Contextualizing Radon Mitigation into Healthy and Sustainable Home Design in the Commonwealth of Kentucky: A Conjoint Analysis
Abstract
1. Introduction


1.1. Health-Related Home Design Attributes
1.2. Non-Health-Related Home Design Attributes
2. Method
2.1. Attribute Identification and Experimental Design
2.2. Data Collection and Analysis
3. Results
4. Study Limitations
5. Conclusions
Author Contributions
Funding
Institutional Review Board Statement
Informed Consent Statement
Data Availability Statement
Acknowledgments
Conflicts of Interest
References
- Wu, P.-Y.; Johansson, T.; Sandels, C.; Mangold, M.; Mjörnell, K. Indoor radon interval prediction in the Swedish building stock using machine learning. Build. Environ. 2023, 245, 110879. [Google Scholar] [CrossRef]
- Mansour, O.E. Re-Examining the Efficacy of Radon Mitigation Systems in Single-Family Dwellings: A Pilot Study. In Proceedings of the Zero Energy Mass Custom Home International Conference, ZEMCH 2021, Dubai, United Arab Emirates, 26–28 October 2021; Zero Energy Mass Custom Home ZEMCH: Dubai, United Arab Emirates, 2022; pp. 626–647. [Google Scholar]
- Pacheco-Torgal, F. Indoor radon: An overview on a perennial problem. Build. Environ. 2012, 58, 270–277. [Google Scholar] [CrossRef]
- EPA. Radon Reference Manual; EPA 5201/1-87-20; Office of Radiation Program: Washington, DC, USA, 1987. [Google Scholar]
- Rey, J.F.; Licina, D.; Pernot, J.G. Performance evaluation of radon measurement techniques in single-family homes. Indoor Environ. 2025, 2, 100087. [Google Scholar] [CrossRef]
- Liu, Y.; Fu, C.; Li, Y.; Xu, W.; Huang, Z.; Xu, Y. Uncovering hidden dangers in urban housing: Sources of indoor radon and associated health risks. J. Environ. Manag. 2025, 387, 125899. [Google Scholar] [CrossRef]
- Stanifer, S.R.; Rayens, M.K.; Wiggins, A.; Hahn, E.J. Social determinants of health, environmental exposures and home radon testing. West. J. Nurs. Res. 2021, 44, 636–642. [Google Scholar] [CrossRef]
- Cori, L.; Curzio, O.; Donzelli, G.; Bustaffa, E.; Bianchi, F. A systematic review of radon risk perception, awareness, and knowledge: Risk communication Options. Sustainability 2022, 14, 10505. [Google Scholar] [CrossRef]
- Adesina, K.E.; Specht, A.J.; Olaniyan, S.D.; Ignatius, C.; Idowu, O.P.; Jubril, R.D.; Hamzat, T.T.; Ndoma, E.G.; Olatunji, O. Residential and occupational exposure to indoor radon and associated human health risk in Nigeria buildings assessed by multiple monitoring techniques. Sci. Total Environ. 2025, 981, 179478. [Google Scholar] [CrossRef]
- World Population Review. Radon Levels by State 2025. Available online: https://worldpopulationreview.com/state-rankings/radon-levels-by-state (accessed on 25 January 2025).
