Improved Clear Sky Model from In Situ Observations and Spatial Distribution of Aerosol Optical Depth for Satellite-Derived Solar Irradiance over the Korean Peninsula
Abstract
1. Introduction
2. Clear Sky Model
3. Research Data
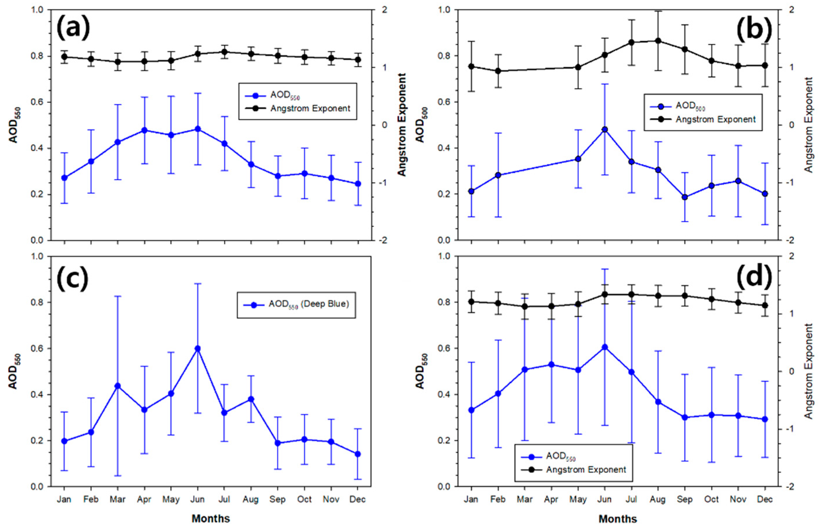
3.1. Aerosol Optical Depth
3.1.1. AERONET Data
3.1.2. POM-02 Skyradiometer
3.1.3. MODIS Products
3.1.4. MERRA2 Reanalysis
3.2. Solar Irradiance Observations
4. Numerical Simulation Design
5. Results
6. Discussion
6.1. Effect of Diurnal Variation in Aerosol Optical Depth
6.2. Applications for the Community Model
7. Conclusions
Author Contributions
Funding
Institutional Review Board Statement
Informed Consent Statement
Data Availability Statement
Acknowledgments
Conflicts of Interest
References
- Prasad, S.; Venkatramanan, V.; Singh, A. Renewable Energy for a Low-Carbon Future: Policy Perspectives. In Sustainable Bioeconomy: Pathways to Sustainable Development Goals; Venkatramanan, V., Shah, S., Prasad, R., Eds.; Springer: Singapore, 2021; pp. 267–284. [Google Scholar] [CrossRef]
- Sayigh, A. Up-date: Renewable energy and climate change. Renew. Energy Environ. Sustain. 2021, 6, 13. [Google Scholar] [CrossRef]
- Zelenka, A.; Perez, R.; Seals, R.; Renné, D. Effective Accuracy of Satellite-Derived Hourly Irradiances. Theor. Appl. Climatol. 1999, 62, 199–207. [Google Scholar] [CrossRef]
- Vignola, F.; Harlan, P.; Perez, R.; Kmiecik, M. Analysis of satellite derived beam and global solar radiation data. Sol. Energy 2007, 81, 768–772. [Google Scholar] [CrossRef]
- Kleissl, J.P. Solar Energy Forecasting and Resource Assessment, 1st ed.; Academic Press: Cambridge, MA, USA, 2013; p. 416. [Google Scholar] [CrossRef]
- He, G.; Kammen, D.M. Where, when and how much solar is available? A provincial-scale solar resource assessment for China. Renew. Energy 2016, 85, 74–82. [Google Scholar] [CrossRef]
- Wegertseder, P.; Lund, P.; Mikkola, J.; Alvarado, R.G. Combining solar resource mapping and energy system integration methods for realistic valuation of urban solar energy potential. Sol. Energy 2016, 135, 325–336. [Google Scholar] [CrossRef]
- Yang, D. A correct validation of the National Solar Radiation Data Base (NSRDB). Renew. Sustain. Energy Rev. 2018, 97, 152–155. [Google Scholar] [CrossRef]
- Gilgen, H.; Wild, M.; Ohmura, A. Means and Trends of Shortwave Irradiance at the Surface Estimated from Global Energy Balance Archive Data. J. Clim. 1998, 11, 2042–2061. [Google Scholar] [CrossRef]
- Stanhill, G.; Cohen, S. Solar Radiation Changes in the United States during the Twentieth Century: Evidence from Sunshine Duration Measurements. J. Clim. 2005, 18, 1503–1512. [Google Scholar] [CrossRef]
- Bishop, J.K.B.; Rossow, W.B. Spatial and temporal variability of global surface solar irradiance. J. Geophys. Res. Ocean. 1991, 96, 16839–16858. [Google Scholar] [CrossRef]
- Bishop, J.K.B.; Rossow, W.B.; Dutton, E.G. Surface solar irradiance from the International Satellite Cloud Climatology Project 1983–1991. J. Geophys. Res. 1997, 102, 6883–6910. [Google Scholar] [CrossRef]
- Janjai, S.; Pankaew, P.; Laksanaboonsong, J.; Kitichantaropas, P. Estimation of solar radiation over Cambodia from long-term satellite data. Renew. Energy 2011, 36, 1214–1220. [Google Scholar] [CrossRef]
