Incorporating the Number of Patches into an Integrated Land Use Optimization Framework: Toward Sustainable Land Use Configurations in Urbanizing Basins
Abstract
1. Introduction
2. Materials and Methods
2.1. Basic Idea
2.2. Research Methods
2.2.1. The PLUS Model
2.2.2. Landscape Pattern Indices
2.2.3. Generalized Multi-Objective Programming (GMOP) Model
- (1)
- Decision Variables
- (2)
- Objective Functions
- (3)
- Constraints
- (4)
- Simulation Scenarios
2.3. Study Area
2.4. Data Sources
- (1)
- Land use data for the period 2000–2020 were obtained from the CLCD dataset with a spatial resolution of 30 m [36].
- (2)
- Digital elevation model (DEM) data were derived from the Geospatial Data Cloud, also at a 30 m resolution.
- (3)
- Socioeconomic Data: Population and GDP (per capita), 1 km resolution raster data from the Resource and Environment Data Center, Chinese Academy of Sciences; vector data for distance to highways/railways from OpenStreetMap.
- (4)
- Statistical Data: Population, annual yield, and planting area of corn and wheat, industrial and agricultural outputs, obtained from the Jinan Statistical Yearbook (2022).
3. Results
3.1. Dynamic Changes in Land Use and Spatial Patterns
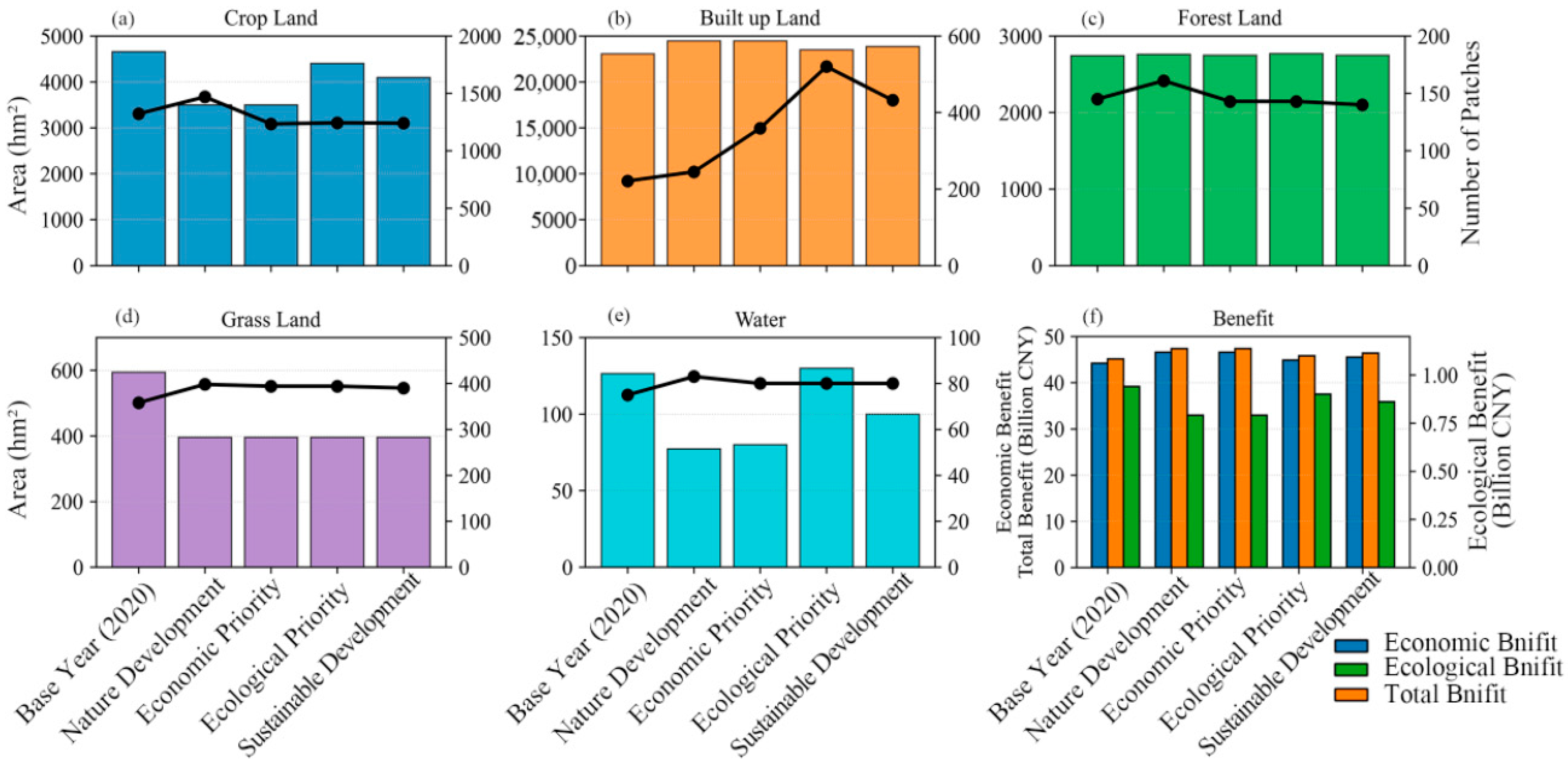
3.2. Land Use Optimization Under the Traditional Framework
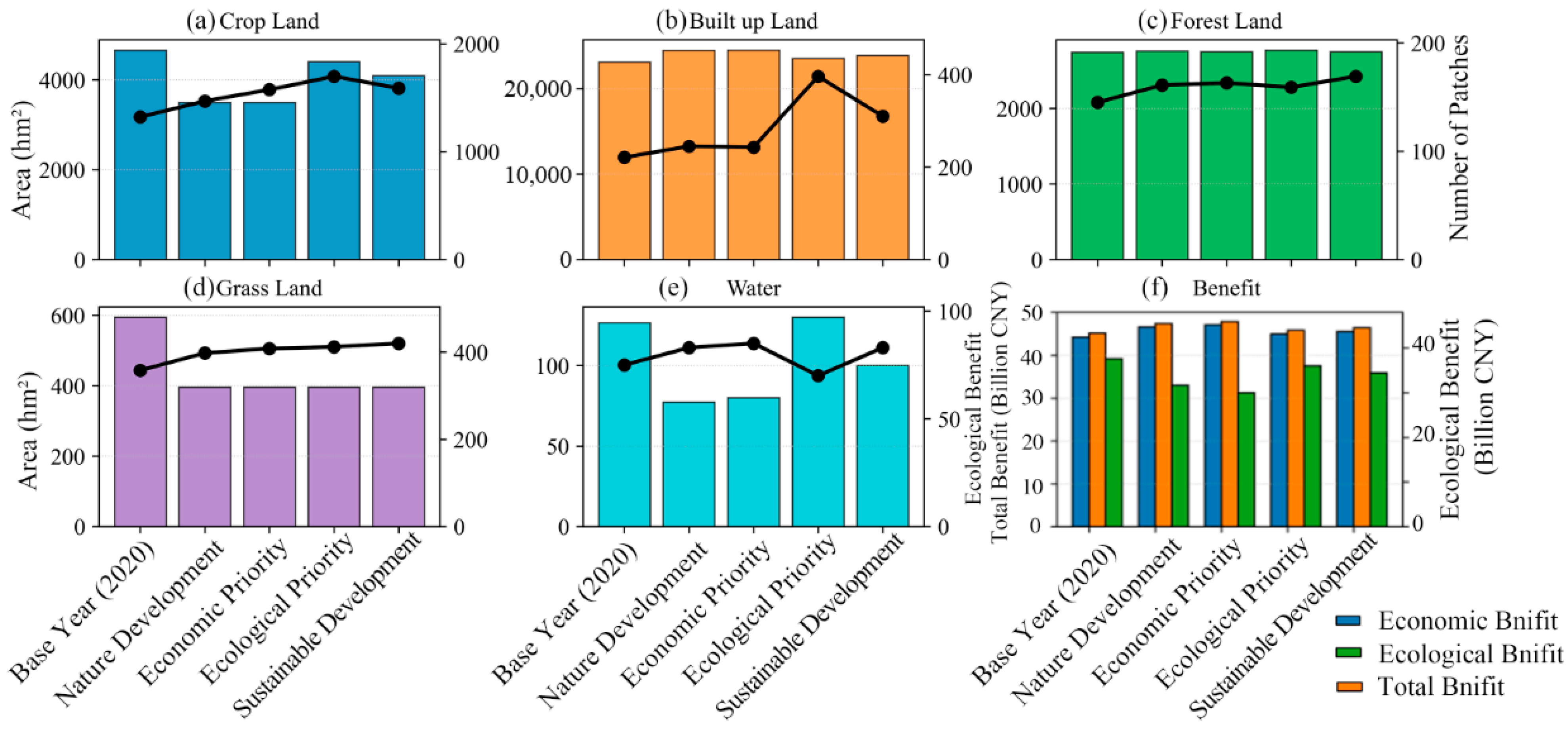
3.3. The Proposed Framework Achieves Similar Benefits with Lower Patch Fragmentation
4. Discussion
5. Conclusions
Supplementary Materials
Author Contributions
Funding
Institutional Review Board Statement
Informed Consent Statement
Data Availability Statement
Conflicts of Interest
References
