Landslide Hazard Assessment Based on Ensemble Learning Model and Bayesian Probability Statistics: Inference from Shaanxi Province, China
Abstract
1. Introduction
2. Study Area
3. Methodology
3.1. Methods for Regional Landslide Susceptibility Assessment
3.1.1. Information Value Model
3.1.2. Random Forest
3.1.3. Extreme Gradient Boosting
3.1.4. Light Gradient Boosting Machine
3.1.5. Coupled Model Framework
- (1)
- Construction of the evaluation factor system. ArcGIS 10.8 was utilized to analyze and extract data for all evaluation factors and landslide location information, establishing a comprehensive regional landslide susceptibility evaluation factor system. The system of evaluation factors was categorized into five main groups: topography and landforms, geological settings, hydrological conditions, human activities, and vegetation cover. These groups were further refined into 11 specific factors: elevation, slope, aspect, plan curvature, terrain ruggedness index (TRI), lithology, distance to river, topographic wetness index (TWI), distance to road, building density, and normalized difference vegetation index (NDVI).
- (2)
- Independence testing of factors: The selected 11 evaluation factors underwent correlation and collinearity analysis to avoid high correlations or multicollinearity among the factors, ensuring the accuracy of the susceptibility results.
- (3)
- Information Value Analysis of Factors: The Information Value (IV) model was used to classify and assign values to each evaluation factor, followed by information value analysis for all factors. Susceptibility zones were delineated for the study area, and negative sample data were selected from the very-low- and low-susceptibility zones (maintaining a 1:1 ratio between the positive and negative samples).
- (4)
- Landslide Susceptibility Assessment: The filtered evaluation factors with positive and negative sample datasets (70% training set and 30% testing set) were input into three ensemble models (RF, XGBoost, and LightGBM) for training and prediction. Susceptibility mapping was performed based on the prediction results of the coupled models. The predictive performance of the three models was evaluated using metrics such as the ROC curve, AUC, precision (P), accuracy (Acc), recall (R), and F1-score.
3.2. Methods for Regional Landslide Hazard Assessment
3.2.1. Pearson Type-III Distribution
3.2.2. Bayesian Probability Statistical Method
4. Results
4.1. Landslide Susceptibility Assessment
4.1.1. Independence Testing of Evaluation Factors
4.1.2. Factor Classification and IV Analysis
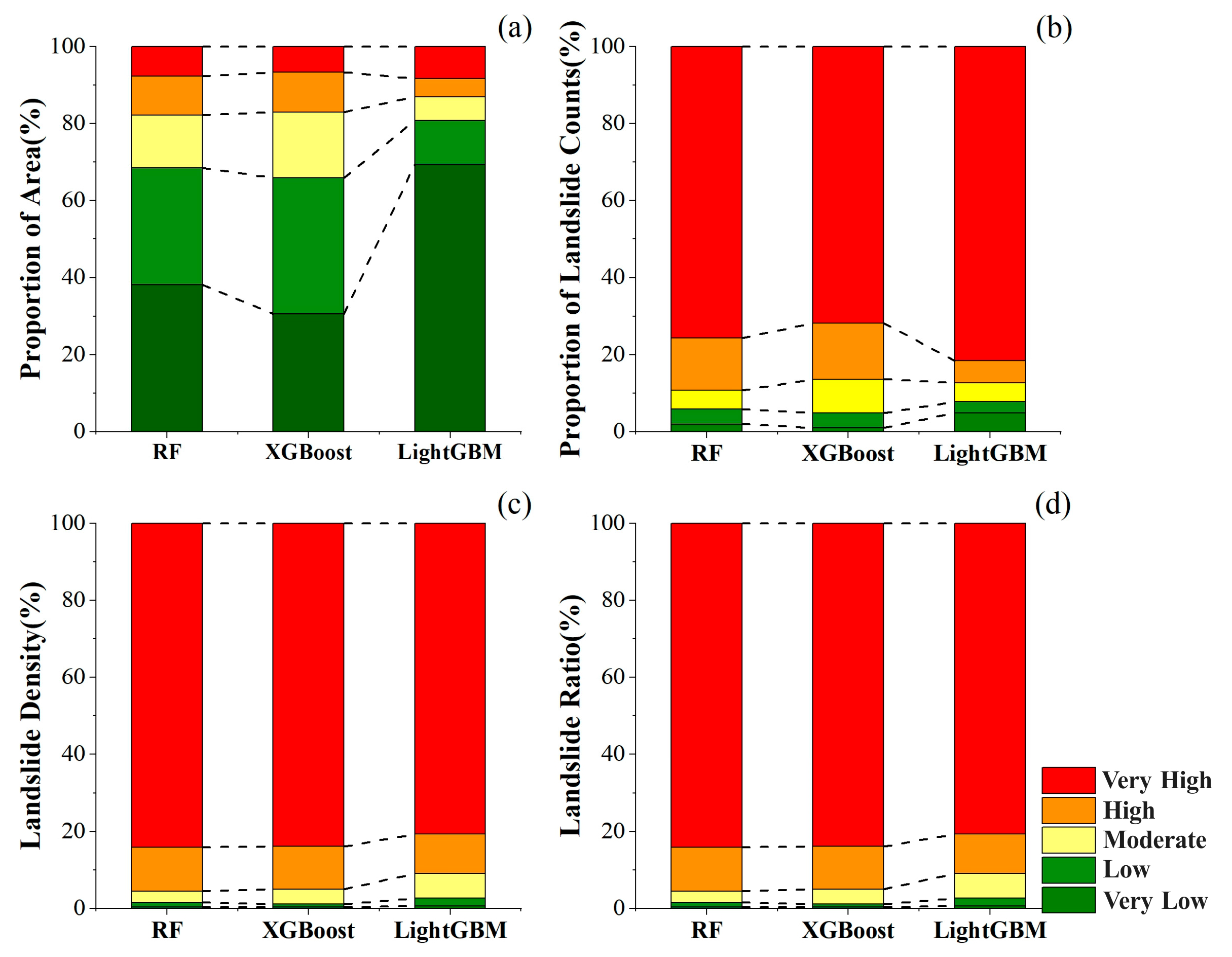
4.1.3. Landslide Susceptibility Zoning and Model Performance Analysis
4.1.4. SHAP Value Analysis
4.2. Landslide Hazard Assessment
4.2.1. Calculation of Rainfall Return Periods
4.2.2. Calculation of Rainfall-Induced Landslide Probability
4.2.3. Regional Landslide Hazard Assessment
5. Discussion
5.1. Analysis of Landslide Susceptibility Assessment
5.2. Analysis of Landslide Hazard Assessment
6. Conclusions
- (1)
