The Impact of Different Underlying Surfaces and Topography on the Wind-Sand Dynamic Environment at the Southern Edge of the Hobq Desert
Abstract
1. Introduction
2. Overview of the Study Area
3. Data and Methods
3.1. Data Sources
3.2. Research Methodology
3.2.1. Statistics of Wind Conditions and Sand-Moving Wind Conditions
3.2.2. Calculation of Sand Drift Potential
3.2.3. Calculation of Maximum Possible Sand Drift Quantity
4. Results and Analysis
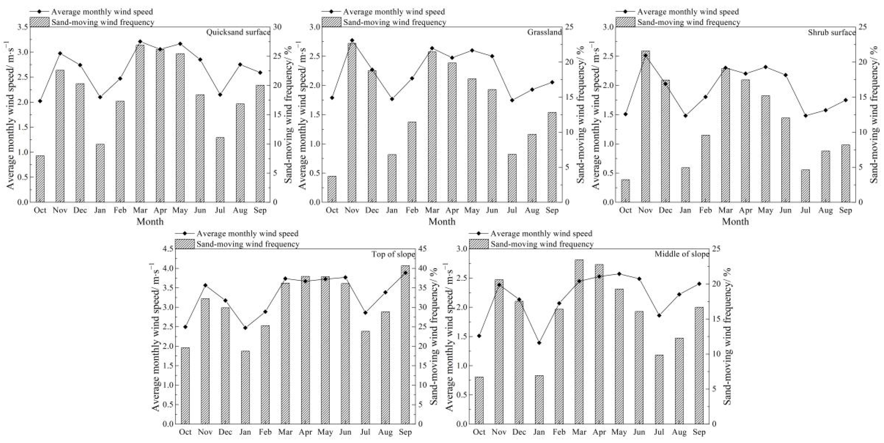
4.1. Wind Conditions and Sand-Moving Wind Conditions
4.2. Sand Drift Potential
4.3. Maximum Possible Sand Transport Rate
5. Discussion
6. Conclusions
Author Contributions
Funding
Institutional Review Board Statement
Informed Consent Statement
Data Availability Statement
Conflicts of Interest
References
- Hua, T.; Wang, X.M. Research Progresses on the Interaction between Desertification and Climate Change in Arid and Semiarid East Asia. Prog. Geogr. 2014, 33, 841–852. [Google Scholar]
- Guan, C.; Hasi, E.; An, J.; Tao, B.B.; Liu, D.; Zhou, Y.G. Spacial Variation of Transverse Dunes Landform Pattern in the North of Hobq Desert. J. Beijing Norm. Univ. (Nat. Sci.) 2015, 51 (Suppl. S1), 13–22. [Google Scholar]
- Zhang, Z.C.; Dong, Z.B. Field Observation on the Flow Turbulence Characteristics Over Transverse Dune. Geogr. Sci. 2015, 35, 652–657. [Google Scholar]
- Liu, X.W. Experimental Wind and Sand Physics and Wind-Sand Engineering; Science Press: Beijing, China, 1995; pp. 1–20. [Google Scholar]
- Tian, Q.M.; Ma, T.D.; Liu, X.Y.; Yue, P. Analysis on the Upper-air Temperature, Humidity, Wind Speed and Heat Stability during a Sandstorm. Arid Zone Res. 2008, 05, 700–704. [Google Scholar]
- Wang, C.; Lei, J.Q.; Li, S.Y.; Mao, D.L.; Zayulla, R. Vertical Differentiation of Sand Granularity in Wind-sand Flow in the Celle Oasis-desert Transition Zone. Arid Land Geogr. 2014, 37, 230–238. [Google Scholar] [CrossRef]
- Haq, M.A.; Khan, M.Y.A. Crop Water Requirements with Changing Climate in an Arid Region of Saudi Arabia. Sustainability 2022, 14, 13554. [Google Scholar] [CrossRef]
- Haq, M.A. Intellligent sustainable agricultural water practice using multi sensor spatiotemporal evolution. Environ. Technol. 2024, 45, 2285–2298. [Google Scholar] [CrossRef]
- Yang, D.L.; Wang, X.Q.; Hu, Y.F. Some Problems in Wind Data Analyzing in Oasis-desert Ecotone: A Case of Qira Oasis. Arid Land Geogr. 2015, 38, 549–555. [Google Scholar]
- Xing, W.J.; Lei, J.Q.; Wang, H.F.; Li, S.Y.; Jin, Z.Z.; Zeng, F.J. Analysis on Wind Regime and Wind Borne Sand Potential in a Desert-oasis Ecotone—A Case Study in Qira County, Xinjiang. Arid Zone Res. 2008, 25, 894–898. [Google Scholar]
- Liu, F.; Hao, Y.G.; Xu, J.; Xing, Z.M.; Chen, H.L.; Zhao, Y.M. Sand Flow Characteristics in Ulan Buh Desert. Arid Land Geogr. 2014, 37, 1163–1169. [Google Scholar]
- Yan, M.; Chen, Y.X.; Zuo, H.J.; Wang, H.B.; Xi, C. Redistribution Characteristics of Aeolian Sand Flow on Different Underlying Surfaces at the Edge of Hobq Desert and their Enrichment Effect on Nutrients. Arid Land Geogr. 2023, 46, 889–899. [Google Scholar]
