Sign in to use this feature.

Years

Between: -

Subjects

remove_circle_outline
remove_circle_outline
remove_circle_outline
remove_circle_outline
remove_circle_outline
remove_circle_outline
remove_circle_outline
remove_circle_outline
remove_circle_outline

Journals

Article Types

Countries / Regions

remove_circle_outline
remove_circle_outline
remove_circle_outline

Search Results (394)

Search Parameters:
Keywords = clear sky model

Order results
Result details
Results per page
Select all
Export citation of selected articles as:
16 pages, 1846 KB  
Technical Note
Retrieval of Atmospheric Temperature and Humidity Profiles from FY-GIIRS Hyperspectral Data Using RBF Neural Network
by Shifeng Hao, Zhenshou Yu and Ziqi Jin
Remote Sens. 2026, 18(8), 1174; https://doi.org/10.3390/rs18081174 - 14 Apr 2026
Abstract
Atmospheric temperature and humidity profiles are essential for numerical weather prediction and severe weather monitoring. To effectively utilize data from the Geostationary Interferometric Infrared Sounder (GIIRS) onboard the FY-4 satellite, this study proposes a retrieval method based on a radial basis function (RBF) [...] Read more.
Atmospheric temperature and humidity profiles are essential for numerical weather prediction and severe weather monitoring. To effectively utilize data from the Geostationary Interferometric Infrared Sounder (GIIRS) onboard the FY-4 satellite, this study proposes a retrieval method based on a radial basis function (RBF) neural network, which integrates numerical model background profiles with GIIRS simulated radiance errors to construct a mapping from these two inputs to background profile errors. A channel selection strategy is developed using correlations between background errors and radiance errors to identify channels sensitive to temperature and humidity variations at different pressure levels. Experiments are conducted using data from land stations in Zhejiang Province, China, from August to December 2024, including 829 clear-sky and 2109 cloudy profiles. Under clear-sky conditions, the method reduces temperature and humidity root mean square error (RMSE) by approximately 39% and 22.3% compared to background profiles. Under cloudy conditions, despite severe radiation interference, RMSE reductions of 38.5% for temperature and 15.3% for humidity are achieved, with notable improvements below 900 hPa and above 750 hPa for humidity. Compared with the multilayer perceptron (MLP) method, RBF shows superior performance under all test conditions, especially in cloudy-sky humidity retrieval. The proposed approach provides an effective, physically constrained framework for operational GIIRS data application in temperature and humidity retrieval. Full article
(This article belongs to the Section Atmospheric Remote Sensing)
15 pages, 1230 KB  
Article
Parametric Clear-Sky Solar Irradiance Model with Improved Diffuse Flux Estimation
by Viviana Sîrbu and Eugenia Paulescu
Energies 2026, 19(8), 1842; https://doi.org/10.3390/en19081842 - 9 Apr 2026
Viewed by 233
Abstract
Achieving a balance between accuracy and computational efficiency in solar energy flux estimation models remains a key challenge in atmospheric radiative transfer research. Given the high computational cost of spectral models, a widely used simplification strategy consists of parameterizing atmospheric spectral transmittances through [...] Read more.
Achieving a balance between accuracy and computational efficiency in solar energy flux estimation models remains a key challenge in atmospheric radiative transfer research. Given the high computational cost of spectral models, a widely used simplification strategy consists of parameterizing atmospheric spectral transmittances through wavelength-averaging formulations. This study introduces a Clear-Sky Multivariable (CSMV) broadband parametric model derived from the Leckner spectral model for estimating the three components of solar irradiance under clear-sky conditions: direct normal irradiance (DNI), diffuse irradiance (Gd), and global irradiance (G). The model development follows a two-stage procedure. First, discrete broadband transmittances are obtained by applying an independent spectral integration scheme to the transmittances of the source spectral model. In the second stage, these discrete values are fitted with analytical functions expressed solely in terms of atmospheric state parameters, yielding wavelength-independent broadband formulations. While the overall development framework follows a classical parameterization approach, the calculation of the diffuse component introduces a novel way of estimating the fraction of aerosol scattering directed toward the ground. The model was tested against data collected from eight radiometric stations distributed across six continents and benchmarked against two well-established reference models. Overall, the results indicate a high level of accuracy and demonstrate the practical applicability of the model. Full article
Show Figures

