J. Technol. 2019, 10, 1385–1394. [Google Scholar] [CrossRef]
- Jiang, J.; Cai, W.; Zheng, H.; Cheng, T.; Tian, Y.; Zhu, Y.; Ehsani, R.; Hu, Y.; Niu, Q.; Gui, L.; et al. Using Digital Cameras on an Unmanned Aerial Vehicle to Derive Optimum Color Vegetation Indices for Leaf Nitrogen Concentration Monitoring in Winter Wheat. Remote Sens. 2019, 11, 2667. [Google Scholar] [CrossRef]
- Yeom, J.; Jung, J.; Chang, A.; Ashapure, A.; Maeda, M.; Maeda, A.; Landivar, J. Comparison of Vegetation Indices Derived from UAV Data for Differentiation of Tillage Effects in Agriculture. Remote Sens. 2019, 11, 1548. [Google Scholar] [CrossRef]
- Lu, J.; Cheng, D.; Geng, C.; Zhang, Z.; Xiang, Y.; Hu, T. Combining Plant Height, Canopy Coverage and Vegetation Index from UAV-Based RGB Images to Estimate Leaf Nitrogen Concentration of Summer Maize. Biosyst. Eng. 2021, 202, 42–54. [Google Scholar] [CrossRef]
- Stanton, C.; Starek, M.J.; Elliott, N.; Brewer, M.; Maeda, M.M.; Chu, T. Unmanned Aircraft System-Derived Crop Height and Normalized Difference Vegetation Index Metrics for Sorghum Yield and Aphid Stress Assessment. J. Appl. Remote Sens. 2017, 11, 026035. [Google Scholar] [CrossRef]
- Shafian, S.; Rajan, N.; Schnell, R.; Bagavathiannan, M.; Valasek, J.; Shi, Y.; Olsenholler, J. Unmanned Aerial Systems-Based Remote Sensing for Monitoring Sorghum Growth and Development. PLoS ONE 2018, 13, e0196605. [Google Scholar] [CrossRef]
- Zhang, J.; Qiu, X.; Wu, Y.; Zhu, Y.; Cao, Q.; Liu, X.; Cao, W. Combining Texture, Color, and Vegetation Indices from Fixed-Wing UAS Imagery to Estimate Wheat Growth Parameters Using Multivariate Regression Methods. Comput. Electron. Agric. 2021, 185, 106138. [Google Scholar] [CrossRef]
- Candiago, S.; Remondino, F.; De Giglio, M.; Dubbini, M.; Gattelli, M. Evaluating Multispectral Images and Vegetation Indices for Precision Farming Applications from UAV Images. Remote Sens. 2015, 7, 4026–4047. [Google Scholar] [CrossRef]
- Barzin, R.; Pathak, R.; Lotfi, H.; Varco, J.; Bora, G.C. Use of UAS Multispectral Imagery at Different Physiological Stages for Yield Prediction and Input Resource Optimization in Corn. Remote Sens. 2020, 12, 2392. [Google Scholar] [CrossRef]
- Blanco, V.; Blaya-Ros, P.J.; Castillo, C.; Soto-Vallés, F.; Torres-Sánchez, R.; Domingo, R. Potential of UAS-Based Remote Sensing for Estimating Tree Water Status and Yield in Sweet Cherry Trees. Remote Sens. 2020, 12, 2359. [Google Scholar] [CrossRef]
- Burns, B.W.; Green, V.S.; Hashem, A.A.; Massey, J.H.; Shew, A.M.; Adviento-Borbe, M.A.A.; Milad, M. Determining Nitrogen Deficiencies for Maize Using Various Remote Sensing Indices. Precis. Agric. 2022, 23, 791–811. [Google Scholar] [CrossRef]
- Gano, B.; Dembele, J.S.B.; Ndour, A.; Luquet, D.; Beurier, G.; Diouf, D.; Audebert, A. Using Uav Borne, Multi-Spectral Imaging for the Field Phenotyping of Shoot Biomass, Leaf Area Index and Height of West African Sorghum Varieties under Two Contrasted Water Conditions. Agronomy 2021, 11, 850. [Google Scholar] [CrossRef]
- Dong, T.; Liu, J.; Shang, J.; Qian, B.; Ma, B.; Kovacs, J.M.; Walters, D.; Jiao, X.; Geng, X.; Shi, Y. Assessment of Red-Edge Vegetation Indices for Crop Leaf Area Index Estimation. Remote Sens. Environ. 2019, 222, 133–143. [Google Scholar] [CrossRef]
- Xie, Q.; Dash, J.; Huang, W.; Peng, D.; Qin, Q.; Mortimer, H.; Casa, R.; Pignatti, S.; Laneve, G.; Pascucci, S.; et al. Vegetation Indices Combining the Red and Red-Edge Spectral Information for Leaf Area Index Retrieval. IEEE J. Sel. Top. Appl. Earth Obs. Remote Sens. 2018, 11, 1482–1493. [Google Scholar] [CrossRef]
- Adamczyk, J.; Osberger, A. Red-Edge Vegetation Indices for Detecting and Assessing Disturbances in Norway Spruce Dominated Mountain Forests. Int. J. Appl. Earth Obs. Geoinf. 2015, 37, 90–99. [Google Scholar] [CrossRef]
- Datt, B. A New Reflectance Index for Remote Sensing of Chlorophyll Content in Higher Plants: Tests Using Eucalyptus Leaves. J. Plant Physiol. 1999, 154, 30–36. [Google Scholar] [CrossRef]