- Wu, W.Y.; Zhang, D.S.; Tian, L.H.; Zhang, H. Aeolian Activities and Protective Effects of Artificial Plants in Re-vegetated Sandy Land of Qinghai Lake, China. Chin. Geogr. Sci. 2020, 30, 1129–1142. [Google Scholar] [CrossRef]
- Tan, L.H.; Zhang, K.; Wang, H.T.; An, Z.; Wang, T. Vertical Sand Flux Density and Grain-Size Distributions for Wind-Blown Sand Over a Gobi Surface in Milan, Southern Xinjiang, China. Front. Environ. Sci. 2022, 10, 859631. [Google Scholar] [CrossRef]
- Jiang, N.; Cheng, H. Regional Differences in the Grain Size Characteristics of Surface Sediments from Typical Barchan Dunes in Arid Zones. Aeolian Res. 2024, 70–71, 100939. [Google Scholar] [CrossRef]
- Tan, L.H.; Zhang, W.M.; Bian, K.; Yang, G.; Zhong, S. Effect of Gravel Mulch on Soil and Water Conversation—A Case Study in the Northern Edge of Hobq Desert. Res. Soil Water Conserv. 2017, 24, 172–178. [Google Scholar]
- Zhang, H.B.; Gao, Y.; Sun, D.F.; Liu, L.; Cui, Y.; Zhu, W. Wind Erosion Changes in a Semi-Arid Sandy Area, Inner Mongolia, China. Sustainability 2019, 11, 188. [Google Scholar] [CrossRef]
- Meng, Z.J.; Dang, X.H.; Gao, Y.; Ren, X.; Ding, Y.; Wang, M. Interactive effects of wind speed, vegetation coverage and soil moisture in controlling wind erosion in a temperate desert steppe, Inner Mongolia of China. J. Arid Land 2018, 10, 534–547. [Google Scholar] [CrossRef]
- Mao, D.L.; Cai, F.Y.; Yang, X.F.; Wang, X.M.; Lai, F.B.; Xue, J. Characteristics of Wind Filed over Different Underlying Surfaces in the Oasis-Desert Ecotone in Qira, Xinjiang. Arid Zone Res. 2019, 36, 1117–1126. [Google Scholar]
- Fryberger, S.G.; Dean, G. Dune forms and wind regime. In A Study of Global sand Seas; Mckee, E.D., Ed.; United States Government Printing Office: Washington, DC, USA, 1979; pp. 137–169. [Google Scholar]
- Lin, Y.Q. Engineering Calculation of Maximum Possible Sand-transporting Quantity. J. Desert Res. 1997, 17, 362. [Google Scholar]
- Chen, Y.; Shang, K.Z.; Wang, S.G.; Li, Y.; Xiong, G. Characteristics of Sand-dust Weather and the Relationship between Land Surface Conditions and Sand-dust Weather in Semiarid Region of Inner Mongolia, China. J. Desert Res. 2013, 33, 1131–1137. [Google Scholar]
- Liu, T.; Yang, X.P.; Dong, J.F.; Fan, X.Y.; Li, H.W.; Zhu, B.Q. A Preliminary Study of Relation Between Megadune Shape and Wind Regime in the Badain Jaran Desert. J. Desert Res. 2010, 30, 1285–1291. [Google Scholar]
- Miao, H.L.; Wang, J.; Zhang, R.Q.; Li, J.R.; Gao, T.M. Characteristics of Wind Regime and Drift Potential of the Desert Steppe in Northern Slope of Yinshan Mountains, Inner Mongolia. J. Arid Land Resour. Environ. 2022, 36, 102–110. [Google Scholar]
- Dang, X.H.; Wei, Y.J.; Meng, Z.J.; Han, Y.L. Characteristics of Dustfall on Different Underlying Surfaces in the Northeast UlanBuhe Desert. J. Basic Sci. Eng. 2020, 28, 1122–1133. [Google Scholar]
- Chen, W.N.; Dong, Z.B.; Li, Z.S.; Yang, Z. Wind Tunnel Test of the Influence of Moisture on the Erodibility of Loessial Sandy Loam Soils by Wind. J. Arid Environ. 1996, 34, 391–402. [Google Scholar] [CrossRef]