Figure 1

30 pages, 3636 KB  
Review
Warming Reshapes Land-Atmosphere Coupling: The LST-SM-ET-GPP Framework
by Ruihan Mi, Xuedong Zhao, Ying Ma, Xiangyu Zhang, Leer Bao and Bin Jin
Atmosphere 2026, 17(4), 352; https://doi.org/10.3390/atmos17040352 - 31 Mar 2026
Viewed by 513
Abstract
Against the backdrop of accelerated terrestrial hydrological cycling and the increasing concurrence of drought-heatwave compound extremes under global warming, regional land-atmosphere coupling has emerged as a central mechanism shaping climate feedbacks and trajectories of ecosystem carbon uptake. However, prior studies spanning climatic regimes, [...] Read more.
Against the backdrop of accelerated terrestrial hydrological cycling and the increasing concurrence of drought-heatwave compound extremes under global warming, regional land-atmosphere coupling has emerged as a central mechanism shaping climate feedbacks and trajectories of ecosystem carbon uptake. However, prior studies spanning climatic regimes, observational scales, and data sources have often yielded contradictory conclusions. Here, we challenge these fragmented perspectives by constructing an integrated LST-SM-ET-GPP chain that jointly represents land surface temperature, soil moisture, evapotranspiration, and gross primary productivity, thereby linking water availability, surface energy balance, and plant physiological processes within a unified framework. We synthesize a conceptual diagnostic roadmap for interpreting land-atmosphere coupling across observations and models. When ecosystems operate in humid, energy-limited environments, radiative and advective controls should be prioritized to diagnose system forcing. By contrast, as the system becomes water-depleted, attribution must shift to a nonlinear regime transition framework governed by a critical soil moisture threshold. This threshold mechanism implies that, once the system enters the moisture-limited regime, even modest declines in soil moisture can trigger a rapid weakening of evaporative cooling, substantially amplifying LST anomalies and strongly suppressing GPP. The competitive regulation of stomatal conductance by atmospheric demand (vapor pressure deficit, VPD) and terrestrial supply (rootzone soil moisture) further explains why the “dominant” controlling factor can dynamically reverse across hydrothermal states, timescales, and stages of extreme-event evolution. Notably, the steady-state coupling assumption may break down under flux “flooring” during extreme drought, or when structural buffering such as deep root water uptake is present, delineating strict applicability bounds for existing diagnostic frameworks. Finally, current assessments remain constrained by multiple uncertainties, particularly the lack of ET partitioning constraints, representativeness biases arising from clear-sky observations and sampling-depth limitations, and systematic errors in Earth system model simulations during the warm season. Full article
Show Figures

Figure 1

22 pages, 12678 KB  
Article
Enhancement of the Operational GK2A Fog Detection Product over South Korea Through Integrated Surface–Satellite Post-Processing (2021–2023, Part II)
by Hyun-Kyoung Lee, Myoung-Seok Suh and Ji-Hye Han
Remote Sens. 2026, 18(7), 1013; https://doi.org/10.3390/rs18071013 - 27 Mar 2026
Viewed by 382
Abstract
In this study, a post-processing algorithm was developed to mitigate the over-detection tendency of the Geo-KOMPSAT-2A fog detection algorithm (GK2A_FDA) by integrating surface observations, facilitated by the recent availability of high-resolution gridded surface analysis data. The method was optimized for six sub-algorithms (inland/coastal [...] Read more.
In this study, a post-processing algorithm was developed to mitigate the over-detection tendency of the Geo-KOMPSAT-2A fog detection algorithm (GK2A_FDA) by integrating surface observations, facilitated by the recent availability of high-resolution gridded surface analysis data. The method was optimized for six sub-algorithms (inland/coastal × daytime/nighttime/twilight) using an interpretable decision tree model with data from 2021 to 2023. The RH (relative humidity) and ΔFTs (clear-sky background minus fog-top brightness temperature) step defines detection boundaries in a two-dimensional decision space using joint false alarm-to-hit ratio and hit count distributions to effectively remove false-alarm-dominated regions with minimal impact on the probability of detection (POD). The post-processing steps were sequenced according to independently quantified accuracy gains (RH and ΔFTs >> Ta > wind speed > solar zenith angle), with thresholds conservatively derived and seasonally optimized for South Korea. Following post-processing, the POD decreased only slightly (0.08–0.27%), while the false alarm ratio (FAR) and bias were reduced by 5.13–13.68% and 16.13–52.61%, respectively. Improvements were more pronounced during drier seasons than wet seasons; however, the residual high daytime bias (3.348–5.319) indicated the need for further GK2A_FDA refinement. This study demonstrated that integrating satellite and surface observations could effectively address the limitations of satellite-based fog detection. Full article
(This article belongs to the Section Atmospheric Remote Sensing)
Show Figures

