Abstract
Exploiting clay for brick production results in soil damage. There are no field evaluations for its recovery with organic amendments comprising biochar. We conducted a small-scale experiment to assess the recovery effects of soil using biochar, both alone and in combination with compost. On a remnant of soil from clay mining, we applied the following to plots of 2.25 m2 in a randomized complete block design: (1) biochar + efficient microorganisms (EMs), (2) compost + EMs, (3) compost + biochar + EMs, and (4) a control group without amendments. Composite soil samples from each plot were collected at the beginning of the experiment and at 30, 120, and 210 days. We analyzed some physicochemical properties of the soil and recorded the number and morphotypes of seedlings. We found that biochar + EMs and biochar + compost + EMs had positive effects in the short term, particularly in reducing bulk density. No synergistic effect was observed between biochar and compost, contrary to what was expected, which may be due to the short term of the experiment and prevailing low temperatures. The compost + EM treatment resulted in greater seedling diversity. In conclusion, bulk density can be used as an early indicator of soil improvement when biochar alone or combined with compost is used. Biochar may be a striking solution for promoting sustainable soil management after clay mining in high-elevation conditions.
1. Introduction
The mining for bricks used in buildings and home construction has negative impacts on air quality, nearby water sources, and soil health [1,2,3], and, as in other mining activities, it can degrade the soil and reduce microbially favorable conditions [4,5,6]. The altered physicochemical soil conditions limit the development of vegetation after mining. To ensure the sustainable reclamation of mine soils, it is crucial to establish a consistent plant cover that prevents soil erosion and promotes long-term soil development [7]. However, most research on recovered mined soils has focused on the benefits of the application of biochar and compost for mined soils contaminated with metals [8,9,10,11], neglecting the physical and chemical soil properties for the establishment of plants. The use of these amendments is broad, because they are relatively inexpensive, easy to apply, can be produced in large quantities [12], and could help recover degraded soil for the initial establishment of vegetation. These amendments aid in soil stabilization, helping to restore soil structure and fertility [8,13].
Compost is a humus-like product, generated from the aerobic decomposition of organic waste; it is a low-cost option that enhances soil fertility and plant growth, removes pathogens and weed seeds, reduces soil erosion, and is a nutrient source for sustainable revegetation in degraded soils [14]. But it requires multiple applications due to its fast decomposition [15,16]. The impact of compost on soil characteristics depends on its composition, which in turn is influenced by the feedstock used, composting conditions, and the duration of the composting process [15]. Some studies have suggested that the effects of compost on soil may be influenced by soil type [17], but more evidence is necessary. Additionally, numerous works about compost have primarily concentrated on the agronomic assessment, microbial contamination, and nutrient content of compost [17,18,19].
Biochar is a product of the pyrolysis of organic matter and wastes at high temperatures, in the oxygen deficiency condition [17], and it is known to improve the physicochemical and microbiological characteristics of soil [18,19] while remaining stable for decades [14,19]. Like compost, the properties of biochar also change according to feedstock and pyrolysis conditions [13,20]. Biochar use has shown improvements in soil bioremediation, crop production, and carbon sequestration, particularly on agricultural soils [9]. Studies show that using biochar and compost together enhances soil properties and supports plant growth better than using them individually [21,22] and can also promote nitrogen fixation [23]. Research on biochar and compost has primarily focused on soils impacted by metal extraction, with less attention given to South America and high-elevation areas. Several studies have reported the synergistic effects of combining biochar and compost on soil properties and plant growth, although the primary focus has been on agronomic outcomes [24,25,26].
Effective microorganisms (EMs) are a mixture of coexisting acid lactic bacteria, photosynthetic bacteria, actinomycetes, and yeasts [27,28], isolated from naturally fertile soils, that can have beneficial effects on soils, water, and plants [29]. Lactic acid bacteria can suppress harmful microorganisms and increase the decomposition of organic matter. Actinomycetes and photosynthetic bacteria can act synergistically in increasing anti-microbial activity and thus enhancing soil quality. Yeasts synthetize substances that are useful for other EMs, such as lactic acid bacteria and actinomycetes [30]. When EMs are applied with organic matter, they contribute to releasing nutrients that can be used by plants and other microorganisms [28]. Although most studies reveal a positive effect of EMs for the soil and plants, some do not show any effect [30,31].
There is limited knowledge about the effects of applying biochar and compost in field conditions for soil recovery after clay exploitation in tropical regions, particularly in colder climates. This study aimed to determine the most effective organic treatment (biochar, compost, and biochar + compost, with EMs) for improving soil affected by open mining for brick manufacturing. It is expected that the combination of these two amendments will have a higher effect on improving soil properties, due to its synergic effect when they are mixed. Although this study contributes to restoring soil and native vegetation before mining, its results could be considered for restoring soils degraded by agriculture.
2. Materials and Methods
2.1. Study Area
This study was conducted at the Arcillas La Futuro brickyard, located on the outskirts of Cogua, Cundinamarca, from April to November 2022. This brickyard was established 30 years ago and is situated at coordinates 5°03′04″ N and 73°58′15″ W. It processes approximately 3500 tons of material every three months. The site is at 2630 m in elevation, and the annual temperature ranges from 6 °C to 19 °C. During the rainy seasons, which occur from May to April and October to December, precipitation levels vary between 46 mm and 192 mm, accompanied by significant daily temperature fluctuations. The average relative humidity is 80.15% [32]. The soil in the area is acidic, with moderate pedogenetic and structural development. It originates from the accumulation of fluvial and lacustrine sediments, primarily consisting of lacustrine clays, gravel, fine sands, and organic sands from flood deposits in the region. The presence of fine particles contributes to the soil’s low permeability, which facilitates the accumulation of water. This results in permanent humidity conditions that increases soil erosion during periods of heavy precipitation. The vegetation corresponds to low-montane humid forest (bh-MB), but currently introduced species such as Pennisetum clandestinum, Eucalyptus globulus, and Cupressus lusitanica predominate and native species such as Cedrela montana, Sambucus peruviana, and Salix humboldtiana [33].