- Khan, S.M.; Gomes, J.; Krewski, D.R. Radon interventions around the globe: A systematic review. Heliyon 2019, 5, e01737. [Google Scholar] [CrossRef]
- Hahn, E.J.; Haneberg, W.C.; Stanifer, S.R.; Rademacher, K.; Backus, J.; Rayens, M.K. Geologic, seasonal, and atmospheric predictors of indoor home radon values. Environ. Res. Health 2023, 1, 025011. [Google Scholar] [CrossRef]
- Stanifer, S.R.; Rayens, M.K.; Wiggins, A.; Gross, D.; Hahn, E.J. Home Radon Testing in Rural Appalachia. J. Rural Health 2020, 38, 251–261. [Google Scholar] [CrossRef]
- Haneberg, W.C.; Wiggins, A.; Curl, D.C.; Greb, S.F.; Andrews, W.M., Jr.; Rademacher, K.; Rayens, M.K.; Hahn, E.J. A Geologically Based Indoor-Radon Potential Map of Kentucky. GeoHealth 2020, 4, e2020GH000263. [Google Scholar] [CrossRef]
- Al Horr, Y.; Arif, M.; Kaushik, A.; Mazroei, A.; Katafygiotou, M.; Elsarrag, E. Occupant productivity and office indoor environment quality: A review of the literature. Build. Environ. 2016, 105, 369–389. [Google Scholar] [CrossRef]
- Loftness, V.; Hakkinen, B.; Adan, O.; Nevalainen, A. Elements that contribute to healthy building design. Environ. Health Perspect. 2007, 115, 965–970. [Google Scholar] [CrossRef]
- Awada, M.; Becerik-Gerber, B.; White, E.; Hoque, S.; O’NEill, Z.; Pedrielli, G.; Wen, J.; Wu, T. Occupant health in buildings: Impact of the COVID-19 pandemic on the opinions of building professionals and implications on research. Build. Environ. 2022, 207, 108440. [Google Scholar] [CrossRef]
- Heidari, L.; Younger, M.; Chandler, G.; Gooch, J.; Schramm, P. Integrating health into buildings of the future. J. Sol. Energy Eng. 2016, 139, 010802. [Google Scholar] [CrossRef]
- Wu, J.; Cao, M.; Tong, D.; Finkelstein, Z.; Hoek, E.M.V. A critical review of point-of-use drinking water treatment in the United States. NPJ Clean Water 2021, 4, 40. [Google Scholar] [CrossRef]
- Ortiz, M.A.; Kurvers, S.R.; Bluyssen, P.M. A review of comfort, health, and energy use: Understanding daily energy use and wellbeing for the development of a new approach to study comfort. Energy Build. 2017, 152, 323–335. [Google Scholar] [CrossRef]
- Liu, G.; Ye, K.; Tan, Y.; Huang, Z.; Li, X. Factors influencing homeowners’ housing renovation decision-making: Towards a holistic understanding. Energy Build. 2022, 25, 111568. [Google Scholar] [CrossRef]
- Galster, G.; Lee, K.O. Housing affordability: A framing, synthesis of research and policy, and future directions. Int. J. Urban Sci. 2021, 25 (Suppl. S1), 7–58. [Google Scholar] [CrossRef]
- Sunikka-Blank, M.; Galvin, R. Irrational homeowners? How aesthetics and heritage values influence thermal retrofit decisions in the United Kingdom. Energy Res. Soc. Sci. 2016, 11, 97–108. [Google Scholar] [CrossRef]
- White, E.M.; Leefers, L.A. Influence of natural amenities on residential property values in a rural setting. Soc. Nat. Resour. 2007, 20, 659–667. [Google Scholar] [CrossRef]
