Water Quality Variability and Related Factors along the Yangtze River Using Landsat-8
Abstract
1. Introduction
2. Study Area and Data
2.1. Study Area
2.2. Data
2.2.1. Remote Sensing Data
2.2.2. Data Preprocessing
2.2.3. In-Situ Observations
2.2.4. Meteorological Data
2.2.5. Other Data
2.3. Methods
2.3.1. Characteristics for Water Quality Retrieval
- (A)
- Common standard characteristics
- (B)
- Characteristics based on color space transformation
- (C)
- Characteristics based on coordinate system transformation
- (D)
- Characteristics based on directional cosines
2.3.2. Regression Modeling Validation
2.3.3. Regression Modeling Validation
2.4. Fitting Function of the Water Quality Parameters Times Series
3. Results and Analysis
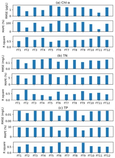
3.1. Regression Analysis
3.2. Spatial-Temporal Variations of Water Quality Parameters
3.2.1. Monthly and Annual Variations
3.2.2. Seasonal Variations of Water Quality Parameters for the Yangtze River Sections
3.3. Relationship Between Water Quality and Other Factors
3.3.1. Hydrological and Meteorological Factors
3.3.2. Human Factors
- (A)
- Land use
- (B)
- Sewage Discharge
- (C)
- Cargo handling capacity
4. Discussion
4.1. Water Quality Retrieval
4.2. Factors Related to Water Quality
4.2.1. Hydrological and Meteorological Factors
4.2.2. Human Factors
4.3. Wider Implications
5. Conclusions
Author Contributions
Funding
Institutional Review Board Statement
Informed Consent Statement
Data Availability Statement
Acknowledgments
Conflicts of Interest
References
- Mueller, B.; Berg, M.; Zhi, P.Y.; Xian, F.Z.; Ding, W.; Pfluger, A. How polluted is the Yangtze river? Water quality downstream from the Three Gorges Dam. Sci. Total Environ. 2005, 402, 232–247. [Google Scholar] [CrossRef] [PubMed]
- Chen, Z.; Xu, S.; Xu, Q.; Hu, X.; Yu, L.; Chen, Z.; Xu, S.; Xu, Q.; Hu, X.; Yu, X. Surface water pollution in the Yangtze River Delta: Patterns and countermeasures. Pedosphere 2002, 12, 111–120. [Google Scholar]
- Li, J.; Pei, Y.; Zhao, S.; Xiao, R.; Sang, X.; Zhang, C. A review of remote sensing for environmental monitoring in China. Remote Sens. 2020, 12, 1130. [Google Scholar] [CrossRef]
- Topp, S.N.; Pavelsky, T.M.; Jensen, D.; Simard, M.; Ross, M.R. Research trends in the use of remote sensing for inland water quality science: Moving towards multidisciplinary applications. Water 2020, 12, 169. [Google Scholar] [CrossRef]
- Gholizadeh, M.H.; Melesse, A.M.; Reddi, L. A Comprehensive Review on Water Quality Parameters Estimation Using Remote Sensing Techniques. Sensors 2016, 16, 1298. [Google Scholar] [CrossRef]
- Li, Y.; Zhang, Y.; Shi, K.; Zhu, G.; Zhou, Y.; Zhang, Y.; Guo, Y. Monitoring spatiotemporal variations in nutrients in a large drinking water reservoir and their relationships with hydrological and meteorological conditions based on Landsat 8 imagery. Sci. Total Environ. 2017, 599, 1705–1717. [Google Scholar] [CrossRef]
- Lim, J.; Choi, M. Assessment of water quality based on Landsat 8 operational land imager associated with human activities in Korea. Environ. Monit. Assess. 2015, 187, 384. [Google Scholar] [CrossRef] [PubMed]
- Nazeer, M.; Nichol, J.E. Improved water quality retrieval by identifying optically unique water classes. J. Hydrol. 2016, 541, 1119–1132. [Google Scholar] [CrossRef]
- Mohsen, A.; Elshemy, M.; Zeidan, B. Water quality monitoring of Lake Burullus (Egypt) using Landsat satellite imageries. Environ. Sci. Pollut. Res. 2020, 28, 15687–15700. [Google Scholar] [CrossRef]