Figure 1

19 pages, 1482 KB  
Article
Short-Term Solar Radiation Prediction Based on Convolution Neural Network and Fitted Clear-Sky Model
by Zengli Dai, Yu Xie, Yuan Wei, Dongxiang Wang, Zhaohui Han and Yunpeng Deng
Energies 2026, 19(6), 1583; https://doi.org/10.3390/en19061583 - 23 Mar 2026
Viewed by 262
Abstract
This study proposes an advanced short-term Direct Normal Irradiance (DNI) prediction model for Concentrated Solar Power (CSP) systems, integrating a convolutional neural network (CNN) with a fitted clear-sky DNI model. Leveraging all-sky images and historical DNI data, the model precisely identifies cloud motion [...] Read more.
This study proposes an advanced short-term Direct Normal Irradiance (DNI) prediction model for Concentrated Solar Power (CSP) systems, integrating a convolutional neural network (CNN) with a fitted clear-sky DNI model. Leveraging all-sky images and historical DNI data, the model precisely identifies cloud motion patterns through dense optical flow analysis and forecasts DNI using a targeted region-of-interest (ROI) approach. When maximum cloud pixel velocity falls below 5 pixels per minute, the clear-sky DNI model or persistence model directly applies; for higher-velocity conditions, the CNN predicts the clear-sky index to dynamically adjust the forecast. Experimental validation across diverse weather conditions demonstrates superior accuracy, achieving significantly lower normalized Mean Absolute Errors (nMAEs) and normalized Root Mean Squared Errors (nRMSEs) for various forecast horizons under cloudy skies compared to recent state-of-the-art deep learning approaches. This work delivers a robust solution for preventing thermal shock in the receiver and improving the CSP operational stability. Full article
Show Figures

Graphical abstract

17 pages, 2223 KB  
Article
Extending the KLIMA Radiative Transfer Model to Cloudy Atmospheres: Towards an All-Sky Analysis of FORUM
by Elisa Butali, Samuele Del Bianco, Ugo Cortesi, Gianluca Di Natale and Marco Ridolfi
Remote Sens. 2026, 18(6), 960; https://doi.org/10.3390/rs18060960 - 23 Mar 2026
Viewed by 281
Abstract
In recent times, increasing attention has been devoted to the investigation of atmospheric processes through remote sensing in order to improve our understanding of climate dynamics and atmospheric physics. This requires accurate simulation of the spectra emitted by the Earth, from which atmospheric [...] Read more.
In recent times, increasing attention has been devoted to the investigation of atmospheric processes through remote sensing in order to improve our understanding of climate dynamics and atmospheric physics. This requires accurate simulation of the spectra emitted by the Earth, from which atmospheric composition and thermodynamic conditions can be retrieved. The FORUM mission focuses on observations of the Earth’s outgoing radiation in the far-infrared spectral region, which has been only sparsely explored due to observational challenges, despite its significant contribution to the characterization of atmospheric processes. As part of the mission activities, dedicated simulations of the measurements expected from the FORUM instrument are required. Different models and codes can be employed for this purpose. Fast radiative transfer models, such as SIGMA-FORUM, efficiently simulate all-sky conditions, whereas detailed line-by-line models, such as KLIMA, have generally been limited to clear-sky applications. In this context, SIGMA-FORUM, an all-sky fast radiative transfer model operating in the 10–2760 cm−1 spectral range and KLIMA, a FORTRAN-based line-by-line algorithm extensively validated under clear-sky conditions, are used to simulate FORUM radiances in both clear and cloudy atmospheres. This study extends the comparison between SIGMA-IASI/F2N and KLIMA to cloudy-sky scenarios by incorporating cloud optical properties into KLIMA using the same parametrization approach adopted in SIGMA-FORUM version 2.4. By combining complementary modeling approaches, this work enables KLIMA to simulate atmospheric radiances under all-sky conditions, thereby broadening its applicability. Full article
Show Figures