- Costanza, R.; De Groot, R.; Sutton, P.; Van der Ploeg, S.; Anderson, S.J.; Kubiszewski, I.; Farber, S.; Turner, R.K. Changes in the global value of ecosystem services. Glob. Environ. Change 2014, 26, 152–158. [Google Scholar] [CrossRef]
- Brander, L.M.; De Groot, R.; Schägner, J.P.; Guisado-Goñi, V.; Van’t Hoff, V.; Solomonides, S.; Thomas, R. Economic values for ecosystem services: A global synthesis and way forward. Ecosyst. Serv. 2024, 66, 101606. [Google Scholar] [CrossRef]
- Wang, W.; Jiao, L.; Jia, Q.; Liu, J.; Mao, W.; Xu, Z.; Li, W. Land use optimization modelling with ecological priority perspective for large-scale spatial planning. Sustain. Cities Soc. 2021, 65, 102575. [Google Scholar] [CrossRef]
- Zhang, J.; Li, S.; Lin, N.; Lin, Y.; Yuan, S.; Zhang, L.; Zhu, C. Spatial identification and trade-off analysis of land use functions improve spatial zoning management in rapid urbanized areas, China. Land Use Policy 2022, 116, 106058. [Google Scholar] [CrossRef]
- Ruiz-Agudelo, C.A.; Suarez, A.; Gutiérrez-Bonilla, F.D.P.; Cortes-Gómez, A.M. The economic valuation of ecosystem services in Colombia. Challenges, gaps and future pathways. J. Environ. Econ. Policy 2023, 12, 285–304. [Google Scholar] [CrossRef]
- Xiao, J.; Zhang, Y.; Xu, H. Response of ecosystem service values to land use change, 2002–2021. Ecol. Indic. 2024, 160, 111947. [Google Scholar] [CrossRef]
- Liu, X.; Liang, X.; Li, X.; Xu, X.; Ou, J.; Chen, Y.; Pei, F. A future land use simulation model (FLUS) for simulating multiple land use scenarios by coupling human and natural effects. Landsc. Urban Plan. 2017, 168, 94–116. [Google Scholar] [CrossRef]