- Sengupta, M.; Xie, Y.; Lopez, A.; Habte, A.; Maclaurin, G.; Shelby, J. The National Solar Radiation Data Base (NSRDB). Renew. Sustain. Energy Rev. 2018, 89, 51–60. [Google Scholar] [CrossRef]
- Habte, A.; Sengupta, M.; Gueymard, C.; Golnas, A.; Xie, Y. Long-term spatial and temporal solar resource variability over America using the NSRDB version 3 (1998–2017). Renew. Sustain. Energy Rev. 2020, 134, 110285. [Google Scholar] [CrossRef]
- Huang, G.; Li, Z.; Li, X.; Liang, S.; Yang, K.; Wang, D.; Zhang, Y. Estimating surface solar irradiance from satellites: Past, present, and future perspectives. Remote Sens. Environ. 2019, 233, 111371. [Google Scholar] [CrossRef]
- Ricchiazzi, P.; Yang, S.; Gautier, C.; Sowle, D. SBDART: A Research and Teaching Software Tool for Plane-Parallel Radiative Transfer in the Earth’s Atmosphere. Bull. Amer. Meteorol. Soc. 1998, 79, 2101–2114. [Google Scholar] [CrossRef]
- Mayer, B.; Kylling, A. Technical note: The libRadtran software package for radiative transfer calculations—Description and examples of use. Atmos. Chem. Phys. 2005, 5, 1855–1877. [Google Scholar] [CrossRef]
- Pinker, R.T.; Laszlo, I. Modeling Surface Solar Irradiance for Satellite Applications on a Global Scale. J. Appl. Meteorol. Climatol. 1992, 31, 194–211. [Google Scholar] [CrossRef]
- Slingo, A. A GCM Parameterization for the Shortwave Radiative Properties of Water Clouds. J. Atmos. Sci. 1989, 46, 1419–1427. [Google Scholar] [CrossRef]
- Li, Z.; Moreau, L. Alteration of Atmospheric Solar Absorption by Clouds: Simulation and Observation. J. Appl. Meteorol. Climatol. 1996, 35, 653–670. [Google Scholar] [CrossRef][Green Version]
- Bisht, G.; Bras, R.L. Estimation of net radiation from the MODIS data under all sky conditions: Southern Great Plains case study. Remote Sens. Environ. 2010, 114, 1522–1534. [Google Scholar] [CrossRef]
- Xie, Y.; Sengupta, M. A Fast All-sky Radiation Model for Solar applications with Narrowband Irradiances on Tilted surfaces (FARMS-NIT): Part I. The clear-sky model. Sol. Energy 2018, 174, 691–702. [Google Scholar] [CrossRef]
- Cano, D.; Monget, J.M.; Albuisson, M.; Guillard, H.; Regas, N.; Wald, L. A method for the determination of the global solar radiation from meteorological satellite data. Sol. Energy 1986, 37, 31–39. [Google Scholar] [CrossRef]
- Rigollier, C.; Lefèvre, M.; Wald, L. The method Heliosat-2 for deriving shortwave solar radiation from satellite images. Sol. Energy 2004, 77, 159–169. [Google Scholar] [CrossRef]
- Qu, Z.; Oumbe, A.; Blanc, P.; Espinar, B.; Gesell, G.; Gschwind, B.; Klüser, L.; Lefèvre, M.; Saboret, L.; Schroedter-Homscheidt, M.; et al. Fast radiative transfer parameterisation for assessing the surface solar irradiance: The Heliosat?—4 Method. Meteorol. Z. 2017, 26, 33–57. [Google Scholar] [CrossRef]
- Mazorra Aguiar, L.; Polo, J.; Vindel, J.M.; Oliver, A. Analysis of satellite derived solar irradiance in islands with site adaptation techniques for improving the uncertainty. Renew. Energy 2019, 135, 98–107. [Google Scholar] [CrossRef]
- Ineichen, P. Validation of models that estimate the clear sky global and beam solar irradiance. Sol. Energy 2016, 132, 332–344. [Google Scholar] [CrossRef]