- Le, C.; Hu, C.; Cannizzaro, J.; Duan, H. Long-term distribution patterns of remotely sensed water quality parameters in Chesapeake Bay. Estuar. Coast. Shelf Sci. 2013, 128, 93–103. [Google Scholar] [CrossRef]
- Kahru, M.; Kudela, R.M.; Manzano-Sarabia, M.; Mitchell, B.G. Trends in the surface chlorophyll of the California Current: Merging data from multiple ocean color satellites. Deep-sea research, Part II. Top. Stud. Oceanogr. 2012, 77, 89–98. [Google Scholar] [CrossRef]
- Moradi, M. Trend analysis and variations of sea surface temperature and chlorophyll-a in the Persian Gulf. Mar. Pollut. Bull. 2020, 156, 111267. [Google Scholar] [CrossRef] [PubMed]
- Gao, N.; Ma, Y.; Zhao, M.; Zhang, L.; He, Q. Quantile Analysis of Long-Term Trends of Near-Surface Chlorophyll-a in the Pearl River Plume. Water 2020, 12, 1662. [Google Scholar] [CrossRef]
- Huang, Z.; Liu, Y.; Zhao, W.; Zhao, L. Discussion on recent spatial-temporal distribution of water quality in Changjiang River source area. J. Yangtze River Sci. Res. Inst. 2016, 33, 46–50. [Google Scholar]
- Li, Z.; Ma, J.; Guo, J.; Paerl, H.W.; Brookes, J.D.; Xiao, Y.; Fang, F.; Ouyang, W.; Lunhui, L. Water quality trends in the Three Gorges Reservoir region before and after impoundment (1992–2016). Ecohydrol. Hydrobiol. 2019, 19, 317–327. [Google Scholar] [CrossRef]
- Peng, F.; He, L.; Yu, Y.; Wei, F. Studies on the total nitrogen, total phosphorus and chlorophyll a variations in the mainstream and main tributaries of the Yangtze River before and after the impoundment in the Three Gorges Project area. Sci. Sin. Technol. 2017, 47, 845–855. [Google Scholar]
- Niroumand-Jadidi, M.; Bovolo, F.; Bruzzone, L. Novel spectra-derived features for empirical retrieval of water quality parameters: Demonstrations for OLI, MSI, and OLCI Sensors. IEEE Trans. Geosci. Remote Sens. 2019, 57, 10285–10300. [Google Scholar] [CrossRef]
- Kim, S.I.; Kim, H.C.; Hyun, C.U. High Resolution Ocean Color Products Estimation in Fjord of Svalbard, Arctic Sea using Landsat-8 OLI. J. Aesthet. Art Crit. 2014, 30, 809–816. [Google Scholar]
- Chunfa, W.U.; Jiaping, W.U.; Jiaguo, Q.I.; Zhang, L.; Huang, H.; Lou, L.; Chen, Y. Empirical estimation of total phosphorus concentration in the mainstream of the Qiantang River in China using Landsat TM data. Int. J. Remote Sens. 2010, 31, 2309–2324. [Google Scholar]
- Vassiliki, M.; Dionissios, K.; George, P.; Elias, D. An Appraisal of the Potential of Landsat 8 in Estimating Chlorophyll-a, Ammonium Concentrations and Other Water Quality Indicators. Remote Sens. 2018, 10, 1018. [Google Scholar]
- Cheng, C.; Wei, Y.; Sun, X.; Zhou, Y. Estimation of Chlorophyll-a Concentration in Turbid Lake Using Spectral Smoothing and Derivative Analysis. Int. J. Environ. Res. Public Health 2013, 10, 2979–2994. [Google Scholar] [CrossRef] [PubMed]
- Xu, X.; Wei, L.; Ran, Q.; Qian, D.; Bing, Z. Multisource Remote Sensing Data Classification Based on Convolutional Neural Network. IEEE Trans. Geosci. Remote Sens. 2018, 56, 937–949. [Google Scholar] [CrossRef]
- Niroumand-Jadidi, M.; Vitti, A.; Lyzenga, D.R. Multiple Optimal Depth Predictors Analysis (MODPA) for river bathymetry: Findings from spectroradiometry, simulations, and satellite imagery. Remote Sens. Environ. 2018, 218, 132–147. [Google Scholar] [CrossRef]
- Bovolo, F. A Framework for Automatic and Unsupervised Detection of Multiple Changes in Multitemporal Images. IEEE Trans. Geosci. Remote Sens. 2012, 50, 2196–2212. [Google Scholar] [CrossRef]
