Abstract
The influences of dissolved organic matter (DOM) on neonicotinoid photochemical degradation and product formation in natural waters remain unclear, potentially impacting the sustainability of river systems. Therefore, our overall objective was to investigate the photodegradation mechanisms and phototransformation byproducts of two neonicotinoid pesticides, imidacloprid and thiamethoxam, under simulated sunlight at the microcosm scale, to assess the implications of DOM for insecticide degradation in rivers. Direct and indirect photolysis were investigated using twelve water matrices to identify possible reaction pathways with two DOM sources and three quenching agents. Imidacloprid, thiamethoxam, and potential degradants were measured, and reaction pathways identified. The photodegradation rates for imidacloprid (0.156 to 0.531 h−1) and thiamethoxam (0.027 to 0.379 h−1) were measured. The Mississippi River DOM with 4-hydroxy-2,2,6,6-tetramethylpiperidinyloxy resulted in rapid formation of imidacloprid desnitro and imidacloprid urea as compared to other treatments. These observations indicate that the production of reactive oxygen species has the potential to influence the photodegradation of imidacloprid, via indirect photolysis, resulting in the formation of degradation products (e.g., imidacloprid desnitro) potentially harmful to non-target species. The findings offer insight into the potential role DOM in river systems has on sustainable water quality related to these two neonicotinoid degradation pathways and byproduct formations.
1. Introduction
Neonicotinoids are a class of synthetic chemicals widely used across the agricultural industry due to their high efficacy against crop insects [1,2,3]. The high use of neonicotinoid insecticides has led to chronic low-level pollution in streams, rivers, and lakes, limiting the sustainability of ecosystems [4,5]. Due to the ubiquitous nature of neonicotinoids, both the parent compound and its degradants have been frequently detected in soils, surface water, and human urine [6,7]. In the United States, a comprehensive surface water survey observed clothianidin and imidacloprid at concentrations of 66 ng L−1 and 140 ng L−1, respectively [3], indicating a high potential for ecotoxicity concerns compromising the sustainability of these river systems [8]. Currently, neonicotinoids are considered a widespread contaminant of global concern [9,10,11,12,13,14,15].
Neonicotinoids are known to undergo photo-chemical transformation, which often results in the formation of potentially more toxic photodegradation byproducts harmful to aquatic and terrestrial species, and even humans [16,17,18]. It is important to understand which photo-transformations occur, and which potential byproducts form in natural water environments. While there are several byproducts of imidacloprid and thiamethoxam, the most often observed in aqueous environments include imidacloprid desnitro, imidacloprid urea, imidacloprid olefin, 6-Chloronicotinic acid, 6-Chloronicotinic aldehyde, 6-Chloro-N-methylnicotinamide, 6-Hydroxynicotinic acid, clothianidin, and thiamethoxam urea [2,19]. Ecotoxicity limits for these byproducts have not yet been established, with the exception of clothianidin, which is a registered insecticide. However, some of these byproducts can often be as toxic as or more toxic than the parent insecticide [13,20,21]. Higher toxicity has been reported for imidacloprid-desnitro, where the byproduct has been observed to trigger strong nicotinic responses in humans [6] and ovarian antral follicle growth [22]. Negative impacts of both the parent compounds and byproducts have also been observed in non-target organisms, including pollinators and aquatic invertebrates [23,24,25,26].
Neonicotinoids insecticides have been reported to undergo direct and/or indirect photolysis [1,27,28]. For instance, direct photolysis of neonicotinoids has been observed to occur through an excited state when the molecule of the compound absorbs higher energy directly (e.g., UV-visible absorption > 290 nm) and undergoes a photochemical reaction resulting in the transformation of the parent compound into byproducts [29,30]. However, in natural waters containing abundant dissolved organic matter (DOM), quenching of the light intensity can occur, leading to the generation of reactive oxygen species (ROS) that have the potential to eventually result in the oxidation of the pesticide, thereby inhibiting the potential of direct photolysis but enhancing indirect photodegradation [31]. In previous studies, indirect photolysis of pesticides has been reported to occur in natural waters containing abundant photosensitizers (i.e., DOM, nitrate, or nitrite), during which the photoreaction process becomes excited due to absorption of light eventually reacting with photogenerated species such as ROS (e.g., 1O2, •OH, O2•−) to form potential byproducts [27,29,30]. Various studies have attempted to recreate photolysis of neonicotinoids for more variable conditions in simplified ecosystems, although the conditions under which these have been studied do not fully replicate natural systems [17,31,32,33,34]. In addition, an investigation of byproduct formation with Mississippi and Suwannee River DOM is lacking. Therefore, a better understanding of imidacloprid and thiamethoxam photolysis in a range of natural water DOMs is needed, and the influence of quenchers requires further investigation.
The objectives of this study were to (1) quantify photochemical transformation rates and byproduct formation from imidacloprid and thiamethoxam in two simulated river waters and high-purity reagent water, (2) identify whether imidacloprid and thiamethoxam undergo direct or indirect photolysis in the presence of the three different quenchers used in the experiment, and (3) determine the likelihood of reversion processes between photocycles during the photolysis of imidacloprid and thiamethoxam. This study offers unique insight into the potential role DOM has on sustainable water quality related to these two neonicotinoid degradation pathways and byproduct formations, particularly regarding ecotoxicity and the formation of toxic byproducts.
2. Materials and Methods
2.1. Chemicals and Reagents
Standards of imidacloprid (1-(6-chloro-3- pyridylmethyl)-N-nitroimidazolidin-2-ylideneamine with Chemical Abstract Service (CAS) number 138261-41-3) and thiamethoxam ((N-[3-[(2-chloro-1,3-thiazol-5-yl)methyl]-5-methyl-1,3,5-oxadiazinan-4-ylidene]nitramide) with CAS number of 153719-23-4) were purchased from Sigma-Aldrich (St. Louis, MO, USA). Nine degradation products, including imidacloprid desnitro, imidacloprid urea, imidacloprid olefin, 6-Chloronicotinic acid, 6-Chloronicotinic aldehyde, 6-Chloro-N-methylnicotinamide, 6-Hydroxynicotinic acid, clothianidin, and thiamethoxam urea, were purchased from Sigma-Aldrich (St. Louis, MO, USA), Thermo-Fisher (St. Louis, MO, USA), ChemService (West Chester, PA, USA), Reidel-de-Haen (Charlotte, NC, USA), or LGC (Traverse City, MI, USA). Stable isotope labeled imidacloprid-d4, clothianidine-d3, and thiomethoxam-d3 were purchased from Thermo-Fisher. The water, acetonitrile, and methanol used in this study were high-performance liquid chromatography (HPLC)/Optima grade purchased from Fisher Scientific (Hampton, NH, USA). The three quenching agents used as treatments in this experiment were sodium azide (NaN3), isopropanol (IPA), and 4-hydroxy-2,2,6,6-tetramethylpiperidinyloxy, commonly known as TEMPOL, purchased from Sigma-Aldrich (St. Louis, MO, USA), while 2 DOM compositions, Mississippi River DOM (MIS) and Suwannee River DOM (SUW), were both purchased from the International Humic Substance Society IHSS (St. Paul, MN, USA). High-purity reagent water used for the photolysis experiments was produced in a Barnstead NanopureTM system (Dubuque, IA, USA).