- The development of a susceptibility assessment model based on the integration of information value and ensemble learning models: The susceptibility zoning results from the IV-XGBoost model show that very-high- and high-susceptibility zones are primarily distributed in densely populated areas, regions close to roads and rivers, and river terrace zones characterized by intense human engineering activities and substantial hydraulic erosion. The results indicate that the IV-XGBoost model demonstrates a superior predictive capability, higher evaluation accuracy, and more excellent reliability for landslide susceptibility assessments.
- (2)
- Quantitative hazard assessment under varying rainfall conditions: Based on the IV-XGBoost susceptibility results, the P-III frequency curve and Bayesian theorem were combined to derive quantitative hazard values and zoning results under different rainfall probabilities in the study area. The hazard calculations revealed that the landslide hazard values increase exponentially with rainfall intensity. The very-high-susceptibility zones exhibited significantly higher hazard values than the others, whereas the moderate-susceptibility zones showed the most significant increments. Hazard zoning maps under four rainfall return periods were generated, demonstrating that the high-hazard zones expand outward along roads, rivers, and densely populated areas as rainfall intensifies.
- (3)
- The establishment of a regional landslide hazard assessment framework: Spatial probability predictions were performed by integrating information value and ensemble learning models. The P-III frequency curve was applied to fit the rainfall intensities under various return periods, serving as the threshold for landslide-triggering rainfall. The Bayesian theorem was employed to calculate rainfall-triggered probabilities under different thresholds, representing the temporal probability of landslides at varying rainfall return periods. By coupling spatiotemporal probabilities, the model quantitatively evaluated rainfall-induced landslide hazards and predicted their trends under changing conditions. This framework provides a scientific basis for the study area’s landslide prevention and mitigation efforts under extreme rainfall conditions. Furthermore, it offers a valuable reference for hazard assessment in other regions where rainfall-induced landslides are a primary concern. However, this framework has some limitations. Firstly, the framework exhibits a strong dependence on data quality, where sparsity and potential biases in historical data may compromise the accuracy of the assessment results. Secondly, while rainfall is identified as the primary triggering factor for landslides in the study area, other factors, such as earthquakes, snowmelt, and human engineering activities, may dominate in specific regions. This regional heterogeneity highlights the need for further improvement in the generalizability of the framework. Consequently, it should be noted that future research could focus on enhancing the data quality by integrating multi-source datasets, improving the spatiotemporal resolution, and incorporating a more comprehensive understanding of landslide triggering mechanisms. Specifically, the synergistic effects of multiple triggering factors should be integrated into a regional landslide hazard assessment model to achieve more robust and reliable predictions.