2.2. Experiment
An experiment was conducted in an area that was previously used for clay extraction at a brickyard, which has an approximate slope of 4%. The site features some scattered vegetation, primarily grasses and shrubs from the Poaceae and Asteraceae families. The experiment was designed using a randomized complete block design, with four treatments and five repetitions by treatment. The purpose was to evaluate, on soil after clay extraction, the effect of the application of a mixture of biochar and compost, which has improved soil quality in several studies [21,25,26]. Thus, each of the amendments was also applied alone to elucidate the contribution of each one separately. The addition of EMs to the amendments was to contribute to microbial colonization with beneficial genera for improving the soil quality, nutrient cycling, and plant establishment. The treatments included the following:
- BEM—Biochar (B) derived from pine wood (Cupressus sp.) at a rate of 12 tons per hectare, combined with effective microorganisms (EMs);
- CEM—Commercial compost (C) at a rate of 12 tons per hectare, also combined with Ems;
- BCEM—A mixture of both amendments, consisting of 50% biochar and 50% compost, along with Ems;
- Control (CT)—A group without any amendments or EMs added.
The control without any addition of amendments or EMs was included to show the effect of not making any intervention to the soil after clay extraction. The biochar was obtained by pyrolyzing the pine wood at 500 °C for one hour. Then it was crushed up to a size of approximately 2 cm. The physicochemical characteristics of the biochar obtained, and compost bought at a commercial company located in Bogota, are presented in Table 1.
Table 1.
Initial physicochemical characteristics of the experimental soil and of the amendments used in the experiment: commercial conventional compost and biochar. CEC = cation exchange capacity.
The EM used in the experiment was a commercial product containing a mixture of Lactobacillus casei (1.0 × 106 CFU/mL), Saccharomyces cerevisiae (2.0 × 104 CFU/mL), and Rodopseudomonas palustris (2.5 × 106 CFU/mL). The EM was diluted in proportions of 1:10 with 5 L of clean water, as recommended by the manufacturer, before being mixed with each amendment. The application of EM has been shown to have positive effects on phosphorus (P) and nitrogen (N) fixation processes, contributing to soil water retention and creating better conditions for plant development [29,30].
Twenty plots, each approximately 2.25 m2 in size, were established. Prior to the application of the treatments, a composite soil sample weighing about 500 g was collected from each plot. This composite sample comprised five subsamples collected from each corner and the center of the plot. The samples were sent to the laboratory for the analysis of the soil’s physicochemical properties.
The organic matter content was determined using the ignition loss method (muffle drying at 550 °C for 2 h) and weighed with an Ohaus digital scale, accurate to 0.00134 [34]. Soil moisture was measured using the gravimetric method (oven drying at 105 °C for 24 h) and weighed with an Ohaus digital scale, accurate to 0.001 g. Soil texture was analyzed using the hydrometer method of Bouyoucos, with a solution of sodium tripolyphosphate and sodium carbonate, and then it was determined using the United States Department of Agriculture (USDA) texture classes [35]. pH was assessed at a 1:1 ratio in deionized water [35]. The size distribution of soil aggregates was quantified by screening dry soil with sieves of 1.180 mm, 600 µm, 300 µm, and 54 µm. Electrical conductivity was measured with a multiparameter waterproof meter using a 1:1 ratio in deionized water [36]. Actual density (AD) was determined using the pycnometer method [37], while bulk density (BD) was measured using the cylinder method as described by [38]. Soil porosity was calculated based on these density measurements, following [34].
After the soil analysis, the averages of the physicochemical characteristics of the soil samples taken before amendments’ application were calculated from the five plots with each treatment. These averages are shown in Table 2. The soil texture was determined as clay loam.
Table 2.
Average ± standard deviation of soil properties measured before the amendments’ application to the plots. The average was calculated from the data obtained from five plots of each treatment. OM = organic matter, BD = bulk density, AD = actual density, EC = electric conductivity.
After the amendments were applied, the added amendments were mixed into the soil within the 0–15 cm layer of each plot. Soil samples were collected at 30, 120, and 210 days following the application of the amendments to monitor changes in the soil. These samples were analyzed in the laboratory for their physicochemical properties.
All naturally regenerating seedlings were counted and classified into different morphotypes at 30, 120, and 210 days of sampling. Each plot was subdivided into four equal sections to facilitate this process through direct observation. Since the seedlings were only 10–15 cm tall and lacked reproductive structures, they could not be identified taxonomically. Instead, the various seedlings were classified based on distinct morphological characteristics, resulting in the identification of different morphotypes. Shannon and Simpson plant diversity indices were calculated at the morphotype level.
2.3. Statistical Analysis
Data normality was assessed using the Shapiro–Wilk test, while homoscedasticity was evaluated using Levene’s test. Since the data did not meet the assumptions of normality and homoscedasticity, non-parametric methods were employed. To compare the physicochemical properties of the soil across different treatments, the Repeated Measures Friedman test was applied, which is suitable for dependent data collected at multiple time points. When significant differences were detected with the Friedman test, a post hoc Wilcoxon test was conducted to identify specific differences between treatments [39]. Additionally, the Shannon and Simpson diversity indices were compared using 95% confidence intervals [40]. To assess the similarity in plant seedling composition among treatments, a Bray–Curtis similarity analysis was performed [41]. All analyses were conducted using Past software version 4.16, with a significance level of 0.05.
3. Results
The soil properties assessed before applying the treatments are shown in Table 1. These data show the initial conditions of the soil from the physicochemical variables evaluated before the application of the treatments.