2.2. Experiment Design
A series of experiments were performed under laboratory conditions at the microcosm scale (see Table S1 for summary) using a Suntest CPS+ photosimulator (Atlas, Mount Prospect, IL, USA), similar to past approaches for photolysis evaluations of pharmaceuticals [35]. Twelve treatments were investigated, including NanopureTM water (Sigma-Aldrich, St. Louis, MO, USA) and two laboratory grade DOMs (Suwannee River and Mississippi). Lab-grade imidacloprid and thiamethoxam stock solutions of 5 μg μL−1 were prepared by pipetting 200 μL of each into 1 L of simulated river water containing 5 mg L−1 DOM and 10 mg L−1 NO3-N to give a target concentration of 1 mg L−1 of imidacloprid and 1 mg L−1 of thiamethoxam. Prior to initiating the experiment, the volumetric flask was well mixed by shaking for approximately 5 min to ensure a homogeneous solution. From the prepared solution, 45 mL of mixed imidacloprid, thiamethoxam, simulated river water, and NO3-N were pipetted into 6 pre-muffled 50 × 35 mm Pyrex® crystallizing dishes (VWR, Radnor, PA, USA). Three replicates were left uncovered and exposed to the Suntest CPS+ solar simulator from 0–12 h (first static light phase), covered with foil between 12 and 24 h (dark phase), and uncovered between 24 and 36 h (second static light phase). For each of the treatments, three additional replicates were prepared and covered with foil for the entire 36 h to serve as controls. The control samples were used to determine the degradation of imidacloprid and thiamethoxam in the absence of light for the same waters as the ones used in the light phases. The prefilled crystallizing dishes were weighed prior to starting the experiment and placed into the Suntest CPS+ solar simulator. The solar simulator was programmed to 650 W m−2 and a temperature of 20 °C. Water samples were taken prior to dosing to account for baseline concentrations of imidacloprid and thiamethoxam, and throughout the experiments at 0, 1, 4, 8, 12, 18, 24, 28, 32, and 36 h. Prior to sampling, crystallizing dishes containing the water were weighed on a micro-scale and undosed NanopureTM water was added to the crystallizing dishes to dilute water lost from evaporation. The water was then mixed and 1000 µL of water was collected from each replicate using a pipette and placed into a 2 mL LC-MS amber autosampler vial. Crystallizing dishes were then re-weighed to record weight loss from sampling and placed back into the Suntest CPS+ solar simulator to continue the experiment through 36 h.
2.3. Instrumentation and Data Processes
Neonicotinoid extraction and analysis followed methods described in past studies [36,37]. Briefly, quantification of neonicotinoids was performed using a Xevo TQ-S Micro triple quadruple mass spectrometer equipped with a Uni-SprayTM ion source (Waters Corporation, Milford, MA, USA). During the ionization, multiple reaction monitoring (MRM) was performed in the positive ion detection mode, and transitions were optimized using the module Intellistart+TM in MassLynx V4.2 SCN1017 (Waters Corporation, Milford, MA USA) software. The impactor voltage was optimized at 1 kv, the extractor voltage was set at 3 V, and the RF lens was set to 0.5 V. The source temperature was 150 °C, while the desolvation temperature was 450 °C. The desolvation gas flow rate was set at 650 L h−1, while the cone flow rate was 1 L h−1. High-purity argon was used as a nebulizing desolvation gas and a collision gas. Masslynx software (v.4.2) was used for data processing. Further details regarding the mass transitions, retention times, cone, and collision voltage used for each compound can be found in Table S2. Calibration standards, prepared in 20:80 methanol:water, ranged from 0.1 to 50 ng mL−1, with internal standards at 20 ng mL−1. Instrument detection limits averaged 0.2 (±0.2 ng mL−1), as determined from 3 times the standard deviation measured in 8 replicates of the lowest calibration standard.
2.4. Water Quality Sampling Analyses
Water samples collected prior to the initiation of the experiment were filtered through precombusted Whatman GF/F filters and stored at 4 °C until analysis. Water samples were analyzed for dissolved organic carbon (DOC), nitrate-N (NO3-N), orthophosphate (PO43−), chloride (Cl−), and bromide (Br−) concentrations at the University of Nebraska–Lincoln Water Science Laboratory (Lincoln, NE, USA). DOC was analyzed using the wet oxidation method APHA (SM Method 5310D [38]), while NO3-N, PO43−, Cl−, and Br− were analyzed using the EPA Method 300 (1993) [39]. Additionally, a handheld YSI multiparameter with attached electrode probes (Yellow Spring, OH, USA) was used to measure water temperature (°C), specific conductivity (µS cm−1), dissolved oxygen (DO mg L−1), and pH.
2.5. Modeling Imidacloprid and Thiamethoxam Degradation Kinetics
To quantify degradation rates, changes in insecticide concentrations were fitted to a first-order decay response model for the first 12 h of the experiment, similarly to past photodegradation studies [40,41]. The model assumed the substrate concentration was significantly smaller than the half-saturation constant (Ks). Samples used throughout the study were well mixed, and no significant influences from water losses or gains occurred. The first-order removal rate constants (k) were determined for each treatment (details in Supplementary Materials, Equation S1).
2.6. Direct vs. Indirect Photolysis
According to Wang et al. [42], during the photolysis process of pharmaceutical and personal care products (PCPs) ROS, such as 1O2, •OH, and O2•−, were involved in the degradation of the parent contaminant, which could have potentially influenced indirect photolysis. Therefore, a similar approach was adopted in this study to distinguish which photolytic processes had the greatest influence on the degradation of imidacloprid and thiamethoxam. TEMPOL, NaN3, and IPA were utilized as quenching agents. These quenching agents were used to specifically determine whether imidacloprid and thiamethoxam underwent self-sensitization though ROS during the photolysis process in the different waters under simulated sunlight [42]. Details can be found in Supplementary Materials (Equations (S2)–(S5)). Possible reaction pathways for both imidacloprid and thiamethoxam with the addition of the quenching agents were assessed using Equations (S6)–(S12).
2.7. Statistics
In each of the experiments, the impact of DOM (e.g., MIS and SUW) on the photolytic process of imidacloprid and thiamethoxam was evaluated using one-way ANOVA to compare mean differences for concentration changes and removal rates with respect to time points (e.g., 0 to 36 h) and treatments (no quenching agents, TEMPOL, NaN3, and IPA). All data were normalized by log transformation and analyzed in Minitab 17 (Minitab 17 Statistical Software, 2010) using one-way analysis of variance (ANOVA) with post hoc Tukey honest significance difference (HSD). Statistical assessments were completed to assess differences in neonicotinoid and byproduct formation between varying DOMs, quenching species, and time.
