Sign in to use this feature.

Years

Between: -

Subjects

remove_circle_outline
remove_circle_outline
remove_circle_outline
remove_circle_outline
remove_circle_outline
remove_circle_outline
remove_circle_outline
remove_circle_outline
remove_circle_outline

Journals

remove_circle_outline
remove_circle_outline
remove_circle_outline
remove_circle_outline
remove_circle_outline

Article Types

Countries / Regions

remove_circle_outline
remove_circle_outline
remove_circle_outline
remove_circle_outline
remove_circle_outline
remove_circle_outline
remove_circle_outline

Search Results (1,131)

Search Parameters:
Keywords = afforestation

Order results
Result details
Results per page
Select all
Export citation of selected articles as:
26 pages, 11394 KB  
Article
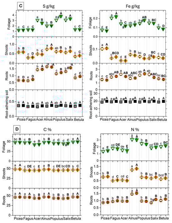
Belowground and Aboveground Responses to Mixed Metal Contamination in Native Central European Trees in Relation to the Species-Specific Autecology
by Madeleine S. Günthardt-Goerg, Rainer Schulin, Patrick Schleppi and Pierre Vollenweider
Plants 2026, 15(8), 1269; https://doi.org/10.3390/plants15081269 - 21 Apr 2026
Abstract
Using native tree species, the phytostabilisation of toxic metals at former mining and industrial sites can provide ways to prevent metal spread and leaching into the environment and bring the sites back into the economic circuit. In this study, mixed afforestations with young [...] Read more.
Using native tree species, the phytostabilisation of toxic metals at former mining and industrial sites can provide ways to prevent metal spread and leaching into the environment and bring the sites back into the economic circuit. In this study, mixed afforestations with young trees from seven Central European species showing contrasted autecology (Picea abies (L.) Karst, Fagus sylvatica L., Acer pseudoplatanus L., Alnus incana (L.) Moench, Populus tremula L., Salix viminalis L. and Betula pendula Roth) were exposed during five years to mixed soil contamination (Zn/Cu/Pb/Cd = 1349/317/70/8 mg kg−1). The uptake and allocation of the metals in root and shoot tissues, various functional traits and nutrient responses were compared. Despite high metal availability, all tree species showed low metal uptake and similar metal concentrations in their roots. The mobile metals (Zn, Cd) accumulated in the shoot and foliage of early-successional species with acquisitive ecological strategy only, whereas the late-successional species blocked the transfer of all metals from the roots to the aboveground organs. All species showed good tolerance to metal contamination, with large interspecific differences regarding the biomass production and some nutrient concentrations, in apparent relation to the varying species’ ecological strategies and independent of the metal treatment. Zn allocation within fine root tissues could enhance transient spatial and temporal metal immobilisation, especially when associated with protective or defence structures, which also contributed to metal detoxification. Higher transfer of mobile metals to aboveground organs in pioneer tree species was clearly related to their acquisitive ecological strategies, in the context of higher nutrient demand in foliage and lesser defence and protection of vegetative organs. The implications of findings for phytostabilisation applications are discussed. Full article
(This article belongs to the Section Plant Response to Abiotic Stress and Climate Change)
Show Figures

Figure 1

21 pages, 11652 KB  
Article
Natural Regeneration of Sand Quarries Supports Oligotrophic Boreal Forest Vegetation Development Within Three Decades: A Case Study
by Austra Zuševica, Viktorija Vendina, Dagnija Lazdiņa, Roberts Matisons, Toms Artūrs Štāls, Kārlis Dūmiņš and Santa Celma
Sustainability 2026, 18(8), 3989; https://doi.org/10.3390/su18083989 - 17 Apr 2026
Viewed by 131
Abstract
Sand extraction drastically alters ecosystem structure and initiates conditions for primary succession development. Forest stands aged 9, 16, 19, and 28 years were surveyed to assess understory vegetation and epiphytic lichen communities in post-mining sand and gravel quarries in eastern Latvia. Community structure [...] Read more.
Sand extraction drastically alters ecosystem structure and initiates conditions for primary succession development. Forest stands aged 9, 16, 19, and 28 years were surveyed to assess understory vegetation and epiphytic lichen communities in post-mining sand and gravel quarries in eastern Latvia. Community structure and functional traits were analyzed. Younger stands (9–19 years) exhibited the highest understory species diversity, dominated by hemicryptophytes, open-habitat grasses, and low-to-moderate ecological value lichens, while older stands (28 years) supported high-value epiphytic lichens and understory species typical of oligotrophic boreal forests. In 9-year-old stands, high-value epiphytic lichens comprised, on average, 5.7% (SE = 1.6) total lichen cover, while in 28-year-old stands it was 24.8% (SE = 1.9). Species with animal-mediated seed dispersal were more prevalent in younger stands, reflecting indications of animal presence based on vegetation composition and observed animal damage on trees. No invasive species were recorded, likely due to quarry isolation (≥1 km closest edge of the forest ecosystem) and proximity to mature forest margins. Our results highlight the multidimensionality of biodiversity by integrating two taxonomic groups and indicate high potential for passive natural regeneration toward Western Taiga 9010 habitat conditions under an oligotrophic environment. Full article
(This article belongs to the Section Sustainable Forestry)
Show Figures

