The Impact of Multinational Business Diversification on the Financial Sustainability of Construction Firms in Korea
Abstract
:1. Introduction
2. Background
2.1. Change Trends in Domestic and Overseas Construction Orders of Korean Construction Firms
2.2. Literature Review
3. Research Methodology
4. Empirical Analysis
4.1. Variables and Data Collection
4.2. Empirical Procedure
4.3. Results
5. Discussion and Conclusions
Acknowledgments
Author Contributions
Conflicts of Interest
References
- Oyewobi, L.O.; Windapo, A.O.; Cattell, K.S. Impact of Business Diversification on South African Construction Companies’ Corporate Performance. J. Financ. Manag. Prop. Constr. 2013, 18, 110–127. [Google Scholar] [CrossRef]
- Ibrahim, Y.M.; Ibrahim, A.M.; Kabir, B. Geographic Diversification, Performance, and the Risk Profile of UK Construction Firms. J. Eng. Des. Technol. 2009, 7, 171–185. [Google Scholar]
- Amit, R.; Livnat, J. Diversification Strategies, Business Cycles and Economic Performance. Strateg. Manag. J. 1988, 9, 99–110. [Google Scholar] [CrossRef]
- Mathur, I.; Singh, M.; Gleason, K.C. Multinational Diversification and Corporate Performance: Evidence from European Firms. Eur. Financ. Manag. 2004, 10, 439–464. [Google Scholar] [CrossRef]
- Chakrabarti, A.; Singh, K.; Mahmood, I. Diversification and Performance: Evidence from East Asian Firms. Strateg. Manag. J. 2007, 28, 101–120. [Google Scholar] [CrossRef]
- Cheah, C.Y.J.; Garvin, M.J.; Miller, J.B. Empirical Study of Strategic Performance of Global Construction Firms. J. Constr. Eng. Manag. 2004, 130, 808–817. [Google Scholar] [CrossRef]
- Yee, C.Y.; Cheah, C.Y.J. Interactions between Business and Financial Strategies of Large Engineering and Construction Firms. J. Manag. Eng. 2006, 22, 148–155. [Google Scholar] [CrossRef]
- Jung, W.; Han, S.H.; Park, H.; Kim, D.Y. Empirical Assessment of Internationalization Strategies for Small and Medium Construction Companies. J. Constr. Eng. Manag. 2010, 136, 1306–1316. [Google Scholar] [CrossRef]
- Park, H.; Han, S.H.; Rojas, E.M.; Son, J.; Jung, W. Social Network Analysis of Collaborative Ventures for Overseas Construction Projects. J. Constr. Eng. Manag. 2011, 137, 344–355. [Google Scholar] [CrossRef]
- Kim, D.Y.; Ashuri, B.; Han, S.H. Financial Valuation of Investments in International Construction Markets: Real-Options Approach for Market-Entry Decisions. J. Manag. Eng. 2013, 29, 355–368. [Google Scholar] [CrossRef]
- Sharma, A.; Panagiotidis, T. An Analysis of Exports and Growth in India: Cointegration and Causality Evidence (1971–2001). Rev. Dev. Econ. 2005, 9, 232–248. [Google Scholar] [CrossRef]