- Stow, D.; Nichol, C.J.; Wade, T.; Assmann, J.J.; Simpson, G.; Helfter, C. Illumination Geometry and Flying Height Influence Surface Reflectance and NDVI Derived from Multispectral UAS Imagery. Drones 2019, 3, 55. [Google Scholar] [CrossRef]
- Li, J.; Shi, Y.; Veeranampalayam-Sivakumar, A.N.; Schachtman, D.P. Elucidating Sorghum Biomass, Nitrogen and Chlorophyll Contents with Spectral and Morphological Traits Derived from Unmanned Aircraft System. Front. Plant Sci. 2018, 9, 1406. [Google Scholar] [CrossRef] [PubMed]
- Ostroumov, I.; Kuzmenko, N. Outliers Detection in Unmanned Aerial System Data. In Proceedings of the 2021 11th International Conference on Advanced Computer Information Technologies (ACIT), Deggendorf, Germany, 15–17 September 2021; pp. 591–594. [Google Scholar]
- Torres, J.M.; Nieto, P.G.; Alejano, L.; Reyes, A. Detection of Outliers in Gas Emissions from Urban Areas Using Functional Data Analysis. J. Hazard. Mater. 2011, 186, 144–149. [Google Scholar] [CrossRef] [PubMed]
- Schubert, E.; Zimek, A.; Kriegel, H.-P. Generalized Outlier Detection with Flexible Kernel Density Estimates. In Proceedings of the 2014 SIAM International Conference on Data Mining, Philadelphia, PA, USA, 24–26 April 2014; SIAM: Philadelphia, PA, USA, 2014; pp. 542–550. [Google Scholar]
- Nurunnabi, A.; West, G.; Belton, D. Outlier Detection and Robust Normal-Curvature Estimation in Mobile Laser Scanning 3D Point Cloud Data. Pattern Recognit. 2015, 48, 1404–1419. [Google Scholar] [CrossRef]
- Brede, B.; Terryn, L.; Barbier, N.; Bartholomeus, H.M.; Bartolo, R.; Calders, K.; Derroire, G.; Krishna Moorthy, S.M.; Lau, A.; Levick, S.R.; et al. Non-Destructive Estimation of Individual Tree Biomass: Allometric Models, Terrestrial and UAV Laser Scanning. Remote Sens. Environ. 2022, 280, 113180. [Google Scholar] [CrossRef]
- Zhang, A.; Yu, H.; Huan, Z.; Yang, X.; Zheng, S.; Gao, S. SMOTE-RkNN: A Hybrid Re-Sampling Method Based on SMOTE and Reverse k-Nearest Neighbors. Inf. Sci. 2022, 595, 70–88. [Google Scholar] [CrossRef]
- Li, J.; Cheng, K.; Wang, S.; Morstatter, F.; Trevino, R.P.; Tang, J.; Liu, H. Feature Selection: A Data Perspective. ACM Comput. Surv. 2017, 50, 1–45. [Google Scholar] [CrossRef]
- Luo, H.; Li, M.; Dai, S.; Li, H.; Li, Y.; Hu, Y.; Zheng, Q.; Yu, X.; Fang, J. Combinations of Feature Selection and Machine Learning Algorithms for Object-Oriented Betel Palms and Mango Plantations Classification Based on Gaofen-2 Imagery. Remote Sens. 2022, 14, 1757. [Google Scholar] [CrossRef]
- You, W.; Yang, Z.; Ji, G. Feature Selection for High-Dimensional Multi-Category Data Using PLS-Based Local Recursive Feature Elimination. Expert Syst. Appl. 2014, 41, 1463–1475. [Google Scholar] [CrossRef]
- Khuimphukhieo, I.; Marconi, T.; Enciso, J.; da Silva, J.A. The Use of UAS-Based High Throughput Phenotyping (HTP) to Assess Sugarcane Yield. J. Agric. Food Res. 2023, 11, 100501. [Google Scholar] [CrossRef]
- Bhandari, M. High-Throughput Field Phenotyping in Wheat Using Unmanned Aerial Systems (UAS). Ph.D. Thesis, Texas A&M University, College Station, TX, USA, 2020. [Google Scholar]
- Shu, M.; Fei, S.; Zhang, B.; Yang, X.; Guo, Y.; Li, B.; Ma, Y. Application of UAV Multisensor Data and Ensemble Approach for High-Throughput Estimation of Maize Phenotyping Traits. Plant Phenomics 2022, 2022, 9802585. [Google Scholar] [CrossRef] [PubMed]
- Niazian, M.; Niedbała, G. Machine Learning for Plant Breeding and Biotechnology. Agriculture 2020, 10, 436. [Google Scholar] [CrossRef]
- Muthulakshmi, A.; Renjith, P.N. Classification of Durian Fruits Based on Ripening with Machine Learning Techniques. In Proceedings of the 2020 3rd International Conference on Intelligent Sustainable Systems (ICISS), Thoothukudi, India, 3–5 December 2020; pp. 542–547. [Google Scholar]
- Xie, Z.; Chen, S.; Gao, G.; Li, H.; Wu, X.; Meng, L.; Ma, Y. Evaluation of Rapeseed Flowering Dynamics for Different Genotypes with UAV Platform and Machine Learning Algorithm. Precis. Agric. 2022, 23, 1688–1706. [Google Scholar] [CrossRef]