- Musa, U.; Yusoff, W. Impact of Neighborhood Characteristics on Residential Property Values: A Critical Review of Literature. Int. Rev. Soc. Sci. 2015, 3, 147–155. [Google Scholar]
- McCord, M.J.; Davis, P.T.; Bidanset, P.; McCluskey, W.; McCord, J.; Haran, M.; MacIntyre, S. House prices and neighbourhood amenities: Beyond the norm? Int. J. Hous. Mark. Anal. 2018, 11, 263–289. [Google Scholar] [CrossRef]
- Eggers, F.; Sattler, H.; Teichert, T.; Völckner, F. Choice-based conjoint analysis. In Handbook of Market Research; Springer: Cham, Switzerland, 2021; pp. 781–819. [Google Scholar]
- Alves, S.; Aspinall, P.A.; Ward Thompson, C.; Sugiyama, T.; Brice, R.; Vickers, A. Preferences of older people for environmental attributes of local parks: The use of choice-based conjoint analysis. Facilities 2008, 26, 433–453. [Google Scholar] [CrossRef]
- Zieba, M.; Belniak, S.; Gluszak, M. Demand for sustainable office space in Poland: The results from a conjoint experiment in Krakow. Prop. Manag. 2013, 31, 404–419. [Google Scholar] [CrossRef]
- Mansour, O.E.; Radford, S.K. Rethinking the environmental and experiential categories of sustainable building design: A conjoint analysis. Build. Environ. 2016, 98, 47–54. [Google Scholar] [CrossRef]
- Orme, B. Estimating willingness to pay (wtp) given competition in conjoint analysis. In Proceedings of the Sawtooth Software Conference, San Antonio, TX, USA, 22–23 April 2021. [Google Scholar]
- Alriksson, S.; Öberg, T. Conjoint analysis for environmental evaluation: A review of methods and applications. Environ. Sci. Pollut. Res. 2008, 15, 244–257. [Google Scholar] [CrossRef]
- Rice, L.; Drane, M. Indicators of healthy architecture—A systematic literature review. J. Urban Health 2020, 97, 899–911. [Google Scholar] [CrossRef]
- Orme, B.; Howell, J. Application of Covariates Within Sawtooth Software’s CBC/HB Program: Theory and Practical Example; Sawtooth Software Research Paper Series; Sawtooth Software: Sequim, WA, USA, 2009; pp. 1–20. [Google Scholar]
- Chiu, R.L.H. Socio-cultural sustainability of housing: A conceptual exploration. Hous. Theory Soc. 2004, 21, 65–76. [Google Scholar] [CrossRef]
- Rijnaard, M.D.; van Hoof, J.; Janssen, B.M.; Verbeek, H.; Pocornie, W.; Eijkelenboom, A.; Beerens, H.C.; Molony, S.L.; Wouters, E.J.M. The factors influencing the sense of home in nursing homes: A systematic review from the perspective of residents. J. Aging Res. 2016, 2016, 6143645. [Google Scholar] [CrossRef]
- Tham, K.W. Indoor air quality and its effects on humans—A review of challenges and developments in the last 30 years. Energy Build. 2016, 130, 637–650. [Google Scholar] [CrossRef]
- Amada, K.; Fang, L.; Vesth, S.; Tanabe, S.-I.; Olesen, B.W.; Wargocki, P. A method for testing the gas-phase air cleaners using sensory assessments of air quality. Build. Environ. 2024, 259, 111630. [Google Scholar] [CrossRef]
