From Farms to Forests: An Exploration of Afforestation Efforts in Poland Under the Rural Development Programme (2007–2020)
Abstract
1. Introduction
1.1. Afforestation and Forestry as Climate Tools
1.2. Afforestation in Response to Growing Demand for Wood
1.3. The Importance of Women in Rural Life and Farming
1.4. Afforestation and Support Programs for Private Land in Poland
2. Materials and Methods
3. Results
3.1. Applications and Applicants
3.2. Area Afforested and Amount of Support for Afforestation
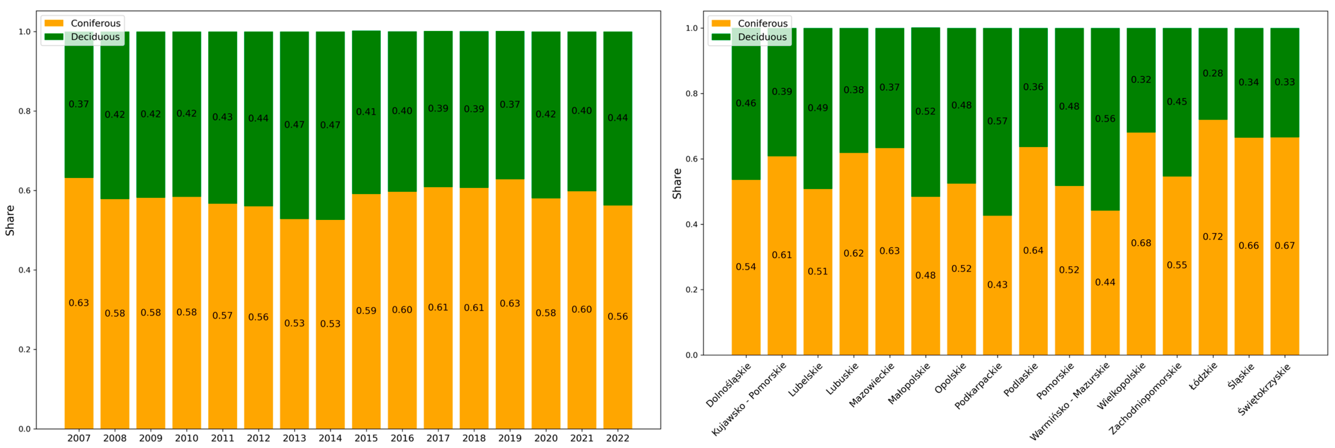
3.3. Species Composition
4. Discussion
5. Conclusions
Author Contributions
Funding
Institutional Review Board Statement
Informed Consent Statement
Data Availability Statement
Acknowledgments
Conflicts of Interest
References
- Forest Europe. State of Europe’s Forests 2020; Forest Europe: Jönköping, Sweden, 2020. [Google Scholar]
- Kauppi, P.E.; Sandström, V.; Lipponen, A. Forest resources of nations in relation to human well-being. PLoS ONE 2018, 13, e0196248. [Google Scholar] [CrossRef] [PubMed]
- Fuchs, R.; Herold, M.; Verburg, P.H.; Clevers, J.G.P.W.; Eberle, J. Gross changes in reconstructions of historic land cover/use for Europe between 1900 and 2010. Glob. Change Biol. 2015, 21, 299–313. [Google Scholar] [CrossRef] [PubMed]
- Kuemmerle, T.; Levers, C.; Erb, K.; Estel, S.; Jepsen, M.R.; Müller, D.; Plutzar, C.; Stürck, J.; Verkerk, P.J.; Verburg, P.H.; et al. Hotspots of land use change in Europe. Environ. Res. Lett. 2016, 11, 064020. [Google Scholar] [CrossRef]
- Stürck, J.; Levers, C.; van der Zanden, E.H.; Schulp, C.J.E.; Verkerk, P.J.; Kuemmerle, T.; Helming, J.; Lotze-Campen, H.; Tabeau, A.; Popp, A.; et al. Simulating and delineating future land change trajectories across Europe. Reg. Environ. Change 2018, 18, 733–749. [Google Scholar] [CrossRef]
- Perpiña Castillo, C.; Kavalov, B.; Jacobs-Crisioni, C.; Batista e Silva, F.; Lavalle, C. Agricultural Land Abandonment in the EU Within 2015–2030; JRC113718; European Commision: Brussels, Belgium, 2018. [Google Scholar]
- Frei, T.; Espelta, J.M.; Górriz-Mifsud, E.; Hampe, A.; Lefèvre, F.; Martín-Forés, I.; Winkel, G. Can natural forest expansion contribute to Europe’s restoration policy agenda? An interdisciplinary assessment. Ambio 2024, 53, 34–45. [Google Scholar] [CrossRef]
- Otero, I.; Marull, J.; Tello, E.; Diana, G.L.; Pons, M.; Coll, F.; Boada, M. Land abandonment, landscape, and biodiversity: Questioning the restorative character of the forest transition in the Mediterranean. Ecol. Soc. 2015, 20, 7. [Google Scholar] [CrossRef]