Figure 1

16 pages, 2369 KB  
Article
Selection and Validation of Suitable Reference Genes for RT-qPCR Normalization in Euonymus bungeanus Across Various Tissues and Under Abiotic Stress/Hormone Treatments
by Yongbin Ou, Hong Lu, Xincheng Zhao, Yueping Qin, Xinghong Zhong, Bo Zhou and Yinan Yao
Plants 2026, 15(8), 1230; https://doi.org/10.3390/plants15081230 - 16 Apr 2026
Viewed by 214
Abstract
Euonymus bungeanus is a highly valued ornamental tree/shrub species widely utilized in landscaping and afforestation in Northeast Asia, yet molecular studies on this species remain limited due to the lack of validated reference genes for reverse transcription quantitative real-time polymerase chain reaction (RT-qPCR). [...] Read more.
Euonymus bungeanus is a highly valued ornamental tree/shrub species widely utilized in landscaping and afforestation in Northeast Asia, yet molecular studies on this species remain limited due to the lack of validated reference genes for reverse transcription quantitative real-time polymerase chain reaction (RT-qPCR). In this study, 16 candidate reference genes were selected based on classical plant reference genes and our previous transcriptome data. Their expression stability was comprehensively evaluated using 64 samples collected from diverse tissues and plants subjected to various abiotic stress/hormone treatments across multiple time points. Across all samples analyzed, PBG1 (20S proteasome beta subunit G1) exhibited the highest overall expression stability, followed by VAPD (vacuolar ATP synthase subunit D) and EIF4A (eukaryotic translation initiation factor 4A). For tissue-specific analysis, TSR2 (pre-rRNA-processing protein), VAPD, and PBG1 demonstrated the greatest stability. Under specific stress conditions, PBG1 and EIF4A were identified as the most stable genes under low- and high-temperature conditions. PP2A (protein phosphatase 2A) and TUB6 (beta-6 tubulin) were optimal for drought stress, while TSR2, SRP (nuclear speckle splicing regulatory-like protein), and PBG1 exhibited superior stability under salt stress. These findings establish a validated panel of reference genes enabling accurate and reliable gene expression normalization in E. bungeanus, thereby facilitating future functional genomics studies in this economically and ecologically important species. Full article
(This article belongs to the Special Issue Horticultural Plant Physiology and Molecular Biology—2nd Edition)
Show Figures