The results of the variables measured for each treatment, considering all the evaluated times (30, 120 and 210 days) after the treatments’ application, are presented in Table 3. The average values of the variables vary little among the treatments. However, the variability is relatively high within each treatment, except for pH, organic matter, bulk density and actual density. This variability might not allow one to find significant differences among treatments. The source of this variability is probably associated with site conditions and changes at the different evaluated times. Some variables fluctuated between evaluation times (30, 120, and 210 days), and no clear pattern was found over time in the measured physicochemical variables.
Table 3.
Average ± standard deviation of soil properties measured after the amendments’ application to the plots. The average was calculated from the data obtained from five plots of each treatment and the evaluated times (30, 120, and 210 days). BEM = biochar + effective microorganisms, CEM = compost + effective microorganisms, BCEM = biochar + compost + effective microorganisms, CT = control, OM = organic matter, AD = actual density, EC = electric conductivity.
In assessing various treatments’ effects on soil properties over time, bulk density was the only physicochemical characteristic that significantly differed between the treatments (see Figure 1, p < 0.05). Specifically, bulk density was lower in the BEM and BCEM treatments—without significant differences between them—compared to CEM and CT.
Figure 1.
Change in the bulk density of the soil under the different treatments, before (0 days) and 30, 120, and 210 days after the application of organic amendments. CT: control, BEM: biochar + effective microorganisms, CEM: compost + effective microorganisms, BEM: biochar + compost + effective microorganisms. *: treatments that show significant differences, considering all temporal evaluations of bulk density.
A total of 1587 seedlings and 32 seedling morphotypes were recorded throughout the experiment. The abundance of seedlings was significantly higher (p < 0.05) for the control plots (517) and for those in which BCEM was added to the soil (504) than with the application of the amendments separately. A lower number of seedlings (about 50%) was found when adding BEM (204) and CEM (315 seedlings). Additionally, the total number of different morphotypes of seedlings found in the plots with BCEM (15) and CT (17) was approximately double those found in the plots with the BEM (8) and CEM (11) treatments.
The evaluation of seedling abundance indicated that the BEM treatment did not promote the establishment of seedlings; in fact, it led to a reduction compared to the control group (Figure 2). Conversely, the CEM treatment clearly supports the establishment of seedlings, with a greater abundance observed at 210 days in both the CEM and BCEM treatments. Notably, seedling abundance in the CEM treatment was 2.5% higher than in the BCEM treatment. The increase in seedling abundance related to CT with the application of CEM and BCEM was 21.6% and 18.1% higher, respectively. Furthermore, the impact of the treatments on seedling abundance became substantially evident after a period of 30 days (Figure 2).
Figure 2.
The total abundance of seedlings registered in the five plots under each treatment for 30, 120, and 210 days after the treatments’ application. CT: control, BEM: biochar + effective microorganisms, CEM: compost + effective microorganisms, BCEM: biochar + compost + effective microorganisms.
Diversity, measured by the evenness of seedling morphotypes, was found to be significantly greater with the use of the CEM treatment, showing values very similar to those observed with BCEM (Figure 3A). This resulted in a lower dominance of morphotypes for both the CEM and BCEM treatments, with no significant differences between the two treatments (Figure 3B). Additionally, the Shannon index was highest for the treatments with respect to the control. On the contrary, the addition of BEM generated greater dominance and less evenness, thus reducing the diversity of seedlings compared to the other treatments and even concerning the control (Figure 3A,B).

Figure 3.
Shannon (A) and Simpson (B) diversity index and 95% confidence intervals for seedling morphotypes under the different treatments, at the end of the experiment (210 days after their application). CT: control, BEM: biochar + effective microorganisms, CEM: compost + effective microorganisms, BCEM: biochar + compost + effective microorganisms.
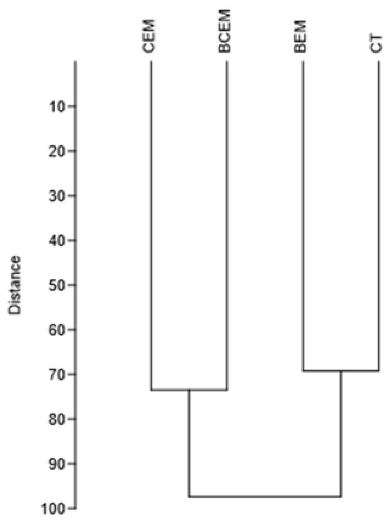
The results indicated a high similarity for seedling morphotypes between the treatments, approximately 70%. Two distinct groups of treatments were identified (Figure 4), CEM and BCEM, which exhibited significant similarities to one another (73%). In contrast, the BEM treatment was more similar to CT (69%). It is to be remarked on that 37.5% of morphotypes were common across all the treatments, while 25% were exclusive to a single treatment.
Figure 4.
Organization of treatments in groups according to the abundance and the different morphotypes of seedlings found, considering all the seedlings found during the experiment. CT: control, BEM: biochar + effective microorganisms, CEM: compost + effective microorganisms, BCEM: biochar + compost + effective microorganisms.
Considering all the reported results, the addition of biochar—either alone or with compost and effective microorganisms—has a slight effect, but short in time, on certain physical aspects of the soil, such as bulk density. In contrast, the combination of compost and effective microorganisms leads to improvements in biological aspects of the soil, resulting in a greater abundance and diversity of seedling morphotypes. This underscores the importance of evaluating the physical, chemical, and biological aspects of soil to gain a comprehensive understanding of how organic amendments contribute to soil restoration.