- Liang, X.; Guan, Q.; Clarke, K.C.; Liu, S.; Wang, B.; Yao, Y. Understanding the drivers of sustainable land expansion using a patch-generating land use simulation (PLUS) model: A case study in Wuhan, China. Comput. Environ. Urban. 2021, 85, 101569. [Google Scholar] [CrossRef]
- Shaygan, M.; Alimohammadi, A.; Mansourian, A.; Govara, Z.S.; Kalami, S.M. Spatial multi-objective optimization approach for land use allocation using NSGA-II. IEEE J. Sel. Top. Appl. Earth Obs. Remote Sens. 2013, 7, 906–916. [Google Scholar] [CrossRef]
- Gao, P.; Wang, H.; Cushman, S.A.; Cheng, C.; Song, C.; Ye, S. Sustainable land-use optimization using NSGA-II: Theoretical and experimental comparisons of improved algorithms. Landsc. Ecol. 2021, 36, 1877–1892. [Google Scholar] [CrossRef]
- Liu, H.; Yan, F.; Tian, H. Towards low-carbon cities: Patch-based multi-objective optimization of land use allocation using an improved non-dominated sorting genetic algorithm-II. Ecol. Indic. 2022, 134, 108455. [Google Scholar] [CrossRef]
- Fu, H.; Liang, Y.; Chen, J.; Zhu, L.; Fu, G. A new framework of land use simulation for land use benefit optimization based on GMOP-PLUS model—A case study of Haikou. Land 2024, 13, 1257. [Google Scholar] [CrossRef]
- Zhang, Y.; Zheng, M.; Qin, B. Optimization of spatial layout based on ESV-FLUS model from the perspective of “Production-Living-Ecological”: A case study of Wuhan City. Ecol. Model. 2023, 481, 110356. [Google Scholar] [CrossRef]
- McGarigal, K.; Cushman, S.A.; Neel, M.C.; Ene, E. FRAGSTATS: Spatial Pattern Analysis Program for Categorical Maps; University of Massachusetts: Amherst, MA, USA, 2002; Available online: https://www.researchgate.net/publication/259011515_FRAGSTATS_Spatial_pattern_analysis_program_for_categorical_maps (accessed on 12 August 2025).