- Schonlau, M.; Zou, R.Y. The Random Forest Algorithm for Statistical Learning. Stata J. 2020, 20, 3–29. [Google Scholar] [CrossRef]
- Guo, G.; Wang, H.; Bell, D.; Bi, Y.; Greer, K. KNN Model-Based Approach in Classification. In Proceedings of the OTM Confederated International Conferences on the Move to Meaningful Internet Systems; Springer: Berlin/Heidelberg, Germany, 2003; pp. 986–996. [Google Scholar]
- Kriegeskorte, N.; Golan, T. Neural Network Models and Deep Learning. Curr. Biol. 2019, 29, R231–R236. [Google Scholar] [CrossRef]
- Slavova, V.; Ropelewska, E.; Sabanci, K.; Aslan, M.F.; Nacheva, E. A Comparative Evaluation of Bayes, Functions, Trees, Meta, Rules and Lazy Machine Learning Algorithms for the Discrimination of Different Breeding Lines and Varieties of Potato Based on Spectroscopic Data. Eur. Food Res. Technol. 2022, 248, 1765–1775. [Google Scholar] [CrossRef]
- Ray, S. A Quick Review of Machine Learning Algorithms. In Proceedings of the 2019 International Conference on Machine Learning, Big Data, Cloud And Parallel Computing (COMITCon), Faridabad, India, 14–16 February 2019; IEEE: Piscataway, NJ, USA, 2019; pp. 35–39. [Google Scholar]
- Safont, G.; Salazar, A.; Vergara, L. Vector Score Alpha Integration for Classifier Late Fusion. Pattern Recognit. Lett. 2020, 136, 48–55. [Google Scholar] [CrossRef]
- Mohandes, M.; Deriche, M.; Aliyu, S.O. Classifiers Combination Techniques: A Comprehensive Review. IEEE Access 2018, 6, 19626–19639. [Google Scholar] [CrossRef]
- Zhang, Y.; Yang, Y.; Zhang, Q.; Duan, R.; Liu, J.; Qin, Y.; Wang, X. Toward Multi-Stage Phenotyping of Soybean with Multimodal UAV Sensor Data: A Comparison of Machine Learning Approaches for Leaf Area Index Estimation. Remote Sens. 2022, 15, 7. [Google Scholar] [CrossRef]
- Yang, H.; Li, F.; Wang, W.; Yu, K. Estimating Above-Ground Biomass of Potato Using Random Forest and Optimized Hyperspectral Indices. Remote Sens. 2021, 13, 2339. [Google Scholar] [CrossRef]
- Barradas, A.; Correia, P.M.P.; Silva, S.; Mariano, P.; Pires, M.C.; Matos, A.R.; da Silva, A.B.; Marques da Silva, J. Comparing Machine Learning Methods for Classifying Plant Drought Stress from Leaf Reflectance Spectra in Arabidopsis Thaliana. Appl. Sci. 2021, 11, 6392. [Google Scholar] [CrossRef]
- Muharam, F.M.; Nurulhuda, K.; Zulkafli, Z.; Tarmizi, M.A.; Abdullah, A.N.H.; Che Hashim, M.F.; Mohd Zad, S.N.; Radhwane, D.; Ismail, M.R. UAV- and Random-Forest-AdaBoost (RFA)-Based Estimation of Rice Plant Traits. Agronomy 2021, 11, 915. [Google Scholar] [CrossRef]
- Pranga, J.; Borra-Serrano, I.; Aper, J.; De Swaef, T.; Ghesquiere, A.; Quataert, P.; Roldán-Ruiz, I.; Janssens, I.A.; Ruysschaert, G.; Lootens, P. Improving Accuracy of Herbage Yield Predictions in Perennial Ryegrass with Uav-Based Structural and Spectral Data Fusion and Machine Learning. Remote Sens. 2021, 13, 3459. [Google Scholar] [CrossRef]
- Virnodkar, S.S.; Pachghare, V.K.; Patil, V.; Jha, S.K. Remote Sensing and Machine Learning for Crop Water Stress Determination in Various Crops: A Critical Review. Precis. Agric. 2020, 21, 1121–1155. [Google Scholar] [CrossRef]
- Lee, U.; Chang, S.; Putra, G.A.; Kim, H.; Kim, D.H. An Automated, High-Throughput Plant Phenotyping System Using Machine Learning-Based Plant Segmentation and Image Analysis. PLoS ONE 2018, 13, e0196615. [Google Scholar] [CrossRef]
- Paulus, S.; Dupuis, J.; Riedel, S.; Kuhlmann, H. Automated Analysis of Barley Organs Using 3D Laser Scanning: An Approach for High Throughput Phenotyping. Sensors 2014, 14, 12670–12686. [Google Scholar] [CrossRef]
- Rehman, T.U.; Ma, D.; Wang, L.; Zhang, L.; Jin, J. Predictive Spectral Analysis Using an End-to-End Deep Model from Hyperspectral Images for High-Throughput Plant Phenotyping. Comput. Electron. Agric. 2020, 177, 105713. [Google Scholar] [CrossRef]
- Zhao, B.; Li, J.; Baenziger, P.S.; Belamkar, V.; Ge, Y.; Zhang, J.; Shi, Y. Automatic Wheat Lodging Detection and Mapping in Aerial Imagery to Support High-Throughput Phenotyping and In-Season Crop Management. Agronomy 2020, 10, 1762. [Google Scholar] [CrossRef]