- Prangel, E.; Kasari-Toussaint, L.; Neuenkamp, L.; Noreika, N.; Karise, R.; Marja, R.; Ingerpuu, N.; Kupper, T.; Keerberg, L.; Oja, E.; et al. Afforestation and abandonment of semi-natural grasslands lead to biodiversity loss and a decline in ecosystem services and functions. J. Appl. Ecol. 2023, 60, 825–836. [Google Scholar] [CrossRef]
- European Climate Law. Regulation (EU) 2021/1119 of the European Parliament and of the Council of 30 June 2021 Establishing the Framework for Achieving Climate Neutrality and Amending Regulations (EC) no 401/2009 and (EU) 2018/1999 (‘European Climate Law’). 2021. Available online: http://data.europa.eu/eli/reg/2021/1119/oj (accessed on 16 November 2024).
- Regulation (EU) 2023/839 of the European Parliament and of the Council of 19. (April 2023 Amending Regulation (EU) 2018/841 as Regards the Scope, Simplifying the Reporting and Compliance Rules, and Setting out the Targets of the Member States for 2030, and Regulation (EU) 2018/1999 as Regards Improvement in Monitoring, Reporting, Tracking of Progress and Review (Text with EEA Relevance). 2023. Available online: http://data.europa.eu/eli/reg/2023/839/oj (accessed on 16 November 2024).
- European Commission. New EU Forest Strategy for 2030. COM. (2021) 572 Final. Communication from the Commission to the European Parliament, the Council, the European Economic and Social Committee and the Committee of the Regions. 2021. Available online: https://eur-lex.europa.eu/legal-content/EN/TXT/?uri=CELEX%3A52021DC0572 (accessed on 15 November 2024).
- IPCC. Global Warming of 1.5 °C; An IPCC Special Report on the Impacts of Global Warming of 1.5 °C Above Pre-Industrial Levels and Related Global Greenhouse Gas Emission Pathways, in the Context of Strengthening the Global Response to the Threat of Climate Change, Sustainable Development, and Efforts to Eradicate Poverty; Cambridge University Press: Cambridge, UK, 2022. [Google Scholar] [CrossRef]
- Friedlingstein, P.; O’sullivan, M.; Jones, M.W.; Andrew, R.M.; Gregor, L.; Hauck, J.; Le Quéré, C.; Luijkx, I.T.; Olsen, A.; Peters, G.P.; et al. Global Carbon Budget 2022. Earth Syst. Sci. Data 2022, 14, 4811–4900. [Google Scholar] [CrossRef]
- Griscom, B.W.; Adams, J.; Ellis, P.W.; Houghton, R.A.; Lomax, G.; Miteva, D.A.; Schlesinger, W.H.; Shoch, D.; Siikamäki, J.V.; Smith, P.; et al. Natural climate solutions. Proc. Natl. Acad. Sci. USA 2017, 114, 11645–11650. [Google Scholar] [CrossRef]
- Nabuurs, G.J.; Delacote, P.; Ellison, D.; Hanewinkel, M.; Hetemäki, L.; Lindner, M.; Ollikainen, M. By 2050 the mitigation effects of EU forests could nearly double through climate smart forestry. Forests 2017, 8, 484. [Google Scholar] [CrossRef]
- Hurmekoski, E.; Smyth, C.E.; Stern, T.; Verkerk, P.J.; Asada, R. Substitution impacts of wood use at the market level: A systematic review. Environ. Res. Lett. 2021, 16, 123004. [Google Scholar] [CrossRef]