- Meng, F.; Zhou, Z.; Zhang, P. Multi-objective optimization of land use in the Beijing–Tianjin–Hebei region of China based on the GMOP-PLUS coupling model. Sustainability 2023, 15, 3977. [Google Scholar] [CrossRef]
- Luan, C.; Liu, R.; Zhang, Q.; Sun, J.; Liu, J. Multi-objective land use optimization based on integrated NSGA–II–PLUS model: Comprehensive consideration of economic development and ecosystem services value enhancement. J. Clean. Prod. 2024, 434, 140306. [Google Scholar] [CrossRef]
- Li, C.; Wu, Y.; Gao, B.; Zheng, K.; Wu, Y.; Li, C. Multi-scenario simulation of ecosystem service value for optimization of land use in the Sichuan-Yunnan ecological barrier, China. Ecol. Indic. 2021, 132, 108328. [Google Scholar] [CrossRef]
- Li, K.; Elsayed, S.; Sarker, R.; Essam, D. Multiple landscape measure-based approach for dynamic optimization problems. Swarm Evol. Comput. 2024, 88, 101578. [Google Scholar] [CrossRef]
- Huo, J.; Shi, Z.; Zhu, W.; Xue, H.; Chen, X. A multi-scenario simulation and optimization of land use with a Markov–FLUS coupling model: A case study in Xiong’an New Area, China. Sustainability 2022, 14, 2425. [Google Scholar] [CrossRef]
- Zhang, Y.; Naerkezi, N.; Zhang, Y.; Wang, B. Multi-scenario land use/cover change and its impact on carbon storage based on the coupled GMOP-PLUS-InVEST model in the Hexi Corridor, China. Sustainability 2024, 16, 1402. [Google Scholar] [CrossRef]
- Moein, M.; Asgarian, A.; Sakieh, Y.; Soffianian, A. Scenario-based analysis of land-use competition in central Iran: Finding the trade-off between urban growth patterns and agricultural productivity. Sustain. Cities Soc. 2018, 39, 557–567. [Google Scholar] [CrossRef]
- Mitchell, M.G.; Suarez-Castro, A.F.; Martinez-Harms, M.; Maron, M.; McAlpine, C.; Gaston, K.J.; Rhodes, J.R. Reframing landscape fragmentation’s effects on ecosystem services. Trends Ecol. Evol. 2015, 30, 190–198. [Google Scholar] [CrossRef]
- Kerr, B.; Remmel, T.K. Activity-based measures of landscape fragmentation. Landsc. Ecol. 2024, 39, 198. [Google Scholar] [CrossRef] [PubMed]
- Peng, J.; Liu, Y.; Corstanje, R.; Meersmans, J. Promoting sustainable landscape pattern for landscape sustainability. Landsc. Ecol. 2021, 36, 1839–1844. [Google Scholar] [CrossRef]
- Salviano, I.R.; Gardon, F.R.; dos Santos, R.F. Ecological corridors and landscape planning: A model to select priority areas for connectivity maintenance. Landsc. Ecol. 2021, 36, 3311–3328. [Google Scholar] [CrossRef]
- Wang, Z.; Zhong, A.; Li, Q. Optimization of Land Use Structure Based on the Coupling of GMOP and PLUS Models: A Case Study of Lvliang City, China. Land 2024, 13, 1335. [Google Scholar] [CrossRef]
- Zhu, Y.; Zhou, M. Optimization of land use structure integrating ecosystem service function and economic development—A case study in Dongting Lake Ecological and Economic Zone, China. Environ. Sustain. Indic. 2025, 26, 100604. [Google Scholar] [CrossRef]
- Liu, P.; Hu, Y.; Jia, W. Land use optimization research based on FLUS model and ecosystem services–setting Jinan City as an example. Urban Clim. 2021, 40, 100984. [Google Scholar] [CrossRef]
- Li, X.; Xu, H.; Ma, X.; Huang, Y. A two-step spatially explicit optimization approach of integrating ecosystem services (ES) into land use planning (LUP) to generate the optimally sustainable schemes. Land Degrad. Dev. 2023, 34, 2508–2522. [Google Scholar] [CrossRef]