Author Contributions
Funding
Institutional Review Board Statement
Informed Consent Statement
Data Availability Statement
Acknowledgments
Conflicts of Interest
Abbreviations
| P-III | Pearson type-III | TWI | Topographic wetness index |
| IVM | Information value model | NDVI | Normalized difference vegetation index |
| IV | Information value | PCCs | Pearson’s correlation coefficients |
| RF | Random forest | TOL | Tolerance |
| XGBoost | Extreme gradient boosting | VIF | Variance inflation factor |
| LightGBM | Light Gradient Boosting Machine | SL | Area of landslide |
| GBDT | Gradient Boosting Decision Tree | ST | Total area of each susceptibility zone |
| GOSS | Gradient-based one-side sampling | Spatial probability of landslide occurrence | |
| EFB | Exclusive feature bundling | Temporal probability of landslide occurrence | |
| Cv | Coefficient of variation | H | Landslide hazard values |
| Cs | Coefficient of skewness | LSM | Landslide susceptibility map |
| φ | Coefficient of dispersion | ROC | Receiver Operating Characteristic |
| TRI | Terrain ruggedness index | AUC | Area under curve |
References
- Peng, J.; Wang, S.; Wang, Q.; Zhuang, J.; Huang, W.; Zhu, X.; Leng, Y.; Ma, P. Distribution and genetic types of loess landslides in China. J. Asian Earth Sci. 2019, 170, 329–350. [Google Scholar] [CrossRef]
- Zhuang, J.; Peng, J.; Wang, G.; Javed, I.; Wang, Y.; Li, W. Distribution and characteristics of landslide in Loess Plateau: A case study in Shaanxi province. Eng. Geol. 2018, 236, 89–96. [Google Scholar] [CrossRef]
- Guzzetti, F.; Ardizzone, F.; Cardinali, M.; Galli, M.; Reichenbach, P.; Rossi, M. Distribution of landslides in the Upper Tiber River basin, central Italy. Geomorphology 2008, 96, 105–122. [Google Scholar] [CrossRef]
- Feng, L.; Lin, H.; Zhang, M.; Guo, L.; Jin, Z.; Liu, X. Development and evolution of Loess vertical joints on the Chinese Loess Plateau at different spatiotemporal scales. Eng. Geol. 2020, 265, 105372. [Google Scholar] [CrossRef]
- Jin, Z.; Peng, J.; Zhuang, J.; Feng, L.; Huo, A.; Mu, X.; Wang, W. Gully erosion and expansion mechanisms in loess tablelands and the scientific basis of gully consolidation and tableland protection. Sci. China Earth Sci. 2023, 66, 821–839. [Google Scholar] [CrossRef]
- Wang, G.; Li, T.; Xing, X.; Zou, Y. Research on loess flow-slides induced by rainfall in July 2013 in Yan’an, NW China. Environ. Earth Sci. 2015, 73, 7933–7944. [Google Scholar] [CrossRef]
- Sun, W.; Mu, X.; Song, X.; Wu, D.; Cheng, A.; Qiu, B. Changes in extreme temperature and precipitation events in the Loess Plateau (China) during 1960–2013 under global warming. Atmos. Res. 2016, 168, 33–48. [Google Scholar] [CrossRef]
- Luo, L.; Guo, W.-Z.; Tian, P.; Liu, Y.-l.; Wang, S.-K.; Luo, J.-W. Unique landslides (loess slide-flows) induced by an extreme rainstorm in 2018 on the Loess Plateau: A new geological hazard and erosion process. Int. J. Sediment Res. 2023, 38, 228–239. [Google Scholar] [CrossRef]
- Huo, A.; Yang, L.; Peng, J.; Cheng, Y.; Jiang, C. Spatial characteristics of the rainfall induced landslides in the Chinese Loess Plateau. Hum. Ecol. Risk Assess. Int. J. 2020, 26, 2462–2477. [Google Scholar] [CrossRef]
- Zhou, C.; Xia, Z.; Chen, D.; Miao, L.; Hu, S.; Yuan, J.; Huang, W.; Liu, L.; Ai, D.; Xu, H.; et al. Extreme Rainfall Events Triggered Loess Collapses and Landslides in Chencang District, Shanxi, China, during June–October 2021. Water 2024, 16, 2279. [Google Scholar] [CrossRef]
- Crosta, G.B.; Frattini, P. Rainfall-induced landslides and debris flows. Hydrol. Process. Int. J. 2008, 22, 473–477. [Google Scholar] [CrossRef]
- Huang, F.; Chen, J.; Liu, W.; Huang, J.; Hong, H.; Chen, W. Regional rainfall-induced landslide hazard warning based on landslide susceptibility mapping and a critical rainfall threshold. Geomorphology 2022, 408, 108236. [Google Scholar] [CrossRef]
- Ng, C.W.W.; Yang, B.; Liu, Z.; Kwan, J.; Chen, L. Spatiotemporal modelling of rainfall-induced landslides using machine learning. Landslides 2021, 18, 2499–2514. [Google Scholar] [CrossRef]
- Huang, A.-C.; Huang, C.-F.; Shu, C.-M. A Case Study for an Assessment of Fire Station Selection in the Central Urban Area. Safety 2023, 9, 84. [Google Scholar] [CrossRef]
- Liang, X.; Segoni, S.; Yin, K.; Du, J.; Chai, B.; Tofani, V.; Casagli, N. Characteristics of landslides and debris flows triggered by extreme rainfall in Daoshi Town during the 2019 Typhoon Lekima, Zhejiang Province, China. Landslides 2022, 19, 1735–1749. [Google Scholar] [CrossRef]
- Pham, B.T.; Prakash, I.; Bui, D.T. Spatial prediction of landslides using a hybrid machine learning approach based on random subspace and classification and regression trees. Geomorphology 2018, 303, 256–270. [Google Scholar] [CrossRef]