- Pan, Y.; Birdsey, R.A.; Phillips, O.L.; Houghton, R.A.; Fang, J.; Kauppi, P.E.; Keith, H.; Kurz, W.A.; Ito, A.; Lewis, S.L.; et al. The enduring world forest carbon sink. Nature 2024, 631, 563–569. [Google Scholar] [CrossRef] [PubMed]
- Nabuurs, G.J.; Lindner, M.; Verkerk, P.J.; Gunia, K.; Deda, P.; Michalak, R.; Grassi, G. First signs of carbon sink saturation in European forest biomass. Nat. Clim. Change 2013, 3, 792–796. [Google Scholar] [CrossRef]
- Seidl, R.; Schelhaas, M.J.; Rammer, W.; Verkerk, P.J. Increasing forest disturbances in Europe and their impact on carbon storage. Nat. Clim. Change 2014, 4, 806–810. [Google Scholar] [CrossRef] [PubMed]
- Anderegg, W.R.L.; Trugman, A.T.; Badgley, G.; Anderson, C.M.; Bartuska, A.; Ciais, P.; Cullenward, D.; Field, C.B.; Freeman, J.; Goetz, S.J.; et al. Climate-driven risks to the climate mitigation potential of forests. Science 2020, 368, 1327. [Google Scholar] [CrossRef] [PubMed]
- Forzieri, G.; Girardello, M.; Ceccherini, G.; Spinoni, J.; Feyen, L.; Hartmann, H.; Beck, P.S.A.; Camps-Valls, G.; Chirici, G.; Mauri, A.; et al. Emergent vulnerability to climate-driven disturbances in European forests. Nat. Commun. 2021, 12, 1081. [Google Scholar] [CrossRef]
- Dyderski, M.K.; Paź, S.; Frelich, L.E.; Jagodziński, A.M. How much does climate change threaten European forest tree species distributions? Glob. Change Biol. 2018, 24, 1150–1163. [Google Scholar] [CrossRef]
- Mauri, A.; Girardello, M.; Strona, G.; Beck, P.S.A.; Forzieri, G.; Caudullo, G.; Manca, F.; Cescatti, A. EU-Trees4F, a dataset on the future distribution of European tree species. Sci. Data 2022, 9, 37. [Google Scholar] [CrossRef] [PubMed]
- Dyderski, M.K.; Paź-Dyderska, S.; Jagodziński, A.M.; Puchałka, R. Shifts in native tree species distributions in Europe under climate change. J. Environ. Manag. 2025, 373, 123504. [Google Scholar] [CrossRef] [PubMed]
- Korosuo, A.; Pilli, R.; Abad Viñas, R.; Blujdea, V.N.B.; Colditz, R.R.; Fiorese, G.; Rossi, S.; Vizzarri, M.; Grassi, G. The role of forests in the EU climate policy: Are we on the right track? Carbon Balance Manag. 2023, 18, 15. [Google Scholar] [CrossRef] [PubMed]
- FAO. Global Forest Sector Outlook 2050: Assessing Future Demand and Sources of Timber for a Sustainable Economy—Background Paper for the State of the World’s Forests 2022; FAO Forestry Working Paper 31; FAO: Rome, Italy, 2022. [Google Scholar] [CrossRef]
- Polska Izba Gospodarcza Przemysłu Drzewnego (Polish Chamber of Commerce of the Timber Industry). Przemysł Drzewny Głeboko w Lesie (The Timber Industry Deep in the Forest). 2024. Available online: https://pigpd.pl/przemysl-drzewny-gleboko-w-lesie/ (accessed on 12 November 2024).