Figure 1

24 pages, 5962 KB  
Article
Power Reconstruction and Quantitative Analysis of Photovoltaic Cluster Fluctuation Characteristics Considering Cloud Movement Time Lag
by Gangui Yan, Jianshu Li, Aolan Xing and Weian Kong
Electronics 2026, 15(6), 1172; https://doi.org/10.3390/electronics15061172 - 11 Mar 2026
Viewed by 231
Abstract
The power fluctuation of large-scale photovoltaic (PV) clusters is significantly affected by cloud movement. Aiming at the engineering reality that meteorological observation data are generally lacking for most power stations in wide-area PV clusters, as well as the problem that existing models overfit [...] Read more.
The power fluctuation of large-scale photovoltaic (PV) clusters is significantly affected by cloud movement. Aiming at the engineering reality that meteorological observation data are generally lacking for most power stations in wide-area PV clusters, as well as the problem that existing models overfit second-order high-frequency noise such as microscopic cloud deformation, this paper proposes a disturbance reconstruction and smoothing effect quantification method for PV clusters focusing on the first-order dominant meteorological component. First, a clear-sky model is introduced as a deterministic trend filter to extract the purely random disturbance sequence that induces grid-connection risks from the measured output power. Second, the dimensionality reduction modeling concept of “macro-advection dominance and microscopic deformation filtering” is established: the PV cluster is finely partitioned by fusing Dynamic Time Warping (DTW) and geographical distance, and a cross-space inversion of the macro-cloud velocity vector is realized, driven by pure power data using the Time-Lagged Cross-Correlation (TLCC) algorithm, thus constructing a disturbance power generation model that accounts for the phase misalignment of power output. Independent verification based on measured data in Jilin Province shows that the 95% confidence interval of the power reconstructed only by the first-order advection characteristics can cover 90.2% of the measured fluctuations, and the reconstruction error of the fluctuation standard deviation—an indicator that determines the system reserve demand—is merely 5.9%. This verifies that the macro-cloud displacement is the absolute dominant factor governing the extreme fluctuations of PV clusters. Finally, a normalized Smoothing Factor (SF) characterizing the “reserve capacity release ratio” is constructed, and combined with its statistical indicators, it is used to quantitatively evaluate the smoothing benefits provided by different spatial layout schemes. Under data-constrained conditions, the method proposed in this paper verifies the engineering rationality that microscopic meteorological noise can be safely neglected at the macro-PV cluster scale, providing a reliable quantitative basis for the safe grid expansion and peak-shaving energy storage capacity sizing of high-proportion PV bases. Full article
Show Figures

Figure 1

24 pages, 4292 KB  
Article
An Interpretable Nonlinear Intelligent Bias Correction Method for FY-4A/GIIRS Hyperspectral Infrared Brightness Temperatures
by Gen Wang, Bing Xu, Song Ye, Xiefei Zhi, Tiening Zhang, Youpeng Yang, Yang Liu, Feng Xie, Qiao Liu and Haili Zhang
Remote Sens. 2026, 18(5), 748; https://doi.org/10.3390/rs18050748 - 1 Mar 2026
Viewed by 253
Abstract
The hyperspectral infrared observations of the Geostationary Interferometric Infrared Sounder (GIIRS) on the Fengyun-4A (FY-4A) satellite are an important data source for numerical weather prediction (NWP) assimilation. However, there are systematic differences between observed and simulated brightness temperatures (i.e., the observation increments contain [...] Read more.
The hyperspectral infrared observations of the Geostationary Interferometric Infrared Sounder (GIIRS) on the Fengyun-4A (FY-4A) satellite are an important data source for numerical weather prediction (NWP) assimilation. However, there are systematic differences between observed and simulated brightness temperatures (i.e., the observation increments contain predictable systematic bias components). To address the issue that traditional linear methods struggle to capture the nonlinear relationships between biases and forecast predictors, this study proposes an intelligent bias correction method that integrates ensemble learning and explainable artificial intelligence. First, the entropy reduction method is used to select 69 mid-wave channels. Then, Random Forest, XGBoost, LightGBM, Decision Tree, and Extra Tree are used as base learners to construct a weighted average ensemble model. Training and validation are conducted using high-frequency clear-sky observation data from FY-4A/GIIRS during Typhoon Lekima. The results show that: (1) the ensemble learning correction method outperforms single models and traditional offline methods, with root mean square errors of brightness temperature bias of less than 0.9209 K for the training set and 1.4447 K for the test set; (2) Shapley Additive Explanations (SHAP)-based interpretability analysis reveals the contribution and nonlinear influence mechanisms of factors such as longitude, atmospheric thickness, surface temperature, and total precipitable water on bias correction. This study provides an intelligent bias correction framework with both high precision and explainability, offering a reference for the bias correction and assimilation applications of hyperspectral satellite observations like GIIRS. Full article
(This article belongs to the Special Issue Improving Meteorological Forecasting Models Using Remote Sensing Data)
Show Figures