4. Discussion
Based on the soil properties assessed before applying the treatments (Table 1), the soil in the study area is strongly acidic [36,42]. It has a medium organic matter content [39] and a substantial proportion of small-sized aggregates. The bulk density is higher than what would typically correspond to clayey soil (1.0–1.2 g/cm3) and is slightly elevated for a sandy clay loam texture (1.45–1.55 g/cm3) [43,44]. The higher bulk density indicates compacted soil, which is associated with a lower pore space, looseness, and fertility [36] and poorer conditions for plant growth and soil organisms. Therefore, as bulk density affects other soil properties, it is a critical physical property which affects others and can be used as an indicator of soil’s physical health [45,46]. The actual density of the soil before the application was very low, with values below 2.4 g/cm3 [44], and it exhibited a low porosity. The porosity is estimated on average to be around 58% for clay soils and 55% for sandy clay loam soils [47]. The found values of approximately 30% (Table 1) indicate an important reduction in porosity.
There was a slight improvement in bulk density of about 0.2 g/cm3 with the BEM addition, suggesting better, well-aerated, porous soils supporting root growth and drainage [47]. Relating to soil bulk density, the reduction found in the present experiment is consistent with findings from previous studies about biochar [48,49] and is likely due to mixing the mineral soil with lower-density organic material such as biochar [50,51]. Although the generally positive effects of biochar on soil’s physicochemical and biological properties and plant growth are well documented [18,19,52], there is evidence that shows no response of soil variables to its application [51,53]. The absence of changes in other soil physicochemical characteristics in the present study could be due to the short-term duration of the experiment. However, it gives a basis for proposing biochar use in soil rehabilitation after clay mining in tropical high elevations.
Although bulk density improved with the addition of biochar, there was no effect on the diversity of natural seedlings. A higher seedling diversity than the control’s was registered with the addition of biochar and biochar + poultry manure in quarry soil in Ghana [48], and a meta-analysis reports a positive response of plants to biochar amendment [54]. However, there is evidence that biochar alone does not affect vegetation growth and may need additional amendments [55]. Thus, the result on plants can be site-dependent. Moreover, biochar is very stable over time [14,22], which could be reinforced by the low prevalent temperature at the high elevation of the present experiment not favoring the generation of physicochemical changes in the soil important for the establishment of plants. Also, the observed declination pattern in seedling abundance on plots with the BEM treatment may be explained by biochar’s high carbon content and low nitrogen levels, which can immobilize nitrogen and hinder or even delay the establishment of plants, as suggested by [26].
About compost, the soil treatment adding only CEM did not show any effect on the measured physicochemical properties of the soil. However, CEM favors the establishment of seedlings, as a greater abundance of them was found at 210 days, a 2.5% greater increase than with the BCEM treatment even. Also, seedling diversity showed Shannon values between 2 to 10 times higher than other longer studies using biochar in temperate regions [38] and compost/biosolids in tropical areas [56,57]. The increase in seedling abundance with CEM and BCEM applications for clay-mined soils has not been reported previously. This is consistent with other studies in which a higher plant abundance was found when applying compost for ornamental plants in pots or biochar and compost for metal decontamination after Cu mining [58,59]. On the other hand, the high diversity of plants in the CEM treatment shows a similarity with the results reported using compost and a combination of biochar and organic amendment, the application of a higher proportion of compost to sterile substrate (in a 1:2 ratio) on brick exploitation soil [57], and using biochar + poultry manure on degraded limestone quarry soil in Ghana [48].
CEM promotes the establishment of seedlings. A greater abundance of plants—approximately 2.5% more—was observed with CEM compared to the BCEM treatment. The increase in seedling abundance with CEM and BCEM applications for clay-mined soils has not been reported previously. This is consistent with other studies in which a higher plant abundance was found when applying compost or a mixture of biochar and compost [58,59]. On the other hand, the high diversity of plants in the CEM treatment shows similarity with the results reported using compost and a combination of biochar and organic amendment [51,57] and presented Shannon index values between 2 to 10 times higher than other prolonged studies using biochar in temperate regions [38] and compost/biosolids in tropical areas [48,57].
The volunteer vegetation found in plots is mainly herbaceous and capable of establishing itself in degraded poor-nutrient soils without superficial horizons [55]. The relatively high proportion of shared morphotypes of the volunteer seedlings between CEM and BCEM indicates that the seedlings responded positively to changes resulting from the addition of compost. This similarity found in the present experiment (73%) is higher than reported by other studies (40%) using other amendments (sterile material + biosolids) for the soil rehabilitation of a quarry at a high tropical elevation [56]. Plant–soil feedback is valuable for soil rehabilitation [60]. In degraded mine lands, nutrient scarcity and low organic matter levels limit the potential for plant communities’ growth [61]. The addition of organic substances such as compost seeks to reduce this nutrient limitation, and the mixture of efficient microorganisms supplies nitrogen and facilitates the establishment of other microbial organisms and seedlings [62]. These mechanisms help to explain the higher abundance and diversity of seedlings in plots with compost (alone or in combination with biochar) incorporated into the soil. Thus, there is still a need for more field trials in different conditions, including tropical ones, for evaluating the appropriate biochar + compost-to-soil ratio and to demonstrate its long-term effectiveness [62].
The BCEM addition slightly decreases the bulk density by 0.2 g/cm3. This suggests that biochar in the BCEM treatment generates a reduction in bulk density, since the application of compost did not show significant differences with the control in soil density. This finding is consistent with previous studies about biochar + compost [63,64]. In the present study, no synergistic effect on soil properties was observed when biochar and compost were applied, contrary to findings from other studies [9,25,26] and the working hypotheses. This lack of synergy may be attributed to the short duration of the experiment and the prevalent low temperatures, which hindered the decomposition of the compost. To improve the benefits of biochar, it might be more effective to co-compost the biochar before its application rather than simply mixing them, as suggested by [28]. Indeed, the co-composted biochar has a high performance in some GEI emissions’ reduction [65] and in improving soil properties and plant growth [18,19,65]. These benefits are more sustainable in the long term, without some adverse biochar effects when it is applied alone [56]. Thus, there is a need for further field trials in various conditions, including tropical environments, to evaluate the optimal biochar and compost-to-soil ratio and to assess its long-term effectiveness [66].