Figure 1

11 pages, 1025 KB  
Article
Shifts in Soil Nutrient Availability and C:N:P Stoichiometry During Long-Term Vegetation Restoration in Mu Us Sandy Land
by Chi Zhang, Xingchang Zhang and Na Zhao
Agronomy 2026, 16(8), 815; https://doi.org/10.3390/agronomy16080815 - 15 Apr 2026
Viewed by 285
Abstract
Vegetation restoration profoundly impacts soil carbon (C)-nitrogen (N)-phosphorus (P) cycling in arid sandy lands, with vegetation type critically regulating accumulation patterns. However, the magnitudes of soil nutrients and stoichiometry for different vegetation types are still largely unknown. Thus, we conducted a regional-scale study [...] Read more.
Vegetation restoration profoundly impacts soil carbon (C)-nitrogen (N)-phosphorus (P) cycling in arid sandy lands, with vegetation type critically regulating accumulation patterns. However, the magnitudes of soil nutrients and stoichiometry for different vegetation types are still largely unknown. Thus, we conducted a regional-scale study to evaluate the soil nutrients and nutrient stoichiometry under four typical vegetation types in the Mu Us Sandy Land (MUS), including monoculture arbor (MA), monoculture shrub (MS), arbor-shrub mixed (MAS), and monoculture herbaceous (MH), with cropland (Cr) and bare sand (Bs) controls. Our results showed that vegetation type significantly affected SOC and TN content. MS (30–40 years), MA (>40 years), and MH exhibited significant increases of 285.5–305.8% in SOC and 293.6–374.6% in TN in the topsoil, respectively. MS (30–40 years) and MH demonstrated increases of 399.1% and 283.3% in SOC and 250.2% and 162.8% in TN in the subsoil. However, MAS had no significant effect on SOC and TN. MA (>40 years) resulted in a higher TP in the subsoil. Compared to Bs, humic substances significantly increased by 111.1–171.6% under MA (>40 years), MS (>40 years), and MH, exhibiting positive correlations with SOC. Moreover, MAS treatment resulted in a higher C:N, while the MH resulted in a higher C:P and N:P in the topsoil. Despite stable total phosphorus (TP), elevated C:P and N:P ratios under MH indicated emerging P limitation in restoration. Therefore, long-term monoculture shrub, arbor, and herbaceous vegetation effectively enhances soil fertility in arid sandy lands through long-term SOC accumulation and humic substance formation. Full article
Show Figures

Figure 1

13 pages, 386 KB  
Article
Annual Variability in Cone and Seed Yields Across Seed Stands of Taurus Cedar (Cedrus libani) and Its Impact on Gene Diversity of Seed Crops
by Kyu-Suk Kang, Marianthi Tsakaldimi and Nebi Bilir
Forests 2026, 17(4), 481; https://doi.org/10.3390/f17040481 - 14 Apr 2026
Viewed by 146
Abstract
The variation in annual cone and seed production was examined for three natural seed stands of Taurus cedar (Cedrus libani A. Rich., Pinaceae), each with distinct structural characteristics, sampled from 35 trees for three consecutive years. Fertility variation (Ψ), estimated by cone [...] Read more.
The variation in annual cone and seed production was examined for three natural seed stands of Taurus cedar (Cedrus libani A. Rich., Pinaceae), each with distinct structural characteristics, sampled from 35 trees for three consecutive years. Fertility variation (Ψ), estimated by cone (ΨC) and seed (ΨS) yields per tree, was also analyzed to contribute to the management and development of silvicultural practices for the seed stands of the species. Significant differences (p < 0.05) were recorded in cone and seed production across years, between populations, and between trees within a population. Population x year interactions were also significant (p < 0.05), highlighting the importance of seed harvesting year in cone collection. Fertility variation in cones and filled seeds showed only small deviation [ΨC = 1.10 (91% of census number)–1.71 (59%), Ψs = 1.25 (80%)–1.71 (59%)] among the seed stands in different years, except ΨS = 2.38 (42%) in a population in one year. The cone and seed fertility were at acceptable levels for an ideal natural population (Ψ ≤ 3). Figures of parental balance curves showed that the contribution to the gamete gene pool was much closer to equal for cone production across the years than for filled seed production in both individual stands and pooled stands, suggesting that the number of cones is a good indicator of overall seed production. Difference in gene diversity (GD) was 0.005 from individual year (GD = 0.992 and 0.993) to pooled years of the populations (GD = 0.997 and 0.998) for both cone and seed yields, while it was higher among years within population (e.g., 0.017 for cone yield and 0.026 for seed yield in a population). Full article
(This article belongs to the Special Issue Forest Tree Seed and Seedling Production)
19 pages, 4482 KB  
Review
Impact of Reforestation on Soil Quality with Emphasis on Mediterranean Mountain Habitats: Review and Case Studies
by Jorge Mongil-Manso, Raimundo Jiménez-Ballesta and María del Monte-Maíz
Land 2026, 15(4), 625; https://doi.org/10.3390/land15040625 - 11 Apr 2026
Viewed by 555
Abstract
Ecological restoration—whether active or passive—includes forest development, forest rehabilitation, and a range of other activities that contribute to ecosystem services. To provide a formal framework, we hypothesized how does reforestation (through different forestry practices) affect the conservation of soil functionality? That is, how [...] Read more.
Ecological restoration—whether active or passive—includes forest development, forest rehabilitation, and a range of other activities that contribute to ecosystem services. To provide a formal framework, we hypothesized how does reforestation (through different forestry practices) affect the conservation of soil functionality? That is, how does reforestation/afforestation/forest restoration improve soil quality? And, specifically, how do they improve physical properties (such as structural stability, infiltration) and chemical properties (such as acidity, electrical conductivity)? For this purpose, we conducted a bibliometric analysis review of the peer-reviewed scientific literature and research reports of numerous articles in order to compile a large database of forest restoration studies, with an emphasis on the Mediterranean region. The final focus was to obtain conclusions about how it affects soil quality. Overall, our examination confirms that deforestation drives a decline in soil carbon and nitrogen, subsequently impairing microbial activity. Consequently, forest removal frequently leads to accelerated erosion, nutrient depletion, and compaction. In contrast, reforestation acts as a critical intervention, stabilizing soil structure, reestablishing fertility, and enhancing soil quality overall. Additionally, three case studies are synthetically presented concerning the short-, medium-, and long-term results of forest restoration projects carried out mainly in central and northern Spain. These cases corroborate the significant role of forest restoration in the control and enhancement of ecosystem services, particularly in relation to soil improvement, the enhancement of hydrological regulation processes within watersheds (runoff, infiltration, erosion), landscape amelioration, and the socio-economic aspects of rural environments. Ultimately, forest restoration is established as a necessary and essential practice in ecological restoration efforts to counteract the impacts of anthropogenic activities. Full article
Show Figures