Figure 1

60 pages, 3103 KB  
Article
Mean Reversion and Heavy Tails: Characterizing Time-Series Data Using Ornstein–Uhlenbeck Processes and Machine Learning
by Sebastian Raubitzek, Sebastian Schrittwieser, Georg Goldenits, Alexander Schatten and Kevin Mallinger
Sensors 2026, 26(4), 1263; https://doi.org/10.3390/s26041263 - 14 Feb 2026
Cited by 1 | Viewed by 667
Abstract
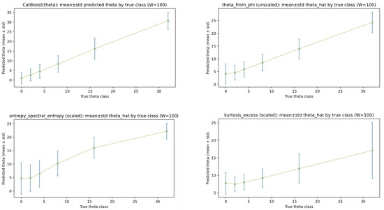
We present a supervised learning method to estimate two local descriptors of time-series dynamics, the mean-reversion rate θ and a heavy-tail estimate α, from short windows of data. These parameters summarize recovery behavior and tail heaviness and are useful for interpreting stochastic [...] Read more.
We present a supervised learning method to estimate two local descriptors of time-series dynamics, the mean-reversion rate θ and a heavy-tail estimate α, from short windows of data. These parameters summarize recovery behavior and tail heaviness and are useful for interpreting stochastic signals in sensing applications. The method is trained on synthetic, dimensionless Ornstein–Uhlenbeck processes with α-stable noise, ensuring robustness for non-Gaussian and heavy-tailed inputs. Gradient-boosted tree models (CatBoost) map window-level statistical features to discrete α and θ categories with high accuracy and predominantly adjacent-class confusion. Using the same trained models, we analyze daily financial returns, daily sunspot numbers, and NASA POWER climate fields for Austria. The method detects changes in local dynamics, including shifts in the financial tail structure after 2010, weaker and more irregular solar cycles after 2005, and a redistribution in clear-sky shortwave irradiance around 2000. Because it relies only on short windows and requires no domain-specific tuning, the framework provides a compact diagnostic tool for signal processing, supporting the characterization of local variability, detection of regime changes, and decision making in settings where long-term stationarity is not guaranteed. Full article
(This article belongs to the Section Environmental Sensing)
Show Figures