Considering the process of plant colonization, one would expect to see a progressive increase in plant abundance over time [59]. However, this study shows a reduction in the number of individuals at 120 days. This decline may be due to heavy rainfall during this period, which caused the accumulation of water in the treated plots. Increasing the amount of biochar applied to the soil, within the range of 10–20 t/ha, may enhance the establishment of seedlings, as indicated by the study conducted by [38] in a Canadian metal mine. The optimal biochar dosages of 20–30 t/ha for revegetation are suggested by [67]. The above highlights the importance of conducting more studies to define the appropriate dose of biochar, one which simultaneously favors the establishment of vegetation and a sustainable recovery of soil affected by mining. This may differ depending on the characteristics of the biochar and the environmental conditions.
5. Conclusions
The present study demonstrates biochar’s potential (alone or combined with compost) as a sustainable strategy for improving some physical soil properties in the short term, after clay mining in high-elevation conditions. The bulk density reduction serves as an early indicator of soils’ improvement and of the restoration of their ecological functions. Compost + biochar, too, plays an important role in the recovery of these soils, by promoting the establishment of plants, which in turn supports the recovery of the soil. This field experimental approach lays the groundwork for restoring tropical high-elevation soils affected by open-pit clay extraction, which was not previously evaluated with these amendments. This is important because effective revegetation can enable the land to be used for recreational purposes and, when conditions are suitable, support agriculture or forestry. The use of a mixture of these amendments has great potential for improving the sustainability of agricultural systems by enhancing crop yields, improving soil health, and reducing the demand for chemical fertilizer inputs. To maximize the benefits of biochar, future research must prioritize its application across a range of soil types and varying climatic conditions. In that sense, biochar may be a striking solution for promoting sustainable soil management.
Author Contributions
J.C.P.H. and A.V. contributed to the study conception and design. Material preparation, data collection, and analysis were performed by J.C.P.H., J.V., J.S., J.P. (Javier Peña), P.P. and J.P. (Janis Pinilla). Statistical analyses were performed by J.P. (Javier Peña) and A.V. Data curation was undertaken by A.V. The first draft of the manuscript was written by J.C.P.H., A.V., J.V., J.S., J.P. (Javier Peña), P.P. and J.P. (Janis Pinilla). Writing—review and editing was carried out by A.V. Project administration and funding acquisition was performed by A.V. All authors have read and agreed to the published version of the manuscript.
Funding
This research was funded by Pontificia Universidad Javeriana (project ID 20537).
Institutional Review Board Statement
Not applicable.
Informed Consent Statement
Not applicable.
Data Availability Statement
Data available on request from the corresponding author.
Acknowledgments
The authors would like to acknowledge Pontificia Universidad Javeriana for providing financial support for this research. Also, thanks to the brickyard Arcillas La Futuro for providing access to its property for the experimental arrangement and to the biologist Johana Lizeth Tinjacá from the Cogua Mayor’s Office for her interest and collaboration in establishing contact with the brickyard. Of course, the authors also express their gratitude to the anonymous reviewers who contributed with their comments to improve this paper.
Conflicts of Interest
The authors declare no conflicts of interest. The funders had no role in the design of the study; in the collection, analyses, or interpretation of data; in the writing of the manuscript; or in the decision to publish the results.
References
- Haque, S.E.; Shahriar, M.M.; Nahar, N.; Haque, M.S. Impact of brick kiln emissions on soil quality: A case study of Ashulia brick kiln cluster, Bangladesh. Environ. Chall. 2022, 9, 100640. [Google Scholar] [CrossRef]
- Madavi, A.B. Environmental Impact of Bricks Making Process in Umbraj and Masur Area. In Environment Conservation, Challenges Threats in Conservation of Biodiversity; Barwant, M.M., Nanam, V.K., Eds.; Scieng Publications: Marakkanam, India, 2022; Volume III, pp. 196–202. [Google Scholar]
- Worlanyo, A.S.; Jiangfeng, L. Evaluating the environmental and economic impact of mining for post-mined land restoration and land-use: A review. J. Environ. Manag. 2021, 279, 111623. [Google Scholar] [CrossRef] [PubMed]
- Mao, Z.; Harris, J.; Zhang, Z. Responses of natural microorganisms to land reclamation and applications of functional microorganisms in biorestoration of coal mining area. Diversity 2024, 16, 86. [Google Scholar] [CrossRef]
- Hu, X.F.; Jiang, Y.; Shu, Y.; Hu, X.; Liu, L.; Luo, F. Effects of mining wastewater discharges on heavy metal pollution and soil enzyme activity of the paddy fields. J. Geochem. Explor. 2014, 147, 139–150. [Google Scholar] [CrossRef]
- Xu, Z.; Zhang, L.; Gao, Y.; Tan, X.; Sun, Y.; Chen, W. Effects of coal mining activities on the changes in microbial community and geochemical characteristics in different functional zones of a deep underground coal mine. Water 2024, 16, 1836. [Google Scholar] [CrossRef]
- Juwarkar, A.A.; Yadav, S.K.; Thawale, P.R.; Kumar, P.; Singh, S.K.; Chakrabarti, T. Developmental strategies for sustainable ecosystem on mine spoil dumps: A case of study. Environ. Monit. Assess. 2009, 157, 471–481. [Google Scholar] [CrossRef]