3. Results
3.1. Degradation Kinetics
3.1.1. Overview
The pseudo-first-order decay kinetics observed in this study for imidacloprid and thiamethoxam aligned well (Figure 1, Figure 2 and Figure 3, Table 1). Table 1 provides first-order rate constants for degradation occurring during the first 12 h, for all experiments, while Figure 1, Figure 2 and Figure 3 provide the overall results for the entire 36 h and include light and dark phases. The physiochemical measurements for each treatment prior to the initiation of each enrichment can be found in Supplementary Materials (Table S3). The average first-order degradation rates for imidacloprid ranged from 0.531 to 0.623 h−1 in the NanopureTM water matrix, 0.156 to 0.515 h−1 in the MIS DOM, and 0.372 to 0.465 h−1 in the SUW DOM river treatments (Table 1), while the average thiamethoxam degradation rates ranged from 0.274 to 0.379 h−1 (NanopureTM water), 0.027 to 0.291 h−1 (MIS DOM), and 0.218 to 0.250 h−1 (SUW DOM, Table 1). In summary, the MIS treatments with TEMPOL inhibited the photodegradation of both imidacloprid and thiamethoxam, as shown in Figure 1, Figure 2 and Figure 3, while NaN3 and IPA treatments enhanced the degradation process. In contrast, SUW treatments with the addition of TEMPOL inhibited the photolysis of imidacloprid, while NaN3 inhibited the photolysis of thiamethoxam. Lastly, in the NanopureTM water treatments the addition of IPA inhibited the photolysis of imidacloprid and thiamethoxam, compared to other treatments.

Figure 1.
Imidacloprid (A) and thiamethoxam (B) photodegradation and byproduct formation investigation in Mississippi River DOM during simulated light experiment.

Figure 2.
Imidacloprid (A) and thiamethoxam (B) photodegradation and byproduct formation investigation in Suwannee River DOM during simulated light experiment.

Figure 3.
Imidacloprid (A) and thiamethoxam (B) photodegradation and byproduct formation investigation in Nanopure water during simulated light experiment.
Table 1.
Removal rate constants with standard deviations for imidacloprid and thiamethoxam experiments following the first static light phase (12 h).
3.1.2. MIS Treatments
TEMPOL imidacloprid concentrations in the MIS treatment were significantly different between several time points (α ≤ 0.05; Figure 1; Table S4); however, between 0 and 1 h, no significant differences between concentrations were observed. After 8 h of UV exposure, imidacloprid concentrations between time points were significantly different from the initial time point. Further, statistical comparisons of imidacloprid concentrations were compared with respect to quenching agents (e.g., TEMPOL, NaN3, and IPA), where significant differences were observed specifically in the MIS TEMPOL treatment compared to the NaN3 and IPA treatments (α ≤ 0.05; Table S5). Similarly, significant differences were observed between thiamethoxam concentrations between time points after 8 h (α ≤ 0.05). Further, significant differences were observed between treatments with TEMPOL compared to NaN3 and IPA (α ≤ 0.05), which indicate that the addition of TEMPOL significantly inhibited the degradation processes of both imidacloprid and thiamethoxam, while the treatments with NaN3 and IPA significantly enhanced the degradation of imidacloprid and thiamethoxam. Wang et al. [42] observed similar occurrences following the addition of TEMPOL, which significantly inhibited the degradation process of ketoprofen, while isopropanol had a negligible effect on the degradation process [42].
The first-order removal rates were also used to evaluate differences between time points and treatments in MIS DOM for imidacloprid and thiamethoxam. No significant differences were observed through time for the imidacloprid and thiamethoxam removal rates in the first 8 h of the experiments (Table S6). However, significant differences in the first-order removal rates for imidacloprid and thiamethoxam were observed for treatments with NaN3 and IPA compared to TEMPOL and the control (α ≤ 0.05; Table S7).
3.1.3. SUW Treatments
Significant differences were also observed for the SUW treatment with imidacloprid concentrations following 1 h of UV exposure (α ≤ 0.05; Figure 2; Table S8). Similarly, thiamethoxam concentrations showed significant differences between time points within 4 h of UV exposure (α ≤ 0.05; Table S8). Further, imidacloprid concentrations showed significant differences with the TEMPOL treatment compared to the NaN3 and IPA treatments (α ≤ 0.05; Table S9). However, no significant differences were observed between the TEMPOL and control treatments, indicating that TEMPOL also exhibited an inhibitory role in the degradation of imidacloprid in the presence of SUW DOM. In contrast, thiamethoxam concentrations with respect to treatments were significantly different in the NaN3 treatment (α ≤ 0.05), indicating that NaN3 played an inhibitory role in the photolysis of thiamethoxam.
When the first-order removal rates were compared between time points, significant differences were also observed by 12 h of UV exposure for both imidacloprid and thiamethoxam (α ≤ 0.05; Table S10). Further, significant differences were observed between the control, IPA, and NaN3 treatments compared to the TEMPOL treatment and the IPA compared to the TEMPOL and control treatments for imidacloprid and thiamethoxam (α ≤ 0.05; Table S11).
3.1.4. NanopureTM Water Rates
To further understand the impact of DOM on the photodegradation of imidacloprid and thiamethoxam, degradation in high-purity NanopureTM water was assessed. Significant differences between concentration changes over time were observed for both imidacloprid and thiamethoxam within 4 h of UV exposure (α ≤ 0.05; Figure 3; Table S12). Significant differences were observed between treatments for imidacloprid, with the IPA treatment being significantly different compared to the control treatment (α ≤ 0.05; Table S13). In contrast, no significant differences were observed between TEMPOL, NaN3, and IPA for thiamethoxam and imidacloprid (α ≥ 0.05).
Imidacloprid removal rates were significantly different between time points within 8 h, while significant differences were observed within 12 h for thiamethoxam (α ≤ 0.05; Table S14). Further, imidacloprid removal rates were significantly different between treatments, with IPA being significantly different compared to TEMPOL and NaN3 for imidacloprid (α ≤ 0.05; Table S15). In general, treatments with TEMPOL inhibited the degradation process for both compounds, while NaN3 and IPA enhanced the degradation process.
3.2. Byproduct Formation
3.2.1. Summary
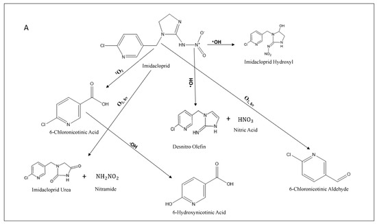
To our knowledge, this study is the first to investigate the phototransformation pathways of imidacloprid and thiamethoxam in simulated Mississippi River DOM and Suwannee River DOM, which is crucial for better understanding the mechanisms by which to sustain water quality in river systems. In summary, each of the treatments’ potential phototransformation pathways were assessed to understand how ROS formation influenced the production of photolytic byproduct formations and concentrations (Figure 4). In general, we observed that the MIS DOM treatments favored the formation of degradation products more than the other treatments. In particular, the MIS DOM with TEMPOL quenching agents resulted in a high formation of imidacloprid desnitro and imidacloprid urea. Further, this observation indicates that the release of oxygen species (Tables S16–S18) influenced the photodegradation of imidacloprid via indirect photolysis, resulting in the formation of the most harmful degradation products (e.g., imidacloprid desnitro). In comparison, the SUW River DOM with the addition of TEMPOL favored the formation of imidacloprid desnitro and imidacloprid urea at higher concentrations compared to other degradation products. However, based on observations, we conclude that more oxygen species were generated in MIS River DOM than SUW DOM, resulting in higher concentrations of degradation products in the MIS DOM treatments. The observation of increased imidacloprid desnitro in the MIS River DOM treatments was of the greatest concern, given recent reports of high toxicity to mammals compared to the parent compound [6].