- Chen, W.; Hong, H.; Panahi, M.; Shahabi, H.; Wang, Y.; Shirzadi, A.; Pirasteh, S.; Alesheikh, A.A.; Khosravi, K.; Panahi, S.; et al. Spatial prediction of landslide susceptibility using GIS-based data mining techniques of ANFIS with Whale Optimization Algorithm (WOA) and Grey Wolf Optimizer (GWO). Appl. Sci. 2019, 9, 3755. [Google Scholar] [CrossRef]
- Cheng, Y.; Gan, Y.; Shi, C.; Huo, A.; Pei, Y.; Song, Y.; Wang, X.; Ahmed, A. A Critical Analysis of Geological Hazard Risk Assessment Including Future Perspectives. Sustainability 2024, 16, 3701. [Google Scholar] [CrossRef]
- Kadavi, P.R.; Lee, C.-W.; Lee, S. Application of Ensemble-Based Machine Learning Models to Landslide Susceptibility Mapping. Remote Sens. 2018, 10, 1252. [Google Scholar] [CrossRef]
- Huang, F.; Zhang, J.; Zhou, C.; Wang, Y.; Huang, J.; Zhu, L. A deep learning algorithm using a fully connected sparse autoencoder neural network for landslide susceptibility prediction. Landslides 2020, 17, 217–229. [Google Scholar] [CrossRef]
- Ju, X.; Li, J.; Sun, C.; Li, B. Landslide Susceptibility Assessment Using a CNN–BiLSTM-AM Model. Sustainability 2024, 16, 9476. [Google Scholar] [CrossRef]
- Tien Bui, D.; Tuan, T.A.; Klempe, H.; Pradhan, B.; Revhaug, I. Spatial prediction models for shallow landslide hazards: A comparative assessment of the efficacy of support vector machines, artificial neural networks, kernel logistic regression, and logistic model tree. Landslides 2016, 13, 361–378. [Google Scholar] [CrossRef]
- Daviran, M.; Shamekhi, M.; Ghezelbash, R.; Maghsoudi, A. Landslide susceptibility prediction using artificial neural networks, SVMs and random forest: Hyperparameters tuning by genetic optimization algorithm. Int. J. Environ. Sci. Technol. 2023, 20, 259–276. [Google Scholar] [CrossRef]
- Sahin, E.K.; Colkesen, I.; Kavzoglu, T. A comparative assessment of canonical correlation forest, random forest, rotation forest and logistic regression methods for landslide susceptibility mapping. Geocarto Int. 2020, 35, 341–363. [Google Scholar] [CrossRef]
- Pradhan, B. A comparative study on the predictive ability of the decision tree, support vector machine and neuro-fuzzy models in landslide susceptibility mapping using GIS. Comput. Geosci. 2013, 51, 350–365. [Google Scholar] [CrossRef]
- Lombardo, L.; Mai, P.M. Presenting logistic regression-based landslide susceptibility results. Eng. Geol. 2018, 244, 14–24. [Google Scholar] [CrossRef]
- Taalab, K.; Cheng, T.; Zhang, Y. Mapping landslide susceptibility and types using Random Forest. Big Earth Data 2018, 2, 159–178. [Google Scholar] [CrossRef]
- Merghadi, A.; Yunus, A.P.; Dou, J.; Whiteley, J.; ThaiPham, B.; Bui, D.T.; Avtar, R.; Abderrahmane, B. Machine learning methods for landslide susceptibility studies: A comparative overview of algorithm performance. Earth-Sci. Rev. 2020, 207, 103225. [Google Scholar] [CrossRef]
- Jiang, C.; Fan, W.; Yu, N.; Liu, E. Spatial modeling of gully head erosion on the Loess Plateau using a certainty factor and random forest model. Sci. Total Environ. 2021, 783, 147040. [Google Scholar] [CrossRef]
- Fang, Z.; Wang, Y.; Peng, L.; Hong, H. A comparative study of heterogeneous ensemble-learning techniques for landslide susceptibility mapping. Int. J. Geogr. Inf. Sci. 2021, 35, 321–347. [Google Scholar] [CrossRef]
- Zhang, S.; Bai, L.; Li, Y.; Li, W.; Xie, M. Comparing convolutional neural network and machine learning models in landslide susceptibility mapping: A case study in Wenchuan county. Front. Environ. Sci. 2022, 10, 886841. [Google Scholar] [CrossRef]
- Azarafza, M.; Azarafza, M.; Akgün, H.; Atkinson, P.M.; Derakhshani, R. Deep learning-based landslide susceptibility mapping. Sci. Rep. 2021, 11, 24112. [Google Scholar] [CrossRef] [PubMed]
- Bui, D.T.; Tsangaratos, P.; Nguyen, V.-T.; Liem, N.V.; Trinh, P.T. Comparing the prediction performance of a Deep Learning Neural Network model with conventional machine learning models in landslide susceptibility assessment. CATENA 2020, 188, 104426. [Google Scholar] [CrossRef]
- Habumugisha, J.M.; Chen, N.; Rahman, M.; Islam, M.M.; Ahmad, H.; Elbeltagi, A.; Sharma, G.; Liza, S.N.; Dewan, A. Landslide Susceptibility Mapping with Deep Learning Algorithms. Sustainability 2022, 14, 1734. [Google Scholar] [CrossRef]
- Lv, L.; Chen, T.; Dou, J.; Plaza, A. A hybrid ensemble-based deep-learning framework for landslide susceptibility mapping. Int. J. Appl. Earth Obs. Geoinf. 2022, 108, 102713. [Google Scholar] [CrossRef]
- Chang, L.; Xing, G.; Yin, H.; Fan, L.; Zhang, R.; Zhao, N.; Huang, F.; Ma, J. Landslide susceptibility evaluation and interpretability analysis of typical loess areas based on deep learning. Nat. Hazards Res. 2023, 3, 155–169. [Google Scholar] [CrossRef]