- Rumelt, R.O. Strategy, Structure and Economic Performance; Harvard University Press: Cambridge, MA, USA, 1974. [Google Scholar]
- Palepu, K. Diversification Strategy, Profit Performance, and the Entropy Measure. Strateg. Manag. J. 1985, 6, 239–255. [Google Scholar] [CrossRef]
- Lecaw, D.J. Bargaining Power, Ownership, and Profitability of Transnational Corporations in Developing Countries. J. Int. Bus. Stud. 1984, 15, 27–43. [Google Scholar] [CrossRef]
- Itami, H.; Kagono, T.; Yoshihara, H.; Sakuma, A. Diversification Strategies and Economic Performance. Jpn. Econ. Stud. 1982, 8, 398–405. [Google Scholar] [CrossRef]
- Buhner, R. Assessing International Diversification of West German Corporations. Strateg. Manag. J. 1986, 8, 25–37. [Google Scholar] [CrossRef]
- Khanna, T.; Palepu, K. Is Corporate Affiliation Profitable in Emerging Markets? J. Financ. 2000, 55, 867–891. [Google Scholar] [CrossRef]
- Lang, L.H.P.; Stulz, R.M. Tobin’s Q, Corporate Diversification, and Firm Performance. J. Polit. Econ. 1994, 102, 1248–1280. [Google Scholar]
- Berger, P.G.; Ofek, E. Diversification’s Effect on Firm Value. J. Financ. Econ. 1995, 37, 39–65. [Google Scholar] [CrossRef]
- Comment, R.; Jarrell, G.A. Corporate Focus and Stock Returns. J. Financ. Econ. 1995, 37, 67–87. [Google Scholar] [CrossRef]
- Lins, K.; Servaes, H. International Evidence on the Value of Corporate Diversification. J. Financ. 1999, 54, 2215–2239. [Google Scholar] [CrossRef]
- Cheah, Y.J. Fundamental Analysis and Conceptual Model for Corporate Strategy in Global Engineering and Construction Markets. Ph.D. Thesis, Massachusetts Institute of Technology, Cambridge, MA, USA, 2002. [Google Scholar]
- Yee, C.Y.; Cheah, C.Y.J. Fundamental Analysis of Profitability of Large Engineering and Construction Firms. J. Manag. Eng. 2006, 22, 203–210. [Google Scholar] [CrossRef]
- Choi, J.; Russell, J.S. Long-term Entropy and Profitability Change in US Public Construction Firms. J. Manag. Eng. 2005, 21, 17–26. [Google Scholar] [CrossRef]
- Kim, H.; Reinschmidt, K. Market Structure and Organizational Performance of Construction Organizations. J. Manag. Eng. 2012, 28, 212–220. [Google Scholar] [CrossRef]
- Panagiotidis, T.; Printzis, P. On the macroeconomic determinants of the housing market in Greece: A VECM approach. Int. Econ. Econ. Policy 2016, 13, 387–409. [Google Scholar] [CrossRef]
- Han, S.H.; Diekmann, J.E.; Lee, Y.; Ock, J.H. Multicriteria Financial Portfolio Risk Management for International Projects. J. Constr. Eng. Manag. 2004, 130, 346–356. [Google Scholar] [CrossRef]