- Zhou, J.; Zhou, J.; Ye, H.; Ali, M.L.; Chen, P.; Nguyen, H.T. Yield Estimation of Soybean Breeding Lines under Drought Stress Using Unmanned Aerial Vehicle-Based Imagery and Convolutional Neural Network. Biosyst. Eng. 2021, 204, 90–103. [Google Scholar] [CrossRef]
- Ballesta, P.; Maldonado, C.; Mora-Poblete, F.; Mieres-Castro, D.; del Pozo, A.; Lobos, G.A. Spectral-Based Classification of Genetically Differentiated Groups in Spring Wheat Grown under Contrasting Environments. Plants 2023, 12, 440. [Google Scholar] [CrossRef]
- Shi, G.; Du, X.; Du, M.; Li, Q.; Tian, X.; Ren, Y.; Zhang, Y.; Wang, H. Cotton Yield Estimation Using the Remotely Sensed Cotton Boll Index from UAV Images. Drones 2022, 6, 254. [Google Scholar] [CrossRef]
- Du, J.; Lu, X.; Fan, J.; Qin, Y.; Yang, X.; Guo, X. Image-Based High-Throughput Detection and Phenotype Evaluation Method for Multiple Lettuce Varieties. Front. Plant Sci. 2020, 11, 563386. [Google Scholar] [CrossRef]
- Samac, A. Objective Phenotyping of Root System Architecture Using Image Augmentation and Machine Learning in Alfalfa (Medicago sativa L.). Plant Phenomics 2022, 2022, 9879610. [Google Scholar]
- Shirzadifar, A.; Bajwa, S.; Nowatzki, J.; Bazrafkan, A. Field Identification of Weed Species and Glyphosate-Resistant Weeds Using High Resolution Imagery in Early Growing Season. Biosyst. Eng. 2020, 200, 200–214. [Google Scholar] [CrossRef]
- Yu, J.; Cheng, T.; Cai, N.; Zhou, X.-G.; Diao, Z.; Wang, T.; Du, S.; Liang, D.; Zhang, D. Wheat Lodging Segmentation Based on Lstm_PSPNet Deep Learning Network. Drones 2023, 7, 143. [Google Scholar] [CrossRef]
- Saito, T.; Rehmsmeier, M. The Precision-Recall Plot Is More Informative than the ROC Plot When Evaluating Binary Classifiers on Imbalanced Datasets. PLoS ONE 2015, 10, e0118432. [Google Scholar] [CrossRef]
- Gong, M. A Novel Performance Measure for Machine Learning Classification. Int. J. Manag. Inf. Technol. IJMIT 2021, 13, 14. [Google Scholar] [CrossRef]
- Wu, C.; Niu, Z.; Tang, Q.; Huang, W. Estimating Chlorophyll Content from Hyperspectral Vegetation Indices: Modeling and Validation. Agric. For. Meteorol. 2008, 148, 1230–1241. [Google Scholar] [CrossRef]
- Trevisan, R.; Pérez, O.; Schmitz, N.; Diers, B.; Martin, N. High-Throughput Phenotyping of Soybean Maturity Using Time Series UAV Imagery and Convolutional Neural Networks. Remote Sens. 2020, 12, 3617. [Google Scholar] [CrossRef]
- Zhang, J.; Pan, Y.; Tao, X.; Wang, B.; Cao, Q.; Tian, Y.; Zhu, Y.; Cao, W.; Liu, X. In-Season Mapping of Rice Yield Potential at Jointing Stage Using Sentinel-2 Images Integrated with High-Precision UAS Data. Eur. J. Agron. 2023, 146, 126808. [Google Scholar] [CrossRef]
- Bhandari, M.; Baker, S.; Rudd, J.C.; Ibrahim, A.M.H.; Chang, A.; Xue, Q.; Jung, J.; Landivar, J.; Auvermann, B. Assessing the Effect of Drought on Winter Wheat Growth Using Unmanned Aerial System (UAS)-Based Phenotyping. Remote Sens. 2021, 13, 1144. [Google Scholar] [CrossRef]
- Zhang, J.; Song, Q.; Cregan, P.B.; Nelson, R.L.; Wang, X.; Wu, J.; Jiang, G.-L. Genome-Wide Association Study for Flowering Time, Maturity Dates and Plant Height in Early Maturing Soybean (Glycine max) Germplasm. BMC Genom. 2015, 16, 217. [Google Scholar] [CrossRef] [PubMed]
- Duncanson, L.I.; Niemann, K.O.; Wulder, M.A. Estimating Forest Canopy Height and Terrain Relief from GLAS Waveform Metrics. Remote Sens. Environ. 2010, 114, 138–154. [Google Scholar] [CrossRef]
- Sweet, D.D.; Tirado, S.B.; Springer, N.M.; Hirsch, C.N.; Hirsch, C.D. Opportunities and Challenges in Phenotyping Row Crops Using Drone-Based RGB Imaging. Plant Phenome J. 2022, 5, e20044. [Google Scholar] [CrossRef]
- Walter, T.; Massin, P.; Erginay, A.; Ordonez, R.; Jeulin, C.; Klein, J.-C. Automatic Detection of Microaneurysms in Color Fundus Images. Med. Image Anal. 2007, 11, 555–566. [Google Scholar] [CrossRef]