Figure 1

17 pages, 1929 KB  
Review
Afforestation Mitigating Soil N Loss by Modulating Microbial Community Structure: Bibliometric Review
by Haifu Fang, Yulin Li, Fuxiang Yang and Chunxiao Wu
Forests 2026, 17(4), 459; https://doi.org/10.3390/f17040459 - 8 Apr 2026
Viewed by 224
Abstract
Nitrogen (N) loss poses a significant threat to global climate stability and ecosystem sustainability. Afforestation, as a key ecological restoration strategy, regulates soil N cycling processes by modulating soil microbial community structure. However, a systematic synthesis of how afforestation influences microbial-mediated N loss [...] Read more.
Nitrogen (N) loss poses a significant threat to global climate stability and ecosystem sustainability. Afforestation, as a key ecological restoration strategy, regulates soil N cycling processes by modulating soil microbial community structure. However, a systematic synthesis of how afforestation influences microbial-mediated N loss remains limited. To address this gap, this study conducted a bibliometric analysis using CiteSpace software, based on 104 relevant publications indexed in the Web of Science Core Collection from 1997 to 2025, to comprehensively map the knowledge structure, research hotspots, and evolutionary trajectories in the field of afforestation-driven microbial regulation of soil N loss. The results reveal three developmental phases: initiation (1997–2005), growth (2006–2020), and stabilization (2021–2025). China contributed the highest number of publications (40), while the United States exhibited the greatest academic influence; the Chinese Academy of Sciences and the Russian Academy of Sciences clusters have emerged as core research institutions. Notably, keyword and citation analyses revealed that research hotspots have shifted from process-oriented measurements, including N mineralization and N2O emissions, toward a deeper exploration of microbial community structure, biodiversity, and functional mechanisms. This study presents the bibliometric synthesis of microbial N loss mechanisms under afforestation, revealing a paradigm shift from environmental driers to microbial diversity. These insights inform microbial forest management strategies that balance N retention with carbon sequestration. Full article
(This article belongs to the Section Forest Soil)
Show Figures