- Gunhan, S.; Arditi, D. International Expansion Decision for Construction Companies. J. Constr. Eng. Manag. 2005, 131, 928–937. [Google Scholar] [CrossRef]
- Jung, W.; Han, S.H.; Koo, B.; Jang, W. Which Strategies Are More Effective for International Contractors during Boom and Recession Periods? J. Manag. Eng. 2012, 28, 281–290. [Google Scholar] [CrossRef]
- Jung, W.; Han, S.H.; Lee, K. Country Portfolio Solutions for Global Market Uncertainties. J. Manag. Eng. 2012, 28, 372–381. [Google Scholar] [CrossRef]
- Baffoe-Bonnie, J. The Dynamic Impact of Macroeconomic Aggregates on Housing Prices and Stock of Houses: A National and Regional Analysis. J. Real Estate Financ. Econ. 1998, 17, 179–197. [Google Scholar] [CrossRef]
- Cooley, T.F.; Leroy, S.F. AtheoreticalMacroeconometrics: A Critique. J. Monet. Econ. 1985, 16, 283–308. [Google Scholar] [CrossRef]
- Xu, J.; Moon, S. Stochastic Forecast of Construction Cost Index Using a Cointegrated Vector Autoregression Model. J. Manag. Eng. 2013, 29, 10–18. [Google Scholar] [CrossRef]
- Wong, J.M.W.; Ng, S.T. Forecasting Construction Tender Price Index in Hong Kong Using Vector Error Correction Model. Constr. Manag. Econ. 2010, 28, 1255–1268. [Google Scholar] [CrossRef]
- DeJong, D.N. Reconsidering Trends and Random Walks in Macroeconomic Time Series. J. Monet. Econ. 1991, 28, 221–254. [Google Scholar] [CrossRef]
- Lean, C.S. Empirical Tests to Discern Linkages between Construction and Other Economic Sectors in Singapore. Constr. Manag. Econ. 2001, 19, 355–363. [Google Scholar] [CrossRef]
- Chan, S. Responses of Selected Economic Indicators to Construction Output Shocks: The Case of Singapore. Constr. Manag. Econ. 2002, 20, 523–533. [Google Scholar] [CrossRef]
- Shahandashti, S.M.; Ashuri, B. Forecasting Engineering News-Record Construction Cost Index Using Multivariate Time Series Models. J. Constr. Eng. Manag. 2013, 139, 1237–1243. [Google Scholar] [CrossRef]
- Granger, C.; Newbold, P. Spurious Regressions in Econometrics. J. Econ. 1974, 2, 111–120. [Google Scholar] [CrossRef]
- Eagle, R.; Granger, C. Cointegration and Error Correction: Representation, Estimation and Testing. Econometrica 1987, 55, 251–276. [Google Scholar]
- Boswijk, H.P. Efficient Inference on Cointegration Parameters in Structural Error Correction Models. J. Econ. 1995, 69, 133–158. [Google Scholar] [CrossRef]
- Granger, C.W.J. Investigating Causal Relations by Econometric Models and Cross-Spectral Methods. Econometrica 1969, 37, 424–438. [Google Scholar] [CrossRef]
- Sims, C. Are Forecasting Models Usable for Policy Analysis? Fed. Reserve Bank Minneap. Q. Rev. 1986, 10, 2–16. [Google Scholar]