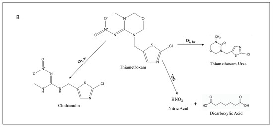
Figure 4.
Potential degradation pathways of (A) imidacloprid and (B) thiamethoxam under simulated sunlight adapted from Kurwadkar et al. (2016) [40].
3.2.2. MIS DOM Degradation Pathways
Overall, MIS DOM treatments favored the formation of imidacloprid urea and imidacloprid desnitro at higher concentrations as compared to other treatments, indicating that rivers with similar a DOM composition to MIS DOM could potentially favor the formation of more toxic degradation products (Figure 5B,C). For the MIS DOM, the addition of TEMPOL favored the formation of imidacloprid desnitro and imidacloprid urea at higher concentrations compared to the IPA and NaN3 treatments (Figure 5; α ≤ 0.05; Table S19). For thiamethoxam, the addition of TEMPOL, NaN3, and IPA favored the formation of thiamethoxam urea compared to clothianidin (Figure S1). Further, significant differences were observed between treatments (α ≤ 0.05; Table S19), with treatments without quenching agents favoring the formation of thiamethoxam urea, but at lower concentrations.

Figure 5.
Phototransformation of parent and byproducts formed in Mississippi River DOM under simulated light for (A) imidacloprid with IPA (n = 3), (B) imidacloprid with TEMPOL (n = 3), (C) imidacloprid with NaN3 (n = 3), and (D) imidacloprid without scavenging agents (n = 9).
3.2.3. SUW DOM Degradation Pathways
In the SUW treatments, the addition of TEMPOL similarly resulted in the formation of imidacloprid desnitro and imidacloprid urea degradation products at higher concentrations than treatments with the addition of NaN3 or IPA (Figure 6; α ≤ 0.05; Table S20). Further, treatments without quenching agents also resulted in the formation of imidacloprid urea and imidacloprid desnitro, but at lower concentrations compared to the results obtained for NaN3 or IPA. However, no significant differences were observed between TEMPOL in the control treatment (α ≥ 0.05; Table S20). Similarly, the addition of TEMPOL, NaN3, IPA, and control treatments all resulted in the formation of thiamethoxam urea at low concentrations (Figure S2), with significant differences observed in thiamethoxam urea concentrations between the control and NaN3 treatments and the TEMPOL and IPA treatments (α ≤ 0.05; Table S20).

Figure 6.
Phototransformation of parent and byproducts formed in Suwannee River DOM under simulated light for (A) imidacloprid with IPA (n = 3), (B) imidacloprid with TEMPOL (n = 3), (C) imidacloprid with NaN3 (n = 3), and (D) imidacloprid without scavenging agents (n = 9).
3.2.4. High-Purity NanopureTM Water Transformation Pathways
Finally, the formation of imidacloprid urea and imidacloprid desnitro was also observed in all NanopureTM water matrices (Figure 7), with significant differences observed in the formation of imidacloprid urea and imidacloprid desnitro between the TEMPOL and control treatments compared with the other treatments (α ≤ 0.05; Table S21). Thiamethoxam urea formation in NanopureTM water was also observed between treatments (Figure S3). While no significant differences were observed between the TEMPOL, control, and NaN3 treatments, IPA resulted in significantly different concentrations of thiamethoxam urea (α ≤ 0.05).

Figure 7.
Phototransformation of parent and byproducts formed in NanopureTM water under simulated light for (A) imidacloprid with IPA (n = 3), (B) imidacloprid with TEMPOL (n = 3), (C) imidacloprid with NaN3 (n = 3), and (D) imidacloprid without scavenging agents (n = 9).
4. Discussion
4.1. Contributions of Direct and Indirect Photolysis
Observations in degradation kinetics between time points were also made in the experiments. Between 0 and 1 h, no significant differences between concentrations were observed, which was likely due to the need for more photons to be adsorbed and the molecule to become energized before undergoing degradation. The highest removal rate constants were observed in the absence of •OH (0.465 to 0.623 h−1 for imidacloprid and 0.250 to 0.379 h−1 for thiamethoxam). In contrast, removal rate constants were inhibited in the absence of O2•− in the MIS treatments with imidacloprid and thiamethoxam. Similar observations have been made regarding •OH and O2•− as active species involved in the photodegradation of imidacloprid [43,44].
The results from this study were similar to those of past studies. For example, Kurwadkar et al. [40] investigated the photodegradation kinetics of imidacloprid and thiamethoxam in water and soil mediums under natural sunlight conditions and reported that imidacloprid and thiamethoxam aligned well with first-order degradation rate kinetics in water [40]. The rate constants observed for imidacloprid (0.30 h−1) and thiamethoxam (0.18 h−1) from that study were similar to our observed rate constants. Further, compared to the observed rate constants in this study, it was evident that photolysis of imidacloprid and thiamethoxam occurred in the presence of different DOMs and quenchers limited degradation.
To better understand the role of ROS in the photolytic degradation of imidacloprid and thiamethoxam exposed to various river DOMs and to ascertain whether imidacloprid and thiamethoxam underwent self-sensitization though ROS, isopropanol (IPA), sodium azide (NaN3), and 4-hydroxy-2,2,6,6-tetramethylpiperidinyloxy (TEMPOL) were used, similarly to in Wang et al. [42], to serve as quenchers to investigate the influence of ROS in the photolytic process of imidacloprid and thiamethoxam in different water matrices under simulated sunlight. In each of the treatments, ROS influences in the photodegradation of imidacloprid and thiamethoxam were calculated and summarized in Tables S16–S18. Both substrates underwent self-sensitization photooxidation though •OH, 1O2, and O2•− under Suntest CPS+ simulated light and depending on the type of DOM in the water column. In the MIS treatments, •OH, 1O2, and O2•− were estimated to contribute to the observed photodegradation rates 0, 0, and 63%, respectively, for imidacloprid, and 0, 5.6, and 72%, respectively, for thiamethoxam. In contrast, in the SUW treatments, •OH, 1O2, and O2•− were estimated to contribute to the observed photodegradation rates 0, 0.6, and 13%, respectively, for imidacloprid, and 0, 6.5, and 5.3%, respectively, for thiamethoxam. Finally, in NanopureTM water, •OH, 1O2, and O2•− were estimated to contribute to the observed photodegradation rates 0, 16, and 0.4%, respectively, for imidacloprid, and 11.4, 0, and 12%, respectively, for thiamethoxam. Specifically, O2•− was observed to play a significant role in the photolysis of imidacloprid and thiamethoxam in the MIS treatments compared to the other treatments. These results were similar to the observations of Wang et al. [42], which used TEMPOL to assess ROS contributions to photodegradation and observed that O2•− contributed 61.5% for ketoprofen degradation.