Figure 1

22 pages, 14149 KB  
Article
Participatory Digital Traceability Systems for Information Governance: Design and Real-World Deployment in Urban Afforestation Programs
by Luis Veas-Castillo, Gerson Andrade, Christian Lazo, Tania Letelier, Iván Díaz, Mónica Alacid and María Hermosilla
Information 2026, 17(4), 348; https://doi.org/10.3390/info17040348 - 5 Apr 2026
Viewed by 242
Abstract
Large-scale urban tree donation campaigns are widely implemented worldwide as nature-based solutions for climate adaptation and mitigation; however, most programs lack individual-level traceability and post-donation monitoring, limiting accountability and evidence-based management. A fundamental prerequisite for longitudinal survival assessment is the existence of a [...] Read more.
Large-scale urban tree donation campaigns are widely implemented worldwide as nature-based solutions for climate adaptation and mitigation; however, most programs lack individual-level traceability and post-donation monitoring, limiting accountability and evidence-based management. A fundamental prerequisite for longitudinal survival assessment is the existence of a reliable traceability infrastructure capable of linking individual trees to verified planting records over time. This study proposes and empirically evaluates a participatory digital traceability system that establishes this foundational infrastructure, conceptualized as a distributed data validation architecture for donation-based urban afforestation programs. The framework integrates (i) persistent digital identifiers, (ii) geospatial registration, (iii) distributed multi-stage validation, and (iv) structured citizen reporting, and is operationalized through an installation-free progressive web application (ArborizaCL). The approach was deployed in five real-world campaigns conducted in Valdivia, Chile (May–September 2025), registering 642 trees distributed to 240 participants. A total of 190 georeferenced planting reports were submitted, corresponding to an overall reporting rate of 29.6%. Reporting behavior varied substantially by institutional follow-up strategy: campaigns with active follow-up achieved a mean reporting rate of 54.0%, compared with 13.0% under passive strategies, yielding a 41.0 percentage point difference (315.8% relative increase). Spatial analysis of reported plantings showed a predominance of urban (51.1%) and peri-urban (42.1%) locations, enabling differentiated territorial assessment. These results indicate that while digital infrastructure enables traceability and transparent monitoring, sustained citizen engagement is strongly associated with institutional coordination mechanisms. Beyond environmental monitoring, the proposed framework contributes to information governance by demonstrating how participatory digital traceability systems can support distributed public-sector oversight and outcome-oriented evaluation. The framework provides a transferable methodological basis for strengthening monitoring capacity, transparency, and governance design in publicly funded afforestation initiatives and other distributed civic programs. Full article
Show Figures

Graphical abstract

19 pages, 1345 KB  
Communication
Building Carbon Management Capacity: The Hawaiʻi Carbon Knowledge Exchange
by Kusum Anjali Pandey, Natalie Kurashima, Stephanie Dunbar-Co, Rebecca Ostertag, Breanna Rose and Christian P. Giardina
Sustainability 2026, 18(7), 3439; https://doi.org/10.3390/su18073439 - 1 Apr 2026
Viewed by 516
Abstract
A central goal of carbon (C) management and a critical outcome of sustainable land stewardship is reducing greenhouse gas (GHG) emissions from agriculture, forestry, and other land uses. Integrating GHG considerations into management can take many forms, but C credit markets are increasingly [...] Read more.
A central goal of carbon (C) management and a critical outcome of sustainable land stewardship is reducing greenhouse gas (GHG) emissions from agriculture, forestry, and other land uses. Integrating GHG considerations into management can take many forms, but C credit markets are increasingly providing sources of private capital to offset the often high costs of stewardship. In Hawaiʻi, participation in voluntary C credit markets and the establishment of jurisdictional compliance C markets are constrained by a lack of institutional capacity, successful demonstrations, and high-quality data, making private capital for C market-based approaches in Hawaiʻi difficult to access. The State of Carbon in Hawaiʻi Hui (hui translates to partnership in ʻŌlelo Hawaiʻi, the Hawaiian language) convened landowners, researchers, federal and state government professionals, and for-profit and not-for-profit organization staff to better understand limitations to implementing C management in Hawaiʻi. This paper describes why the State of Carbon in Hawaiʻi Hui was formed, how we planned for, hosted, and assessed the success of a C-focused summit, and what outcomes resulted from this process. A Pathway Forward document, a decision support tool, and this article are outcomes. These products will serve as resources for those considering Hawaiʻi-based forest C projects, as well as contributing towards the legislated goal of reducing greenhouse gas emissions in Hawaiʻi. Our knowledge exchange process is readily replicable and can support a variety of efforts in environmental conservation and beyond. Full article
(This article belongs to the Section Environmental Sustainability and Applications)
Show Figures

