Terrain Slope Effect on Forest Height and Wood Volume Estimation from GEDI Data
Abstract
1. Introduction
2. Study Area and Dataset
2.1. Study Area
2.2. In Situ Data
2.3. GEDI Dataset
- Waveforms with reported elevations that are significantly higher than the corresponding elevations in the SRTM DEM [15]. In essence, we removed all waveforms where the absolute difference is higher than 100 m;
- Waveforms with a difference between waveform extent (, height between toploc and botloc, [13]) and (Gloc-Vloc) higher than 400 bins (corresponding to 60 m).
2.4. Digital Elevation Model Metrics
3. Methodology
3.1. Stand Scale Dominant Heights Estimation
3.2. Wood Volume Estimation
4. Results
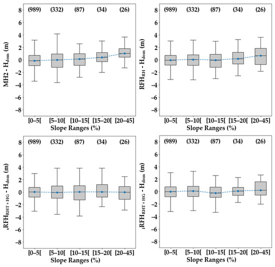
4.1. Estimation of Dominant Stand Heights ()
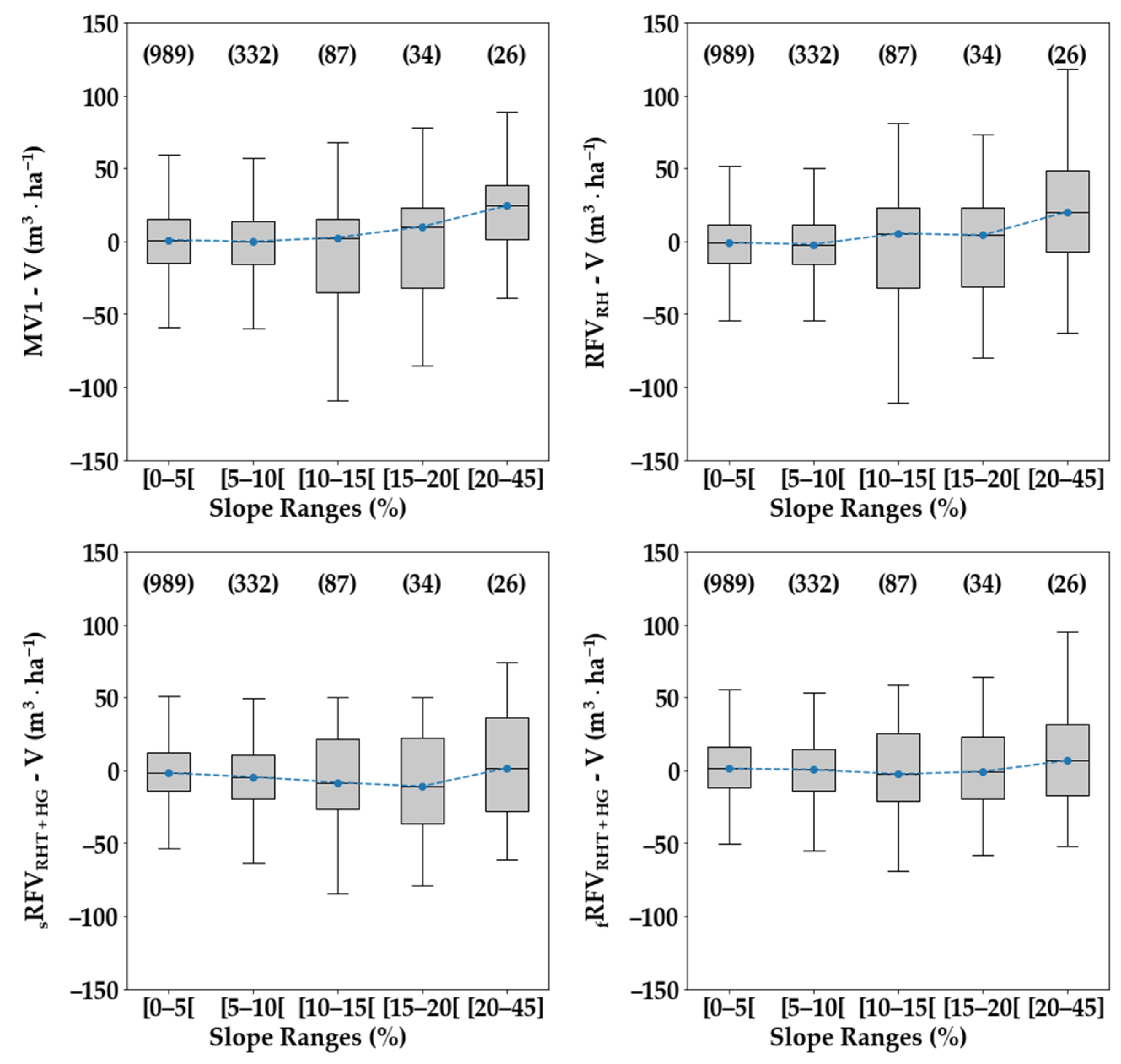
4.2. Estimation of Wood Volume (V)
5. Discussion
6. Conclusions
Author Contributions
Funding
Institutional Review Board Statement
Informed Consent Statement
Data Availability Statement
Acknowledgments
Conflicts of Interest
References
- Zribi, M.; Guyon, D.; Motte, E.; Dayau, S.; Wigneron, J.P.; Baghdadi, N.; Pierdicca, N. Performance of GNSS-R GLORI Data for Biomass Estimation over the Landes Forest. Int. J. Appl. Earth Obs. Geoinf. 2019, 74, 150–158. [Google Scholar] [CrossRef]
- Nelson, R.; Ranson, K.J.; Sun, G.; Kimes, D.S.; Kharuk, V.; Montesano, P. Estimating Siberian Timber Volume Using MODIS and ICESat/GLAS. Remote Sens. Environ. 2009, 113, 691–701. [Google Scholar] [CrossRef]
- Dubayah, R.O.; Sheldon, S.L.; Clark, D.B.; Hofton, M.A.; Blair, J.B.; Hurtt, G.C.; Chazdon, R.L. Estimation of Tropical Forest Height and Biomass Dynamics Using Lidar Remote Sensing at La Selva, Costa Rica: Forest dynamics using lidar. J. Geophys. Res. 2010, 115, G2. [Google Scholar] [CrossRef]
- Ploton, P.; Pélissier, R.; Barbier, N.; Proisy, C.; Ramesh, B.R.; Couteron, P. Canopy Texture Analysis for Large-Scale Assessments of Tropical Forest Stand Structure and Biomass. In Treetops at Risk; Lowman, M., Devy, S., Ganesh, T., Eds.; Springer: New York, NY, USA, 2013; pp. 237–245. ISBN 978-1-4614-7160-8. [Google Scholar]
- Lu, D.; Chen, Q.; Wang, G.; Moran, E.; Batistella, M.; Zhang, M.; Vaglio Laurin, G.; Saah, D. Aboveground Forest Biomass Estimation with Landsat and LiDAR Data and Uncertainty Analysis of the Estimates. Int. J. For. Res. 2012, 2012, 436537. [Google Scholar] [CrossRef]