- Wyszomierski, R.; Bórawski, P.; Holden, L.; Bełdycka-Bórawska, A.; Rokicki, T.; Parzonko, A. The Trade of Woody Biomass in the Context of Environmental Economics in Poland. Energies 2024, 17, 4822. [Google Scholar] [CrossRef]
- Magazyn Biomasa (Biomass Magazine). Raport Biomasa w Polsce 2022/2023 (Report “Biomass in Poland 2022/2023”); Biomass Media Group Sp. z o. o.: Poznań, Poland, 2023. [Google Scholar]
- Górna, A.; Wieruszewski, M.; Szabelska-Beresewicz, A.; Stanula, Z.; Adamowicz, K. Biomass Price Prediction Based on the Example of Poland. Forests 2022, 13, 2179. [Google Scholar] [CrossRef]
- Fanelli, R.M. Bridging the Gender Gap in the Agricultural Sector: Evidence from European Union Countries. Soc. Sci. 2022, 11, 105. [Google Scholar] [CrossRef]
- Drąg, Z.; Gorlach, K. Polskie rolniczki jako menedżerki (Polish female farmers as managers). Stud. Socjol. (Sociol. Stud.) 2019, 4, 129–156. [Google Scholar] [CrossRef]
- Statistics Poland. Department of Statistical Studies. SDG 2023 Report. Women on the Way to Sustainable Development; Statistics Poland: Warsaw, Poland, 2023. [Google Scholar]
- Statistics Poland. Rural Areas in Poland in 2020; Statistics Poland: Warsaw/Olsztyn, Poland, 2020. [Google Scholar]
- GUS (Statistics Poland). Statistical Yearbook of Forestry 2024 (Rocznik Statystyczny Leśnictwa 2024); Statistics Poland: Warszawa/Białystok, Poland, 2024. [Google Scholar]
- Szujecki, A. Afforestation of former agricultural land as a political issue (Zalesianie gruntów porolnych jako problem polityczny). In Afforestation in Europe—Experiences and Intentions (Zalesienia w Europie—Doświadczenia i Zamierzenia); Zając, S., Gil, W., Eds.; Instytut Badawczy Leśnictwa: Warsaw, Poland, 2003; pp. 13–20. [Google Scholar]
- Poławski, Z. Land use changes in Poland during last two centuries (Zmiany użytkowania ziemi w Polsce w ostatnich dwóch stuleciach). Teledetekcja Sr. 2009, 42, 69–82. [Google Scholar]
- MOŚZNiL. National Programme for Augmentation of Forest Cover (Krajowy Program Zwiększania Lesistości); Ministerstwo Ochrony Środowiska, Zasobów Naturalnych i Leśnictwa: Warsaw, Poland, 1995. [Google Scholar]
- Monitor Polski. Dziennik Urzędowy Rzeczypospolitej Polskiej z dn. 9 Września 2019. 2019. Available online: https://monitorpolski.gov.pl/MP/2019/794 (accessed on 16 November 2024).
- Cadman, S. Defining Forests Under the Kyoto Protocol: A Way Forward. 2008. Available online: https://unfccc.int/files/land_use_and_climate_change/redd/submissions/application/pdf/redd_20081108_cadman_defining_forests.pdf (accessed on 12 November 2024).
- BULiGL; National Forest Inventory. Wielkoobszarowa Inwentaryzacja Stanu Lasów; Biuro Urządzania Lasu i Geodezji Leśnej: Sękocin Stary, Poland, 2024. [Google Scholar]
- Klepacka, A.M.; Florkowski, W.J.; Revoredo-Giha, C. Farmers and their groves: Will cost inefficiency lead to land use change? Land Use Policy 2017, 61, 329–338. [Google Scholar] [CrossRef]
- MRiRW. Dz.U. 2009 nr 48 poz. 390. 2009. Available online: https://isap.sejm.gov.pl/isap.nsf/DocDetails.xsp?id=WDU20090480390 (accessed on 20 November 2024).