Natural waters contain a variety of substances, including DOM, bicarbonates, nitrates, and chloride, that have the ability to either inhibit or enhance the photodegradation of organic compounds by scavenging photo-oxidant agents that are comprised of ROS and thereby allow indirect photolysis to occur through the influence of ROS [45,46]. From the MIS treatments, 36.4% of imidacloprid photodegradation was estimated to be due to direct photolysis, in contrast to 63.7% due to ROS formations. Further, approximately 22% of thiamethoxam degradation was due to direct photolysis and 72.2% due to ROS degradation, indicating that ROS again played a significant role in the photolysis processes of imidacloprid and thiamethoxam in this treatment. In contrast, in the SUW treatment 86.2% of imidacloprid was due to direct photolysis and only 13.2% due to ROS. Similarly, for thiamethoxam, 88.3% of degradation was due to direct photolysis, and only 5.25% was caused by ROS photolysis. Further, in the NanopureTM water treatment, 82.8% of imidacloprid photodegradation was due to direct photolysis and 16.7% resulted from ROS, while 76.6% of thiamethoxam was due to direct photolysis and 12% was due to ROS degradation. These observations indicate that ROS has the potential to play a significant role in the photolytic process of imidacloprid and thiamethoxam in the presence of quenching agents, depending on DOM composition in rivers.
4.2. Effect of Dissolved Organic Matter on Photodegradation of Neonicotinoids
Optical water quality governs the behavior of photons in aquatic ecosystems and determines underwater light quantity (number of photons) and quality (spectral distribution). Light entering rivers interacts with dissolved and particulate substances via absorption and scattering, with absorption selectively removing photons with specific wavelengths (280 to 700 nm) [47,48]. Particulates play a predominant role in optical water quality, although dissolved constituents can also play important roles. Color Dissolved Organic Matter (CDOM), for instance, strongly absorbs light in the blue and ultraviolet wavelengths, resulting in the quick attenuation of this spectral domain for waters with high concentrations of CDOM. The quantity and composition of optical water quality affecting constituents vary with time and location. For example, particulate organic matter tends to be higher in organic-rich watersheds, while suspended sediment tends to be higher in arid, vegetation-sparse watersheds [49]. Further, many of these constituents vary following storm events and stream flow paths. The CDOM quality and source can also significantly impact indirect photochemical transformation mechanisms, such as controlling the steady-state concentration of singlet oxygen [50]. In our study, both MIS and SUW DOMs influenced the indirect photodegradation of imidacloprid and thiamethoxam though ROS (Tables S6–S8).
The Suwannee River Natural Organic Matter (NOM) was collected from the Okefenokee Swamp in South Georgia, USA, and has high DOC (25–75 mg/L), pH values of less than 4.0, and low inorganic matter [51,52]. In contrast, the Mississippi River NOM was collected from the Northern Mississippi River in Minnesota, USA and has relatively high DOC (10–15 mg/L) and high sulfur content compared to SUW [51,52]. The Suwannee River DOM used in this study had an elemental composition of 10.0% water, 3.10% ash, 52.55% carbon, 4.40% hydrogen, 42% oxygen, 0.58% sulfur, 85% fulvic acid, and <0.01% phosphorus [52]. In contrast, the Mississippi River DOM had an elemental composition of 8.55% water, 8.05% ash, 49.98% carbon, 4.62% hydrogen, 2.36% sulfur, 85% fulvic acid, and <0.01% phosphorus [52]. In the photolysis process of organic compounds in natural systems, each of the elemental compositions listed above, specifically pH, including humic and fulvic acid, potentially influences photosynthetic processes and has the potential to result in the byproduct formation of toxic substances [53]. CDOM absorption decreases monotonically with increasing wavelengths exponentially, and how quickly or slowly this scenario occurs in natural waters depends greatly on the type of source of CDOM (i.e., microbial and terrestrial sources) [54]. In this study, the source of CDOM was mainly from terrestrial materials, though from different locations, which likely impacted the number of photons absorbed and the fluorescence spectra between the Suwannee and Mississippi river DOM enrichments.
Based on the findings in this study, DOM composition impacts byproduct formations. Specifically, imidacloprid desnitro was observed to increase in MIS DOM. Recent reports of increased human health concerns regarding imidacloprid desnitro emphasize the need to identify transformation hotspots and prevention. Further, imidacloprid desnitro has been observed to be less effectively removed by granular activated carbon compared to its parent [55], increasing its potential occurrence in drinking water sources.
While the organic matter used in this study provides a baseline for better understanding the implications of DOM for the photolysis of these two insecticides, there are limitations of using a photosimulator with constant light applications and using only one initial concentration of the DOM and insecticides. Future studies should consider the implications of DOM at varying concentrations and more CDOM sources, along with the implications of the insecticides at varying concentrations. Water taken from local waterways should also be considered to provide more realistic physiochemical properties.
4.3. Reversion Processes
The discovery of an unexpected product-to-parent reversion mechanism of a byproduct of a widely used growth hormone [56] has demonstrated the importance of understanding the chemical transformations of micropollutants that occur in the context of the highly variable environmental conditions of natural systems. Therefore, the reversion processes of both parent and byproduct formations were investigated in each experiment by comparing concentration changes between the end of the first light cycle and the beginning of the second light cycle in the photosimulator (Figure 1, Figure 2, Figure 3, Figure 5, Figure 6 and Figure 7). The occurrence of reversion processes would have resulted in an increase in imidacloprid and thiamethoxam and/or byproduct formation concentrations during the dark 12 h phase. However, reversion processes were not observed throughout the study. Therefore, based on the observations in this study, imidacloprid and thiamethoxam reversion processes were unlikely for these treatments within the investigated timeframe of light and dark exposures.
5. Conclusions
The quantification of two neonicotinoid compounds (imidacloprid and thiamethoxam) was determined using a pseudo-first-order kinetic decay model for twelve natural waters enriched with varying DOM sources and quenching agents. Photodegradation rates of imidacloprid (0.156 to 0.531 h−1) and thiamethoxam (0.027 to 0.379 h−1) were observed with variation in ROS (e.g., 1O2, •OH, O2•−). Specifically, MIS DOM with TEMPOL resulted in a high formation of imidacloprid desnitro and imidacloprid urea compared to other treatments. These observations emphasize concerns regarding the formation of the degradation products (e.g., imidacloprid desnitro), which has been observed to be more harmful to non-target species, including humans. The observations from this study provide an enhanced understanding of the role played by each ROS in the photolysis of imidacloprid and thiamethoxam and the possible reaction pathways for the degradation byproduct formation of each substrate in river waters. Specifically, MIS DOM was greatly influenced by O2•−, where indirect photolysis accounted for 63.7% and 72.2% of the degradation of imidacloprid and thiamethoxam, respectively.
These findings provide agricultural, water resources, and environmental protection personnel with a more accurate understanding of imidacloprid and thiamethoxam degradation kinetics, which presents new perspectives for how to sustainably reduce their environmental impacts in agricultural and downstream communities based on water chemistry and predict byproduct formation hotspots related to DOM composition. Considerations should be made regarding the use of these insecticides in regions where O2•− may more significantly influence the formation of more toxic byproducts. Future work should investigate the impacts of varying light patterns on imidacloprid and thiamethoxam byproduct interactions and formations with a mix of natural river DOM compositions to better identify the degradation likelihood, particularly in source waters.