- Lefsky, M.A.; Cohen, W.B.; Parker, G.G.; Harding, D.J. Lidar Remote Sensing for Ecosystem Studies. BioScience 2002, 52, 19. [Google Scholar] [CrossRef]
- Fayad, I.; Baghdadi, N.; Alcarde, C.; Stape, J.-L.; Bailly, J.S.; Scolforo, H.F.; Zribi, M.; le Maire, G. Assessment of GEDI’s LiDAR Data for the Estimation of Canopy Heights and Wood Volume of Eucalyptus plantations in Brazil. IEEE J. Sel. Top. Appl. Earth Obs. Remote Sens. 2021. (under revision). [Google Scholar]
- Anderson, K.; Hancock, S.; Disney, M.; Gaston, K.J. Is Waveform Worth It? A Comparison of LiDAR Approaches for Vegetation and Landscape Characterization. Remote Sens. Ecol. Conserv. 2016, 2, 5–15. [Google Scholar] [CrossRef]
- Alexander, C.; Tansey, K.; Kaduk, J.; Holland, D.; Tate, N.J. Backscatter Coefficient as an Attribute for the Classification of Full-Waveform Airborne Laser Scanning Data in Urban Areas. ISPRS 2010, 65, 423–432. [Google Scholar] [CrossRef]
- Sumnall, M.J.; Hill, R.A.; Hinsley, S.A. Comparison of Small-Footprint Discrete Return and Full Waveform Airborne Lidar Data for Estimating Multiple Forest Variables. Remote Sens. Environ. 2016, 173, 214–223. [Google Scholar] [CrossRef]
- Chen, Q. Retrieving Vegetation Height of Forests and Woodlands over Mountainous Areas in the Pacific Coast Region Using Satellite Laser Altimetry. Remote Sens. Environ. 2010, 114, 1610–1627. [Google Scholar] [CrossRef]
- Schutz, B.E.; Zwally, H.J.; Shuman, C.A.; Hancock, D.; DiMarzio, J.P. Overview of the ICESat Mission. Geophys. Res. Lett. 2005, 32, L21S01. [Google Scholar] [CrossRef]
- Lefsky, M.A.; Harding, D.J.; Keller, M.; Cohen, W.B.; Carabajal, C.C.; Del Bom Espirito-Santo, F.; Hunter, M.O.; de Oliveira, R. Estimates of Forest Canopy Height and Aboveground Biomass Using ICESat: ICESat estimates of canopy height. Geophys. Res. Lett. 2005, 32. [Google Scholar] [CrossRef]
- Fayad, I.; Baghdadi, N.; Guitet, S.; Bailly, J.-S.; Hérault, B.; Gond, V.; El Hajj, M.; Tong Minh, D.H. Aboveground Biomass Mapping in French Guiana by Combining Remote Sensing, Forest Inventories and Environmental Data. Int. J. Appl. Earth Obs. Geoinf. 2016, 52, 502–514. [Google Scholar] [CrossRef]