- Lv, L.; Chen, T.; Liu, G.; Dou, J.; Plaza, A. A Comparative Study of Model Interpretability Considering the Decision Differentiation of Landslide Susceptibility Models. IEEE Trans. Geosci. Remote Sens. 2025, 63, 1–18. [Google Scholar] [CrossRef]
- Han, W.; Zhang, X.; Wang, Y.; Wang, L.; Huang, X.; Li, J.; Wang, S.; Chen, W.; Li, X.; Feng, R.; et al. A survey of machine learning and deep learning in remote sensing of geological environment: Challenges, advances, and opportunities. ISPRS J. Photogramm. Remote Sens. 2023, 202, 87–113. [Google Scholar] [CrossRef]
- Di Napoli, M.; Carotenuto, F.; Cevasco, A.; Confuorto, P.; Di Martire, D.; Firpo, M.; Pepe, G.; Raso, E.; Calcaterra, D. Machine learning ensemble modelling as a tool to improve landslide susceptibility mapping reliability. Landslides 2020, 17, 1897–1914. [Google Scholar] [CrossRef]
- Huang, Y.; Zhao, L. Review on landslide susceptibility mapping using support vector machines. Catena 2018, 165, 520–529. [Google Scholar] [CrossRef]
- Song, J.; Wang, Y.; Fang, Z.; Peng, L.; Hong, H. Potential of ensemble learning to improve tree-based classifiers for landslide susceptibility mapping. IEEE J. Sel. Top. Appl. Earth Obs. Remote Sens. 2020, 13, 4642–4662. [Google Scholar] [CrossRef]
- Xing, F.; Li, N.; Zhao, B.; Xiang, H.; Chen, Y. An Investigation into the Susceptibility to Landslides Using Integrated Learning and Bayesian Optimization: A Case Study of Xichang City. Sustainability 2024, 16, 9085. [Google Scholar] [CrossRef]
- Qiao, F.; Chang, C.; Bo, J.; Wang, L.; Wang, J. Study on the Dynamic Characteristics of Loess. Sustainability 2023, 15, 5428. [Google Scholar] [CrossRef]
- Li, X.; Li, L. Quantification of the pore structures of Malan loess and the effects on loess permeability and environmental significance, Shaanxi Province, China: An experimental study. Environ. Earth Sci. 2017, 76, 523. [Google Scholar] [CrossRef]
- Deng, L.; Zhang, C.; Fan, W.; Cao, Y.; Mao, W. Three-dimensional microstructure evolution of loess liquefaction based on the μm-CT quantitative observations. Soil Dyn. Earthq. Eng. 2024, 178, 108442. [Google Scholar] [CrossRef]
- Tang, D.; Deng, L.; Fan, W.; Yang, Y.; Fang, R. Extension mechanism and failure mode investigation on a fissured loess slope induced by loading. Bull. Eng. Geol. Environ. 2024, 83, 294. [Google Scholar] [CrossRef]
- Tang, Y.; Feng, F.; Guo, Z.; Feng, W.; Li, Z.; Wang, J.; Sun, Q.; Ma, H.; Li, Y. Integrating principal component analysis with statistically-based models for analysis of causal factors and landslide susceptibility mapping: A comparative study from the loess plateau area in Shanxi (China). J. Clean. Prod. 2020, 277, 124159. [Google Scholar] [CrossRef]
- Ma, S.; Qiu, H.; Hu, S.; Pei, Y.; Yang, W.; Yang, D.; Cao, M. Quantitative assessment of landslide susceptibility on the Loess Plateau in China. Phys. Geogr. 2020, 41, 489–516. [Google Scholar] [CrossRef]
- Hu, L.; Yan, C. Evaluation of Landslide Susceptibility of Mangshan Mountain in Zhengzhou Based on GWO-1D CNN Model. Sustainability 2024, 16, 5086. [Google Scholar] [CrossRef]
- Wang, T.; Dahal, A.; Fang, Z.; van Westen, C.; Yin, K.; Lombardo, L. From spatio-temporal landslide susceptibility to landslide risk forecast. Geosci. Front. 2024, 15, 101765. [Google Scholar] [CrossRef]
- Fang, Z.; Wang, Y.; van Westen, C.; Lombardo, L. Landslide hazard spatiotemporal prediction based on data-driven models: Estimating where, when and how large landslide may be. Int. J. Appl. Earth Obs. Geoinf. 2024, 126, 103631. [Google Scholar] [CrossRef]
- Tien Bui, D.; Pradhan, B.; Lofman, O.; Revhaug, I.; Dick, Ø.B. Regional prediction of landslide hazard using probability analysis of intense rainfall in the Hoa Binh province, Vietnam. Nat. Hazards 2013, 66, 707–730. [Google Scholar] [CrossRef]
- Wu, C.-Y.; Yeh, Y.-C. A Landslide Probability Model Based on a Long-Term Landslide Inventory and Rainfall Factors. Water 2020, 12, 937. [Google Scholar] [CrossRef]
- Dikshit, A.; Satyam, N.; Pradhan, B.; Kushal, S. Estimating rainfall threshold and temporal probability for landslide occurrences in Darjeeling Himalayas. Geosci. J. 2020, 24, 225–233. [Google Scholar] [CrossRef]
- Segoni, S.; Tofani, V.; Rosi, A.; Catani, F.; Casagli, N. Combination of rainfall thresholds and susceptibility maps for dynamic landslide hazard assessment at regional scale. Front. Earth Sci. 2018, 6, 85. [Google Scholar] [CrossRef]
- Lee, J.-H.; Kim, H.; Park, H.-J.; Heo, J.-H. Temporal prediction modeling for rainfall-induced shallow landslide hazards using extreme value distribution. Landslides 2021, 18, 321–338. [Google Scholar] [CrossRef]
- Bordoni, M.; Vivaldi, V.; Lucchelli, L.; Ciabatta, L.; Brocca, L.; Galve, J.P.; Meisina, C. Development of a data-driven model for spatial and temporal shallow landslide probability of occurrence at catchment scale. Landslides 2021, 18, 1209–1229. [Google Scholar] [CrossRef]