Supplementary Materials
The following are available online at https://www.mdpi.com/article/10.3390/su16031181/s1, Table S1. Experimental design for imidacloprid and thiamethoxam study; Table S2. Parameters for LC-MS/MS Analysis; Table S3. Water quality parameters in various water experiments in light experiments; Table S4. Significance grouping for MIS DOM photodegradation concentration by time (h); Table S5. Significance grouping for MIS DOM photodegradation concentration by treatment (e.g., TEMPOL, NaN3, and IPA); Table S6. Significance grouping for MIS DOM photodegradation removal rate by time (h); Table S7. Significance grouping for MIS DOM photodegradation removal rate by treatment (e.g., TEMPOL, NaN3, and IPA); Table S8. Significance grouping for SUW DOM photodegradation concentration by time (h); Table S9. Significance grouping for SUW DOM photodegradation concentration by treatment (e.g., TEMPOL, NaN3, and IPA); Table S10. Significance grouping for SUW DOM photodegradation removal rate by time (h); Table S11. Significance grouping for SUW DOM photodegradation removal rate by treatment (e.g., TEMPOL, NaN3, and IPA); Table S12. Significance grouping for NP photodegradation concentration by time (h); Table S13. Significance grouping for NP photodegradation concentration by treatment (e.g., TEMPOL, NaN3, and IPA); Table S14. Significance grouping for NP photodegradation removal rate by time (h); Table S15. Significance grouping for NP photodegradation removal rate by treatment (e.g., TEMPOL, NaN3, and IPA); Table S16. Effects of isopropanol, NaN3, and TEMPOL on the photodegradation kinetics of imidacloprid and thiamethoxam in simulated Mississippi DOM; Table S17. Effects of isopropanol, NaN3, and TEMPOL on the photodegradation kinetics of imidacloprid and thiamethoxam in simulated Suwanee DOM; Table S18. Effects of isopropanol, NaN3, and TEMPOL on the photodegradation kinetics of imidacloprid and thiamethoxam in simulated Nanopure water; Table S19. Significance grouping for MIS DOM byproduct concentration by treatment (e.g., TEMPOL, NaN3, and IPA); Table S20. Significance grouping for SUW DOM byproduct concentration by treatment (e.g., TEMPOL, NaN3, and IPA); Table S21. Significance grouping for Nanopure byproduct concentration by treatment (e.g., TEMPOL, NaN3, and IPA); Figure S1. Phototransformation of parent and byproducts formed in Mississippi river DOM under simulated light for (A) thiamethoxam with TEMPOL (n = 3), (B) thiamethoxam with NaN3 (n = 3), (C) thiamethoxam with IPA (n = 3), and (D) thiamethoxam without scavenging agents (n = 9); Figure S2. Phototransformation of parent and byproducts formed in Suwannee River DOM under simulated light for (A) thiamethoxam with TEMPOL (n = 3), (B) thiamethoxam with NaN3 (n = 3), (C) thiamethoxam with IPA (n = 3), and (D) thiamethoxam without scavenging agents (n = 9); Figure S3. Phototransformation of parent and byproducts formed in Nanopure water under simulated light for (A) thiamethoxam with TEMPOL (n = 3), (B) thiamethoxam with NaN3 (n = 3), (C) thiamethoxam with IPA (n = 3), and (D) thiamethoxam without scavenging agents (n = 9); Equations (S1)–(S12).
Author Contributions
Conceptualization, T.L.M. and D.D.S.; methodology, T.L.M. and J.F.B.; validation, T.L.M., D.D.S. and J.F.B.; formal analysis, J.F.B. and T.L.M.; investigation, J.F.B. and T.L.M.; resources, D.D.S. and T.L.M.; data curation, J.F.B. and T.L.M.; writing—original draft preparation, J.F.B.; writing—review and editing, T.L.M., D.S, S.D.C. and S.B.-H.; visualization, J.F.B. and T.L.M.; supervision, T.L.M.; project administration, T.L.M.; funding acquisition, T.L.M. All authors have read and agreed to the published version of the manuscript.
Funding
This article is based upon work that was supported by the National Institute of Food and Agriculture, U.S. Department of Agriculture, under award number 2018-67019-27794, and a Hatch multistate capacity funding grant (W-4045). This project was also supported with funding from the Robert B. Daugherty Water for Food Global Institute at the University of Nebraska–Lincoln. Any opinions, findings, conclusions, or recommendations expressed in this publication are those of the authors and do not necessarily reflect the view of the U.S. Department of Agriculture or the Robert B. Daugherty Water for Food Global Institute at the University of Nebraska–Lincoln.
Institutional Review Board Statement
Not applicable.
Informed Consent Statement
Not applicable.
Data Availability Statement
Data Contained within the article and Supplementary Materials.
Acknowledgments
Collaborators that made this project possible include the staff at the University of Nebraska–Lincoln Water Science Laboratory, Martin Doyle, Jessica Satiroff, Levi McKercher, Julia Lindgren, Brittany Trejo, Nayelly Rodriguez, Kyra Sigler, and Keima Kamara-Borsuah.
Conflicts of Interest
The authors declare no conflicts of interest.
References
- Raschitor, A.; Romero, A.; Sanches, S.; Pereira, V.J.; Crespo, J.G.; Llanos, J. Degradation of neonicotinoids and caffeine from surface water by photolysis. Molecules 2021, 26, 7277. [Google Scholar] [CrossRef]
- Borsuah, J.F.; Messer, T.L.; Snow, D.D.; Comfort, S.D.; Mittelstet, A.R. Literature Review: Global Neonicotinoid Insecticide Occurrence in Aquatic Environments. Water 2020, 12, 3388. [Google Scholar] [CrossRef]
- Hladik, M.L.; Kolpin, D.W. First national-scale reconnaissance of neonicotinoid insecticides in streams across the USA. Environ. Chem. 2015, 13, 12. [Google Scholar] [CrossRef]
- De, A.; Bose, R.; Kumar, A.; Mozumdar, S. Targeted Delivery of Pesticides Using Biodegradable Polymeric Nanoparticles; Springer: New Delhi, India, 2014. [Google Scholar]
- Sharma, A.; Kumar, V.; Shahzad, B.; Tanveer, M.; Sidhu, G.P.S.; Handa, N.; Kohli, S.K.; Yadav, P.; Bali, A.S.; Parihar, R.D.; et al. Worldwide pesticide usage and its impacts on ecosystem. SN Appl. Sci. 2019, 1, 1446. [Google Scholar] [CrossRef]
- Loser, D.; Grillberger, K.; Hinojosa, M.G.; Blum, J.; Haufe, Y.; Danker, T.; Johansson, Y.; Möller, C.; Nicke, A.; Bennekou, S.H.; et al. Acute effects of the imidacloprid metabolite desnitro-imidacloprid on human nACh receptors relevant for neuronal signaling. Arch. Toxicol. 2021, 95, 3695–3716. [Google Scholar] [CrossRef] [PubMed]
- Wan, Y.; Han, Q.; Wang, Y.; He, Z. Five degradates of imidacloprid in source water, treated water, and tap water in Wuhan, central China. Sci. Total. Environ. 2020, 741, 140227. [Google Scholar] [CrossRef] [PubMed]
- United States Environmental Protection Agency. Aquatic Life Benchmarks and Ecological Risk Assessments for Registered Pesticides; United States Environmental Protection Agency: Washington, DC, USA, 2016; p. 35.