- Antonanzas-Torres, F.; Urraca, R.; Polo, J.; Perpiñán-Lamigueiro, O.; Escobar, R. Clear sky solar irradiance models: A review of seventy models. Renew. Sustain. Energy Rev. 2019, 107, 374–387. [Google Scholar] [CrossRef]
- Sun, X.; Bright, J.M.; Gueymard, C.A.; Acord, B.; Wang, P.; Engerer, N.A. Worldwide performance assessment of 75 global clear-sky irradiance models using Principal Component Analysis. Renew. Sustain. Energy Rev. 2019, 111, 550–570. [Google Scholar] [CrossRef]
- Sun, X.; Bright, J.M.; Gueymard, C.A.; Bai, X.; Acord, B.; Wang, P. Worldwide performance assessment of 95 direct and diffuse clear-sky irradiance models using principal component analysis. Renew. Sustain. Energy Rev. 2021, 135, 110087. [Google Scholar] [CrossRef]
- Yeom, J.-M.; Han, K.-S.; Lee, C.-S.; Kim, D.-Y. An Improved Validation Technique for the Temporal Discrepancy when Estimated Solar Surface Insolation Compare with Ground-based Pyranometer: MTSAT-1R Data use. Korean J. Remote Sens. 2008, 24, 605–612. [Google Scholar]
- Zo, I.-S.; Jee, J.-B.; Lee, K.-T.; Kim, B.-Y. Analysis of solar radiation on the surface estimated from GWNU solar radiation model with temporal resolution of satellite cloud fraction. Asia-Pac. J. Atmos. Sci. 2016, 52, 405–412. [Google Scholar] [CrossRef]
- Kim, C.K.; Kim, H.-G.; Kang, Y.-H.; Yun, C.-Y. Toward Improved Solar Irradiance Forecasts: Comparison of the Global Horizontal Irradiances Derived from the COMS Satellite Imagery Over the Korean Peninsula. Pure Appl. Geophys. 2017, 174, 2773–2792. [Google Scholar] [CrossRef]
- Kim, C.K.; Kim, H.-G.; Kang, Y.-H.; Yun, C.-Y.; Lee, Y.G. Intercomparison of Satellite-Derived Solar Irradiance from the GEO-KOMSAT-2A and HIMAWARI-8/9 Satellites by the Evaluation with Ground Observations. Remote Sens. 2020, 12, 2149. [Google Scholar] [CrossRef]
- Chou, M.-D.; Suarez, M.J. A Solar Radiation Parameterization for Atmospheric Studies; 1999-104606; Goddard Space Flight Center: Greenbelt, MD, USA, 1999; p. 65.
- Skamarock, W.C.; Klemp, J.B.; Dudhia, J.; Gill, D.O.; Barker, D.; Duda, M.G.; Huang, X.; Wang, W.; Powers, J.G. A Description of the Advanced Research WRF Version 3; NCAR/TN-475+STR; University Corporation for Atmospheric Research: Boulder, CO, USA, 2008; p. 113. [Google Scholar]
- Slingo, A.; Schrecker, H.M. On the shortwave radiative properties of stratiform water clouds. Q. J. R. Meteorol. Soc. 1982, 108, 407–426. [Google Scholar] [CrossRef]
- Holben, B.N.; Eck, T.F.; Slutsker, I.; Tanré, D.; Buis, J.P.; Setzer, A.; Vermote, E.; Reagan, J.A.; Kaufman, Y.J.; Nakajima, T.; et al. AERONET—A Federated Instrument Network and Data Archive for Aerosol Characterization. Remote Sens. Environ. 1998, 66, 1–16. [Google Scholar] [CrossRef]
- Fu, P.; Kawamura, K.; Kobayashi, M.; Simoneit, B.R.T. Seasonal variations of sugars in atmospheric particulate matter from Gosan, Jeju Island: Significant contributions of airborne pollen and Asian dust in spring. Atmos. Environ. 2012, 55, 234–239. [Google Scholar] [CrossRef]
- Tai, A.P.K.; Ma, P.H.L.; Chan, Y.-C.; Chow, M.-K.; Ridley, D.A.; Kok, J.F. Impacts of climate and land cover variability and trends on springtime East Asian dust emission over 1982–2010: A modeling study. Atmos. Environ. 2021, 254, 118348. [Google Scholar] [CrossRef]
