The Optimal Threshold and Vegetation Index Time Series for Retrieving Crop Phenology Based on a Modified Dynamic Threshold Method
Abstract
1. Introduction
- Are the commonly used 20% or 50% thresholds suitable for retrieving crop SOS and EOS?
- Is it feasible to use the same threshold to retrieve SOS and EOS in cropland with multiple cropping, since the time series of VIs of each growing season are always asymmetrical?
- Are there index-specific differences between the LSP parameters retrieved from NDVI and EVI time series?
2. Data
2.1. Ground Observation Data
2.2. Remote Sensing Data
3. Methods
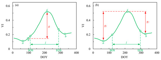
3.1. The Dynamic Threshold Method
3.2. Validation of the Improved Dynamic Threshold Method
3.3. Accuracy Assessment of the Retrieved Phenology
4. Results
4.1. Comparison of the Original and the Improved Dynamic Threshold Method
4.2. The Optimal Thresholds for Retrieving SOS
4.3. The Optimal Thresholds for Retrieving EOS
4.4. Comparison of the Retrieved SOS and EOS Based on NDVI and EVI
5. Discussion
5.1. Comparison of the Optimal Thresholds for Different Crops
5.2. Comparison of the Optimal Threshold Based on NDVI and EVI
5.3. Comparison of the Retrieval Accuracy Based on NDVI and EVI
5.4. Accuracy with Respect to Field Observations
- (1)
- The spatial resolution of MODIS data is rather coarse with respect to the field size, which leads to mixed pixel effects [51]. However, since the monitoring of vegetation phenology requires high temporal resolution, this limitation has to be accepted since few other sensors offer daily revisit capacity. However, as a consequence, the retrieval accuracy in small fields is low, especially in the south of China where the proportion of cultivated land is small, and the weather is usually cloudy and rainy.
- (2)
- Farmland ecosystems are strongly affected by human activities. Compared with natural vegetation, crop growth and development are affected by field management, breeding measures, use of different crop varieties, and varying planting patterns. Consequently, the resulting growth pattern and time series curves are more complex, and the retrieval accuracy is relatively lower when compared to forests and other natural vegetation types.
- (3)
- The scale differences between ground observations (point measurements) and the remote sensing data are huge and the two measurements do not record the same phenomenon. While the ground observation stations record the growth and development periods of individual fields (e.g., key phenological events), the remote sensing data mainly monitors the growth in biomass and leaf area index (LAI), i.e., the land surface phenology, at a much coarser scale [52].
6. Conclusions
- (1)
- The modified dynamic threshold method based on the proposed two growth amplitudes improves the retrieval success rate of SOS and EOS for crops, while maintaining or slightly improving the retrieval accuracy compared to the original method. It is, therefore, recommended to distinguish between pre-peak and post-peak periods when using the threshold method.
- (2)
- It is not appropriate to use identical thresholds to retrieve crop SOS and EOS. In particular, the commonly used 20% or 50% thresholds are not optimal for all crops. Moreover, large crop-specific differences for retrieving SOS and EOS for different crops and different cropping patterns have been observed. This leads to the recommendation that the crop type and the cropping pattern have to be determined prior to the land surface phenology (LSP) analysis, to permit application of crop-specific thresholds and to ensure optimum results.
- (3)
- As for SOS of single and late rice, the accuracies of the results based on EVI are slightly higher than those based on NDVI. However, for spring maize and summer maize, we obtain opposite findings. In terms of EOS, for early rice and summer maize, results based on EVI come with higher accuracy, but for late rice and winter wheat, results based on NDVI are closer to the ground records. These inconclusive results warrant more research, possibly including sites in other eco-regions. Whatever vegetation index is used, we recommend to carefully filter and smooth the data before analysis.