- Wood, T.J.; Goulson, D. The environmental risks of neonicotinoid pesticides: A review of the evidence post 2013. Environ. Sci. Pollut. Res. 2017, 24, 17285–17325. [Google Scholar] [CrossRef] [PubMed]
- Bonmatin, J.-M.; Giorio, C.; Girolami, V.; Goulson, D.; Kreutzweiser, D.P.; Krupke, C.; Liess, M.; Long, E.; Marzaro, M.; Mitchell, E.A.D.; et al. Environmental fate and exposure; neonicotinoids and fipronil. Environ. Sci. Pollut. Res. 2015, 22, 35–67. [Google Scholar] [CrossRef]
- Mitchell, E.A.D.; Mulhauser, B.; Mulot, M.; Mutabazi, A.; Glauser, G.; Aebi, A. A worldwide survey of neonicotinoids in honey. Science 2017, 358, 109–111. [Google Scholar] [CrossRef]
- Yamamuro, M.; Komuro, T.; Kamiya, H.; Kato, T.; Hasegawa, H.; Kameda, Y. Neonicotinoids disrupt aquatic food webs and decrease fishery yields. Science 2019, 366, 620–623. [Google Scholar] [CrossRef]
- Wong, K.L.K.; Webb, D.T.; Nagorzanski, M.R.; Kolpin, D.W.; Hladik, M.L.; Cwiertny, D.M.; LeFevre, G.H. Chlorinated Byproducts of Neonicotinoids and Their Metabolites: An Unrecognized Human Exposure Potential? Environ. Sci. Technol. Lett. 2019, 6, 98–105. [Google Scholar] [CrossRef]
- Miles, J.C.; Hua, J.; Sepulveda, M.S.; Krupke, C.H.; Hoverman, J.T. Effects of clothianidin on aquatic communities: Evaluating the impacts of lethal and sublethal exposure to neonicotinoids. PLoS ONE 2017, 12, e0174171. [Google Scholar] [CrossRef]
- Anderson, J.; Dubetz, C.; Palace, V. Neonicotinoids in the Canadian aquatic environment: A literature review on current use products with a focus on fate, exposure, and biological effects. Sci. Total. Environ. 2015, 505, 409–422. [Google Scholar] [CrossRef] [PubMed]
- Anderson, J.C.; Carlson, J.C.; Low, J.E.; Challis, J.K.; Wong, C.S.; Knapp, C.W.; Hanson, M.L. Performance of a constructed wetland in Grand Marais, Manitoba, Canada: Removal of nutrients, pharmaceuticals, and antibiotic resistance genes from municipal wastewater. Chem. Central J. 2013, 7, 54. [Google Scholar] [CrossRef]
- Wang, J.; Zhang, X.; Fan, L.; Su, L.; Zhao, Y. Photolysis mechanism of eleven insecticides under simulated sunlight irradiation: Kinetics, pathway and QSAR. Chemosphere 2023, 334, 138968. [Google Scholar] [CrossRef] [PubMed]
- Fan, L.; Zhang, X.; Wang, J.; Wang, C.; Li, S.; Zhao, Y.H.; Martyniuk, C.J. Relationship between photolysis mechanism and photo-enhanced toxicity to Vibrio Fischeri for neonicotinoids with cyano-amidine and nitroguanidine structures. Aquat. Toxicol. 2023, 257, 106443. [Google Scholar] [CrossRef]
- Hashimoto, F.; Takanashi, H.; Nakajima, T.; Ueda, T.; Kadokawa, J.-I.; Ishikawa, H.; Miyamoto, N. Occurrence of imidacloprid and its transformation product (imidacloprid-nitroguanidine) in rivers during an irrigating and soil puddling duration. Microchem. J. 2020, 153, 104496. [Google Scholar] [CrossRef]
- Acero, J.L.; Real, F.J.; Benitez, F.J.; Matamoros, E. Degradation of neonicotinoids by UV irradiation: Kinetics and effect of real water constituents. Sep. Purif. Technol. 2019, 211, 218–226. [Google Scholar] [CrossRef]
- Malhotra, N.; Chen, K.H.-C.; Huang, J.-C.; Lai, H.-T.; Uapipatanakul, B.; Roldan, M.J.M.; Macabeo, A.P.G.; Ger, T.-R.; Hsiao, C.-D. Physiological Effects of Neonicotinoid Insecticides on Non-Target Aquatic Animals—An Updated Review. Int. J. Mol. Sci. 2021, 22, 9591. [Google Scholar] [CrossRef]
- Mourikes, V.E.; Márquez, R.S.; Deviney, A.; Neff, A.M.; Laws, M.J.; Flaws, J.A. Imidacloprid and Its Bioactive Metabolite, Desnitro-Imidacloprid, Differentially Affect Ovarian Antral Follicle Growth, Morphology, and Hormone Synthesis In Vitro. Toxics 2023, 11, 349. [Google Scholar] [CrossRef]
- Jacob, C.R.d.O.; Zanardi, O.Z.; Malaquias, J.B.; Silva, C.A.S.; Yamamoto, P.T. The impact of four widely used neonicotinoid insecticides on Tetragonisca angustula (Latreille) (Hymenoptera: Apidae). Chemosphere 2019, 224, 65–70. [Google Scholar] [CrossRef]
- DiBartolomeis, M.; Kegley, S.; Mineau, P.; Radford, R.; Klein, K. An assessment of acute insecticide toxicity loading (AITL) of chemical pesticides used on agricultural land in the United States. PLoS ONE 2019, 14, e0220029. [Google Scholar] [CrossRef]
- Finnegan, M.C.; Baxter, L.R.; Maul, J.D.; Hanson, M.L.; Hoekstra, P.F. Comprehensive characterization of the acute and chronic toxicity of the neonicotinoid insecticide thiamethoxam to a suite of aquatic primary producers, invertebrates, and fish. Environ. Toxicol. Chem. 2017, 36, 2838–2848. [Google Scholar] [CrossRef]
- Thompson, D.A.; Lehmler, H.-J.; Kolpin, D.W.; Hladik, M.L.; Vargo, J.D.; Schilling, K.E.; LeFevre, G.H.; Peeples, T.L.; Poch, M.C.; LaDuca, L.E.; et al. A critical review on the potential impacts of neonicotinoid insecticide use: Current knowledge of environmental fate, toxicity, and implications for human health. Environ. Sci. Process. Impacts 2020, 22, 1315–1346. [Google Scholar] [CrossRef]
- Katagi, T. Direct photolysis mechanism of pesticides in water. J. Pestic. Sci. 2018, 43, 57–72. [Google Scholar] [CrossRef]
- Todey, S.A.; Fallon, A.M.; Arnold, W.A. Neonicotinoid insecticide hydrolysis and photolysis: Rates and residual toxicity. Environ. Toxicol. Chem. 2018, 37, 2797–2809. [Google Scholar] [CrossRef] [PubMed]