- Kong, K.; Nandintsetseg, B.; Shinoda, M.; Ishizuka, M.; Kurosaki, Y.; Bat-Oyun, T.; Gantsetseg, B. Seasonal Variations in Threshold Wind Speed for Saltation Depending on Soil Temperature and Vegetation: A Case Study in the Gobi Desert. Aeolian Res. 2021, 52, 100716. [Google Scholar] [CrossRef]
- Zou, X.Y.; Zhang, C.L.; Cheng, H.; Kang, L.; Wu, X.; Chang, C.; Wang, Z.; Zhang, F.; Li, J.; Liu, C.; et al. Classification and Representation of Factors Affecting Soil Wind Erosion in A Model. Adv. Earth Sci. 2014, 29, 875–889. [Google Scholar]
- Wolfe, S.A.; Nickling, W.G. The protective role of sparse vegetation in wind erosion. Prog. Phys. Geogr. Earth Environ. 1993, 17, 50–68. [Google Scholar] [CrossRef]
- Zhang, K.C.; An, Z.S.; Cai, D.W.; Guo, Z.C.; Wang, J.Z. Spatial Variation of Wind Dynamical Characteristics in the Desert-oasis Transitional Zone under Typical Weather Conditions. Arid. Land Geogr. 2016, 39, 1004–1010. [Google Scholar]
- Tao, B.B.; Hasi, E.; Wugetemole; Guan, C. Variation of Surface Wind Velocity and Sand Transport of Parabolic Dune at Southern Fringe of the Hobq Desert. J. Desert Res. 2015, 35, 1445–1452. [Google Scholar]










| Observation Location | Vegetation, Topographic Features | Three-Dimensional Coordinates | Observation Elements | Observation Time |
|---|---|---|---|---|
| Quicksand Surface | Canopy Cover, Quicksand Area, Flat Terrain | 40°0′31″ N, 108°50′12″ E, Altitude: 1435 m | Wind Speed and Direction, Sand Transport Rate, Temperature, Humidity and Pressure | 1 October 2023 –30 September 2024 |
| Grassland | Grassland, Stabilized Sand Area, Flat Terrain | 40°13′01″ N, 108°50′57″ E, Altitude: 1247 m | Wind Speed and Direction, Sand Transport Rate, Temperature, Humidity and Pressure | 1 October 2023 –30 September 2024 |
| Shrub Surface | Low Shrubs, Stabilized Sand Area, Flat Terrain | 40°13′20″ N, 108°50′57″ E, Altitude: 1257 m | Wind Speed and Direction, Sand Transport Rate, Temperature, Humidity and Pressure | 1 October 2023 –30 September 2024 |
| Top of Slope | Grassland, Stabilized Sand Area | 39°58′15″ N, 109°02′14″ E, Altitude: 1489 m | Wind Speed and Direction, Sand Transport Rate, Temperature, Humidity and Pressure | 1 October 2023 –30 September 2024 |
| Middle of Slope | Grassland, Stabilized Sand Area, Relatively Large Topographic Variations | 39°58′07″ N, 109°02′15″ E, Altitude: 1461 m | Wind Speed and Direction, Sand Transport Rate, Temperature, Humidity and Pressure | 1 October 2023 –30 September 2024 |
| Observation Location | Parameter | Jan | Feb | Mar | Apr | May | Jun | Jul | Aug | Sep | Oct | Nov | Dec |
|---|---|---|---|---|---|---|---|---|---|---|---|---|---|
| Quicksand surface | RDD (°) | 99.08 | 65.69 | 99.98 | 95.05 | 268.09 | 60.64 | 325.00 | 123.44 | 22.70 | 97.97 | 112.93 | 106.68 |
| Direction | E | ENE | E | E | W | ENE | NW | ESE | NNE | E | ESE | ESE | |
| RA (°) | 103.16 | 63.42 | 100.25 | 96.71 | 256.09 | 63.10 | 316.93 | 124.29 | 31.96 | 99.66 | 112.98 | 107.72 | |
| Direction | ESE | ENE | E | E | WSW | ENE | NW | SE | NNE | E | ESE | ESE | |
| Grassland surface | RDD (°) | 92.86 | 90.44 | 101.41 | 94.15 | 193.58 | 73.68 | 337.91 | 139.43 | 42.83 | 88.50 | 91.50 | 90.82 |