- Chortareas, G.; Magkonis, G.; Moschos, D.; Panagiotidis, T. Financial Development and Economic Activity in Advanced and Developing Open Economies: Evidence from Panel Cointegration. Rev. Dev. Econ. 2015, 19, 163–177. [Google Scholar] [CrossRef]



| Variables | Descriptions | Period | Frequency |
|---|---|---|---|
| CR | Current ratio | 2001:01–2015:04 | Quarterly |
| DR | Debt ratio | 2001:01–2015:04 | Quarterly |
| DCO | Domestic construction orders | 2001:01–2015:04 | Quarterly |
| ICO | Overseas construction orders | 2001:01–2015:04 | Quarterly |
| Model | Variables | Level | First Differencing | ||
|---|---|---|---|---|---|
| t-Statistic | p-Value | t-Statistic | p-Value | ||
| Model A | CR | −1.873889 | 0.6552 | −12.11031 | 0.0000 |
| DCO | −0.630938 | 0.9731 | −8.125768 | 0.0000 | |
| ICO | −2.844468 | 0.1880 | −9.222869 | 0.0000 | |
| Model B | DR | −2.361163 | 0.3952 | −4.891141 | 0.0011 |
| DCO | −0.630938 | 0.9731 | −8.125768 | 0.0000 | |
| ICO | −2.844468 | 0.1880 | −9.222869 | 0.0000 | |
| Lag | Model A | Model B |
|---|---|---|
| 0 | −0.560831 | 0.395486 |
| 1 | −4.493991 | −3.910419 * |
| 2 | −5.039847 * | −3.782307 |
| 3 | −4.656913 | −3.436031 |
| 4 | −4.230129 | −3.285931 |
| 5 | −3.774241 | −2.925051 |
| Period | Null Hypothesis | Test Statistic | 0.05 Critical Value | p-Value |
|---|---|---|---|---|
| Model A | r = 0 * | 41.57252 | 35.19275 | 0.0090 |
| r ≤ 1 | 16.52760 | 20.26184 | 0.1511 | |
| r ≤ 2 | 4.833905 | 9.164546 | 0.3021 | |
| Model B | r = 0 * | 44.94418 | 29.79707 | 0.0005 |
| r ≤ 1 * | 23.38987 | 15.49471 | 0.0026 | |
| r ≤ 2 * | 6.315666 | 3.841466 | 0.0120 |
| Model A | Model B | ||||||||||
|---|---|---|---|---|---|---|---|---|---|---|---|
| Causality | Lag | F-Statistic | p-Value | Causality | Lag | F-Statistic | p-Value | ||||
| DCO | → | CR | 1 | 1.85313 | 0.1790 | DCO | → | DR | 1 | 0.52407 | 0.4722 |
| CR | → | DCO | 1 | 1.13151 | 0.2921 | DR | → | DCO | 1 | 3.48823 | 0.0671 |
| ICO | → | CR | 1 | 2.43930 | 0.1241 | ICO | → | DR | 1 | 0.15249 | 0.6977 |
| CR | → | ICO | 1 | 28.5302 | 2.E-06 | DR | → | ICO | 1 | 1.88333 | 0.1755 |
| ICO | → | DCO | 1 | 0.36355 | 0.5490 | ICO | → | DCO | 1 | 0.36355 | 0.5490 |
| DCO | → | ICO | 1 | 0.06532 | 0.7992 | DCO | → | ICO | 1 | 0.06532 | 0.7992 |
| DCO | → | CR | 2 | 2.06580 | 0.1370 | DCO | → | DR | 2 | 0.58488 | 0.5608 |
| CR | → | DCO | 2 | 0.70489 | 0.4988 | DR | → | DCO | 2 | 1.01605 | 0.3691 |
| ICO | → | CR | 2 | 1.19387 | 0.3112 | ICO | → | DR | 2 | 0.10612 | 0.8995 |
| CR | → | ICO | 2 | 15.5657 | 5.E-06 | DR | → | ICO | 2 | 1.40969 | 0.2534 |
| ICO | → | DCO | 2 | 1.10587 | 0.3386 | ICO | → | DCO | 2 | 1.10587 | 0.3386 |