- McGarigal, K.; Tagil, S.; Cushman, S.A. Surface metrics: An alternative to patch metrics for the quantification of landscape structure. Landsc. Ecol. 2009, 24, 433–450. [Google Scholar] [CrossRef]
- McGarigal, K. FRAGSTATS Help; University of Massachusetts: Amherst, MA, USA, 2015; pp. 1–182. [Google Scholar]
- Rahman, M.M.; Szabó, G. Multi-objective urban land use optimization using spatial data: A systematic review. Sustain. Cities Soc. 2021, 74, 103214. [Google Scholar] [CrossRef]
- Liu, Y.; Jing, Y.; Han, S. Multi-scenario simulation of land use/land cover change and water yield evaluation coupled with the GMOP-PLUS-InVEST model: A case study of the Nansi Lake Basin in China. Ecol. Indic. 2023, 155, 110926. [Google Scholar] [CrossRef]
- Tang, H.; Halike, A.; Yao, K.; Wei, Q.; Yao, L.; Tuheti, B.; Duan, Y. Ecosystem service valuation and multi-scenario simulation in the Ebinur Lake Basin using a coupled GMOP-PLUS model. Sci. Rep. 2024, 14, 5071. [Google Scholar] [CrossRef]
- Liu, J.; Hou, X.; Wang, Z.; Shen, Y. Study the effect of industrial structure optimization on urban land-use efficiency in China. Land Use Policy 2021, 105, 105390. [Google Scholar] [CrossRef]
- Tu, Y.; Wu, S.; Chen, B.; Weng, Q.; Bai, Y.; Yang, J.; Xu, B. A 30 m annual cropland dataset of China from 1986 to 2021. Earth Syst. Sci. Data 2024, 16, 2297–2316. [Google Scholar] [CrossRef]
- Zhang, B.; Tang, X.; Cui, J.; Cai, L. Characteristics of Ecosystem Services in Megacities Within the Yellow River Basin, Analyzed Through a Resilience Perspective: A Case Study of Xi’an and Jinan. Sustainability 2025, 17, 3371. [Google Scholar] [CrossRef]
- Forman, R.T.T. Urban Ecology: Science of Cities; Cambridge University Press: Cambridge, UK, 2014. [Google Scholar] [CrossRef]
- Pauleit, S.; Zölch, T.; Hansen, R.; Randrup, T.B.; van den Bosch, C.K. Nature-based solutions and climate change—Four shades of green. Urban For. Urban Green. 2019, 38, 383–391. [Google Scholar] [CrossRef]
- Li, X.; Fu, J.; Jiang, D.; Lin, G.; Cao, C. Land use optimization in Ningbo City with a coupled GA and PLUS model. J. Clean. Prod. 2022, 375, 134004. [Google Scholar] [CrossRef]
- Haddad, N.M.; Brudvig, L.A.; Clobert, J.; Davies, K.F.; Gonzalez, A.; Holt, R.D.; Townshend, J.R. Habitat fragmentation and its lasting impact on Earth’s ecosystems. Sci. Adv. 2015, 1, e1500052. [Google Scholar] [CrossRef] [PubMed]
- Drechsler, M. Ecological and economic trade-offs between amount and spatial aggregation of conservation and the cost-effective design of coordination incentives. Ecol. Econ. 2023, 213, 107948. [Google Scholar] [CrossRef]
- Gu, T.; Tong, Y.; Wang, S.; You, Z.; Li, D.; Jiang, Y.; Zhang, Q. Identifying the priority areas for ecological protection considering ecological connectivity and ecosystem integrity: A case study of Xianyang City, China. Ecol. Indic. 2024, 163, 112102. [Google Scholar] [CrossRef]
- Qu, S.; Han, L.; Li, L. Regional responses of ecosystem service security to land use changes and driving mechanisms: Insights from nearly 40 years of observations in Shaanxi, China. J. Environ. Chem. Eng. 2025, 13, 116224. [Google Scholar] [CrossRef]
- Lin, Z.; Peng, S.; Ma, D.; Shi, S.; Zhu, Z.; Zhu, J.; Huang, B. Patterns of change, driving forces and future simulation of LULC in the Fuxian Lake Basin based on the IM-RF-Markov-PLUS framework. Sustain. Futures 2024, 8, 100289. [Google Scholar] [CrossRef]







| Traditional Framework | Proposed Framework | |||
|---|---|---|---|---|
| Optimization Objective | Decision Variables | Optimization Objective | Decision Variables | |