Figure 1

24 pages, 22643 KB  
Article
A Machine Learning Model for FY-4A Cloud Detection Based on Physical Feature Fusion
by Yanning Liang, Li Zhao, Yuan Sun, Zhihao Feng, Xiaogang Huang and Wei Zhong
Remote Sens. 2026, 18(4), 536; https://doi.org/10.3390/rs18040536 - 7 Feb 2026
Viewed by 573
Abstract
Clouds critically influence Earth’s radiation balance and climate, making accurate cloud detection essential for improving climate models. This study develops the TSAR model to improve the cloud detection accuracy of the FY-4A CLM product by incorporating physical features. The input features include FY-4A [...] Read more.
Clouds critically influence Earth’s radiation balance and climate, making accurate cloud detection essential for improving climate models. This study develops the TSAR model to improve the cloud detection accuracy of the FY-4A CLM product by incorporating physical features. The input features include FY-4A brightness temperature (BT) data from channels 8–14, geometric parameters (satellite zenith angle (SAZ), satellite azimuth angle (SAA), solar zenith angle (SOZ), solar azimuth angle (SOA), and latitude), and four ERA5 meteorological factors (2 m air temperature (T2m), skin temperature (SKT), air temperature profiles (ATP), and relative humidity profiles (RH)). Using the CALIPSO cloud detection product as labels, the model outputs cloud/clear-sky classification results. Additionally, four machine learning (ML) algorithms—RF, LightGBM, XGBoost, and MLP—achieved overall accuracies of 91.5%, 92.2%, 92.5%, and 92.8%, respectively, considerably outperforming the FY-4A L2 CLM product (83.1%). The results demonstrate that incorporating physical factors significantly improves cloud detection performance regardless of the algorithm employed. Incorporating meteorological factors notably improved nighttime and water–cloud detection, narrowing day–night accuracy gaps. Shapley additive explanation (SHAP) analysis indicated feature contributions of 15.8%, 50.8%, and 33.3% from geometric, BT, and meteorological variables, respectively, with stronger meteorological effects at mid- to high-latitudes. These findings demonstrate that integrating meteorological factors significantly improves FY-4A cloud detection accuracy and consistency, highlighting the MLP-TSAR model’s effectiveness for reliable all-day operational applications. Full article
(This article belongs to the Section Atmospheric Remote Sensing)
Show Figures

Figure 1

13 pages, 1455 KB  
Article
Deep Learning-Based All-Sky Cloud Image Recognition
by Ying Jiang, Debin Su, Yanbin Huang, Ning Yang and Jie Ao
Atmosphere 2026, 17(2), 142; https://doi.org/10.3390/atmos17020142 - 28 Jan 2026
Viewed by 529
Abstract
Accurate cloud identification is crucial for understanding the rapid evolution of weather systems, improving the accuracy of short-term forecasts, and ensuring aviation safety. Compared with traditional cloud image recognition methods, deep learning technology has advantages such as automatic learning of complex features, high-precision [...] Read more.
Accurate cloud identification is crucial for understanding the rapid evolution of weather systems, improving the accuracy of short-term forecasts, and ensuring aviation safety. Compared with traditional cloud image recognition methods, deep learning technology has advantages such as automatic learning of complex features, high-precision recognition, and strong robustness in changing environments, providing more reliable and detailed cloud information. This study utilized 256 cloud image observation data points collected by an all-sky imager from 3 to 30 November 2023, at the Tunchang County Meteorological Bureau in Hainan Province (19°21′N, 110°06′ E). A Convolutional Neural Network (CNN) model was employed for cloud image recognition. The results show that in terms of cloud recognition, the constructed CNN model achieved an accuracy rate, recall rate, and F1 score of 100%, 91%, and 95%, respectively, for clear skies and stratus clouds, cumulus clouds, and cirrus clouds, with an average recognition accuracy rate of 95%. In terms of cloud cover detection, when comparing the Normalized Red Blue Ratio (NRBR) and K-Means clustering algorithm with the system’s built-in monitoring results, the NRBR method performed optimally in cloud region segmentation, with cloud cover estimates closer to the actual distribution. In summary, deep learning technology demonstrates higher accuracy and strong robustness in all-sky cloud image recognition. Full article
(This article belongs to the Section Atmospheric Techniques, Instruments, and Modeling)
Show Figures