- Baghdadi, N.; le Maire, G.; Fayad, I.; Bailly, J.S.; Nouvellon, Y.; Lemos, C.; Hakamada, R. Testing Different Methods of Forest Height and Aboveground Biomass Estimations From ICESat/GLAS Data in Eucalyptus Plantations in Brazil. IEEE J. Sel. Top. Appl. Earth Obs. Remote Sens. 2014, 7, 290–299. [Google Scholar] [CrossRef]
- Boudreau, J.; Nelson, R.; Margolis, H.; Beaudoin, A.; Guindon, L.; Kimes, D. Regional Aboveground Forest Biomass Using Airborne and Spaceborne LiDAR in Québec. Remote Sens. Environ. 2008, 112, 3876–3890. [Google Scholar] [CrossRef]
- El Hajj, M.; Baghdadi, N.; Labrière, N.; Bailly, J.-S.; Villard, L. Mapping of Aboveground Biomass in Gabon. Comptes Rendus Geosci. 2019, 351, 321–331. [Google Scholar] [CrossRef]
- Pourrahmati, M.R.; Baghdadi, N.N.; Darvishsefat, A.A.; Namiranian, M.; Fayad, I.; Bailly, J.-S.; Gond, V. Capability of GLAS/ICESat Data to Estimate Forest Canopy Height and Volume in Mountainous Forests of Iran. IEEE J. Sel. Top. Appl. Earth Obs. Remote Sens. 2015, 8, 5246–5261. [Google Scholar] [CrossRef]
- Rajab Pourrahmati, M.; Baghdadi, N.; Darvishsefat, A.A.; Namiranian, M.; Gond, V.; Bailly, J.-S.; Zargham, N. Mapping Lorey’s Height over Hyrcanian Forests of Iran Using Synergy of ICESat/GLAS and Optical Images. Eur. J. Remote Sens. 2018, 51, 100–115. [Google Scholar] [CrossRef]
- Harding, D.J. ICESat Waveform Measurements of Within-Footprint Topographic Relief and Vegetation Vertical Structure. Geophys. Res. Lett. 2005, 32, L21S10. [Google Scholar] [CrossRef]
- Duncanson, L.I.; Niemann, K.O.; Wulder, M.A. Estimating Forest Canopy Height and Terrain Relief from GLAS Waveform Metrics. Remote Sens. Environ. 2010, 114, 138–154. [Google Scholar] [CrossRef]
- Pang, Y.; Lefsky, M.; Andersen, H.-E.; Miller, M.E.; Sherrill, K. Validation of the ICEsat Vegetation Product Using Crown-Area-Weighted Mean Height Derived Using Crown Delineation with Discrete Return Lidar Data. Can. J. Remote Sens. 2008, 34, S471–S484. [Google Scholar] [CrossRef]
- Xing, Y.; de Gier, A.; Zhang, J.; Wang, L. An Improved Method for Estimating Forest Canopy Height Using ICESat-GLAS Full Waveform Data over Sloping Terrain: A Case Study in Changbai Mountains, China. Int. J. Appl. Earth Obs. Geoinf. 2010, 12, 385–392. [Google Scholar] [CrossRef]