- Luino, F.; Barriendos, M.; Gizzi, F.T.; Glaser, R.; Gruetzner, C.; Palmieri, W.; Porfido, S.; Sangster, H.; Turconi, L. Historical Data for Natural Hazard Risk Mitigation and Land Use Planning. Land 2023, 12, 1777. [Google Scholar] [CrossRef]
- Luino, F.; Gizzi, F.T.; Palmieri, W.; Porfido, S.; Turconi, L. Historical Memory as an Effective and Useful Tool for Proper Land Use Planning: Lessons Learnt from Some Italian Cases. Land 2023, 12, 1751. [Google Scholar] [CrossRef]
- Aziz, N.A.; Ghani, N.A.A.A.; Senawi, A. An assessment of rainfall distribution at Kuantan river basin using log-normal and Log-Pearson type III distribution. AIP Conf. Proc. 2024, 2895, 090034. [Google Scholar] [CrossRef]
- Gorsevski, P.V.; Gessler, P.E.; Jankowski, P. Integrating a fuzzy k-means classification and a Bayesian approach for spatial prediction of landslide hazard. J. Geogr. Syst. 2003, 5, 223–251. [Google Scholar] [CrossRef]
- Berti, M.; Martina, M.; Franceschini, S.; Pignone, S.; Simoni, A.; Pizziolo, M. Probabilistic rainfall thresholds for landslide occurrence using a Bayesian approach. J. Geophys. Res. Earth Surf. 2012, 117, F04006. [Google Scholar] [CrossRef]
- Do, H.M.; Yin, K.L. Rainfall threshold analysis and Bayesian probability method for landslide initiation based on landslides and rainfall events in the past. Open J. Geol. 2018, 8, 674–696. [Google Scholar] [CrossRef]
- Liang, X.; Segoni, S.; Fan, W.; Yin, K.; Deng, L.; Xiao, T.; Barbadori, F.; Casagli, N. Integration of effective antecedent rainfall to improve the performance of rainfall thresholds for landslide early warning in Wanzhou District, China. Int. J. Disaster Risk Reduct. 2025, 105317. [Google Scholar] [CrossRef]
- Rossi, M.; Peruccacci, S.; Brunetti, M.; Marchesini, I.; Luciani, S.; Ardizzone, F.; Balducci, V.; Bianchi, C.; Cardinali, M.; Fiorucci, F.; et al. SANF: National warning system for rainfall-induced landslides in Italy. In Landslide and Engineered Slopes: Protecting Society Through Improved Understanding; Taylor & Francis Group: London, UK, 2012; Volume 2, pp. 1895–1899. [Google Scholar]
- Segoni, S.; Piciullo, L.; Gariano, S.L. A review of the recent literature on rainfall thresholds for landslide occurrence. Landslides 2018, 15, 1483–1501. [Google Scholar] [CrossRef]
- Song, Y.; Fan, W.; Yu, N.; Cao, Y.; Jiang, C.; Chai, X.; Nan, Y. Rainfall induced shallow landslide temporal probability modelling and early warning research in mountains areas: A case study of Qin-Ba Mountains, Western China. Remote Sens. 2022, 14, 5952. [Google Scholar] [CrossRef]
- Parvez, M.B.; Inayathulla, M. Assesment of the intensity duration frequency curves for storms in upper Cauvery Karnataka based on pearson Type III extreme value. World Acad. J. Eng. Sci. 2019, 6, 26–46. [Google Scholar] [CrossRef]
- Montes-Pajuelo, R.; Rodríguez-Pérez, Á.M.; López, R.; Rodríguez, C.A. Analysis of Probability Distributions for Modelling Extreme Rainfall Events and Detecting Climate Change: Insights from Mathematical and Statistical Methods. Mathematics 2024, 12, 1093. [Google Scholar] [CrossRef]
- Ebrahim, K.M.; Fares, A.; Faris, N.; Zayed, T. Exploring time series models for landslide prediction: A literature review. Geoenviron. Disasters 2024, 11, 25. [Google Scholar] [CrossRef]
- Pereira, S.; Zêzere, J.L.; Bateira, C. Assessing predictive capacity and conditional independence of landslide predisposing factors for shallow landslide susceptibility models. Nat. Hazards Earth Syst. Sci. 2012, 12, 979–988. [Google Scholar] [CrossRef]
- Pradhan, B.; Dikshit, A.; Lee, S.; Kim, H. An explainable AI (XAI) model for landslide susceptibility modeling. Appl. Soft Comput. 2023, 142, 110324. [Google Scholar] [CrossRef]
- Zhou, X.; Wen, H.; Li, Z.; Zhang, H.; Zhang, W. An interpretable model for the susceptibility of rainfall-induced shallow landslides based on SHAP and XGBoost. Geocarto Int. 2022, 37, 13419–13450. [Google Scholar] [CrossRef]
- Li, M.; Tian, H. Insights from Optimized Non-Landslide Sampling and SHAP Explainability for Landslide Susceptibility Prediction. Appl. Sci. 2025, 15, 1163. [Google Scholar] [CrossRef]
- Guzzetti, F.; Peruccacci, S.; Rossi, M.; Stark, C.P. The rainfall intensity–duration control of shallow landslides and debris flows: An update. Landslides 2008, 5, 3–17. [Google Scholar] [CrossRef]
- Chang, Z.; Huang, F.; Huang, J.; Jiang, S.-H.; Zhou, C.; Zhu, L. Experimental study of the failure mode and mechanism of loess fill slopes induced by rainfall. Eng. Geol. 2021, 280, 105941. [Google Scholar] [CrossRef]
- ISO 22328-2:2024; Security and Resilience—Emergency Management—Part 2: Guidelines for the Implementation of a Community-Based Early Warning System for Landslides. ISO: Geneva, Switzerland, 2024.