- Guyot, G.; Sherman, M.H.; Walker, I.S. Smart ventilation energy and indoor air quality performance in residential buildings: A review. Energy Build. 2018, 165, 416–430. [Google Scholar] [CrossRef]
- Bogatu, D.-I.; Shinoda, J.; Aguilera, J.J.; Olesen, B.W.; Watanabe, F.; Kaneko, Y.; Kazanci, O.B. Human physiology for personal thermal comfort-based HVAC control—A review. Build. Environ. 2023, 240, 110418. [Google Scholar] [CrossRef]
- Zhao, H.; Ji, W.; Deng, S.; Wang, Z.; Liu, S. A review of dynamic thermal comfort influenced by environmental parameters and human factors. Energy Build. 2024, 318, 114467. [Google Scholar] [CrossRef]
- Schweiker, M. Rethinking Resilient Thermal Comfort Within the Context of Human-Building Resilience. In Routledge Handbook of Resilient Thermal Comfort; Routledge: London, UK, 2022; pp. 23–38. [Google Scholar]
- Schweiker, M.; Brasche, S.; Bischof, W.; Hawighorst, M.; Wagner, A. Explaining the individual processes leading to adaptive comfort: Exploring physiological, behavioural and psychological reactions to thermal stimuli. J. Build. Phys. 2013, 36, 438–463. [Google Scholar] [CrossRef]
- Seyedrezaei, M.; Awada, M.; Becerik-Gerber, B.; Lucas, G.; Roll, S. Interaction effects of indoor environmental quality factors on cognitive performance and perceived comfort of young adults in open plan offices in North American Mediterranean climate. Build. Environ. 2023, 244, 110743. [Google Scholar] [CrossRef]
- Nelson, T.N.T.; Poleacovschi, C.; Ikuma, K.; García, I.; Weems, C.F.; Rehmann, C.R.; Estes, K. Knowledge–behavior gap in tap water consumption in puerto rico: Implications for water utilities. ASCE OPEN Multidiscip. J. Civ. Eng. 2023, 1, 04023001. [Google Scholar] [CrossRef]
- Gunko, R.; Rapeli, L.; Scheinin, M.; Vuorisalo, T.; Karell, P. How accurate is citizen science? Evaluating public assessments of coastal water quality. Environ. Policy Gov. 2022, 32, 149–157. [Google Scholar] [CrossRef]
- Sobsey, M.D.; Stauber, C.E.; Casanova, L.M.; Brown, J.M.; Elliott, M.A. Point of use household drinking water filtration: A practical, effective solution for providing sustained access to safe drinking water in the developing world. Environ. Sci. Technol. 2008, 42, 4261–4267. [Google Scholar] [CrossRef]
- Da Silva, M.B.C.; Giacometti Valente, M.; Petroli, A.; Detoni, D.; Milan, G.S. Perceived quality of built environment, service, satisfaction and value in use, in the context of residential buildings. J. Facil. Manag. 2020, 18, 451–468. [Google Scholar] [CrossRef]


| Main Attributes | Levels of Attributes | ||
|---|---|---|---|
| Level 1 | Level 2 | Level 3 | |
| Air Cleanliness | A house with indoor air quality lesser than your current house; there is a potential of high level of indoor radon and history of harmful construction materials | A house with indoor air quality similar to your current house | A house with indoor air quality better than your current house; the house is mitigated against radon gas; the house is built with healthy construction materials |