- Yang, W.; Ni-Meister, W.; Lee, S. Assessment of the Impacts of Surface Topography, off-Nadir Pointing and Vegetation Structure on Vegetation Lidar Waveforms Using an Extended Geometric Optical and Radiative Transfer Model. Remote Sens. Environ. 2011, 115, 2810–2822. [Google Scholar] [CrossRef]
- Ni-Meister, W.; Jupp, D.L.; Dubayah, R. Modeling Lidar Waveforms in Heterogeneous and Discrete Canopies. IEEE Trans. Geosci. Remote Sens. 2001, 39, 1943–1958. [Google Scholar] [CrossRef]
- Wang, Y.; Ni, W.; Sun, G.; Chi, H.; Zhang, Z.; Guo, Z. Slope-Adaptive Waveform Metrics of Large Footprint Lidar for Estimation of Forest Aboveground Biomass. Remote Sens. Environ. 2019, 224, 386–400. [Google Scholar] [CrossRef]
- Næsset, E. Predicting Forest Stand Characteristics with Airborne Scanning Laser Using a Practical Two-Stage Procedure and Field Data. Remote Sens. Environ. 2002, 80, 88–99. [Google Scholar] [CrossRef]
- Lee, S.; Ni-Meister, W.; Yang, W.; Chen, Q. Physically Based Vertical Vegetation Structure Retrieval from ICESat Data: Validation Using LVIS in White Mountain National Forest, New Hampshire, USA. Remote Sens. Environ. 2011, 115, 2776–2785. [Google Scholar] [CrossRef]
- Neuenschwander, A.; Pitts, K. The ATL08 Land and Vegetation Product for the ICESat-2 Mission. Remote Sens. Environ. 2019, 221, 247–259. [Google Scholar] [CrossRef]
- Dubayah, R.; Blair, J.B.; Goetz, S.; Fatoyinbo, L.; Hansen, M.; Healey, S.; Hofton, M.; Hurtt, G.; Kellner, J.; Luthcke, S.; et al. The Global Ecosystem Dynamics Investigation: High-Resolution Laser Ranging of the Earth’s Forests and Topography. Sci. Remote Sens. 2020, 1, 100002. [Google Scholar] [CrossRef]
- Gonçalves, J.L.d.M.; Rocha, J.H.T.; Alvares, C.A. Manejo do solo em sistemas de cultivo de Eucalipto e Pinus. In Manejo e Conservação do Solo e da Água; 2019; Volume 1, pp. 1081–1117. Available online: https://www.researchgate.net/publication/339782827_Manejo_do_solo_em_sistemas_de_cultivo_de_Eucalipto_e_Pinus (accessed on 28 May 2021).
- Dubayah, S.L. GEDI L1B Geolocated Waveform Data Global Footprint Level V001. 2020. Available online: https://doi.org/10.5067/DOC/GEDI/GEDI_WFGEO_ATBD.001 (accessed on 27 May 2021).
- Dubayah, S.L. GEDI L2A Elevation and Height Metrics Data Global Footprint Level V001. 2020. Available online: https://doi.org/10.5067/DOC/GEDI/GEDI_WF_ATBD.001 (accessed on 27 May 2021).