- Meena, S.V.; Dhaka, V.S.; Sinwar, D. Exploring the Role of Vegetation Indices in Plant Diseases Identification. In Proceedings of the 2020 Sixth International Conference on Parallel, Distributed and Grid Computing (PDGC), Waknaghat, India, 6–8 November 2020; IEEE: Piscataway, NJ, USA, 2020; pp. 372–377. [Google Scholar]
- Cao, X.; Liu, Y.; Yu, R.; Han, D.; Su, B. A Comparison of UAV RGB and Multispectral Imaging in Phenotyping for Stay Green of Wheat Population. Remote Sens. 2021, 13, 5173. [Google Scholar] [CrossRef]
- Sun, H. Crop Vegetation Indices. In Encyclopedia of Smart Agriculture Technologies; Springer: Berlin/Heidelberg, Germany, 2023; pp. 1–7. [Google Scholar]
- Hatfield, J.L.; Prueger, J.H. Value of Using Different Vegetative Indices to Quantify Agricultural Crop Characteristics at Different Growth Stages under Varying Management Practices. Remote Sens. 2010, 2, 562–578. [Google Scholar] [CrossRef]
- Zhou, J.; Yungbluth, D.; Vong, C.N.; Scaboo, A.; Zhou, J. Estimation of the Maturity Date of Soybean Breeding Lines Using UAV-Based Multispectral Imagery. Remote Sens. 2019, 11, 2075. [Google Scholar] [CrossRef]
- Khot, L.; Sankaran, S.; Cummings, T.; Johnson, D.; Carter, A.; Serra, S.; Musacchi, S. Applications of Unmanned Aerial System in Washington State Agriculture, Paper No. 1637. In Proceedings of the 12th International Conference on Precision Agriculture, Sacramento, CA, USA, 20–23 July 2014; pp. 20–23. [Google Scholar]
- Mustafa, G.; Zheng, H.; Khan, I.H.; Tian, L.; Jia, H.; Li, G.; Cheng, T.; Tian, Y.; Cao, W.; Zhu, Y.; et al. Hyperspectral Reflectance Proxies to Diagnose In-Field Fusarium Head Blight in Wheat with Machine Learning. Remote Sens. 2022, 14, 2784. [Google Scholar] [CrossRef]
- Choudhury, M.R.; Christopher, J.; Das, S.; Apan, A.; Menzies, N.W.; Chapman, S.; Mellor, V.; Dang, Y.P. Detection of Calcium, Magnesium, and Chlorophyll Variations of Wheat Genotypes on Sodic Soils Using Hyperspectral Red Edge Parameters. Environ. Technol. Innov. 2022, 27, 102469. [Google Scholar] [CrossRef]
- Hassani, K.; Gholizadeh, H.; Jacob, J.; Natalie, V.A.; Taghvaeian, S.; Raun, W.; Carpenter, J. Application of Unmanned Aircraft System (UAS)-Based RGB and Multispectral Data to Monitor Winter Wheat During the Growing Season. In Proceedings of the AGU Fall Meeting Abstracts, Virtual, 1–17 December 2020; Volume 2020, p. B013-01. [Google Scholar]
- Santana, D.C.; de Oliveira Cunha, M.P.; Dos Santos, R.G.; Cotrim, M.F.; Teodoro, L.P.R.; da Silva Junior, C.A.; Baio, F.H.R.; Teodoro, P.E. High-Throughput Phenotyping Allows the Selection of Soybean Genotypes for Earliness and High Grain Yield. Plant Methods 2022, 18, 13. [Google Scholar] [CrossRef] [PubMed]
- Thompson, C.N.; Guo, W.; Sharma, B.; Ritchie, G.L. Using Normalized Difference Red Edge Index to Assess Maturity in Cotton. Crop Sci. 2019, 59, 2167–2177. [Google Scholar] [CrossRef]
- Stamford, J.D.; Vialet-Chabrand, S.; Cameron, I.; Lawson, T. Development of an Accurate Low Cost NDVI Imaging System for Assessing Plant Health. Plant Methods 2023, 19, 9. [Google Scholar] [CrossRef] [PubMed]
- Martin, K.L.; Girma, K.; Freeman, K.; Teal, R.; Tubańa, B.; Arnall, D.; Chung, B.; Walsh, O.; Solie, J.; Stone, M.; et al. Expression of Variability in Corn as Influenced by Growth Stage Using Optical Sensor Measurements. Agron. J. 2007, 99, 384–389. [Google Scholar] [CrossRef]
- Gwathmey, C.O.; Tyler, D.D.; Yin, X. Prospects for Monitoring Cotton Crop Maturity with Normalized Difference Vegetation Index. Agron. J. 2010, 102, 1352–1360. [Google Scholar] [CrossRef]
- Liu, K.; Li, Y.; Hu, H. Predicting Ratoon Rice Growth Rhythmbased on NDVI at Key Growth Stages of Main Rice. Chil. J. Agric. Res. 2015, 75, 410–417. [Google Scholar] [CrossRef]
- Peng, J.; Manevski, K.; Kørup, K.; Larsen, R.; Andersen, M.N. Random Forest Regression Results in Accurate Assessment of Potato Nitrogen Status Based on Multispectral Data from Different Platforms and the Critical Concentration Approach. Field Crops Res. 2021, 268, 108158. [Google Scholar] [CrossRef]