- Lebrun, M.; Miard, F.; Nandillon, R.; Scippa, G.S.; Bourgerie, S.; Morabito, D. Biochar effect associated with compost and iron to promote Pb and As soil stabilization and Salix viminalis L. growth. Chemosphere 2019, 222, 810–822. [Google Scholar] [CrossRef]
- Quian, S.; Zhou, X.; Fu, Y.; Song, B.; Yan, H.; Chen, Z.; Sun, Q.; Ye, H.; Qin, L.; Lai, C. Biochar-compost as a new option for soil improvement: Application in various problem soils. Sci. Total Environ. 2023, 870, 15013–15032. [Google Scholar] [CrossRef]
- Lebrun, M.; Miard, F.; Hattab-Hambli, N.; Scippa, G.S.; Bourgerie, S.; Morabito, D. Effect of different tissue biochar amendments on As and Pb stabilization and phytoavailability in a contaminated mine technosol. Sci. Total Environ. 2020, 707, 135657. [Google Scholar] [CrossRef]
- Zeng, Y.; Farooq, T.H.; Yuan, C.; Li, W.; Farooq, A.; Wang, G.; Fang, Y.; Wang, J.; Yan, W. Organic-based remediation of heavy metal-contaminated soils in the Taojia river basin affected by long-term non-ferrous mining and logging activities. Front. Plant Sci. 2025, 16, 1486575. [Google Scholar] [CrossRef]
- Asensio, V.; Vega, F.A.; Covelo, F. Changes in the phytoavailability of nutrients in mine soils after planting trees and amending with wastes. Water Air Soil Pollut. 2014, 225, 995. [Google Scholar] [CrossRef]
- Varkolu, M.; Gundekari, S.; Palla, V.C.; Kumar, P.; Bhattacharjee, S.; Vinodkumar, T. Recent advances in biochar production, characterization, and environmental applications. Catalysts 2025, 15, 243. [Google Scholar] [CrossRef]
- Sayara, T.; Hawamde, F.; Sánchez, A. Recycling of organic wastes through composting: Process performance and compost application in agriculture. Agronomy 2020, 10, 1838. [Google Scholar] [CrossRef]
- Azim, K.; Soudi, B.; Boukhari, S.; Perissol, C.; Roussos, C.; Thami Alami, I. Composting parameters and compost quality: A literature review. Org. Agr. 2018, 8, 141–158. [Google Scholar] [CrossRef]
- Thiery, E.; Brunschwig, G.; Veysset, P.; Mosnier, C. Estimation of short-and long-term floor and ceiling prices for manure in a crop and livestock farms exchange. Renew. Agric. Food Syst. 2023, 38, e21. [Google Scholar] [CrossRef]
- Sánchez-Monedero, M.A.; Cayuela, M.L.; Sánchez-García, M.; Vandecasteele, B.; D’Hose, T.; López, G.; Martínez-Gaitán, C.; Kuikman, P.J.; Sinicco, T.; Mondini, C. Agronomic evaluation of biochar, compost and biochar-blended compost across different cropping systems: Perspective from the European project FERTIPLUS. Agronomy 2019, 9, 225. [Google Scholar] [CrossRef]
- Kamali, M.; Sweygers, N.; Al-Salem, S.; Appels, L.; Aminabhavi, T.M.; Dewil, R. Biochar for soil applications-sustainability aspects, challenges and future prospects. Chem. Eng. J. 2022, 428, 131189. [Google Scholar] [CrossRef]
- Ahmad Bhat, S.; Kuriqi, A.; Dar, M.U.D.; Bhat, O.; Sammen, S.S.; Towfiqul Islam, A.R.M.; Elbeltagi, A.; Shah, O.; AI-Ansari, N.; Ali, R.; et al. Application of biochar for improving physical, chemical, and hydrological soil properties: A systematic review. Sustainability 2022, 14, 11104. [Google Scholar] [CrossRef]
- Nnadozie, E.C.; Ajibade, P.A. Isotherm, kinetics, thermo-dynamics studies and effects of carbonization temperature on adsorption of Indigo Carmine (IC) dye using C. odorata biochar. Chem. Data Collect. 2021, 33, 100673. [Google Scholar] [CrossRef]
- Garau, M.; Pinna, M.V.; Nieddu, M.; Castaldi, P.; Garau, G. Mixing compost and biochar can enhance the chemical and biological recovery of soils contaminated by potentially toxic elements. Plants 2024, 13, 284. [Google Scholar] [CrossRef]
- Ajibade, S.; Nnadozie, E.C.; Iwai, C.B.; Ghotekar, S.; Chang, S.W.; Ravindran, B.; Awasthi, M.K. Biochar-based compost: A bibliometric and visualization analysis. Bioengineered 2022, 3, 15013–15032. [Google Scholar] [CrossRef] [PubMed]
- Maftukhah, R.; Keiblinger, K.M.; Ngadisih, N.; Murtiningrum, M.; Kral, R.M.; Mentler, A.; Hood-Nowotny, R. Post-Tin-mining agricultural soil regeneration using local organic amendments improve nitrogen fixation and uptake in a legume–cassava intercropping system. Land 2023, 12, 1107. [Google Scholar] [CrossRef]
- Kaudal, B.B.; Weatherley, A.J. Agronomic effectiveness of urban biochar aged through co-composting with food waste. Waste Manag. 2018, 77, 87–97. [Google Scholar] [CrossRef] [PubMed]
- Vamvuka, D.; Esser, K.; Komnitsas, K. Investigating the suitability of grape husks biochar, municipal solid wastes compost and mixtures of them for agricultural applications to mediterranean soils. Resources 2020, 9, 33. [Google Scholar] [CrossRef]
- Sommerville, P.D.; Farrell, C.; May, P.B.; Livesley, S.J. Tree water use strategies and soil type determine growth responses to biochar and compost organic amendments. Soil Till. Res. 2019, 192, 12–21. [Google Scholar] [CrossRef]
- Joshi, H.; Somduttand, C.P.; Mundra, S.L. Role of Effective Microorganisms (EM) in sustainable agriculture. Int. J. Curr. Microbiol. App. Sci. 2019, 8, 172–181. [Google Scholar] [CrossRef]
- de Araujo Avila, G.M.; Gabardo, G.; Clock, D.C.; de Lima Junior, O.S. Use of efficient microorganisms in agriculture. Res. Soc. Dev. 2021, 10, e40610817515. [Google Scholar] [CrossRef]
- Higa, T.; Parr, J.F. Beneficial and Effective Microorganisms for Sustainable Agriculture and Environment; International Nature Farming Research Center: Atami, Japan, 1994; p. 4. [Google Scholar]
- Morocho, M.T.; Leiva-Mora, M. Efficient microorganisms, functional properties and agricultural applications. Cent. Agrícola 2019, 46, 93–103. [Google Scholar]
- Schenck zu Schweinsberg-Mickan, M.; Müller, T. Impact of effective microorganisms and other biofertilizers on soil microbial characteristics, organic-matter decomposition and plant growth. J. Plant Nutr. Soil Sci. 2009, 172, 704–712. [Google Scholar] [CrossRef]
- Weatherspark 2024. Available online: https://es.weatherspark.com/y/24295/Clima-promedio-en-Cogua-Colombia-durante-todo-el-a%C3%B1o (accessed on 23 October 2024).