| DCO | → | ICO | 2 | 0.44365 | 0.6441 | DCO | → | ICO | 2 | 0.44365 | 0.6441 |
| DCO | → | CR | 3 | 1.38449 | 0.2586 | DCO | → | DR | 3 | 2.18807 | 0.1013 |
| CR | → | DCO | 3 | 1.12401 | 0.3485 | DR | → | DCO | 3 | 1.15405 | 0.3368 |
| ICO | → | CR | 3 | 1.50838 | 0.2240 | ICO | → | DR | 3 | 0.26060 | 0.8534 |
| CR | → | ICO | 3 | 10.1063 | 3.E-05 | DR | → | ICO | 3 | 2.28185 | 0.0908 |
| ICO | → | DCO | 3 | 1.02077 | 0.3916 | ICO | → | DCO | 3 | 1.02077 | 0.3916 |
| DCO | → | ICO | 3 | 0.40864 | 0.7475 | DCO | → | ICO | 3 | 0.40864 | 0.7475 |
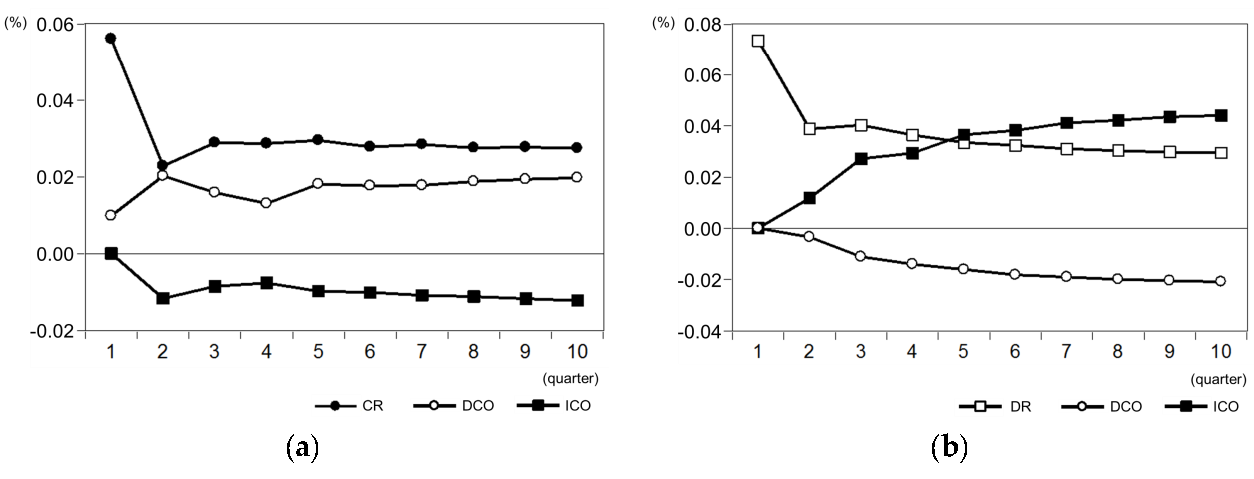
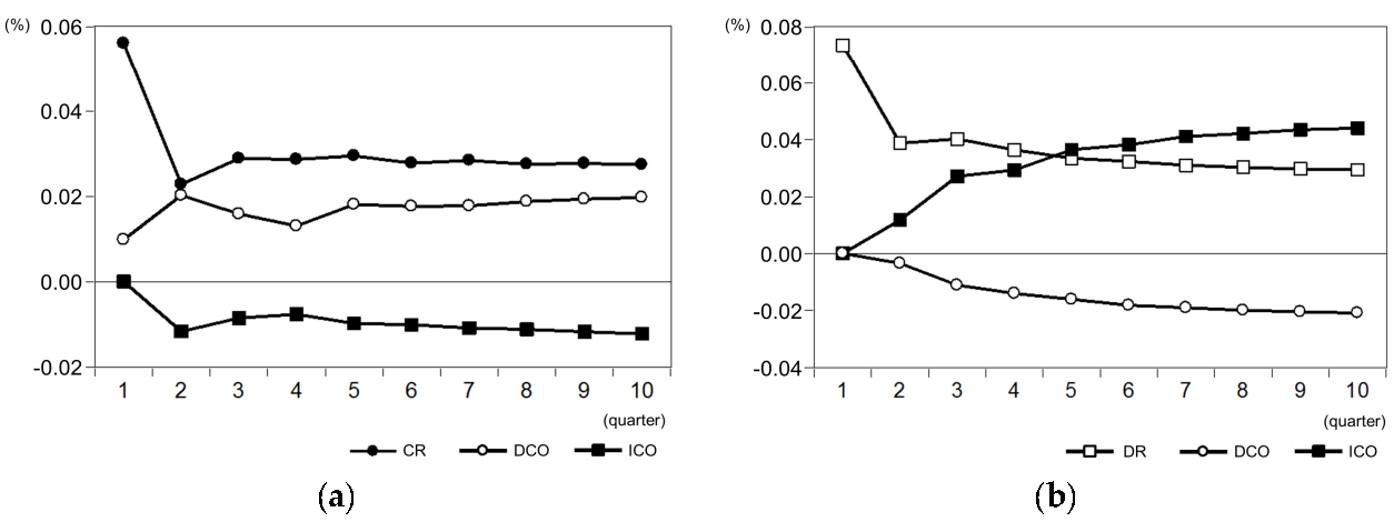
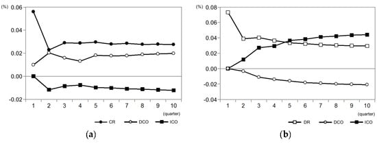
| Period (Quarter) | CR | DR | ||||
|---|---|---|---|---|---|---|
| CR | DCO | ICO | DR | DCO | ICO | |
| 1 | 0.056137 | 0.009809 | 0.000000 | 0.073565 | 0.000000 | 0.000000 |
| 2 | 0.022810 | 0.020224 | −0.011690 | 0.038738 | −0.003485 | 0.011761 |
| 3 | 0.028880 | 0.015867 | −0.008591 | 0.040269 | −0.011161 | 0.027101 |
| 4 | 0.028649 | 0.013038 | −0.007687 | 0.036414 | −0.014055 | 0.029271 |
| 5 | 0.029479 | 0.018065 | −0.009798 | 0.033499 | −0.016153 | 0.036461 |
| 6 | 0.027757 | 0.017650 | −0.010130 | 0.032306 | −0.018248 | 0.038176 |
| 7 | 0.028407 | 0.017779 | −0.010891 | 0.030982 | −0.019052 | 0.041095 |
| 8 | 0.027525 | 0.018759 | −0.011206 | 0.030290 | −0.020052 | 0.042195 |
| 9 | 0.027745 | 0.019310 | −0.011762 | 0.029729 | −0.020475 | 0.043443 |
| 10 | 0.027394 | 0.019706 | −0.012311 | 0.029371 | −0.020917 | 0.044038 |
© 2016 by the authors; licensee MDPI, Basel, Switzerland. This article is an open access article distributed under the terms and conditions of the Creative Commons Attribution (CC-BY) license (http://creativecommons.org/licenses/by/4.0/).
Share and Cite
Lee, S.; Ahn, Y.; Shin, S. The Impact of Multinational Business Diversification on the Financial Sustainability of Construction Firms in Korea. Sustainability 2016, 8, 997. https://doi.org/10.3390/su8100997
Lee S, Ahn Y, Shin S. The Impact of Multinational Business Diversification on the Financial Sustainability of Construction Firms in Korea. Sustainability. 2016; 8(10):997. https://doi.org/10.3390/su8100997
Chicago/Turabian StyleLee, Sanghyo, Yonghan Ahn, and Sungwoo Shin. 2016. "The Impact of Multinational Business Diversification on the Financial Sustainability of Construction Firms in Korea" Sustainability 8, no. 10: 997. https://doi.org/10.3390/su8100997
APA StyleLee, S., Ahn, Y., & Shin, S. (2016). The Impact of Multinational Business Diversification on the Financial Sustainability of Construction Firms in Korea. Sustainability, 8(10), 997. https://doi.org/10.3390/su8100997