- Dubayah, S.L. GEDI L2B Canopy Cover and Vertical Profile Metrics Data Global Footprint Level V001. 2020. Available online: https://doi.org/10.5067/DOC/GEDI/GEDI_FCCVPM_ATBD.001 (accessed on 27 May 2021).
- Breiman, L. Random Forests. Mach. Learn. 2001, 45, 5–32. [Google Scholar] [CrossRef]
- Ranson, K.J.; Sun, G. Modeling Lidar Returns from Forest Canopies. IEEE Trans. Geosci. Remote Sens. 2000, 38, 2617–2626. [Google Scholar] [CrossRef]
- Riener, M.; Kainulainen, J.; Henshaw, J.D.; Orkisz, J.H.; Murray, C.E.; Beuther, H. GAUSSPY+: A Fully Automated Gaussian Decomposition Package for Emission Line Spectra. A&A 2019, 628, A78. [Google Scholar] [CrossRef]
- Saatchi, S.S.; Harris, N.L.; Brown, S.; Lefsky, M.; Mitchard, E.T.A.; Salas, W.; Zutta, B.R.; Buermann, W.; Lewis, S.L.; Hagen, S.; et al. Benchmark Map of Forest Carbon Stocks in Tropical Regions across Three Continents. Proc. Natl. Acad. Sci. USA 2011, 108, 9899–9904. [Google Scholar] [CrossRef] [PubMed]
- Wagner, W.; Ullrich, A.; Ducic, V.; Melzer, T.; Studnicka, N. Gaussian Decomposition and Calibration of a Novel Small-Footprint Full-Waveform Digitising Airborne Laser Scanner. ISPRS J. Photogramm. Remote Sens. 2006, 60, 100–112. [Google Scholar] [CrossRef]
- Lin, Y.-C.; Mills, J.P.; Smith-Voysey, S. Rigorous Pulse Detection from Full-Waveform Airborne Laser Scanning Data. Int. J. Remote Sens. 2010, 31, 1303–1324. [Google Scholar] [CrossRef]
- Hyde, P.; Dubayah, R.; Peterson, B.; Blair, J.; Hofton, M.; Hunsaker, C.; Knox, R.; Walker, W. Mapping Forest Structure for Wildlife Habitat Analysis Using Waveform Lidar: Validation of Montane Ecosystems. Remote Sens. Environ. 2005, 96, 427–437. [Google Scholar] [CrossRef]












| Stand Distribution (%) | V Classes (m3·ha−1) | Stand Distribution (%) | |
|---|---|---|---|
| [10–15[ | 10 | [0–75[ | 19 |
| [15–20[ | 32 | [75–150[ | 33 |
| [20–25[ | 28 | [150–255[ | 26 |
| [25–30[ | 24 | [255–300[ | 16 |
| [30–35] | 7 | [350–450] | 6 |
| (a) | (b) | ||
| ID | Metrics Used | Model |
|---|---|---|
| MH1 | , S | |
| MH2 | , S | |
| RFHRH | , Slope (S), and terrain roughness (ROUG) | Random Forests |
| sRFHRHT+HG | Random Forests | |
| fRFHRHT+HG | Random Forests |
| ID | Metrics Used | Model |
|---|---|---|
| MV1 | RH100, S | |
| RFVRH | , slope (S), and terrain roughness (ROUG) | Random Forests |
| sRFVRHT+HG | Random Forests | |
| fRFVRHT+HG | Random Forests |
| Slope Ranges (%) | ||||||||||||
|---|---|---|---|---|---|---|---|---|---|---|---|---|
| 0–10 | 10–20 | >20 | ||||||||||
| ID | RMSE (m) | RMSPE (%) | R2 | Bias (m) | RMSE (m) | RMSPE (%) | R2 | Bias (m) | RMSE (m) | RMSPE (%) | R2 | Bias (m) |