- MRiRW. Dz.U. 2019 poz. 585. 2019. Available online: https://isap.sejm.gov.pl/isap.nsf/DocDetails.xsp?id=WDU20190000585 (accessed on 21 November 2024).
- Gołos, P.; Wysocka-Fijorek, E. The topic of private forests in Polish scientific publications in the period from 1945−2023. (Problematyka lasów prywatnych w polskich publikacjach naukowych w okresie 1945−2023). Sylwan 2023, 167, 854–867. [Google Scholar]
- Klepacka, A. Sustainable development and forestation rate in selected voivodships in Poland. Econ. Environ. 2018, 64, 12. [Google Scholar]
- Klepacka, A.; Szmulewicz, P. Afforestation funded by RPD in the period 2007–2013: The example of Podlaskie and Wielkopolskie voivodships. Econ. Environ. 2018, 66, 13. [Google Scholar]
- Klepacka, A.M.; Florkowski, W.; Bagińska, M. Changes in land use: Illustration of the impact or Regional Program Support in increasing the forested area in Podlaskie Voivodeship. Ann. Pol. Assoc. Agric. Agribus. Econ. 2017, XIX, 106–112. [Google Scholar] [CrossRef][Green Version]
- IMGW-PIB (Instytut Meteorologii i Gospodarki Wodnej (Institute of Meteorology and Water Management). Climate of Poland 2023 (Klimat Polski 2023). 2024. Available online: https://imgw.pl/edukacja/raporty-klimatyczne-dla-polski/ (accessed on 28 December 2024).
- GUS (Statistics Poland). National Population and Housing Census 2021. Population. Size and Demographic-Social Structure in the Light of the 2021 Census Results; Statistics Poland: Warsaw, Poland, 2023. [Google Scholar]
- Buszko, J. History of Poland 1864-1948 (Historia Polski 1864–1948); Państwowe Wydawnictwo Naukowe: Warsaw, Poland, 1987. [Google Scholar]
- Państwowy Rejestr Granic (State Register of Borders), GUGIK. Available online: https://www.geoportal.gov.pl/pl/dane/panstwowy-rejestr-granic-prg/ (accessed on 16 November 2024).
- Van Rossum, G.; Drake, F., Jr. Python Reference Manual; Centrum voor Wiskunde en Informatica: Amsterdam, The Netherlands, 1995. [Google Scholar]
- McKinney, W. Data structures for statistical computing in python. In Proceedings of the 9th Python in Science Conference, Austin, TX, USA, 28 June–3 July 2010; pp. 51–56. [Google Scholar]
- Seabold, S.; Perktold, J. Statsmodels: Econometric and statistical modeling with python. In Proceedings of the 9th Python in Science Conference, Austin, TX, USA, 28 June–3 July 2010. [Google Scholar]
- Matuszkiewicz, J.M. Potential Natural Vegetation of Poland (Potencjalna Roślinność Naturalna Polski); IGiPZ PAN: Warsaw, Poland, 2008. [Google Scholar]
- PGL LP. Report on the State of the Forests 2022 (Raport o Stanie Lasów w Polsce 2022); Centrum Informacyjne Lasów Państwowych: Warsaw, Poland, 2023. [Google Scholar]
- PGL LP. Principles of Silviculture (Zasady Hodowli Lasu); Centrum Informacyjne Lasów Państwowych: Warsaw, Poland, 2011. [Google Scholar]
- PGL LP. Principles of Silviculture (Zasady Hodowli Lasu); Państwowe Gospodarstwo Leśne Lasy Państwowe: Warsaw, Poland, 2023. [Google Scholar]
- Kowalski, M. Afforestation of former agricultural land in the context of expected climate change. (Zalesianie gruntów porolnych na tle prognozowanych zmian klimatu). Postępy Tech. Leśnictwie 1995, 56, 55–61. [Google Scholar]
- MRiRW. Guide to the Afforestation and Woodland Creation Measure of RDP 2014–2020 (Przewodnik po Działaniu Zalesianie i Tworzenie Terenów Zalesionych PROW 2014–2020); MriRW: Warsaw, Poland, 2016. [Google Scholar]
- Riahi, K.; van Vuuren, D.P.; Kriegler, E.; Edmonds, J.; O’Neill, B.C.; Fujimori, S.; Bauer, N.; Calvin, K.; Dellink, R.; Fricko, O.; et al. The Shared Socioeconomic Pathways and their energy, land use, and greenhouse gas emissions implications: An overview. Glob. Environ. Change 2017, 42, 153–168. [Google Scholar] [CrossRef]
- Kościelniak, M. Agriculture in the Wielkopolska Region in the years before the Third Republic of Poland (1772–1989)—Economic and administrative changes. (Wielkopolskie rolnictwo w latach poprzedzających III RP (1772–1989)—Zmiany gospodarcze i administracyjne). Rocz. Ekon. Kuj.-Pomor. Szkoły Wyższej Bydg. 2015, 8, 53–69. [Google Scholar]
- Dz.U. 1920 nr 70 poz. 462. 1920. Available online: https://isap.sejm.gov.pl/isap.nsf/DocDetails.xsp?id=WDU19200700462 (accessed on 21 November 2024).