- IGAC—Institute Geográfico Agustín Codazzi. Detailed Soil Survey in Flat Areas of Municipalities of Cogua, El Rosal, Nemocón, Subachoque, Suesca, Zipacón and Zipaquirá in the Department of Cundinamarca; Instituto Geográfico Agustín Codazzi: Bogotá, Colombia, 2013; pp. 70, 85, 96, 154. [Google Scholar]
- Andrades Rodríguez, M. Edaphology and Climatology Practices; University of la Rioja: Logroño, España, 2012; pp. 13–16, 19–22, 33–36. [Google Scholar]
- USDA Soil Science Division Staff. Soil survey manual. In Agriculture Handbook No. 18, 4th ed.; USDA: Washington, DC, USA, 2017; pp. 120–125. [Google Scholar]
- Cremona, M.V.; Enriquez, A.S. Some soil properties that condition its behaviour: pH and electric conductivity. Presencia 2020, 73, 5–8. [Google Scholar]
- Hao, X.; Ball, B.C.; Culley, J.B.L.; Cater, M.R.; Parkin, G.W. Soil density and porosity. In Soil Sampling and Methods of Analysis, 2nd ed.; Carter, M.R., Gregorich, E.G., Eds.; CRC Press: Boca Raton, FL, USA, 2008; pp. 749–751. [Google Scholar]
- Williams, J.M.; Thomas, S.C. Effects of high-carbon wood ash biochar on volunteer vegetation establishment and community composition on metal mine tailings. Restor. Ecol. 2022, 31, e13861. [Google Scholar] [CrossRef]
- Nikita, E. Statistical Methods in Human Osteology. In Osteoarchaeology. A Guide to the Macroscopic Study of Human Skeletal Remains, 1st ed.; Nikita, E., Ed.; Academic Press: London, UK, 2017; pp. 375–376. [Google Scholar]
- Moreno, C.E.; Barragán, F.; Pineda, E.; Pavón, N.P. Reanalyzing alpha diversity: Alternatives to understand and compare information about ecological communities. Rev. Mex. Biodivers. 2011, 82, 1249–1261. [Google Scholar]
- Moreno, C.E. Methods for biodiversity measurement. In M&T SEA, 1st ed.; Sociedad Entomológica Aragonesa: Zaragoza, España, 2001; Volume 1, pp. 41–46, 56–57. [Google Scholar]
- Weil, R.R.; Brady, N.C. The Nature and Properties of Soils, 15th ed.; Pearson Education, Inc.: Columbus, OH, USA, 2017; pp. 386–389. [Google Scholar]
- Pritchett, W. Forest Soils: Properties, Conservation and Improvement; Editorial Limusa S.A.: Ciudad de México, México, 1990; pp. 132–213. [Google Scholar]
- Porta, J.; López-Acevedo, M.; Roquero, C. Edaphology for Agriculture and Environment, 3rd ed.; Mundi-Prensa: Madrid, España, 2003; pp. 93–99. [Google Scholar]
- Panagos, P.; De Rosa, D.; Liakos, L.; Labouyrie, M.; Borrelli, P.; Ballabio, C. Soil bulk density assessment in Europe. Agric. Ecosyst. Environ. 2024, 364, 108907. [Google Scholar] [CrossRef]
- Shah, A.N.; Tanveer, M.; Shahzad, B.; Yang, G.; Fahad, S.; Ali, S.; Bukhari, M.A.; Tung, S.A.; Hafeez, A.; Souliyanonh, B. Soil compaction effects on soil health and crop productivity: An overview. Environ. Sci. Pollut. Res. 2017, 24, 10056–10067. [Google Scholar] [CrossRef]
- Fitzpatrick, E.A. Soils, Its Origin, Classification and Distribution; Compañía Editorial Compañia Editorial Continental, S.A.: Ciudad de México, México, 1987; p. 230. [Google Scholar]
- Adusu, D.; Abugre, S.; Dei-Kusi, D. Potential of biochar for minesoil amendment and floristic diversity enhancement at the Yongwa quarry site in the eastern region of Ghana. Agric. Sci. Dig. 2020, 41, 61–65. [Google Scholar] [CrossRef]
- Banu, M.R.; Rani, B.; Kavya, S.R.; Nihala Jabin, P.P. Biochar: A black carbon for sustainable agriculture. Int. J. Environ. Clim. Change 2023, 13, 418–432. [Google Scholar] [CrossRef]
- Haider, F.U.; Coulter, J.A.; Liqun, C.A.I.; Hussain, S.; Cheema, S.A.; Jun, W.U.; Zhang, R. An overview on biochar production, its implications, and mechanisms of biochar-induced amelioration of soil and plant characteristics. Pedosphere 2022, 32, 107–130. [Google Scholar] [CrossRef]
- Castellini, M.; Giglio, L.; Niedda, M.; Palumbo, A.D.; Ventrella, D. Impact of biochar addition on the physical and hydraulic properties of a clay soil. Soil Till. Res. 2015, 154, 1–13. [Google Scholar] [CrossRef]
- Anyebe, O.; Sadiq, F.K.; Manono, B.O.; Matsika, T.A. Biochar characteristics and application: Effects on soil ecosystem services and nutrient dynamics for enhanced crop yields. Nitrogen 2025, 6, 31. [Google Scholar] [CrossRef]