Author Contributions
Acknowledgments
Conflicts of Interest
References
- Rathcke, B.; Lacey, E.P. Phenological Patterns of Terrestrial Plants. Annu. Rev. Ecol. Syst. 1985, 16, 179–214. [Google Scholar] [CrossRef]
- Atzberger, C. Advances in Remote Sensing of Agriculture: Context Description, Existing Operational Monitoring Systems and Major Information Needs. Remote. Sens. 2013, 5, 949–981. [Google Scholar] [CrossRef]
- Wu, B.F.; Liu, C.L. Crop growth monitor system with coupling of NOAA and VGT data. In Proceedings of the Vegetation, Lake Maggiore, Italy, 3–6 April 2000; pp. 355–359. [Google Scholar]
- Guérif, M.; Duke, C. Calibration of the SUCROS emergence and early growth module for sugar beet using optical remote sensing data assimilation. Eur. J. Agron. 1998, 9, 127–136. [Google Scholar] [CrossRef]
- Boucher, O.; Myhre, G.; Myhre, A. Direct human influence of irrigation on atmospheric water vapour and climate. Clim. Dyn. 2004, 22, 597–603. [Google Scholar] [CrossRef]
- Doraiswamy, P. Crop condition and yield simulations using Landsat and MODIS. Remote. Sens. Environ. 2004, 92, 548–559. [Google Scholar] [CrossRef]
- Liu, F.; Chen, Y.; Shi, W.; Zhang, S.; Tao, F.; Ge, Q. Influences of agricultural phenology dynamic on land surface biophysical process and climate feedback. J. Geogr. Sci. 2017, 27, 1085–1099. [Google Scholar] [CrossRef]
- Oteros, J.; García-Mozo, H.; Botey, R.; Mestre, A.; Galán, C. Variations in cereal crop phenology in Spain over the last twenty-six years (1986–2012). Clim. Change 2015, 130, 545–558. [Google Scholar] [CrossRef]
- White, M.A.; De Beurs, K.M.; Didan, K.; Inouye, D.W.; Richardson, A.D.; Jensen, O.P.; O’Keefe, J.; Zhang, G.; Nemani, R.R.; Van Leeuwen, W.J.D.; et al. Intercomparison, interpretation, and assessment of spring phenology in North America estimated from remote sensing for 1982-2006. Glob. Chang. Boil. 2009, 15, 2335–2359. [Google Scholar] [CrossRef]
- Parmesan, C.; Yohe, G. A globally coherent fingerprint of climate change impacts across natural systems. Nature 2003, 421, 37–42. [Google Scholar] [CrossRef]
- Schwartz, M.D.; Ahas, R.; Aasa, A. Onset of spring starting earlier across the Northern Hemisphere. Global Change Biol. 2010, 12, 343–351. [Google Scholar] [CrossRef]
- Richardson, A.D.; Braswell, B.H.; Hollinger, D.Y.; Jenkins, J.P.; Ollinger, S.V. Near-surface remote sensing of spatial and temporal variation in canopy phenology. Ecol. Appl. 2009, 19, 1417–1428. [Google Scholar] [CrossRef] [PubMed]
- Hufkens, K.; Friedl, M.; Sonnentag, O.; Braswell, B.H.; Milliman, T.; Richardson, A.D. Linking near-surface and satellite remote sensing measurements of deciduous broadleaf forest phenology. Remote Sens. Environ. 2012, 117, 307–321. [Google Scholar] [CrossRef]
- Richardson, A.; Jenkins, J.; Braswell, B.D.; Ollinger, S.; Smith, M. Use of digital webcam images to track spring green-up in a deciduous broadleaf forest. Oecologia 2007, 152, 323–334. [Google Scholar] [CrossRef] [PubMed]
- Sonnentag, O.; Hufkens, K.; Tesherasterne, C.; Young, A.M.; Friedl, M. Digital repeat photography for phenological research in forest ecosystems. Agric. For. Meteorol. 2012, 152, 159–177. [Google Scholar] [CrossRef]
- Atkinson, P.M.; Jeganathan, C.; Dash, J.; Atzberger, C. Inter-comparison of four models for smoothing satellite sensor time-series data to estimate vegetation phenology. Remote Sens. Environ. 2012, 123, 400–417. [Google Scholar] [CrossRef]
- White, M.A.; Nemani, R.R. Real-time monitoring and short-term forecasting of land surface phenology. Remote Sens. Environ. 2006, 104, 43–49. [Google Scholar] [CrossRef]