- Dz.U. 1926 nr 1 poz. 1. 1926. Available online: https://isap.sejm.gov.pl/isap.nsf/DocDetails.xsp?id=WDU19260010001 (accessed on 21 November 2024).
- Dz.U. 1945 nr 3 poz. 9. 1945. Available online: https://isap.sejm.gov.pl/isap.nsf/DocDetails.xsp?id=WDU19450030009 (accessed on 21 November 2024).
- Bański, J. Development of agriculture in Poland (Rozwój gospodarki rolnej w Polsce). In Atlas of Polish Agriculture (Atlas Rolnictwa Polskiego); Bański, J., Ed.; Stanisław Leszczycki Institute of Geography and Spatial Organization Polish Academy of Science: Warsaw, Poland, 2010; pp. 25–37. [Google Scholar]
- GUS (Statistics Poland). Statistical Yearbook of Agriculture 2023 (Rocznik Statystyczny Rolnictwa 2023); Statistics Poland: Warsaw, Poland, 2023. [Google Scholar]
- Staniewicz, W. Changes in the agrarian structure of Poland (Zmiany w strukturze agrarnej Polski). Ruch Praw. Ekon. Socjol. 1936, 16, 382–397. [Google Scholar]
- Pulla, P.; Schuck, A.; Verkerk, P.J.; Lasserre, B.; Marchetti, M.; Green, T. Mapping the Distribution of Forest Ownership in Europe; EFI Technical Report 88; EFI: Joensuu, Finland, 2013. [Google Scholar]
- GUS (Statistics Poland); Bank Danych Lokalnych (Local Data Bank). The Prices Purchase/Sale of Agriculture Land per ha in Private Turnover 2024. Available online: https://bdl.stat.gov.pl/bdl/dane/podgrup/temat (accessed on 21 November 2024).
- DGLP. There Will Be New Forests. We Are Buying Land for Afforestation. (Będą nowe lasy. Kupujemy Tereny pod Zalesianie) 2022. Available online: https://www.lasy.gov.pl/pl/informacje/aktualnosci/beda-nowe-lasy-kupujemy-tereny-pod-zalesianie (accessed on 21 November 2024).
- Wielgo, M. Even the Largest Cities Are Mainly… Fields, Meadows and Forests. Where Are the New Flats to Be Built? (Nawet Największe Miasta to Głównie… Pola, Łąki i Lasy. Gdzie Mają Powstawać Nowe Mieszkania?). 2021. Available online: https://forsal.pl/nieruchomosci/mieszkania/artykuly/8172466,nawet-najwieksze-miasta-to-glownie-pola-laki-i-lasy-gdzie-maja-powstawac-nowe-mieszkania.html (accessed on 20 November 2024).
- Wielgo, M. [RANKING] The Greeniest Cities in Poland (Najbardziej Zielone Miasta w Polsce). 2024. Available online: https://ign.org.pl/ranking-najbardziej-zielone-miasta-w-polsce/ (accessed on 21 November 2024).