| Direction | E | E | ESE | E | SSW | ENE | NNW | SE | NE | E | E | E | |
| RA (°) | 89.09 | 97.20 | 102.52 | 95.96 | 209.88 | 71.47 | 313.32 | 145.88 | 41.84 | 91.98 | 100.86 | 91.00 | |
| Direction | E | E | ESE | E | SSW | ENE | NW | SE | NE | E | E | E | |
| Shrub Surface | RDD (°) | 79.46 | 70.97 | 95.38 | 82.06 | 61.77 | 44.32 | 26.55 | 99.21 | 47.48 | 78.03 | 94.01 | 83.99 |
| Direction | E | ENE | E | E | ENE | NE | NNE | E | NNE | ENE | E | E | |
| RA (°) | 71.18 | 73.65 | 97.47 | 84.91 | 44.82 | 63.77 | 18.13 | 102.82 | 56.25 | 81.35 | 94.75 | 84.06 | |
| Direction | ENE | ENE | E | E | NE | ENE | NNE | ESE | NE | E | E | E | |
| Top of Slope | RDD (°) | 130.00 | 117.97 | 119.05 | 119.89 | 178.85 | 77.95 | 2.24 | 146.00 | 12.51 | 84.70 | 130.22 | 122.22 |
| Direction | SE | ESE | ESE | ESE | S | ENE | N | SE | NNE | E | SE | ESE | |
| RA (°) | 132.06 | 119.32 | 120.45 | 121.25 | 179.57 | 77.40 | 0.50 | 145.08 | 12.97 | 88.20 | 130.40 | 122.84 | |
| Direction | SE | ESE | ESE | ESE | S | ENE | N | SE | NNE | E | SE | ESE | |
| Middle of Slope | RDD (°) | 103.57 | 79.39 | 100.48 | 92.39 | 219.83 | 65.49 | 352.48 | 118.88 | 31.97 | 84.85 | 105.51 | 100.58 |
| Direction | ESE | E | E | E | SW | ENE | N | ESE | NNE | E | ESE | E | |
| RA (°) | 104.20 | 78.28 | 100.83 | 92.37 | 219.31 | 64.59 | 349.14 | 118.62 | 39.67 | 86.81 | 105.20 | 100.45 | |
| Direction | ESE | ENE | E | E | SW | ENE | N | ESE | NE | E | ESE | E |
Disclaimer/Publisher’s Note: The statements, opinions and data contained in all publications are solely those of the individual author(s) and contributor(s) and not of MDPI and/or the editor(s). MDPI and/or the editor(s) disclaim responsibility for any injury to people or property resulting from any ideas, methods, instructions or products referred to in the content. |
© 2025 by the authors. Licensee MDPI, Basel, Switzerland. This article is an open access article distributed under the terms and conditions of the Creative Commons Attribution (CC BY) license (https://creativecommons.org/licenses/by/4.0/).
Share and Cite
Zhang, X.; Yi, X.; Zhang, D.; Liu, Y.; Xu, R.; Xie, S. The Impact of Different Underlying Surfaces and Topography on the Wind-Sand Dynamic Environment at the Southern Edge of the Hobq Desert. Sustainability 2025, 17, 5856. https://doi.org/10.3390/su17135856
Zhang X, Yi X, Zhang D, Liu Y, Xu R, Xie S. The Impact of Different Underlying Surfaces and Topography on the Wind-Sand Dynamic Environment at the Southern Edge of the Hobq Desert. Sustainability. 2025; 17(13):5856. https://doi.org/10.3390/su17135856
Chicago/Turabian StyleZhang, Xian, Xiaoya Yi, Dequan Zhang, Yong Liu, Rigan Xu, and Shengbo Xie. 2025. "The Impact of Different Underlying Surfaces and Topography on the Wind-Sand Dynamic Environment at the Southern Edge of the Hobq Desert" Sustainability 17, no. 13: 5856. https://doi.org/10.3390/su17135856
APA StyleZhang, X., Yi, X., Zhang, D., Liu, Y., Xu, R., & Xie, S. (2025). The Impact of Different Underlying Surfaces and Topography on the Wind-Sand Dynamic Environment at the Southern Edge of the Hobq Desert. Sustainability, 17(13), 5856. https://doi.org/10.3390/su17135856