- Han, Y.; Wang, T.; Tang, J.; Wang, C.; Jian, B.; Huang, Z.; Huang, J. New insights into the Asian dust cycle derived from CALIPSO lidar measurements. Remote Sens. Environ. 2022, 272, 112906. [Google Scholar] [CrossRef]
- Bao, Z.; Zhu, C.; Hulugalla, R.; Gu, J.; Di, G. Spatial and temporal characteristics of aerosol optical depth over East Asia and their association with wind fields. Meteorol. Appl. 2008, 15, 455–463. [Google Scholar] [CrossRef]
- Luo, Y.; Zheng, X.; Zhao, T.; Chen, J. A climatology of aerosol optical depth over China from recent 10 years of MODIS remote sensing data. Int. J. Climatol. 2014, 34, 863–870. [Google Scholar] [CrossRef]
- Michalsky, J.J.; Schlemmer, J.A.; Berkheiser, W.E.; Berndt, J.L.; Harrison, L.C.; Laulainen, N.S.; Larson, N.R.; Barnard, J.C. Multiyear measurements of aerosol optical depth in the Atmospheric Radiation Measurement and Quantitative Links programs. J. Geophys. Res. 2001, 106, 12099–12107. [Google Scholar] [CrossRef]
- Yoon, J.; Pozzer, A.; Chang, D.Y.; Lelieveld, J.; Kim, J.; Kim, M.; Lee, Y.G.; Koo, J.H.; Lee, J.; Moon, K.J. Trend estimates of AERONET-observed and model-simulated AOTs between 1993 and 2013. Atmos. Environ. 2016, 125, 33–47. [Google Scholar] [CrossRef]
- Aoki, K.; Fujiyoshi, Y. Sky Radiometer Measurements of Aerosol Optical Properties over Sapporo, Japan. J. Meteorol. Soc. Jpn. Ser. II 2003, 81, 493–513. [Google Scholar] [CrossRef]
- Uchiyama, A.; Yamazaki, A.; Togawa, H.; Asano, J. Characteristics of Aeolian Dust Observed by Sky-Radiometer in the Intensive Observation Period 1 (IOP1). J. Meteorol. Soc. Jpn. Ser. II 2005, 83A, 291–305. [Google Scholar] [CrossRef]
- Che, H.; Shi, G.; Uchiyama, A.; Yamazaki, A.; Chen, H.; Goloub, P.; Zhang, X. Intercomparison between aerosol optical properties by a PREDE skyradiometer and CIMEL sunphotometer over Beijing, China. Atmos. Chem. Phys. 2008, 8, 3199–3214. [Google Scholar] [CrossRef]
- Levy, R.C.; Mattoo, S.; Munchak, L.A.; Remer, L.A.; Sayer, A.M.; Patadia, F.; Hsu, N.C. The Collection 6 MODIS aerosol products over land and ocean. Atmos. Meas. Tech. 2013, 6, 2989–3034. [Google Scholar] [CrossRef]
- Choi, M.; Lim, H.; Kim, J.; Lee, S.; Eck, T.F.; Holben, B.N.; Garay, M.J.; Hyer, E.J.; Saide, P.E.; Liu, H. Validation, comparison, and integration of GOCI, AHI, MODIS, MISR, and VIIRS aerosol optical depth over East Asia during the 2016 KORUS-AQ campaign. Atmos. Meas. Tech. 2019, 12, 4619–4641. [Google Scholar] [CrossRef]
- Nam, J.; Kim, S.-W.; Park, R.J.; Park, J.-S.; Park, S.S. Changes in column aerosol optical depth and ground-level particulate matter concentration over East Asia. Air Qual. Atmos. Health 2018, 11, 49–60. [Google Scholar] [CrossRef]
- Gelaro, R.; McCarty, W.; Suárez, M.J.; Todling, R.; Molod, A.; Takacs, L.; Randles, C.A.; Darmenov, A.; Bosilovich, M.G.; Reichle, R.; et al. The Modern-Era Retrospective Analysis for Research and Applications, Version 2 (MERRA-2). J. Clim. 2017, 30, 5419–5454. [Google Scholar] [CrossRef]
- Mukkavilli, S.K.; Prasad, A.A.; Taylor, R.A.; Huang, J.; Mitchell, R.M.; Troccoli, A.; Kay, M.J. Assessment of atmospheric aerosols from two reanalysis products over Australia. Atmos. Res. 2019, 215, 149–164. [Google Scholar] [CrossRef]