- Ren, S.; Qin, Q.; Ren, H. Contrasting wheat phenological responses to climate change in global scale. Sci. Total Environ. 2019, 665, 620–631. [Google Scholar] [CrossRef]
- Vrieling, A.; Meroni, M.; Darvishzadeh, R.; Skidmore, A.K.; Wang, T.; Zurita-Milla, R.; Oosterbeek, K.; O’Connor, B.; Paganini, M. Vegetation phenology from Sentinel-2 and field cameras for a Dutch barrier island. Remote Sens. Environ. 2018, 215, 517–529. [Google Scholar] [CrossRef]
- Delécolle, R.; Maas, S.J.; Guerif, M.; Baret, F. Remote sensing and crop production models: present trends. ISPRS J. Photogramm. Remote Sens. 1992, 47, 145–161. [Google Scholar] [CrossRef]
- Zhang, X. Land Surface Phenology: Climate Data Record and Real-Time Monitoring. In Comprehensive Remote Sensing; Liang, S., Ed.; Elsevier: Oxford, UK, 2018; pp. 35–52. [Google Scholar]
- Ganguly, S.; Friedl Mark, A.; Tan, B.; Zhang, X.; Verma, M. Land surface phenology from MODIS: Characterization of the Collection 5 global land cover dynamics product. Remote Sens. Environ. 2010, 114, 1805–1816. [Google Scholar] [CrossRef]
- Curnel, Y.; Oger, R. Agrophenology indicators from remote sensing: state of the art. In Proceedings of the ISPRS Archives XXXVI-8/W48 Workshop proceedings: Remote sensing support to crop yield forecast and area estimates, Stresa, Italy, 30 November–1 December 2006; pp. 31–38. [Google Scholar]
- Fischer, A. A model for the seasonal variations of vegetation indices in coarse resolution data and its inversion to extract crop parameters. Remote. Sens. Environ. 1994, 48, 220–230. [Google Scholar] [CrossRef]
- Lloyd, D. A phenological classification of terrestrial vegetation cover using shortwave vegetation index imagery. Int. J. Remote. Sens. 1990, 11, 2269–2279. [Google Scholar] [CrossRef]
- Jonsson, P.; Eklundh, L. Seasonality extraction by function fitting to time-series of satellite sensor data. IEEE Trans. Geosci. Remote. Sens. 2002, 40, 1824–1832. [Google Scholar] [CrossRef]
- White, M.A.; Thornton, P.E.; Running, S.W. A continental phenology model for monitoring vegetation responses to interannual climatic variability. Global Biogeochem. Cycles 1997, 11, 217–234. [Google Scholar] [CrossRef]
- Duchemin, B.T.; Goubier, J.M.; Courrier, G. Monitoring phenological key stages and cycle duration of temperate deciduous forest ecosystems with NOAA/AVHRR data. Remote Sens. Environ. 1999, 67, 68–82. [Google Scholar] [CrossRef]
- Reed, B.C.; Brown, J.F.; Vanderzee, D.; Loveland, T.R.; Merchant, J.W.; Ohlen, D.O. Measuring phenological variability from satellite imagery. J. VEG. SCI. 1994, 5, 703–714. [Google Scholar] [CrossRef]
- Beck, P.S.A.; Atzberger, C.; Hogda, K.A.; Johansen, B.; Skidmore, A.K. Improved monitoring of vegetation dynamics at very high latitudes: A new method using MODIS NDVI. Remote Sens. Environ. 2006, 100, 321–334. [Google Scholar] [CrossRef]
- Zhang, X.; Friedl, M.A.; Schaaf, C.B.; Strahler, A.H.; Hodges, J.C.F.; Gao, F.; Reed, B.C.; Huete, A. Monitoring vegetation phenology using MODIS. Remote Sens. Environ. 2003, 84, 471–475. [Google Scholar] [CrossRef]
- Sakamoto, T.; Yokozawa, M.; Toritani, H.; Shibayama, M.; Ishitsuka, N.; Ohno, H. A crop phenology detection method using time-series MODIS data. Remote Sens. Environ. 2005, 96, 366–374. [Google Scholar] [CrossRef]
- Atzberger, C.; Eilers, P.H.C. A time series for monitoring vegetation activity and phenology at 10-daily time steps covering large parts of South America. Int. J. Digital Earth 2011, 4, 365–386. [Google Scholar] [CrossRef]