Figure 1

20 pages, 31093 KB  
Article
GIS-Based Analysis and Thematic Mapping of LULC Changes over 35 Years in the Historical Lateral Mobility Zone (HLMZ) of the Sele River (Southern Italy)
by Edoardo Guido D’Onofrio, Floriana Angelone and Paolo Magliulo
Land 2026, 15(4), 581; https://doi.org/10.3390/land15040581 - 1 Apr 2026
Viewed by 418
Abstract
The Historical Lateral Mobility Zone (HLMZ) represents the portion of the alluvial plain occupied by the river channel over the last decades or centuries and represents the most flood-prone sector of the floodplain. Mapping Land-Use–Land Cover (LULC) changes within HLMZs helps reconstruct human-driven [...] Read more.
The Historical Lateral Mobility Zone (HLMZ) represents the portion of the alluvial plain occupied by the river channel over the last decades or centuries and represents the most flood-prone sector of the floodplain. Mapping Land-Use–Land Cover (LULC) changes within HLMZs helps reconstruct human-driven land-use dynamics and identify the areas potentially exposed to the highest flood risk. Among the rivers of Southern Italy, the Sele River is characterized by one of the largest mean annual discharges and has experienced extreme and destructive floods, such as those from 1935 and 2010. Over the last 150 years, it has also undergone remarkable channel adjustments, consisting of narrowing up to ~120 m, morphological changes, and riverbed degradation. In this study, LULC changes that occurred between 1988 and 2023 within the HLMZ of the Sele River, formed over the last 150 years, were analyzed and mapped in a GIS environment. Active channels were digitized from historical maps, topographic maps, and orthophotos to map the HLMZ. LULC changes were assessed through visual interpretation of orthophotos and Google Earth imagery in a GIS environment. Results show a transition, over 35 years towards more pristine conditions, with forest expansion, reduction in agricultural areas, and absence of further artificialization. LULC dynamics appear to be strictly controlled by an increased awareness of the high flood hazard within the HLMZ, with positive implications in terms of flood risk, which, however, should be further assessed quantitatively in future studies and, possibly, reduced, given the high proneness of the Sele River to destructive floods. Full article
Show Figures

Figure 1

23 pages, 14869 KB  
Article
Hyperspectral Imaging Reveals Chlorophyll Temporal Dynamics in Masson Pine Under Pine Wood Nematode and Abiotic Stresses
by Jiaxuan Guo, Wanlin Guo, Riguga Su, Xin Lu, Zhendong Zhou, Xiaojuan Li, Xuehai Tang and Bin Wang
Remote Sens. 2026, 18(7), 1032; https://doi.org/10.3390/rs18071032 - 30 Mar 2026
Viewed by 381
Abstract
Masson Pine (Pinus massoniana), an important afforestation species in southern China, is severely threatened by pine wilt disease caused by pine wood nematode (Bursaphelenchus xylophilus, PWN). To differentiate mortality induced by B. xylophilus from that caused by abiotic environmental [...] Read more.
Masson Pine (Pinus massoniana), an important afforestation species in southern China, is severely threatened by pine wilt disease caused by pine wood nematode (Bursaphelenchus xylophilus, PWN). To differentiate mortality induced by B. xylophilus from that caused by abiotic environmental factors, hyperspectral imaging and needle chlorophyll content were measured and analyzed for the early detection physiological changes in Masson pine seedlings under various environmental stressors. Four-year-old Masson pine seedlings were subjected to PWN inoculation, mechanical injury, drought, and waterlogging treatments. Hyperspectral reflectance and needle chlorophyll content of Masson pine were measured concurrently at 7-day intervals. The results showed that hyperspectral imaging responses varied among the stressors. Both PWN and waterlogging stress induced rapid mortality, with spectral changes observed as early as the 3rd week and reaching statistical significance by the 5th week. Under PWN infection, hyperspectral reflectance increased markedly in the 405–580 nm range, accompanied by a pronounced blue-shift of the red edge position (680–750 nm), while needle chlorophyll content declined sharply from approximately 0.8 mg g−1 to 0.48 mg g−1. Waterlogging stress produced a uniform increase in reflectance within the 500–580 nm range, with the hyperspectral curve gradually flattening, and needle chlorophyll content decreasing from 0.75 mg g−1 to 0.6 mg g−1. Conversely, drought-stressed seedlings exhibited only minor hyperspectral changes and maintained relatively stable chlorophyll levels, demonstrating the inherent drought tolerance of Masson pine. The RF and XGBoost models performed best in fitting the entire process of pine wood nematode infection and waterlogging stress, with all R2 values greater than 0.69. The distinct hyperspectral imaging patterns under nematode infection and water-related stresses provide a reliable basis for early diagnosis and monitoring pine wilt disease in Masson pine stands. Full article
Show Figures