- Johansen, K.; Morton, M.J.L.; Malbeteau, Y.; Aragon, B.; Al-Mashharawi, S.; Ziliani, M.G.; Angel, Y.; Fiene, G.; Negrão, S.; Mousa, M.A.A.; et al. Predicting Biomass and Yield in a Tomato Phenotyping Experiment Using UAV Imagery and Random Forest. Front. Artif. Intell. 2020, 3, 28. [Google Scholar] [CrossRef]
- Li, M.; Wang, H.; Yang, L.; Liang, Y.; Shang, Z.; Wan, H. Fast Hybrid Dimensionality Reduction Method for Classification Based on Feature Selection and Grouped Feature Extraction. Expert Syst. Appl. 2020, 150, 113277. [Google Scholar] [CrossRef]
- Galvão, L.S.; Epiphanio, J.C.N.; Breunig, F.M.; Formaggio, A.R. Crop Type Discrimination Using Hyperspectral Data: Advances and Perspectives. Biophys. Biochem. Charact. Plant Species Stud. 2018, 2018, 183–210. [Google Scholar]
- Fezai, R.; Dhibi, K.; Mansouri, M.; Trabelsi, M.; Hajji, M.; Bouzrara, K.; Nounou, H.; Nounou, M. Effective Random Forest-Based Fault Detection and Diagnosis for Wind Energy Conversion Systems. IEEE Sens. J. 2020, 21, 6914–6921. [Google Scholar] [CrossRef]
- Ibba, P.; Tronstad, C.; Moscetti, R.; Mimmo, T.; Cantarella, G.; Petti, L.; Martinsen, Ø.G.; Cesco, S.; Lugli, P. Supervised Binary Classification Methods for Strawberry Ripeness Discrimination from Bioimpedance Data. Sci. Rep. 2021, 11, 11202. [Google Scholar] [CrossRef] [PubMed]
- Chen, Q.; Zhang, M.; Xue, B. Feature Selection to Improve Generalization of Genetic Programming for High-Dimensional Symbolic Regression. IEEE Trans. Evol. Comput. 2017, 21, 792–806. [Google Scholar] [CrossRef]
- Koo, C.L.; Liew, M.J.; Mohamad, M.S.; Mohamed Salleh, A.H. A Review for Detecting Gene-Gene Interactions Using Machine Learning Methods in Genetic Epidemiology. BioMed Res. Int. 2013, 2013, 432375. [Google Scholar] [CrossRef]
- Zhang, C.; McGee, R.J.; Vandemark, G.J.; Sankaran, S. Crop Performance Evaluation of Chickpea and Dry Pea Breeding Lines across Seasons and Locations Using Phenomics Data. Front. Plant Sci. 2021, 12, 640259. [Google Scholar] [CrossRef]
- Kanke, Y.; Tubaña, B.; Dalen, M.; Harrell, D. Evaluation of Red and Red-Edge Reflectance-Based Vegetation Indices for Rice Biomass and Grain Yield Prediction Models in Paddy Fields. Precis. Agric. 2016, 17, 507–530. [Google Scholar] [CrossRef]
- Evangelides, C.; Nobajas, A. Red-Edge Normalised Difference Vegetation Index (NDVI705) from Sentinel-2 Imagery to Assess Post-Fire Regeneration. Remote Sens. Appl. Soc. Environ. 2020, 17, 100283. [Google Scholar] [CrossRef]
- Li, F.; Miao, Y.; Feng, G.; Yuan, F.; Yue, S.; Gao, X.; Liu, Y.; Liu, B.; Ustin, S.L.; Chen, X. Improving Estimation of Summer Maize Nitrogen Status with Red Edge-Based Spectral Vegetation Indices. Field Crops Res. 2014, 157, 111–123. [Google Scholar] [CrossRef]
- Mao, P.; Qin, L.; Hao, M.; Zhao, W.; Luo, J.; Qiu, X.; Xu, L.; Xiong, Y.; Ran, Y.; Yan, C.; et al. An Improved Approach to Estimate Above-Ground Volume and Biomass of Desert Shrub Communities Based on UAV RGB Images. Ecol. Indic. 2021, 125, 107494. [Google Scholar] [CrossRef]
- Taheri, S.; Mammadov, M. Learning the Naive Bayes Classifier with Optimization Models. Int. J. Appl. Math. Comput. Sci. 2013, 23, 787–795. [Google Scholar] [CrossRef]
- Singh, A.; Thakur, N.; Sharma, A. A Review of Supervised Machine Learning Algorithms. In Proceedings of the 2016 3rd International Conference on Computing for Sustainable Global Development (INDIACom), New Delhi, India, 16–18 March 2016; IEEE: Piscataway, NJ, USA, 2016; pp. 1310–1315. [Google Scholar]
- Calders, T.; Verwer, S. Three Naive Bayes Approaches for Discrimination-Free Classification. Data Min. Knowl. Discov. 2010, 21, 277–292. [Google Scholar] [CrossRef]
- Boulesteix, A.-L.; Janitza, S.; Kruppa, J.; König, I.R. Overview of Random Forest Methodology and Practical Guidance with Emphasis on Computational Biology and Bioinformatics. Wiley Interdiscip. Rev. Data Min. Knowl. Discov. 2012, 2, 493–507. [Google Scholar] [CrossRef]
- Li, J.; Tran, M.; Siwabessy, J. Selecting Optimal Random Forest Predictive Models: A Case Study on Predicting the Spatial Distribution of Seabed Hardness. PLoS ONE 2016, 11, e0149089. [Google Scholar] [CrossRef] [PubMed]