- Cong, N.; Piao, S.; Chen, A.; Wang, X.; Lin, X.; Chen, S.; Han, S.; Zhou, G.; Zhang, X. Spring vegetation green-up date in China inferred from SPOT NDVI data: A multiple model analysis. Agric. For. Meteorol. 2012, 165, 104–113. [Google Scholar] [CrossRef]
- Delbart, N.; Beaubien, E.; Kergoat, L.; Toan, T.L. Comparing land surface phenology with leafing and flowering observations from the PlantWatch citizen network. Remote Sens. Environ. 2015, 160, 273–280. [Google Scholar] [CrossRef]
- Yu, H.Y.; Luedeling, E.; Xu, J.C. Winter and spring warming result in delayed spring phenology on the Tibetan Plateau. Proc. Natl. Acad. Sci. USA 2010, 107, 22151–22156. [Google Scholar] [CrossRef] [PubMed]
- Wu, C.Y.; Peng, D.L.; Soudani, K.; Siebicke, L.; Gough, C.M.; Arain, M.A.; Bohrer, G.; Lafleur, P.M.; Peichl, M.; Gonsamo, A.; et al. Land surface phenology derived from normalized difference vegetation index (NDVI) at global FLUXNET sites. Agric. For. Meteorol. 2017, 171–182. [Google Scholar] [CrossRef]
- Guo, L.; An, N.; Wang, K. Reconciling the discrepancy in ground- and satellite-observed trends in the spring phenology of winter wheat in China from 1993 to 2008. J. Geophys. Res.: Atmos. 2016, 121, 1027–1042. [Google Scholar] [CrossRef]
- Alcantara, C.; Kuemmerle, T.; Prishchepov, A.V.; Radeloff, V.C. Mapping abandoned agriculture with multi-temporal MODIS satellite data. Remote Sens. Environ. 2012, 124, 334–347. [Google Scholar] [CrossRef]
- Wu, W.B.; Peng, Y.; Tang, H.J.; Zhou, Q.B.; Chen, Z.X.; Shibasaki, R. Characterizing spatial patterns of phenology in cropland of China based on remotely sensed data. Agric. Sci. Chin. 2010, 9, 101–112. [Google Scholar] [CrossRef]
- Ogle, S.M.; Breidt, F.J.; Paustian, K. Agricultural management impacts on soil organic carbon storage under moist and dry climatic conditions of temperate and tropical regions. Biogeochemistry 2005, 72, 87–121. [Google Scholar] [CrossRef]
- Biradar, C.M.; Xiao, X. Quantifying the area and spatial distribution of double- and triple-cropping croplands in India with multi-temporal MODIS imagery in 2005. Int. J. Remote Sens. 2011, 32, 367–386. [Google Scholar] [CrossRef]
- Liu, J.; Zhu, W.; Atzberger, C.; Zhao, A.; Pan, Y.; Huang, X. A phenology-based method to map cropping patterns under a wheat-maize rotation using remotely sensed time-series data. Remote Sens. 2018, 10. [Google Scholar] [CrossRef]
- Atzberger, C.; Formaggio, A.R.; Shimabukuro, Y.E.; Udelhoven, T.; Mattiuzzi, M.; Sanchez, G.A.; Arai, E. Obtaining crop-specific time profiles of NDVI: the use of unmixing approaches for serving the continuity between SPOT-VGT and PROBA-V time series. Int. J. Remote Sens. 2014, 35, 2615–2638. [Google Scholar] [CrossRef]
- Liu, J.; Zhan, P. The impacts of smoothing methods for time-series remote sensing data on crop phenology extraction. In Proceedings of the 2016 IEEE International Geoscience and Remote Sensing Symposium (IGARSS), Beijing, China, 10–15 July 2016; pp. 2296–2299. [Google Scholar]
- Zhu, W.; Pan, Y.; He, H.; Wang, L.; Mou, M.; Liu, J. A changing-weight filter method for reconstructing a high-quality NDVI time series to preserve the integrity of vegetation phenology. IEEE Trans. Geosci. Remote Sens. 2012, 50, 1085–1094. [Google Scholar] [CrossRef]
- Jönsson, P.; Eklundh, L. TIMESAT—a program for analyzing time-series of satellite sensor data. Comput. Geosci. 2004, 30, 833–845. [Google Scholar] [CrossRef]
- Richter, K.; Atzberger, C.; Hank, T.B.; Mauser, W. Derivation of biophysical variables from earth observation data: validation and statistical measures. J. Appl. Remote Sens. 2012, 6, 063557. [Google Scholar] [CrossRef]