| MH1 | 2.06 | 11 | 0.85 | 0.07 | 2.11 | 11 | 0.87 | −0.16 | 3.26 | 16 | 0.45 | 1.22 |
| MH2 | 1.36 | 7 | 0.94 | −0.08 | 1.30 | 7 | 0.95 | 0.15 | 1.93 | 9 | 0.81 | 1.23 |
| RFHRH | 1.35 | 7 | 0.94 | −0.04 | 1.46 | 7 | 0.94 | 0.05 | 1.65 | 7 | 0.86 | 0.65 |
| sRFHRHT+HG | 1.39 | 6 | 0.93 | −0.02 | 1.66 | 7 | 0.92 | −0.01 | 1.53 | 8 | 0.88 | −0.14 |
| fRFHRHT+HG | 1.34 | 6 | 0.94 | −0.02 | 1.34 | 6 | 0.95 | −0.2 | 1.26 | 6 | 0.92 | 0.11 |
| Slope Ranges (%) | ||||||||||||
|---|---|---|---|---|---|---|---|---|---|---|---|---|
| 0–10 | 10–20 | >20 | ||||||||||
| ID | RMSE (m3·ha−1) | RMSPE (%) | R2 | Bias (m3·ha−1) | RMSE (m3·ha−1) | RMSPE (%) | R2 | Bias (m3·ha−1) | RMSE (m3·ha−1) | RMSPE (%) | R2 | Bias (m3·ha−1) |
| MV1 | 28.78 | 19 | 0.90 | 0.21 | 48.36 | 22 | 0.83 | 9.15 | 48.63 | 29 | 0.75 | 13.95 |
| RFVRH | 26.55 | 19 | 0.91 | −1.60 | 46.25 | 23 | 0.85 | 9.45 | 48.86 | 24 | 0.74 | 11.42 |
| sRFVRHT+HG | 26.76 | 20 | 0.91 | −2.57 | 38.05 | 22 | 0.90 | −5.16 | 39.26 | 22 | 0.86 | −1.49 |
| fRFVRHT+HG | 26.78 | 20 | 0.92 | 1.32 | 32.68 | 24 | 0.92 | −2.22 | 36.29 | 20 | 0.86 | 2.65 |
Publisher’s Note: MDPI stays neutral with regard to jurisdictional claims in published maps and institutional affiliations. |
© 2021 by the authors. Licensee MDPI, Basel, Switzerland. This article is an open access article distributed under the terms and conditions of the Creative Commons Attribution (CC BY) license (https://creativecommons.org/licenses/by/4.0/).
Share and Cite
Fayad, I.; Baghdadi, N.; Alcarde Alvares, C.; Stape, J.L.; Bailly, J.S.; Scolforo, H.F.; Cegatta, I.R.; Zribi, M.; Le Maire, G. Terrain Slope Effect on Forest Height and Wood Volume Estimation from GEDI Data. Remote Sens. 2021, 13, 2136. https://doi.org/10.3390/rs13112136
Fayad I, Baghdadi N, Alcarde Alvares C, Stape JL, Bailly JS, Scolforo HF, Cegatta IR, Zribi M, Le Maire G. Terrain Slope Effect on Forest Height and Wood Volume Estimation from GEDI Data. Remote Sensing. 2021; 13(11):2136. https://doi.org/10.3390/rs13112136
Chicago/Turabian StyleFayad, Ibrahim, Nicolas Baghdadi, Clayton Alcarde Alvares, Jose Luiz Stape, Jean Stéphane Bailly, Henrique Ferraço Scolforo, Italo Ramos Cegatta, Mehrez Zribi, and Guerric Le Maire. 2021. "Terrain Slope Effect on Forest Height and Wood Volume Estimation from GEDI Data" Remote Sensing 13, no. 11: 2136. https://doi.org/10.3390/rs13112136
APA StyleFayad, I., Baghdadi, N., Alcarde Alvares, C., Stape, J. L., Bailly, J. S., Scolforo, H. F., Cegatta, I. R., Zribi, M., & Le Maire, G. (2021). Terrain Slope Effect on Forest Height and Wood Volume Estimation from GEDI Data. Remote Sensing, 13(11), 2136. https://doi.org/10.3390/rs13112136