- Liu, X.; Shao, S.; Shao, S. Landslide susceptibility prediction and mapping in Loess Plateau based on different machine learning algorithms by hybrid factors screening: Case study of Xunyi County, Shaanxi Province, China. Adv. Space Res. 2024, 74, 192–210. [Google Scholar] [CrossRef]
- Fang, R.; Zhang, S.; Deng, L.; Fan, W.; Wang, H. Research on a classification model of loess seismic landslides based on random forest in the Haiyuan region. Bull. Eng. Geol. Environ. 2023, 82, 72. [Google Scholar] [CrossRef]
- Liu, S.; Wang, L.; Zhang, W.; He, Y.; Pijush, S. A comprehensive review of machine learning-based methods in landslide susceptibility mapping. Geol. J. 2023, 58, 2283–2301. [Google Scholar] [CrossRef]















| Factors | TOL | VIF | Factors | TOL | VIF |
|---|---|---|---|---|---|
| Elevation | 0.459 | 2.178 | Distance to river | 0.683 | 1.464 |
| Slope | 0.770 | 1.298 | TWI | 0.477 | 2.098 |
| Aspect | 0.960 | 1.042 | Distance to road | 0.489 | 2.044 |
| Plan curvature | 0.775 | 1.291 | Building density | 0.901 | 1.109 |
| TRI | 0.553 | 1.809 | NDVI | 0.832 | 1.201 |
| Lithology | 0.853 | 1.172 |
| Parameters | Probability of Recurrence | |||
|---|---|---|---|---|
| 20% | 10% | 5% | 2% | |
| Cv | 0.3732 | 0.3732 | 0.3732 | 0.3732 |
| Cs | 0.8437 | 0.8437 | 0.8437 | 0.8437 |
| φ | 0.78 | 1.34 | 1.85 | 2.47 |
| Return Period | Daily Rainfall (mm) | NL | NR | NX | |||||
|---|---|---|---|---|---|---|---|---|---|
| 5-year | 79.31 | 247 | 11,212 | 74 | 23 | 0.093117 | 0.02203 | 0.0066 | 0.31081 |
| 10-year | 92.15 | 247 | 11,212 | 41 | 14 | 0.05668 | 0.02203 | 0.003657 | 0.34146 |
| 20-year | 103.82 | 247 | 11,212 | 35 | 14 | 0.05668 | 0.02203 | 0.003122 | 0.4 |
| 50-year | 118.1 | 247 | 11,212 | 26 | 14 | 0.05668 | 0.02203 | 0.002319 | 0.53846 |
| Susceptibility Zones | Parameters | Rainfall Return Periods | |||
|---|---|---|---|---|---|
| 5-Year | 10-Year | 20-Year | 50-Year | ||
| 79.31 mm | 92.15 mm | 103.82 mm | 118.10 mm | ||
| Very low | SL (m2) | 400 | 400 | 400 | 400 |
| ST (m2) | 112,210,000 | 112,210,000 | 112,210,000 | 112,210,000 | |
| ·10−6 | 3.56474 | 3.56474 | 3.56474 | 3.56474 | |
| 0.31081 | 0.34146 | 0.4 | 0.53846 | ||
| H·10−6 | 1.10796 | 1.21722 | 1.4259 | 1.91947 | |
| Low | SL (m2) | 875 | 1075 | 1625 | 1625 |
| ST (m2) | 129,300,000 | 129,300,000 | 129,300,000 | 129,300,000 | |
| ·10−6 | 6.76721 | 8.314 | 12.5677 | 12.5677 | |
| 0.31081 | 0.34146 | 0.4 | 0.53846 | ||
| H·10−6 | 2.10332 | 2.8389 | 5.02707 | 6.76719 | |
| Moderate | SL (m2) | 11,760 | 21,360 | 26,760 | 26,760 |
| ST (m2) | 62,450,000 | 62,450,000 | 62,450,000 | 62,450,000 | |
| ·10−6 | 188.311 | 342.034 | 428.503 | 428.503 | |
| 0.31081 | 0.34146 | 0.4 | 0.53846 | ||
| H·10−6 | 58.5288 | 116.791 | 171.401 | 230.732 | |
| High | SL (m2) | 27,850 | 28,700 | 30,150 | 33,350 |
| ST (m2) | 37,890,000 | 37,890,000 | 37,890,000 | 37,890,000 | |
| ·10−6 | 735.022 | 757.456 | 795.724 | 880.179 | |
| 0.31081 | 0.34146 | 0.4 | 0.53846 | ||
| H·10−6 | 228.452 | 258.641 | 318.29 | 473.941 | |
| Very high | SL (m2) | 58,950 | 89,235 | 97,085 | 98,835 |
| ST (m2) | 24,400,000 | 24,400,000 | 24,400,000 | 24,400,000 | |
| ·10−6 | 2415.984 | 3657.172 | 3978.893 | 4050.615 | |
| 0.31081 | 0.34146 | 0.4 | 0.53846 | ||
| H·10−6 | 750.912 | 1248.778 | 1591.557 | 2181.094 | |