| Scenario 1 | / | / | / | / |
| Scenario 2 | Maximize EB | The area for each land use type | Maximize EB and minimize PD | The number and mean area of land use patches for each land use type |
| Scenario 3 | Maximize ESV | Maximize ESV and minimize PD | ||
| Scenario 4 | Maximize EB, maximize ESV | Maximize EB, maximize ESV, and minimize PD | ||
| Land Use Type | Method for Calculating Economic Benefit Coefficient | Unit Area Ecosystem Service Value | Predicted Economic Benefit Coefficient for Target Year (10,000 CNY/hm2) | Predicted Ecological Benefit Coefficient for Target Year (10,000 CNY/hm2) |
|---|---|---|---|---|
| Cropland | Agricultural output value/cropland area | 9.54 | 15.58 | 11.53 |
| Forest land | Forestry output value/forest land area | 21.85 | 6.54 | 13.13 |
| Grassland | Animal husbandry output value/grassland area | 7.24 | 27.27 | 3.11 |
| Water | Fishery output value (freshwater products)/water area | 45.97 | 1.49 | 15.69 |
| Built-up land | (Industrial + service industry) output value/built-up land area | / | 186.92 | 0 |
| 2000 | 2010 | 2020 | |||||||
|---|---|---|---|---|---|---|---|---|---|
| Number of Patch | Mean Patch Area (ha) | Total Area (ha) | Number of Patch | Mean Patch Area (ha) | Total Area (ha) | Number of Patch | Mean Patch Area (ha) | Total Area (ha) | |
| Crop Land | 1391 | 6.30 | 8761.95 | 1416 | 4.29 | 6079.23 | 1421 | 3.28 | 4654.32 |
| Forest Land | 240 | 10.87 | 2609.01 | 223 | 12.04 | 2685.33 | 159 | 17.25 | 2742.6 |
| Grassland | 605 | 2.12 | 1280.34 | 598 | 1.73 | 1032.21 | 554 | 1.07 | 594.45 |
| Water | 151 | 1.20 | 181.62 | 169 | 1.52 | 257.04 | 96 | 1.32 | 126.45 |
| Built-up Land | 974 | 18.84 | 18,350.55 | 753 | 28.06 | 21,130.11 | 521 | 44.26 | 23,056.92 |
Disclaimer/Publisher’s Note: The statements, opinions and data contained in all publications are solely those of the individual author(s) and contributor(s) and not of MDPI and/or the editor(s). MDPI and/or the editor(s) disclaim responsibility for any injury to people or property resulting from any ideas, methods, instructions or products referred to in the content. |
© 2025 by the authors. Licensee MDPI, Basel, Switzerland. This article is an open access article distributed under the terms and conditions of the Creative Commons Attribution (CC BY) license (https://creativecommons.org/licenses/by/4.0/).
Share and Cite
Liu, Y.; Sun, J.; Wang, D.; Cao, S.; Sang, G. Incorporating the Number of Patches into an Integrated Land Use Optimization Framework: Toward Sustainable Land Use Configurations in Urbanizing Basins. Sustainability 2025, 17, 9810. https://doi.org/10.3390/su17219810
Liu Y, Sun J, Wang D, Cao S, Sang G. Incorporating the Number of Patches into an Integrated Land Use Optimization Framework: Toward Sustainable Land Use Configurations in Urbanizing Basins. Sustainability. 2025; 17(21):9810. https://doi.org/10.3390/su17219810
Chicago/Turabian StyleLiu, Yang, Jiazheng Sun, Dalong Wang, Shengle Cao, and Guoqing Sang. 2025. "Incorporating the Number of Patches into an Integrated Land Use Optimization Framework: Toward Sustainable Land Use Configurations in Urbanizing Basins" Sustainability 17, no. 21: 9810. https://doi.org/10.3390/su17219810
APA StyleLiu, Y., Sun, J., Wang, D., Cao, S., & Sang, G. (2025). Incorporating the Number of Patches into an Integrated Land Use Optimization Framework: Toward Sustainable Land Use Configurations in Urbanizing Basins. Sustainability, 17(21), 9810. https://doi.org/10.3390/su17219810