- Nirala, M.; Venkatachalam, G. Hyperspherical direction cosine transformation of remotely sensed data for separation of topographic expression of land use classification. Int. J. Remote Sens. 2000, 21, 2203–2211. [Google Scholar] [CrossRef]
- Carvalho Júnior, O.A.; Guimarães, R.F.; Gillespie, A.R.; Silva, N.C.; Gomes, R.A. A new approach to change vector analysis using distance and similarity measures. Remote Sens. 2011, 3, 2473–2493. [Google Scholar] [CrossRef]
- Nezlin, N.P.; Polikarpov, I.G.; Al-Yamani, F.Y.; Rao, D.S.; Ignatov, A.M. Satellite monitoring of climatic factors regulating phytoplankton variability in the Arabian (Persian) Gulf. J. Mar. Syst. 2010, 82, 47–60. [Google Scholar] [CrossRef]
- Jin, S.; Luo, O.F. Variability and Climatology of PWV from Global 13-Year GPS Observations. IEEE Trans. Geosci. Remote Sens. 2009, 47, 1918–1924. [Google Scholar]
- Tong, S.T.; Chen, W. Modeling the relationship between land use and surface water quality. J. Environ. Manag. 2002, 66, 377–393. [Google Scholar] [CrossRef] [PubMed]
- Biao, W. Shipping pollution in three gorges and research on comprehensive pollution disposal countermeasure. Resour. Enuironment Yangtza Basin 2000, 9, 488–490. [Google Scholar]
- El-Din, M.S.; Gaber, A.; Koch, M.; Ahmed, R.S.; Bahgat, I. Remote Sensing Application for Water Quality Assessment in Lake Timsah, Suez Canal, Egypt. J. Remote Sens. Technol. 2013, 1, 61–74. [Google Scholar] [CrossRef]
- Gitelson, A.A.; Dall’Olmo, G.; Moses, W.; Rundquist, D.C.; Barrow, T.; Fisher, T.R.; Gurlin, D.; Holz, J. A simple semi-analytical model for remote estimation of chlorophyll-a in turbid waters: Validation. Remote Sens. Environ. 2008, 112, 3582–3593. [Google Scholar] [CrossRef]
- Ritchie, J.C.; Zimba, P.V.; Everitt, J.H. Remote Sensing Techniques to Assess Water Quality. Photogramm. Eng. Remote Sens. 2003, 69, 695–704. [Google Scholar] [CrossRef]
- El Saadi, A.M.; Yousry, M.M.; Jahin, H.S. Statistical estimation of Rosetta branch water quality using multi-spectral data. Water Sci. 2014, 28, 18–30. [Google Scholar] [CrossRef]
- Theologou, I.; Patelaki, M.; Karantzalos, K. Can single empirical algorithms accurately predict inland shallow water quality status from high resolution, multi-sensor, multi-temporal satellite data? Int. Arch. Photogramm. Remote Sens. Spat. Inf. Sci. 2015, 40, 1511. [Google Scholar] [CrossRef]
- Fernndez, A.; Moreira, J.M.; Snchez, E.; Ojeda, J. Evaluation of different methodological aproaches for monitoring water quality parameters in the coastal waters of Andalusia (Spain). EARSeL Adv. Remote Sens. 1995, 4, 67–75. [Google Scholar]
- Lu, S.; Deng, R.; Liang, Y.; Xiong, L.; Ai, X.; Qin, Y. Remote Sensing Retrieval of Total Phosphorus in the Pearl River Channels Based on the GF-1 Remote Sensing Data. Remote Sens. 2020, 12, 1420. [Google Scholar] [CrossRef]
- Das, J.; Acharya, B.C. Hydrology and Assessment of Lotic Water Quality in Cuttack City, India. Water Air Soil Pollut. 2003, 150, 163–175. [Google Scholar] [CrossRef]
- Gasim, M.B.; Toriman, M.E.; Rahim, S.A.; Islam, M.S.; Hafizan, J. Hydrology and Water Quality and Land-use Assessment of Tasik Chini’s Feeder Rivers, Pahang Malaysia. Geografia 2006, 3, 1–16. [Google Scholar]
- Li, T.; Zhang, Y.; He, B.; Yang, B.; Huang, Q. Periodically hydrologic alterations decouple the relationships between physicochemical variables and chlorophyll- a in a dam-induced urban lake. J. Environ. Sci. 2020, 99, 187–195. [Google Scholar] [CrossRef] [PubMed]