- Zhang, M.; Cheng, G.; Feng, H.; Sun, B.; Zhao, Y.; Chen, H.; Chen, J.; Dyck, M.; Wang, X.; Zhang, J.; et al. Effects of straw and biochar amendments on aggregate stability, soil organic carbon, and enzyme activities in the Loess Plateau, China. Environ. Sci. Pollut. Res. 2017, 24, 10108–10120. [Google Scholar] [CrossRef] [PubMed]
- Singh, H.; Northup, B.K.; Rice, C.W.; Prasad, P.V. Biochar applications influence soil physical and chemical properties, microbial diversity, and crop productivity: A meta-analysis. Biochar 2022, 4, 8. [Google Scholar] [CrossRef]
- Gundale, M.J.; Nilsson, M.C.; Pluchon, N.; Wardle, D.A. The effect of biochar management on soil and plant community properties in a boreal forest. Glob. Change Biol. Bioenergy 2016, 8, 777–789. [Google Scholar] [CrossRef]
- Ochoa-Carreño, A.C.; Barrera-Cataño, J.I. Effect of the application of biosolids on the development of vegetation in the first successional stages, in the Soratama quarry, Usaquén, Bogotá. Univ. Sci. 2007, 12, 57–72. [Google Scholar]
- Gutiérrez Acevedo, E.; Cortés Pérez, F.; Gómez Albarran, N.L. Compost as inductor of vegetal succession in an area affected by open mining in rio La Vega basin, Tunja, Boyacá. Colom. For. 2015, 18, 241–254. [Google Scholar] [CrossRef]
- Spargo, A.; Doley, D. Selective coal mine overburden treatment with topsoil and compost to optimize pasture or native vegetation establishment. J. Environ. Manag. 2016, 182, 342–350. [Google Scholar] [CrossRef]
- Sizmur, T.; Wingate, J.; Hutchings, T.; Hodson, M. Lumbricus terrestris L. does not impact on the remediation efficiency of compost and biochar amendments. Pedobiologia 2011, 54, 211–216. [Google Scholar] [CrossRef]
- Zhu, S.-C.; Zheng, H.-X.; Liu, W.-S.; Liu, C.; Guo, M.-N.; Huo, H.; Morel, J.L.; Qiu, R.-L.; Chao, Y.; Tang, Y.-T. Plant-soil feedbacks for the restoration of degraded mine lands: A review. Front. Microbiol. 2022, 12, 751794. [Google Scholar] [CrossRef]
- Li, S.; Liber, K. Influence of different revegetation choices on plant community and soil development nine years after initial planting on a reclaimed coal gob pile in the Shanxi mining area, China. Sci. Total Environ. 2018, 618, 1314–1323. [Google Scholar] [CrossRef]
- Sun, X.; Kong, T.; Ha, M.M.; Kolton, M.; Li, F.; Dong, Y.; Huang, Y.; Li, B.; Sun, W. Chemolithoautotropic diazotrophy dominates the nitrogen fixation process in mine tailings. Environ. Sci. Technol. 2020, 54, 6082–6093. [Google Scholar] [CrossRef]
- Wikskandar, W.; Ajidirman, A. Effect of biochar and Tithonia compost on physical properties of post-coal mining soil. J. Degrad. Min. Lands Manag. 2024, 11, 5829–5838. [Google Scholar] [CrossRef]
- Ghanbari, J.; Khajoei-Nejad, G. The effect of compost and combination of compost and biochar application in soil bulk density of planting bed, seedling emergence rate and early growth of saffron ecotypes. Saffron Agron. Technol. 2018, 6, 17–33. [Google Scholar] [CrossRef]
- Malińska, K.; Zabochnicka, M.; Dach, J. Effects of biochar amendment on ammonia emission during composting of sewage sludge. Ecol. Eng. 2014, 71, 474–478. [Google Scholar] [CrossRef]
- Mikajlo, I.; Lerch, T.Z.; Louvel, B.; Hynšt, J.; Záhora, J.; Pourrut, B. Composted biochar versus compost with biochar: Effects on soil properties and plant growth. Biochar 2024, 6, 85. [Google Scholar] [CrossRef]
- Gale, N.V.; Thomas, S.C. Dose-dependence of growth and ecophysiological responses of plants to biochar. Sci. Total Environ. 2019, 658, 1344–1354. [Google Scholar] [CrossRef] [PubMed]
Disclaimer/Publisher’s Note: The statements, opinions and data contained in all publications are solely those of the individual author(s) and contributor(s) and not of MDPI and/or the editor(s). MDPI and/or the editor(s) disclaim responsibility for any injury to people or property resulting from any ideas, methods, instructions or products referred to in the content. |
© 2025 by the authors. Licensee MDPI, Basel, Switzerland. This article is an open access article distributed under the terms and conditions of the Creative Commons Attribution (CC BY) license (https://creativecommons.org/licenses/by/4.0/).