| Warning Level | H-Value Range | Trigger Conditions (Rainfall Return Periods) | Response Measures |
|---|---|---|---|
| I | H < 0.0001 | 50-year (≥118.10 mm) | Immediate evacuation of residents in high-risk areas, closure of traffic along the route, and initiation of emergency engineering |
| II | 0.0001 ≤ H < 0.0005 | 20-year (≥103.82 mm) | Restrict the entry of personnel in high-risk areas and strengthen real-time monitoring of slopes |
| III | 0.0005 ≤ H < 0.001 | 10-year (≥92.15 mm) | Issue community alerts, inspect hazardous sites, and dredge drainage systems |
| IV | H ≥ 0.001 | 5-year (≥79.31 mm) | Routinely monitor and conduct disaster prevention drills |
| Hyperparameter of IV-RF | Value | Hyperparameter of IV-XBGoost | Value | Hyperparameter of IV-LightGBM | Value |
|---|---|---|---|---|---|
| n_estimators | 500 | n_estimators | 500 | num_leaves | 128 |
| max_depth | 10 | learning_rate | 0.08 | learning_rate | 0.07 |
| min_samples_split | 15 | max_depth | 8 | max_depth | 8 |
| min_samples_leaf | 10 | subsample | 0.8 | feature_fraction | 0.8 |
| max_features | Sqrt | colsample_bytree | 0.75 | lambda_l1 | 0.3 |
| gamma | 0.5 | lambda_l2 | 0.7 | ||
| reg_alpha | 0.6 | bagging_fraction | 0.8 | ||
| reg_lambda | 1.5 |
| Model | Precision Indicators | ||||
|---|---|---|---|---|---|
| AUC | Accuracy | Precision | Recall | F1-Score | |
| IV-RF | 0.875 | 0.775 | 0.739 | 0.791 | 0.718 |
| IV-XGBoost | 0.939 | 0.795 | 0.773 | 0.925 | 0.730 |
| IV-LightGBM | 0.889 | 0.780 | 0.741 | 0.813 | 0.725 |
Disclaimer/Publisher’s Note: The statements, opinions and data contained in all publications are solely those of the individual author(s) and contributor(s) and not of MDPI and/or the editor(s). MDPI and/or the editor(s) disclaim responsibility for any injury to people or property resulting from any ideas, methods, instructions or products referred to in the content. |
© 2025 by the authors. Licensee MDPI, Basel, Switzerland. This article is an open access article distributed under the terms and conditions of the Creative Commons Attribution (CC BY) license (https://creativecommons.org/licenses/by/4.0/).
Share and Cite
Shen, S.; Deng, L.; Tang, D.; Chen, J.; Fang, R.; Du, P.; Liang, X. Landslide Hazard Assessment Based on Ensemble Learning Model and Bayesian Probability Statistics: Inference from Shaanxi Province, China. Sustainability 2025, 17, 1973. https://doi.org/10.3390/su17051973
Shen S, Deng L, Tang D, Chen J, Fang R, Du P, Liang X. Landslide Hazard Assessment Based on Ensemble Learning Model and Bayesian Probability Statistics: Inference from Shaanxi Province, China. Sustainability. 2025; 17(5):1973. https://doi.org/10.3390/su17051973
Chicago/Turabian StyleShen, Shuhan, Longsheng Deng, Dong Tang, Jiale Chen, Ranke Fang, Peng Du, and Xin Liang. 2025. "Landslide Hazard Assessment Based on Ensemble Learning Model and Bayesian Probability Statistics: Inference from Shaanxi Province, China" Sustainability 17, no. 5: 1973. https://doi.org/10.3390/su17051973
APA StyleShen, S., Deng, L., Tang, D., Chen, J., Fang, R., Du, P., & Liang, X. (2025). Landslide Hazard Assessment Based on Ensemble Learning Model and Bayesian Probability Statistics: Inference from Shaanxi Province, China. Sustainability, 17(5), 1973. https://doi.org/10.3390/su17051973