- Duan, W.; He, B.; Chen, Y.; Shan, Z.; Yang, G. Identification of long-term trends and seasonality in high-frequency water quality data from the Yangtze River basin, China. PLoS ONE 2018, 13, e0188889. [Google Scholar] [CrossRef] [PubMed]
- Tasdighi, A.; Arabi, M.; Osmond, D.L. The Relationship between Land Use and Vulnerability to Nitrogen and Phosphorus Pollution in an Urban Watershed. J. Environ. Qual. 2017, 46, 1137. [Google Scholar] [CrossRef] [PubMed]
- Turner, D.R.; Hassellöv, I.; Ytreberg, E.; Rutgersson, A. Shipping and the environment: Smokestack emissions, scrubbers and unregulated oceanic consequences. Elem. Sci. Anth. 2017, 5, 45. [Google Scholar] [CrossRef]
- Wang, F.; Wang, X.; Zhao, Y.; Yang, Z. Long-term changes of water level associated with chlorophyll a concentration in Lake Baiyangdian, North China. Procedia Environ. Sci. 2012, 13, 1227–1237. [Google Scholar] [CrossRef][Green Version]
- Cruz-Ramírez, A.; Salcedo, M.; Sánchez, A.; Macías, E.B.; Palacios, J.M. Relationship among physicochemical conditions, chlorophyll-a concentration, and water level in a tropical river–floodplain system. Int. J. Environ. Sci. Technol. 2019, 16, 3869–3876. [Google Scholar] [CrossRef]
- Fuentes, E.V.; Petrucio, M.M. Water level decrease and increased water stability promotes phytoplankton growth in a mesotrophic subtropical lake. Mar. Freshw. Res. 2015, 66, 711–718. [Google Scholar] [CrossRef]
- Hamilton, D.P.; O’Brien, K.R.; Burford, M.A.; Brookes, J.D.; McBride, C.G. Vertical distributions of chlorophyll in deep, warm monomictic lakes. Aquat. Sci. 2010, 72, 295–307. [Google Scholar] [CrossRef]
- Tilman, D. Resource competition between plankton algae: An experimental and theoretical approach. Ecology 1977, 58, 338–348. [Google Scholar] [CrossRef]
- Semina, H. The size of phytoplankton cells in the Pacific Ocean. Int. Rev. Gesamten Hydrobiol. Hydrogr. 1972, 57, 177–205. [Google Scholar] [CrossRef]
- Fu, L.; Zhang, L.; Yu, J.; Zhou, C.; Haffner, D. Water stratification and its relevance to growth of algal community at backwater area in Three Gorges Reservoir. Chin. J. Environ. Eng. 2015, 9, 2265–2271. [Google Scholar]
- Xu, G.; Li, P.; Lu, K.; Tantai, Z.; Zhang, J.; Ren, Z.; Wang, X.; Yu, K.; Shi, P.; Cheng, Y. Seasonal changes in water quality and its main influencing factors in the Dan River basin. Catena 2019, 173, 131–140. [Google Scholar] [CrossRef]
- Peters, N.E.; Meybeck, M. Water quality degradation effects on freshwater availability: Impacts of human activities. Water Int. 2000, 25, 185–193. [Google Scholar] [CrossRef]
- Baker, A. Land use and water quality. Hydrol. Process. 2003, 17, 2499–2501. [Google Scholar] [CrossRef]
- Yu, D.; Shi, P.; Liu, Y.; Xun, B. Detecting land use-water quality relationships from the viewpoint of ecological restoration in an urban area. Ecol. Eng. 2013, 53, 205–216. [Google Scholar] [CrossRef]
- Parnell, P.E. The effects of sewage discharge on water quality and phytoplankton of Hawai’ian coastal waters. Mar. Environ. Res. 2003, 55, 293–311. [Google Scholar] [CrossRef]
- Weng, J.; Shi, K.; Gan, X.; Li, G.; Huang, Z. Ship emission estimation with high spatial-temporal resolution in the Yangtze River estuary using AIS data. J. Clean. Prod. 2020, 248, 119297. [Google Scholar] [CrossRef]
- Zhao, J.; Zhang, Y.; Patton, A.P.; Ma, W.; Kan, H.; Wu, L.; Fung, F.; Wang, S.; Ding, D.; Walker, K.J.E.P. Projection of ship emissions and their impact on air quality in 2030 in Yangtze River delta, China. Environ. Pollut. 2020, 263, 114643. [Google Scholar] [CrossRef]