| Thermal Comfort | A house that provides you with less thermal comfort than your current house; it is not well insulated, with lower-quality heating and cooling systems | A house that provides you with thermal comfort similar to your current house | A house that provides you with better thermal comfort than your current house and is well insulated, with higher-quality heating and cooling systems |
| Water Quality | A house with drinking water quality less than your current house | A house with drinking water quality similar to your current house | A house with drinking water quality better than your current house |
| House Size (square footage) | Smaller-sized house; it has the same number of rooms, bathrooms, and service spaces, with less total square footage | Same-sized house; it has the same number of rooms, bathrooms, and service spaces, with total square footage similar to your current house | Bigger-sized house; it has the same number of rooms, bathrooms, and service spaces, with more total square footage |
| Building Style | A house that is designed with materials, colors, and style less desirable to you than your current house | A house that is designed with materials, colors, and style desirable to you same as your current house | A house that is designed with materials, colors, and style more desirable to you than your current house |
| Neighborhood Quality | A house located in a neighborhood with open spaces, sidewalks, and landscape design quality less than your current neighborhood | A house located in a neighborhood with open spaces, sidewalks, and landscape design quality similar to your current neighborhood | A house located in a neighborhood with open spaces, sidewalks, and landscape design quality better than your current neighborhood |
| Mitigated Houses N = 79 | Non-Mitigated Houses N = 150 | ||||
|---|---|---|---|---|---|
| Frequency | Percentage | Frequency | Percentage | ||
| Gender | |||||
| Male | 58 | 73.4% | 94 | 62.7% | |
| Female | 21 | 26.6% | 56 | 37.3% | |
| 79 | 100 | 150 | 100 | ||
| Age | |||||
| 18–30 | 8 | 10.1% | 27 | 18.0% | |
| 31–40 | 35 | 44.4% | 65 | 43.3% | |
| 41–50 | 22 | 27.8% | 46 | 30.7% | |
| 51–60 | 14 | 17.7% | 12 | 8.0% | |
| >60 | 0 | 0.0% | 0 | 0.0% | |
| Prefer not to answer | 0 | 0.0% | 0 | 0.0% | |
| 79 | 100 | 150 | 100 | ||
| Design Attribute | Average Importance for Mitigated House Occupants (N = 79) | Average Importance for Non-Mitigated House Occupants (N = 150) | Average Importance for Mitigated and Non-Mitigated House Occupants (N = 229) |
|---|---|---|---|
| Clean Indoor Air | 45.00 | 33.97 | 38.83 |
| Thermal Comfort | 11.38 | 15.16 | 13.58 |
| Water Quality | 11.91 | 16.77 | 14.75 |
| House Size | 16.35 | 19.14 | 18.29 |
| Building Style | 9.03 | 8.74 | 8.34 |