Figure 1

21 pages, 4683 KB  
Article
Projecting Future Land Use Distributions to Enhance Ecosystem Service Value: A Dyna-CLUE Modeling Approach
by Tianhai Zhang, Shouqian Sun, Zhibing Zou, Rong Zhang and Greg Foliente
Land 2026, 15(4), 561; https://doi.org/10.3390/land15040561 - 29 Mar 2026
Viewed by 397
Abstract
Land use change is the most direct factor driving the supply and alteration of ecosystem services. This study employed the Dyna-CLUE tool to simulate future land use distributions under two scenarios—the Constrained Trend (CT) and Optimized Target-driven (OT) scenarios—based on land use data [...] Read more.
Land use change is the most direct factor driving the supply and alteration of ecosystem services. This study employed the Dyna-CLUE tool to simulate future land use distributions under two scenarios—the Constrained Trend (CT) and Optimized Target-driven (OT) scenarios—based on land use data from 2010. Subsequently, their corresponding ecosystem service values (ESVs) were calculated, with the simulation outcomes revealing distinct land use layouts under each scenario. Under the CT scenario, grassland and urban areas expanded, whereas farmland and water bodies declined, reflecting a trend of urbanization at the expense of rural landscapes. In contrast, the OT scenario demonstrated a cessation of built-up land expansion, accompanied by marked increases in forest and water coverage, changes that facilitated the restoration of coastal watersheds, enhancing wetland provision and improving overall ESV. Consequently, per capita ESV increased substantially—from 1751 CNY in 2018 to 2356 CNY, matching the 2010 level—primarily due to the conversion of grasslands and farmlands into forests and wetlands. The OT scenario also improved the spatial distribution of ESVs, forming interconnected ecological zones around urban areas. The results underscore that policies restraining built-up expansion, promoting afforestation, and restoring wetlands can significantly improve ecosystem services and contribute to sustainability. Full article
Show Figures

Figure 1

20 pages, 10123 KB  
Article
Drivers of Shrinkage in Daihai Lake Based on Influence of Climate Change, Vegetation Variation and Agricultural Water Saving on ET
by Dewang Wang, Ping He, Jie Xu and Liping Hou
Land 2026, 15(4), 532; https://doi.org/10.3390/land15040532 - 25 Mar 2026
Viewed by 349
Abstract
Vegetation restoration in water-limited regions typically increases evapotranspiration (ET) while reducing runoff. Over the past four decades, Daihai Lake in China’s northwest inland river basin has experienced significant shrinkage. Previous studies attribute this primarily to climate change and water resource exploitation, yet the [...] Read more.
Vegetation restoration in water-limited regions typically increases evapotranspiration (ET) while reducing runoff. Over the past four decades, Daihai Lake in China’s northwest inland river basin has experienced significant shrinkage. Previous studies attribute this primarily to climate change and water resource exploitation, yet the impact of vegetation dynamics remains insufficiently examined. This study analyzed changes in the water budget across different vegetation types in the Daihai Lake Basin, based on remote sensing-derived precipitation and ET data, and employed correlation analysis to examine the relationships between environmental factors (such as climate change, afforestation projects, and water-saving irrigation) and lake shrinkage. Our findings revealed that afforestation has expanded forest cover by 69.42 km2 since 2000, accounting for 73.95% of the total forest area. Notably, forest ET demonstrated the strongest negative correlation (r = −0.89, p < 0.001) with lake area among all vegetation types. Grasslands emerged as the primary water-surplus vegetation, contributing 81.34% to the basin’s total water surplus. The synergistic effects of precipitation reduction, temperature increase, and enhanced ET from forest expansion drove the shrinkage of the lake. These results highlight the need for science-based vegetation management in arid and semi-arid regions, where we recommend adopting shrub-grass combined restoration approaches to enhance the sustainability of ecological restoration. Full article
(This article belongs to the Section Land Use, Impact Assessment and Sustainability)
Show Figures