- Fan, Q.; Zhang, Y.; Ma, W.; Ma, H.; Feng, J.; Yu, Q.; Yang, X.; Ng, S.K.; Fu, Q.; Chen, L. Spatial and Seasonal Dynamics of Ship Emissions over the Yangtze River Delta and East China Sea and Their Potential Environmental Influence. Environ. Sci. Technol. 2016, 50, 1322–1329. [Google Scholar] [CrossRef]
- Ali, M.M.; Murphy, K.J.; Langendorff, J. Interrelations of river ship traffic with aquatic plants in the River Nile, Upper Egypt. Hydrobiologia 1999, 415, 93–100. [Google Scholar] [CrossRef]
- Minaudo, C.; Meybeck, M.; Moatar, F.; Gassama, N.; Curie, F.J.B. Eutrophication mitigation in rivers: 30 years of trends in spatial and seasonal patterns of biogeochemistry of the Loire River (1980–2012). Biogeosciences 2015, 12, 2549–2563. [Google Scholar] [CrossRef]













| Water Quality Parameters | Characteristic | Regression Equations | MAPE | RMSE | |
|---|---|---|---|---|---|
| Chl-a | 26.89% | 0.529 | 0.95 | ||
| TN | 4.52% | 0.092 mg/L | 0.80 | ||
| TP | 6.13% | 0.008 mg/L | 0.87 |
| Section | Water Quality Parameters | Annual Variation Amplitude and Phase | Half-Year Variation Amplitude and Phase | Constant Term | Maximum/Minimum Month in a Year |
|---|---|---|---|---|---|
| Yichang | Chl | −7.5, 1.47 | 1.7, 1.49 | 3.61 | July, January |
| TN | , | July, January | |||
| TP | , 1.0 | July, January | |||
| Chenglingji | Chl | −1.01, 1.9 | 6.7, 1.9 | 3.71 | August, February |
| TN | , 1.5 | August, February | |||
| TP | July, January | ||||
| Chizhou | Chl | −7.3, 1.9 | 3.7, 2.2 | 4.5 | August, February |
| TN | , −0.19 | June, December | |||
| TP | , −0.18 | June, December | |||
| Hankou | Chl | −1.6, 1.22 | 4.1, 1.8 | 4.9 | August, February |
| TN | May, November | ||||
| TP | , −0.67 | May, November |
| Chl | TP | TN | Water Level | Flow | Temperature | Precipitation | |
|---|---|---|---|---|---|---|---|
| Chl | 1.00 | 0.67 | 0.67 | 0.68 | 0.68 | 0.55 | 0.43 |
| TP | 0.67 | 1.00 | 0.79 | 0.84 | 0.84 | 0.72 | 0.66 |
| TN | 0.67 | 0.79 | 1.00 | 0.77 | 0.75 | 0.71 | 0.47 |
| Water level | 0.68 | 0.84 | 0.77 | 1.00 | 0.95 | 0.79 | 0.67 |
| Flow | 0.68 | 0.84 | 0.75 | 0.95 | 1.00 | 0.79 | 0.65 |
| Temperature | 0.55 | 0.72 | 0.71 | 0.83 | 0.79 | 1.00 | 0.64 |
| Precipitation | 0.43 | 0.66 | 0.47 | 0.67 | 0.65 | 0.64 | 1.00 |
Publisher’s Note: MDPI stays neutral with regard to jurisdictional claims in published maps and institutional affiliations. |
© 2021 by the authors. Licensee MDPI, Basel, Switzerland. This article is an open access article distributed under the terms and conditions of the Creative Commons Attribution (CC BY) license (https://creativecommons.org/licenses/by/4.0/).
Share and Cite
He, Y.; Jin, S.; Shang, W. Water Quality Variability and Related Factors along the Yangtze River Using Landsat-8. Remote Sens. 2021, 13, 2241. https://doi.org/10.3390/rs13122241
He Y, Jin S, Shang W. Water Quality Variability and Related Factors along the Yangtze River Using Landsat-8. Remote Sensing. 2021; 13(12):2241. https://doi.org/10.3390/rs13122241
Chicago/Turabian StyleHe, Yang, Shuanggen Jin, and Wei Shang. 2021. "Water Quality Variability and Related Factors along the Yangtze River Using Landsat-8" Remote Sensing 13, no. 12: 2241. https://doi.org/10.3390/rs13122241
APA StyleHe, Y., Jin, S., & Shang, W. (2021). Water Quality Variability and Related Factors along the Yangtze River Using Landsat-8. Remote Sensing, 13(12), 2241. https://doi.org/10.3390/rs13122241