| Neighborhood Quality | 6.32 | 6.21 | 6.21 |
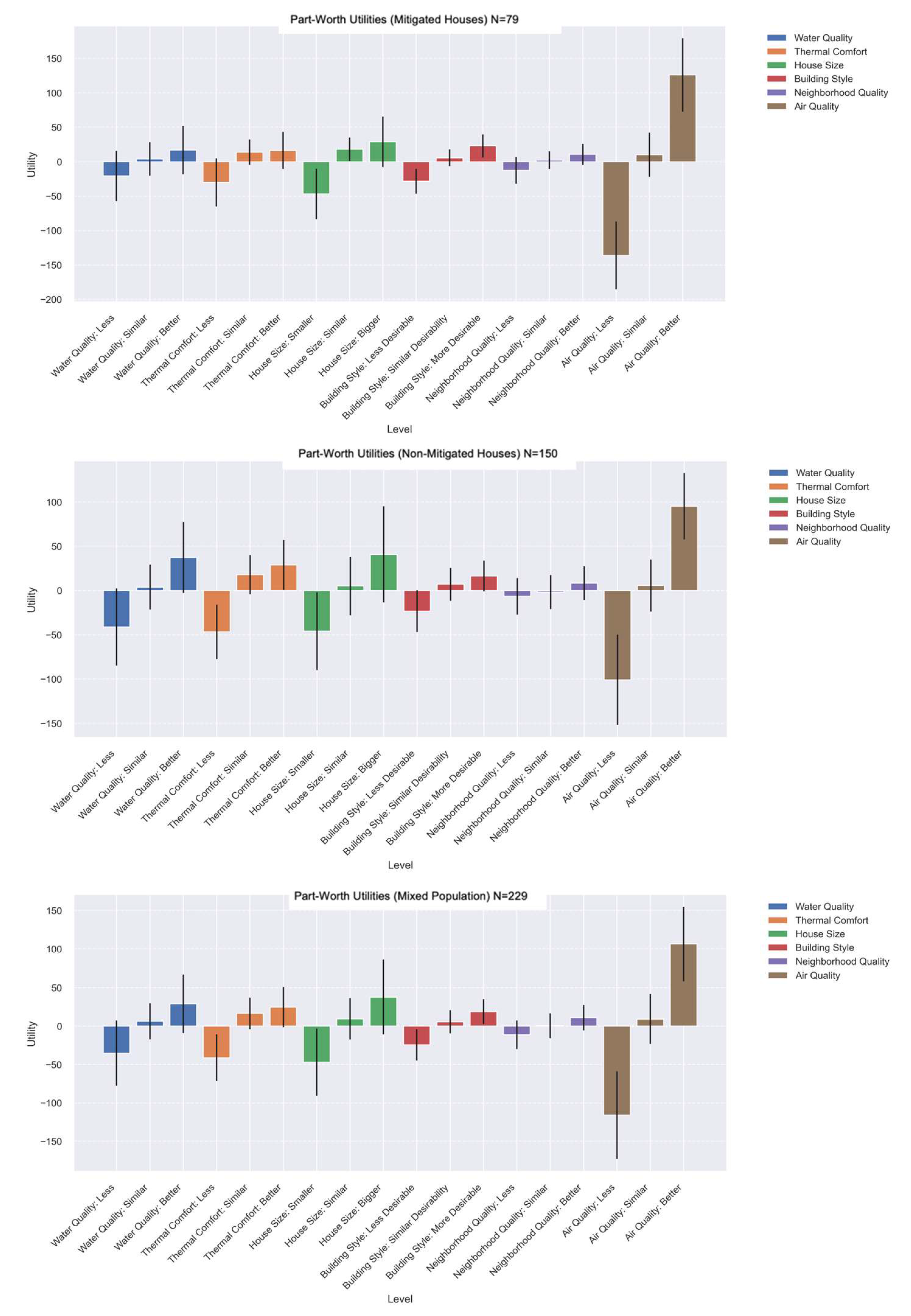
| Mitigated Houses N = 79 | Non-Mitigated Houses N = 150 | Combined N = 229 | |||||
|---|---|---|---|---|---|---|---|
| Attribute | Level | Average Utilities | Relative Importance | Average Utilities | Relative Importance | Average Utilities | Relative Importance |
| Clean Indoor Air | High | 126.11 | 45.01% | 95.13 | 33.97% | 106.65 | 38.83% |
| Medium | 10.09 | 5.64 | 9.18 | ||||
| Low | −136.2 | −100.76 | −115.82 | ||||
| Thermal Comfort | High | 16.40 | 11.38% | 28.83 | 15.16% | 24.71 | 13.58% |
| Medium | 13.67 | 17.84 | 16.50 | ||||
| Low | −30.07 | −46.68 | −41.21 | ||||
| Water Quality | High | 16.87 | 11.91% | 37.38 | 16.77% | 29.09 | 14.75% |
| Medium | 3.98 | 3.85 | 6.21 | ||||
| Low | −20.85 | −41.23 | −35.31 | ||||
| House Size | High | 28.88 | 16.35% | 40.77 | 19.14% | 37.68 | 18.29% |
| Medium | 18.04 | 5.14 | 9.33 | ||||
| Low | −46.92 | −45.91 | −47.01 | ||||
| Building Style | High | 22.94 | 9.03% | 16.37 | 8.74% | 18.88 | 8.34% |
| Medium | 5.61 | 6.99 | 5.59 | ||||
| Low | −28.55 | −23.35 | −24.46 | ||||
| Neighborhood Quality | High | 58.83 | 6.32% | 27.44 | 6.22% | 10.95 | 6.21% |
| Medium | 2.11 | −1.71 | 0.42 | ||||
| Low | −12.66 | −6.53 | −11.36 | ||||
Disclaimer/Publisher’s Note: The statements, opinions and data contained in all publications are solely those of the individual author(s) and contributor(s) and not of MDPI and/or the editor(s). MDPI and/or the editor(s) disclaim responsibility for any injury to people or property resulting from any ideas, methods, instructions or products referred to in the content. |
© 2025 by the authors. Licensee MDPI, Basel, Switzerland. This article is an open access article distributed under the terms and conditions of the Creative Commons Attribution (CC BY) license (https://creativecommons.org/licenses/by/4.0/).
Share and Cite
Mansour, O.E.; Cing, L.; Mansour, O. Contextualizing Radon Mitigation into Healthy and Sustainable Home Design in the Commonwealth of Kentucky: A Conjoint Analysis. Sustainability 2025, 17, 6543. https://doi.org/10.3390/su17146543
Mansour OE, Cing L, Mansour O. Contextualizing Radon Mitigation into Healthy and Sustainable Home Design in the Commonwealth of Kentucky: A Conjoint Analysis. Sustainability. 2025; 17(14):6543. https://doi.org/10.3390/su17146543
Chicago/Turabian StyleMansour, Osama E., Lydia (Niang) Cing, and Omar Mansour. 2025. "Contextualizing Radon Mitigation into Healthy and Sustainable Home Design in the Commonwealth of Kentucky: A Conjoint Analysis" Sustainability 17, no. 14: 6543. https://doi.org/10.3390/su17146543
APA StyleMansour, O. E., Cing, L., & Mansour, O. (2025). Contextualizing Radon Mitigation into Healthy and Sustainable Home Design in the Commonwealth of Kentucky: A Conjoint Analysis. Sustainability, 17(14), 6543. https://doi.org/10.3390/su17146543