Figure 1

10 pages, 2841 KB  
Article
The Impact of Cloudy Weather on the Calculation Accuracy of the Soiling Loss Ratio in Photovoltaic Systems
by Xihua Cao, Zipeng Tang, Xiaoshi Xu, Bo Kuang, Wenzhen Zou, Xuanshuo Shangguan, Honglu Zhu and Jifeng Song
Energies 2026, 19(2), 471; https://doi.org/10.3390/en19020471 - 17 Jan 2026
Viewed by 342
Abstract
Accurate calculation of the soiling loss ratio (SLR) is essential for photovoltaic power prediction and cleaning optimization. While theoretical power-based methods perform reliably under stable, clear-sky conditions, their accuracy in fluctuating, cloudy weather remains uncertain. This study evaluates the impact of [...] Read more.
Accurate calculation of the soiling loss ratio (SLR) is essential for photovoltaic power prediction and cleaning optimization. While theoretical power-based methods perform reliably under stable, clear-sky conditions, their accuracy in fluctuating, cloudy weather remains uncertain. This study evaluates the impact of cloudy conditions on SLR calculation through a 20-day comparative experiment using a 10 kW PV system. The power difference between cleaned and soiled arrays defined the benchmark soiling loss ratio (SLRbm), against which theoretical power-derived soiling loss ratio (SLRtpd) was compared. Results show strong agreement between SLRtpd and SLRbm under sunny days but significant fluctuations (mean daily dispersion ratio: 17.8) and frequent anomalous negative values under cloudy conditions. These findings indicate that rapid irradiance changes and MPPT lag in cloudy weather amplify inherent model errors, highlighting the need for revised models adapted to complex meteorological conditions. Full article
(This article belongs to the Section A2: Solar Energy and Photovoltaic Systems)
Show Figures

Figure 1

19 pages, 5994 KB  
Article
Optimal Ice Particle Models of Different Cloud Types for Radiative Transfer Simulation at 183 GHz Frequency Band
by Zhuoyang Li, Qiang Guo, Xin Wang, Wen Hui, Fangli Dou and Yiyu Chen
Remote Sens. 2026, 18(1), 168; https://doi.org/10.3390/rs18010168 - 4 Jan 2026
Viewed by 431
Abstract
The Fengyun-4 microwave satellite provides high-temporal-frequency observations at the 183 GHz band, providing unprecedented data for all-weather, three-dimensional measurements of atmospheric parameters. It is of importance to establish a simulated brightness temperature (BT) dataset for this band prior to launch, which can support [...] Read more.
The Fengyun-4 microwave satellite provides high-temporal-frequency observations at the 183 GHz band, providing unprecedented data for all-weather, three-dimensional measurements of atmospheric parameters. It is of importance to establish a simulated brightness temperature (BT) dataset for this band prior to launch, which can support the relevant quantitative applications significantly. Compared with clear-sky conditions, the accuracy of BT simulations under cloudy ones is considerably lower, primarily due to the influence of the adopted ice particle models. Up until now, few studies have systematically investigated ice particle model selection for different cloud types at the 183 GHz frequency band. In this paper, multi-sensor observations from Cloud Profiling Radar (CPR), Cloud-Aerosol Lidar with Orthogonal Polarization (CALIOP), and Visible Infrared Imaging Radiometer Suite (VIIRS) were used as realistic atmospheric profiles. Using the high-precision radiative transfer model Atmospheric Radiative Transfer Simulator (ARTS), BT simulations at 183 GHz were performed to explore the optimal ice particle models for seven classical cloud types. The main conclusions are given as follows: (1) The sensitivity of simulated cloud radiances to ice particle habits differs with respect to different cloud phases. For altocumulus (Ac), stratocumulus (Sc), and cumulus (Cu) clouds, the different choices of ice particle model have little impacts on the simulated brightness temperatures (<1 K), with RMSEs below 3 K across multiple models, indicating that various models can be applied directly for such simulations. (2) For some mixed-phase clouds, including altostratus (As), nimbostratus (Ns), and deep convective (Dc) clouds, the Small Block Aggregate (SBA) and Small Plate Aggregate (SPA) models demonstrate good performance for As clouds, with RMSEs below 2.5 K, while the SBA, SPA, and Large Column Aggregate (LCA) models exhibit similarly good performance for Ns clouds, also achieving RMSEs below 2.5 K. For Dc clouds, although the SBA model yields RMSEs of approximately 10 K, it still provides a substantial improvement over the spherical model, whereas for cirrus (Ci) clouds, any non-spherical ice particle models are applicable, with RMSEs below 2 K. (3) Within the 183 GHz frequency band, channels with the higher weighting-function peaks are less sensitive to variable adoptions of ice particle models. These results offer valuable references for accurate radiative transfer simulations on 183 GHz frequency. Full article
Show Figures