- Sun, E.; Che, H.; Xu, X.; Wang, Z.; Lu, C.; Gui, K.; Zhao, H.; Zheng, Y.; Wang, Y.; Wang, H.; et al. Variation in MERRA-2 aerosol optical depth over the Yangtze River Delta from 1980 to 2016. Theor. Appl. Climatol. 2019, 136, 363–375. [Google Scholar] [CrossRef]
- Bright, J.M.; Gueymard, C.A. Climate-specific and global validation of MODIS Aqua and Terra aerosol optical depth at 452 AERONET stations. Sol. Energy 2019, 183, 594–605. [Google Scholar] [CrossRef]
- Gueymard, C.A.; Ruiz-Arias, J.A. Extensive worldwide validation and climate sensitivity analysis of direct irradiance predictions from 1-min global irradiance. Sol. Energy 2016, 128, 1–30. [Google Scholar] [CrossRef]
- Tilmes, S.; Lamarque, J.F.; Emmons, L.K.; Conley, A.; Schultz, M.G.; Saunois, M.; Thouret, V.; Thompson, A.M.; Oltmans, S.J.; Johnson, B.; et al. Technical Note: Ozonesonde climatology between 1995 and 2011: Description, evaluation and applications. Atmos. Chem. Phys. 2012, 12, 7475–7497. [Google Scholar] [CrossRef]
- Ruiz-Arias, J.A.; Dudhia, J.; Gueymard, C.A.; Pozo-Vázquez, D. Assessment of the Level-3 MODIS daily aerosol optical depth in the context of surface solar radiation and numerical weather modeling. Atmos. Chem. Phys. 2013, 13, 675–692. [Google Scholar] [CrossRef]













| Control | S1 | S2 | S3 | S4 | S5 | |
|---|---|---|---|---|---|---|
| Dataset a | AERONET | POM-02 | AERONET | MODIS | MERRA-2 | MERRA-2 |
| Time Scale | Monthly Mean | Daily mean | Daily mean | Daily mean | Daily mean | Julian Daily mean |
| Control | S1 | S2 | S3 | S4 | S5 | |
|---|---|---|---|---|---|---|
| MBE | −25.2 ± 18.7 | 1.5 ± 7.2 | −5.6 ± 22.2 | 2.9 ± 17.9 | 4.1 ± 16.1 | −4.3 ± 15.1 |
| MAE | 29.9 ± 10.2 | 9.7 ± 3.0 | 17.4 ± 16.5 | 17.0 ± 9.0 | 16.8 ± 8.8 | 15.7 ± 7.2 |
| Skill Score | - | 57.9 ± 35.4 | 28.6 ± 65.1 | 31.1 ± 52.6 | 34.6 ± 58.4 | 31.8 ± 62.0 |
Publisher’s Note: MDPI stays neutral with regard to jurisdictional claims in published maps and institutional affiliations. |
© 2022 by the authors. Licensee MDPI, Basel, Switzerland. This article is an open access article distributed under the terms and conditions of the Creative Commons Attribution (CC BY) license (https://creativecommons.org/licenses/by/4.0/).
Share and Cite
Kim, C.K.; Kim, H.-G.; Kang, Y.-H. Improved Clear Sky Model from In Situ Observations and Spatial Distribution of Aerosol Optical Depth for Satellite-Derived Solar Irradiance over the Korean Peninsula. Remote Sens. 2022, 14, 2167. https://doi.org/10.3390/rs14092167
Kim CK, Kim H-G, Kang Y-H. Improved Clear Sky Model from In Situ Observations and Spatial Distribution of Aerosol Optical Depth for Satellite-Derived Solar Irradiance over the Korean Peninsula. Remote Sensing. 2022; 14(9):2167. https://doi.org/10.3390/rs14092167
Chicago/Turabian StyleKim, Chang Ki, Hyun-Goo Kim, and Yong-Heack Kang. 2022. "Improved Clear Sky Model from In Situ Observations and Spatial Distribution of Aerosol Optical Depth for Satellite-Derived Solar Irradiance over the Korean Peninsula" Remote Sensing 14, no. 9: 2167. https://doi.org/10.3390/rs14092167
APA StyleKim, C. K., Kim, H.-G., & Kang, Y.-H. (2022). Improved Clear Sky Model from In Situ Observations and Spatial Distribution of Aerosol Optical Depth for Satellite-Derived Solar Irradiance over the Korean Peninsula. Remote Sensing, 14(9), 2167. https://doi.org/10.3390/rs14092167