- Rodriguez-Galiano, V.F.; Ghimire, B.; Rogan, J.; Chica-Olmo, M.; Rigol-Sanchez, J.P. An Assessment of the Effectiveness of a Random Forest Classifier for Land-Cover Classification. ISPRS J. Photogramm. Remote Sens. 2012, 67, 93–104. [Google Scholar] [CrossRef]
- Basso, B.; Cammarano, D.; De Vita, P. Remotely Sensed Vegetation Indices: Theory and Applications for Crop Management. Riv. Ital. Di Agrometeorol. 2004, 1, 36–53. [Google Scholar]
- Mutanga, O.; Adam, E.; Cho, M.A. High Density Biomass Estimation for Wetland Vegetation Using Worldview-2 Imagery and Random Forest Regression Algorithm. Int. J. Appl. Earth Obs. Geoinf. 2012, 18, 399–406. [Google Scholar] [CrossRef]












| Aircraft | Sensor Type | Flight Altitude (m) | Flight Speed (m·s−1) | Side Overlap% | Forward Overlap% | Spatial Resolution (cm) |
|---|---|---|---|---|---|---|
| Matrice 300 | Zenmuse P1(RGB) | 50 | 5 | 80 | 80 | 1 |
| Zenmuse L1 (LIDAR) | 50 | 5 | 70 | 70 | 3 | |
| Matrice 200 | Mica Sense Dual System | 50 | 5 | 80 | 80 | 3 |
| VI | Name | Equation | Reference |
|---|---|---|---|
| VARI | Visible atmospherically resistant index | [27,28] | |
| ExG | Excess green index | (2 × * g × * r − * b) | [28] |
| ExR | Excess red index | (1.4 × r − b) | [29] |
| GLA | Green leaf algorithm | [27] | |
| IKAW | Kawashima index | [28] | |
| GRRI | Green, red ratio index | [30] | |
| NDVI | Normalized difference vegetation index | [31,32,33] | |
| SAVI | Soil-adjusted vegetation index | [31,34] | |
| NDRE | Normalized difference red-edge index | [35] | |
| TRRVI | Transformed red range vegetation index | [36] | |
| GSAVI | Generalized soil-adjusted vegetation index | [33] | |
| CIgreen | Green chlorophyll index | [37] | |
| GNDVI | Green normalized vegetation index | [28] | |
| SR | Simple ratio | [38] | |
| CIRE | Chlorophyll index red-edge | [39,40] | |
| NDVIRE | Red-edge normalized difference vegetation index | [39,40] | |
| Datt2 | Simple red-edge ratio | [41,42] | |
| LIC2 | Simple ratio Lichtenthaler indices 2 | [41] |
| SMOTE-ENN | Dataset | Early-Maturing Plots | Late-Maturing Plots |
|---|---|---|---|
| Before | Train | 135 | 365 |
| Test | 57 | 157 | |
| After | Train | 361 | 365 |
| Test | 154 | 157 |
| Model | Hyperparameter | Optimal Value | Used by |
|---|---|---|---|
| RF | n_estimators | 500 | [67,68] |
| Max_depth | 5 | [67,69,70] | |
| Input variables per node (mtry) | the square root of the total number of features | [71,72] | |
| SVM | kernel | ‘rbf’ | [67,73,74] |
| Regularization parameter (C) | 1 | [75] | |
| ANN | hidden_layer_sizes | (16, 16) | [76] |
| epochs | 100 | [77] | |
| Activation functions | relu | ||
| Optimizer | adam | [78] | |
| Learning rate | 0.001 | ||
| KNN | n_neighbors | 14 | [79] |
| distance metric | ‘euclidean’ | [80] | |
| NB | Laplace smoothing function | 1 | [81] |
| Input Parameter | Abbreviation | Indices/Parameters | Statistical Metrics |
|---|---|---|---|
| Crop Height Metrics | CHM | - | Min, Mean, Median, Max, Variance, Stdev, percentiles (10th to 99th) |
| Narrow Spectral Bands | NSP | blue, green, red, red-edge, NIR | Min, Mean, Max |
| RGB-based Vegetation Indices | RGBVIs | ExG, ExR, VARI, GLI, IKAW, GRRI | Min, Mean, Max |
| NIR Vegetation Indices | NIRVIs | NDVI, SAVI, GSAVI, CIgreen, SR, GNDVI | Min, Mean, Max |
| Red-edge Vegetation Indices | ReVIs | NDRE, LIC2, Datt2, CIRE, TRRVI, NDVIRE | Min, Mean, Max |
| Image Textural Metrics | ITM | Homogenity, Mean, Contrast, Second moment, Entropy, Dissimilarity, Variance | Min, Mean, Max |
| Dataset | Model | f1 Score | Recall | Precision | |||
|---|---|---|---|---|---|---|---|
| Before | After | Before | After | Before | After | ||
| NIRVIs | SVM | 0.85 | 0.87 | 0.81 | 0.85 | 0.86 | 0.88 |
| RF | 0.91 | 0.93 | 0.90 | 0.92 | 0.92 | 0.94 | |
| KNN | 0.83 | 0.87 | 0.81 | 0.85 | 0.88 | 0.89 | |
| ANN | 0.76 | 0.86 | 0.75 | 0.85 | 0.81 | 0.88 | |
| NB | 0.73 | 0.75 | 0.71 | 0.72 | 0.75 | 0.77 | |