Figure 1

16 pages, 8313 KB  
Article
Evaluation of WRF Planetary Boundary Layer Parameterization Schemes for Dry Season Conditions over Complex Terrain in the Liangshan Prefecture, Southwestern China
by Jinhua Zhong, Debin Su, Zijun Zheng, Wenyu Kong, Peng Fang and Fang Mo
Atmosphere 2026, 17(1), 53; https://doi.org/10.3390/atmos17010053 - 31 Dec 2025
Viewed by 899
Abstract
The planetary boundary layer (PBL) exerts strong control on heat, moisture, and momentum exchange, yet its representation over the steep mountains and deep valleys of Liangshan remains poorly understood. This study evaluates six Weather Research and Forecasting (WRF) PBL schemes (ACM2, BL, MYJ, [...] Read more.
The planetary boundary layer (PBL) exerts strong control on heat, moisture, and momentum exchange, yet its representation over the steep mountains and deep valleys of Liangshan remains poorly understood. This study evaluates six Weather Research and Forecasting (WRF) PBL schemes (ACM2, BL, MYJ, MYNN2.5, QNSE, and YSU) using multi-source observations from radiosondes, surface stations, and wind profiling radar during clear-sky dry-season cases in spring and winter. The schemes exhibit substantial differences in governing turbulent mixing and stratification. For the specific cases studied, QNSE best reproduces 2 m temperature in both seasons by realistically capturing nocturnal stability and large diurnal ranges, while non-local schemes overestimate nighttime temperatures due to excessive mixing. MYNN2.5 performs robustly for boundary layer growth in spring, and BL aligns most closely with radar-derived PBL height (PBLH). Vertical profile comparisons show that QNSE and MYJ better represent the lower–middle level thermodynamic structure, whereas all schemes underestimate extreme near-surface winds, reflecting unresolved terrain-induced variability. PBLH simulations reproduce diurnal cycles but differ in amplitude, with QNSE occasionally producing unrealistic spikes. Overall, no scheme performs optimally for all variables. However, QNSE and MYNN2.5 show the most balanced performance across seasons. These findings provide guidance for selecting PBL schemes for high-resolution modeling and fire–weather applications over complex terrain. Full article
Show Figures

Figure 1

28 pages, 26355 KB  
Article
Multi-Sensor Hybrid Modeling of Urban Solar Irradiance via Perez–Ineichen and Deep Neural Networks
by Zeenat Khadim Hussain, Congshi Jiang and Rana Waqar Aslam
Remote Sens. 2026, 18(1), 33; https://doi.org/10.3390/rs18010033 - 23 Dec 2025
Viewed by 935
Abstract
An accurate estimate of sun irradiance is important for solar energy management in urban areas with complicated atmospheric conditions. The urban solar irradiance (USI) can be predictively researched with a variety of models; however, basing this entirely on one model often leads to [...] Read more.
An accurate estimate of sun irradiance is important for solar energy management in urban areas with complicated atmospheric conditions. The urban solar irradiance (USI) can be predictively researched with a variety of models; however, basing this entirely on one model often leads to other important conditions being omitted. A hybrid framework is suggested in this study, integrating the Perez–Ineichen PI model with a Deep Neural Network (DNN) model for predicting USI in Wuhan, China. The PI model predicts clear-sky irradiance labels based on atmospheric parameters normalized against the National Solar Radiation Database for greater accuracy. The model is trained on the Clear Sky Index with real-time atmospheric parameters gained from ground station measurements and satellite images. Following correlation analysis using bands from Sentinel-2 to find suitable bands for the model, the algorithm was prepared for atmospheric parameters, including cloud cover, aerosol concentration, and surface reflectance, all of which impact solar radiation. The architecture incorporates attention methods for important atmospheric parameters and skip connections for greater training stability. Results from the Deep Neural Network-Selected bands (DNN-S) and Deep Neural Network-All bands (DNN-A) models gave different performances, with the DNN-S model yielding better accuracy with a RMSE of 69.49 W/m2 clear-sky, 87.60 W/m2 cloudy-sky, and 72.57 W/m2 all-sky. The results were validated using hyperspectral imagery, along with cloud mask, solar area, and surface albedo-derived products, confirming that the USI estimates are supported by the high precision and consistency of Sentinel-2-derived irradiance estimates. Full article
Show Figures

Figure 1

Back to TopTop