Figure 1

16 pages, 4074 KB  
Article
Agricultural Soil Legacies and Their Implications for Sustainable Afforestation: A Chronosequence Study
by Krzysztof Piotrowski, Monika Kisiel and Lidia Oktaba
Sustainability 2026, 18(6), 3120; https://doi.org/10.3390/su18063120 - 22 Mar 2026
Viewed by 326
Abstract
Afforestation of former agricultural land is widely promoted as a strategy to mitigate climate change and support sustainable land management. However, soils subjected to long-term cultivation often retain chemical legacies that may persist for decades after land-use change, influencing soil functioning and ecosystem [...] Read more.
Afforestation of former agricultural land is widely promoted as a strategy to mitigate climate change and support sustainable land management. However, soils subjected to long-term cultivation often retain chemical legacies that may persist for decades after land-use change, influencing soil functioning and ecosystem development. This study investigates the persistence of selected agricultural soil chemical properties following afforestation using a chronosequence approach. Post-agricultural soils afforested for 15, 40, and 80 years were examined on Dystric Brunic Arenosols developed from sandy parent material. Composite samples were collected from forest-floor horizons (Ol and Ofh) and upper mineral horizons (A and B). The analyzed parameters included organic carbon (Corg), total nitrogen (Nt), sulfur (S), soil pH, hydrolytic acidity (Ha), exchangeable base cations (EBC), and cation exchange capacity (CEC). The results show that agricultural soil legacies persist for several decades after afforestation. Soils under the 15-year-old stand were characterized by higher exchangeable calcium, higher base saturation, and lower hydrolytic acidity, reflecting the persistence of historical liming. With increasing stand age, soil acidity increased, and base-cation concentrations declined, while organic carbon accumulated mainly in forest-floor horizons. These findings highlight the importance of considering agricultural soil legacies when evaluating the sustainability of afforestation and its role in long-term ecosystem services. Full article
(This article belongs to the Section Sustainable Forestry)
Show Figures

Figure 1

29 pages, 2553 KB  
Article
Opportunities and Barriers to Integrating Urban Grasslands into Green Infrastructure: A Socio-Institutional Assessment of Latvian Cities
by Daiga Skujane, Natalija Nitavska, Madara Markova, Anete Lagzdina and Alise Cavare
Land 2026, 15(3), 505; https://doi.org/10.3390/land15030505 - 21 Mar 2026
Viewed by 320
Abstract
Natural grasslands are among the most endangered habitats in Northern, Central and Eastern Europe due to the agricultural intensification, land abandonment and afforestation, urban expansion, and the loss of traditional low-intensity management, on which their biodiversity depends. One way to increase the number [...] Read more.
Natural grasslands are among the most endangered habitats in Northern, Central and Eastern Europe due to the agricultural intensification, land abandonment and afforestation, urban expansion, and the loss of traditional low-intensity management, on which their biodiversity depends. One way to increase the number of natural grasslands is by integrating them into urban green infrastructure as a nature-based solution to enhance ecological resilience and urban livability: diverse grassland systems support pollinators, improve soil structure and stormwater infiltration, mitigate urban heat and provide restorative, experience-rich public spaces. The aim of the study is to explore opportunities and barriers to integrating different types of grasslands into the green infrastructure of Latvian cities, with a primary focus on public perceptions and institutional aspects of urban grassland implementation and management. A mixed-methods approach was applied, combining resident surveys, interviews with municipal experts—territorial development specialists, planners and maintenance managers—and comparative policy analysis. Results show that although residents acknowledge the ecological benefits of urban grasslands, they prefer them in peripheral or underused areas rather than in city centres and residential zones, as these areas are often aesthetically perceived as “untidy” or neglected, conflicting with cultural norms that favour short, intensively mown lawns and raising concerns about insects. Acceptance increases through communication and participatory practices. Municipal approaches range from structured maintenance guidelines, including delayed mowing, biomass removal, and invasive species control, to flexible experimentation. The study contributes scientifically grounded insights into governance, perception, and management interfaces critical for mainstreaming socially accepted urban grasslands. Full article
Show Figures

Figure 1

Back to TopTop