- Kumar, P.; Debele, S.E.; Khalili, S.; Halios, C.H.; Sahani, J.; Aghamohammadi, N.; Andrade, M.d.F.; Athanassiadou, M.; Bhui, K.; Calvillo, N.; et al. Urban heat mitigation by green and blue infrastructure: Drivers, effectiveness, and future needs. Innovation 2024, 5, 100588. [Google Scholar] [CrossRef]
- Islam, M.R.; Shahfahad Talukdar, S.; Rihan, M.; Rahman, A. Evaluating cooling effect of blue-green infrastructure on urban thermal environment in a metropolitan city: Using geospatial and machine learning techniques. Sustain. Cities Soc. 2024, 113, 105666. [Google Scholar] [CrossRef]
- Rada Miasta Krakowa. Uchwala Nr XXX/793/19 z Dnia 5 Grudnia 2019 r. w Sprawie Przyjęcia. Powiatowego Programu Zwiększenia Lesistości Miasta Krakowa na Lata 2018–2040. Available online: https://www.bip.krakow.pl/?dok_id=167&sub_dok_id=167&sub=uchwala&query=id%3D24663%26typ%3Du (accessed on 22 November 2024).
- Rada Miejska Wrocławia. Uchwała nr LII/3183/06 Rady Miejskiej Wrocławia z dnia 8 Czerwca 2006 roku w Sprawie. Powiatowego Programu Zwiększenia Lesistości Miasta Wrocławia. Available online: https://bip.um.wroc.pl/artykul/305/5350/powiatowy-program-zwiekszenia-lesistosci-miasta-wroclawia (accessed on 22 November 2024).
- Michalska, S. Traditional and new roles for rural women. (Tradycyjne i nowe role kobiet wiejskich). Wieś Rol. 2013, 2, 124–139. [Google Scholar] [CrossRef]
- GUS (Statistics Poland). The Agricultural Census 2020. Characteristics of Agricultural Holdings in 2020 (Powszechny Spis Rolny 2020. Charakterystyka Gospodarstw Rolnych w 2020 r); Statistics Poland: Warsaw, Poland, 2022. [Google Scholar]
- Vidyaratne, H.; Vij, A.; Regan, C.M. A socio-economic exploration of landholder motivations to participate in afforestation programs in the Republic of Ireland: The role of irreversibility, inheritance and bequest value. Land Use Policy 2020, 99, 104987. [Google Scholar] [CrossRef]
- Duesberg, S.; Ni Dhubhain, A.; O’Connor, D. Assessing policy tools for encouraging farm afforestation in Ireland. Land Use Policy 2014, 38, 194–203. [Google Scholar] [CrossRef]
- Źróbek-Różańska, A.; Nowak, A.; Nowak, M.; Źróbek, S. Financial Dilemmas Associated with the Afforestation of Low-Productivity Farmland in Poland. Forests 2014, 5, 2846–2864. [Google Scholar] [CrossRef]
- Ratajczak, E. Sustainable management of wood resources in Poland. An Introduction. (Zrównoważona gospodarka zasobami surowca drzewnego w Polsce. Wprowadzenie). Konsumpcja Rozw. 2014, 7, 15–27. [Google Scholar]
- Bijak, S.; Zastocki, D. Prices of alien tree species timber against its harvest in Poland in years 2013−2018. (Kształtowanie się cen drewna wybranych obcych gatunków drzew w Polsce na tle pozyskania w latach 2013−2018). Sylwan 2021, 165, 101–108. [Google Scholar]
- Grodzicki, M. Wood—Socio-Economic Importance in Poland. Estimates of the Impact of Changes in Wood Harvesting. (Drewno—Znaczenie Społeczno-Gospodarcze w Polsce. Szacunki Wpływu Zmian w Pozyskaniu Drewna); Centrum Strategii Środowiskowych: Warsaw, Poland, 2024. [Google Scholar]
- Zanchi, G.; Thiel, D.; Green, T.; Lindner, M. Forest Area Change and Afforestation in Europe: Critical Analysis of Available Data and the Relevance for International Environmental Policies; EFI: Joensuu, Finland, 2007. [Google Scholar]
- Behan, J.; McQuinn, K.; Roche, M.J. Rural land use: Traditional agriculture or forestry? Land Econ. 2006, 82, 112–123. [Google Scholar] [CrossRef]
- Jelonek, T.; Arasimowicz-Jelonek, M.; Gzyl, J.; Tomczak, A.; Łakomy, P.; Grzywiński, W.; Remlein, A.; Klimek, K.; Kopaczyk, J.; Jaszczak, R.; et al. Influence of former farmland on the characteristics and properties of Scots pine (Pinus sylvestris L.) tree tissue. BioRes 2019, 14, 3247–3265. [Google Scholar] [CrossRef]
- EEA. The European Biomass Puzzle Challenges, Opportunities and Trade-offs Around Biomass Production and Use in the EU; EEA: Copenhagen, Denmark, 2023. [Google Scholar] [CrossRef]
- EUROSTAT. Roundwood Removals by Type of Wood and Assortment. Available online: https://ec.europa.eu/eurostat/databrowser/view/for_remov/default/table?lang=en (accessed on 21 November 2024).