| CHM | SVM | 0.74 | 0.75 | 0.73 | 0.74 | 0.75 | 0.75 |
| RF | 0.85 | 0.86 | 0.84 | 0.85 | 0.86 | 0.87 | |
| KNN | 0.79 | 0.81 | 0.78 | 0.80 | 0.80 | 0.82 | |
| ANN | 0.66 | 0.67 | 0.65 | 0.66 | 0.68 | 0.69 | |
| NB | 0.74 | 0.75 | 0.73 | 0.74 | 0.75 | 0.76 | |
| NSP | SVM | 0.74 | 0.75 | 0.69 | 0.70 | 0.82 | 0.87 |
| RF | 0.94 | 0.97 | 0.93 | 0.96 | 0.95 | 0.98 | |
| KNN | 0.83 | 0.85 | 0.81 | 0.83 | 0.88 | 0.91 | |
| ANN | 0.72 | 0.73 | 0.67 | 0.69 | 0.80 | 0.83 | |
| NB | 0.71 | 0.72 | 0.68 | 0.70 | 0.73 | 0.75 | |
| ReVIs | SVM | 0.65 | 0.68 | 0.60 | 0.62 | 0.71 | 0.74 |
| RF | 0.92 | 0.95 | 0.91 | 0.94 | 0.94 | 0.96 | |
| KNN | 0.87 | 0.87 | 0.84 | 0.84 | 0.92 | 0.93 | |
| ANN | 0.71 | 0.72 | 0.66 | 0.68 | 0.79 | 0.85 | |
| NB | 0.65 | 0.67 | 0.59 | 0.61 | 0.67 | 0.69 | |
| RGBVIs | SVM | 0.82 | 0.85 | 0.81 | 0.83 | 0.83 | 0.86 |
| RF | 0.93 | 0.94 | 0.92 | 0.93 | 0.94 | 0.95 | |
| KNN | 0.84 | 0.86 | 0.83 | 0.85 | 0.88 | 0.91 | |
| ANN | 0.76 | 0.78 | 0.74 | 0.76 | 0.77 | 0.79 | |
| NB | 0.73 | 0.74 | 0.71 | 0.73 | 0.74 | 0.78 | |
| IMT | SVM | 0.66 | 0.69 | 0.65 | 0.69 | 0.67 | 0.69 |
| RF | 0.84 | 0.87 | 0.83 | 0.85 | 0.86 | 0.88 | |
| KNN | 0.82 | 0.87 | 0.83 | 0.87 | 0.85 | 0.87 | |
| ANN | 0.66 | 0.67 | 0.65 | 0.65 | 0.67 | 0.67 | |
| NB | 0.74 | 0.75 | 0.69 | 0.70 | 0.77 | 0.79 | |
| Dataset | Variables |
|---|---|
| 1 | CHM and RGBVIs |
| 2 | CHM, RGBVIs, and NSP |
| 3 | CHM, RGBVIs, NSP, and ReVIs |
| 4 | CHM, RGBVIs, NSP, ReVIs, and NIRVIs |
| 5 | CHM, RGBVIs, NSP, ReVIs, NIRVIs, and ITM |
| Dataset | Model | p Value | Dataset | Model | p Value |
|---|---|---|---|---|---|
| NIRVIs | SVM | 0.000 | ReVIs | SVM | 0.071 |
| RF | 0.000 | RF | 0.000 | ||
| KNN | 0.064 | KNN | 0.440 | ||
| ANN | 0.910 | ANN | 4.623 | ||
| NB | 0.001 | NB | 0.088 | ||
| CHM | SVM | 0.031 | RGBVIs | SVM | 1.19 |
| RF | 0.000 | RF | 0.000 | ||
| KNN | 0.029 | KNN | 1.103 | ||
| ANN | 0.335 | ANN | 0.165 | ||
| NB | 0.000 | NB | 0.029 | ||
| NSP | SVM | 0.033 | IMT | SVM | 0.000 |
| RF | 0.000 | RF | 0.000 | ||
| KNN | 0.060 | KNN | 0.064 | ||
| ANN | 0.000 | ANN | 0.910 | ||
| NB | 0.538 | NB | 0.001 |
Disclaimer/Publisher’s Note: The statements, opinions and data contained in all publications are solely those of the individual author(s) and contributor(s) and not of MDPI and/or the editor(s). MDPI and/or the editor(s) disclaim responsibility for any injury to people or property resulting from any ideas, methods, instructions or products referred to in the content. |
© 2023 by the authors. Licensee MDPI, Basel, Switzerland. This article is an open access article distributed under the terms and conditions of the Creative Commons Attribution (CC BY) license (https://creativecommons.org/licenses/by/4.0/).
Share and Cite
Bazrafkan, A.; Navasca, H.; Kim, J.-H.; Morales, M.; Johnson, J.P.; Delavarpour, N.; Fareed, N.; Bandillo, N.; Flores, P. Predicting Dry Pea Maturity Using Machine Learning and Advanced Sensor Fusion with Unmanned Aerial Systems (UASs). Remote Sens. 2023, 15, 2758. https://doi.org/10.3390/rs15112758
Bazrafkan A, Navasca H, Kim J-H, Morales M, Johnson JP, Delavarpour N, Fareed N, Bandillo N, Flores P. Predicting Dry Pea Maturity Using Machine Learning and Advanced Sensor Fusion with Unmanned Aerial Systems (UASs). Remote Sensing. 2023; 15(11):2758. https://doi.org/10.3390/rs15112758
Chicago/Turabian StyleBazrafkan, Aliasghar, Harry Navasca, Jeong-Hwa Kim, Mario Morales, Josephine Princy Johnson, Nadia Delavarpour, Nadeem Fareed, Nonoy Bandillo, and Paulo Flores. 2023. "Predicting Dry Pea Maturity Using Machine Learning and Advanced Sensor Fusion with Unmanned Aerial Systems (UASs)" Remote Sensing 15, no. 11: 2758. https://doi.org/10.3390/rs15112758
APA StyleBazrafkan, A., Navasca, H., Kim, J.-H., Morales, M., Johnson, J. P., Delavarpour, N., Fareed, N., Bandillo, N., & Flores, P. (2023). Predicting Dry Pea Maturity Using Machine Learning and Advanced Sensor Fusion with Unmanned Aerial Systems (UASs). Remote Sensing, 15(11), 2758. https://doi.org/10.3390/rs15112758