- Peng, D.; Wu, C.; Li, C.; Zhang, X.; Liu, Z.; Ye, H.; Luo, S.; Liu, X.; Hu, Y.; Fang, B. Spring green-up phenology products derived from MODIS NDVI and EVI: Intercomparison, interpretation and validation using National Phenology Network and AmeriFlux observations. Ecol. Indic. 2017, 323–336. [Google Scholar] [CrossRef]
- Zhang, X.; Jayavelu, S.; Liu, L.; Friedl, M.A.; Henebry, G.M.; Liu, Y.; Schaaf, C.B.; Richardson, A.D.; Gray, J. Evaluation of land surface phenology from VIIRS data using time series of PhenoCam imagery. Agric. For. Meteorol. 2018, 137–149. [Google Scholar] [CrossRef]
- Liu, L.; Cao, R.; Shen, M.; Chen, J.; Wang, J.; Zhang, X. How does scale effect influence spring vegetation phenology estimated from satellite-derived vegetation indexes? Remote Sens. 2019, 18, 2137. [Google Scholar] [CrossRef]
- Hanes, J.M.; Liang, L.; Morisette, J.T. Land surface phenology. In Biophysical Applications of Satellite Remote Sensing; Hanes, J.M., Ed.; Springer: Berlin/Heidelberg, Germany, 2014; pp. 99–125. [Google Scholar]











| Crop Types | Cropping Types | Number of SOS Reference Data | Number of EOS Reference Data |
|---|---|---|---|
| Single rice | Single cropping | 16 | 35 |
| Early rice | First crop in double cropping | 11 | 10 |
| Late rice | Second crop in double cropping | 13 | 15 |
| Winter wheat | First crop in double cropping | 36 | 36 |
| Spring maize | Single cropping | 47 | 54 |
| Summer maize | Second crop in double cropping | 25 | 34 |
| Crop Types | R2 | RMSE (DAYS) | BIAS (DAYS) | ||
|---|---|---|---|---|---|
| Single rice | 16 | 20% | 0.51 | 14.7 | 3.6 |
| Early rice | 11 | 30% | 0.79 | 17.9 | 0.1 |
| Late rice | 13 | 25% | 0.40 | 14.6 | −1.1 |
| Winter wheat | 36 | 9% | 0.41 | 15.3 | 2.4 |
| Spring maize | 47 | 31% | 0.52 | 14.3 | 0.3 |
| Summer maize | 25 | 1% | 0.68 | 8.1 | 1.7 |
| Crop Types | R2 | RMSE (Days) | BIAS (Days) | ||
|---|---|---|---|---|---|
| Single rice | 35 | 66% | 0.92 | 13.9 | 0.5 |
| Early rice | 10 | 0% | 0.15 | 11.2 | 0.3 |
| Late rice | 15 | 51% | 0.99 | 10.7 | −0.5 |
| Winter wheat | 36 | 27% | 0.47 | 7.9 | 1.1 |
| Spring maize | 54 | 69% | 0.18 | 11.1 | 2.1 |
| Summer maize | 34 | 65% | 0.27 | 11.4 | −0.2 |
© 2019 by the authors. Licensee MDPI, Basel, Switzerland. This article is an open access article distributed under the terms and conditions of the Creative Commons Attribution (CC BY) license (http://creativecommons.org/licenses/by/4.0/).
Share and Cite
Huang, X.; Liu, J.; Zhu, W.; Atzberger, C.; Liu, Q. The Optimal Threshold and Vegetation Index Time Series for Retrieving Crop Phenology Based on a Modified Dynamic Threshold Method. Remote Sens. 2019, 11, 2725. https://doi.org/10.3390/rs11232725
Huang X, Liu J, Zhu W, Atzberger C, Liu Q. The Optimal Threshold and Vegetation Index Time Series for Retrieving Crop Phenology Based on a Modified Dynamic Threshold Method. Remote Sensing. 2019; 11(23):2725. https://doi.org/10.3390/rs11232725
Chicago/Turabian StyleHuang, Xin, Jianhong Liu, Wenquan Zhu, Clement Atzberger, and Qiufeng Liu. 2019. "The Optimal Threshold and Vegetation Index Time Series for Retrieving Crop Phenology Based on a Modified Dynamic Threshold Method" Remote Sensing 11, no. 23: 2725. https://doi.org/10.3390/rs11232725
APA StyleHuang, X., Liu, J., Zhu, W., Atzberger, C., & Liu, Q. (2019). The Optimal Threshold and Vegetation Index Time Series for Retrieving Crop Phenology Based on a Modified Dynamic Threshold Method. Remote Sensing, 11(23), 2725. https://doi.org/10.3390/rs11232725