- Kolbusz, M.; Mikos, A. Forests to Burn. The True Price of Bioenergy. (Lasy do Spalenia. Prawdziwa cena Bioenergii); Stowarzyszenie Pracownia na Rzecz Wszystkich Istot: Bystra, Poland, 2022. [Google Scholar]
- EUROSTAT. Roundwood, Fuelwood and Other Basic Products, Dataset: For_Basic n.d. Available online: https://ec.europa.eu/eurostat/databrowser/view/FOR_BASIC__custom_3107107/bookmark/table (accessed on 21 November 2024).
- European Commission Directorate-General for Environment. EU Biodiversity Strategy for 2030: Bringing Nature back into Our Lives; European Commission: Brussels, Belgium, 2021. [Google Scholar] [CrossRef]
- Klepacka, A.; Florkowski, W. The Wood Pellet Sector: Barriers to Growth and Opinions of Manufacturers in Poland. Zesz. Nauk. SGGW Warszawie—Probl. Rol. Swiat. 2019, 19, 9–18. [Google Scholar] [CrossRef]











Disclaimer/Publisher’s Note: The statements, opinions and data contained in all publications are solely those of the individual author(s) and contributor(s) and not of MDPI and/or the editor(s). MDPI and/or the editor(s) disclaim responsibility for any injury to people or property resulting from any ideas, methods, instructions or products referred to in the content. |
© 2025 by the authors. Licensee MDPI, Basel, Switzerland. This article is an open access article distributed under the terms and conditions of the Creative Commons Attribution (CC BY) license (https://creativecommons.org/licenses/by/4.0/).
Share and Cite
Klepacka, A.M.; Romaniuk, A.A.; Gajda, J.; Chećko, E.E. From Farms to Forests: An Exploration of Afforestation Efforts in Poland Under the Rural Development Programme (2007–2020). Sustainability 2025, 17, 1027. https://doi.org/10.3390/su17031027
Klepacka AM, Romaniuk AA, Gajda J, Chećko EE. From Farms to Forests: An Exploration of Afforestation Efforts in Poland Under the Rural Development Programme (2007–2020). Sustainability. 2025; 17(3):1027. https://doi.org/10.3390/su17031027
Chicago/Turabian StyleKlepacka, Anna M., Andrzej A. Romaniuk, Janusz Gajda, and Ewa E. Chećko. 2025. "From Farms to Forests: An Exploration of Afforestation Efforts in Poland Under the Rural Development Programme (2007–2020)" Sustainability 17, no. 3: 1027. https://doi.org/10.3390/su17031027
APA StyleKlepacka, A. M., Romaniuk, A. A., Gajda, J., & Chećko, E. E. (2025). From Farms to Forests: An Exploration of Afforestation Efforts in Poland Under the Rural Development Programme (2007–2020). Sustainability, 17(3), 1027. https://doi.org/10.3390/su17031027