- Burrows, H.D.; Santaballa, J.A.; Steenken, S. Reaction pathways and mechanisms of photodegradation of pesticides. J. Photochem. Photobiol. B Biol. 2002, 67, 71–108. [Google Scholar] [CrossRef] [PubMed]
- Remucal, C.K. The role of indirect photochemical degradation in the environmental fate of pesticides: A review. Environ. Sci. Process. Impacts 2014, 16, 628–653. [Google Scholar] [CrossRef] [PubMed]
- Zeng, T.; Arnold, W.A. Pesticide Photolysis in Prairie Potholes: Probing Photosensitized Processes. Environ. Sci. Technol. 2013, 47, 6735–6745. [Google Scholar] [CrossRef]
- Aajoud, A.; Ravanel, P.; Tissut, M. Fipronil metabolism and dissipation in a simplified aquatic ecosystem. J. Agric. Food Chem. 2003, 51, 1347–1352. [Google Scholar] [CrossRef] [PubMed]
- de Urzedo, A.P.F.M.; Diniz, M.E.R.; Nascentes, C.C.; Catharino, R.R.; Eberlin, M.N.; Augusti, R. Photolytic degradation of the insecticide thiamethoxam in aqueous medium monitored by direct infusion electrospray ionization mass spectrometry. J. Mass Spectrom. 2007, 42, 1319–1325. [Google Scholar] [CrossRef]
- Wamhoff, H.; Schneider, V. Photodegradation of Imidacloprid. J. Agric. Food Chem. 1999, 47, 1730–1734. [Google Scholar] [CrossRef]
- Lin, A.Y.; Reinhard, M. Photodegradation of Common Environmental Pharmaceuticals and Estrogens in River Water. Environ. Toxicol. Chem. 2005, 24, 1303–1309. [Google Scholar] [CrossRef]
- Satiroff, J.A.; Messer, T.L.; Mittelstet, A.R.; Snow, D.D. Pesticide Occurrence and Persistence Entering Recreational Lakes in Watersheds of Varying Land Uses. Environ. Pollut. 2020, 273, 116399. [Google Scholar] [CrossRef] [PubMed]
- Snow, D.; Chakraborty, P.; Uralbekov, B.; Satybaldiev, B.; Sallach, J.; Hampton, L.T.; Jeffries, M.; Kolok, A.; Bartelt-Hunt, S. Legacy and current pesticide residues in Syr Darya, Kazakhstan: Contamination status, seasonal variation and preliminary ecological risk assessment. Water Res. 2020, 184, 116141. [Google Scholar] [CrossRef]
- SM 5310 D.; Total Organic Carbon (TOC) by Wet Oxidation Method. National Environmental Methods Index: Washington, DC, USA, 2000. Available online: https://www.nemi.gov/methods/method_summary/7614/ (accessed on 23 January 2024).
- US EPA. EPA 300 Determination of Inorganic Anions by Ion Chromatography; US EPA: Washington, DC, USA, 1993.
- Kurwadkar, S.; Evans, A.; DeWinne, D.; White, P.; Mitchell, F. Modeling photodegradation kinetics of three systemic neonicotinoids—Dinotefuran, imidacloprid, and thiamethoxam—In aqueous and soil environment. Environ. Toxicol. Chem. 2016, 35, 1718–1726. [Google Scholar] [CrossRef] [PubMed]
- Redlich, D.; Shahin, N.; Ekici, P.; Friess, A.; Parlar, H. Kinetical study of the photoinduced degradation of imidacloprid in aquatic media. Clean 2007, 35, 452–458. [Google Scholar] [CrossRef]
- Wang, Y.; Deng, W.; Wang, F.; Su, Y.; Feng, Y.; Chen, P.; Ma, J.; Su, H.; Yao, K.; Liu, Y.; et al. Study of the simulated sunlight photolysis mechanism of ketoprofen: The role of superoxide anion radicals, transformation byproducts, and ecotoxicity assessment. Environ. Sci. Process. Impacts 2017, 19, 1176–1184. [Google Scholar] [CrossRef] [PubMed]
- Kobkeatthawin, T.; Trakulmututa, J.; Amornsakchai, T.; Kajitvichyanukul, P.; Smith, S.M. Identification of Active Species in Photodegradation of Aqueous Imidacloprid over g-C3N4/TiO2 Nanocomposites. Catalysts 2022, 12, 120. [Google Scholar] [CrossRef]
- Zhang, P.; Shao, Y.; Xu, X.; Huang, P.; Sun, H. Phototransformation of biochar-derived dissolved organic matter and the effects on photodegradation of imidacloprid in aqueous solution under ultraviolet light. Sci. Total. Environ. 2020, 724, 137913. [Google Scholar] [CrossRef] [PubMed]
- Giokas, D.L.; Vlessidis, A.G. Application of a novel chemometric approach to the determination of aqueous photolysis rates of organic compounds in natural waters. Talanta 2007, 71, 288–295. [Google Scholar] [CrossRef]
- Scholes, R.C.; Prasse, C.; Sedlak, D.L. The Role of Reactive Nitrogen Species in Sensitized Photolysis of Wastewater-Derived Trace Organic Contaminants. Environ. Sci. Technol. 2019, 53, 6483–6491. [Google Scholar] [CrossRef]
- Thuyet, D.Q.; Watanabe, H.; Yamazaki, K.; Takagi, K. Photodegradation of imidacloprid and fipronil in rice–Paddy water. Bull. Environ. Contam. Toxicol. 2011, 86, 548–553. [Google Scholar] [CrossRef]
- Žabar, R.; Dolenc, D.; Jerman, T.; Franko, M.; Trebše, P. Photolytic and photocatalytic degradation of 6-chloronicotinic acid. Chemosphere 2011, 85, 861–868. [Google Scholar] [CrossRef]
- Julian, J.P.; Doyle, M.W.; Powers, S.M.; Stanley, E.H.; Riggsbee, J.A. Optical water quality in rivers. Water Resour. Res. 2008, 44, 1–19. [Google Scholar] [CrossRef]
- Latch, D.E.; McNeill, K. Microheterogeneity of Singlet Oxygen Distributions in Irradiated Humic Acid Solutions. Science 2006, 311, 1743–1747. [Google Scholar] [CrossRef]
- Averett, R.C.; Leenheer, J.A.; McKnight, D.M.; Thorn, K.A. Humic Substances in the Suwannee River, Georgia: Interactions, Properties, and Proposed Structures; US Government Printing Office: Washington, DC, USA, 1994. [CrossRef]
- IHSS. International Humic Substances Society. 2022. Available online: https://humic-substances.org/source-materials-for-ihss-samples/ (accessed on 23 January 2024).
- Zhao, C.; Pelaez, M.; Duan, X.; Deng, H.; O’Shea, K.; Fatta-Kassinos, D.; Dionysiou, D.D. Role of pH on photolytic and photocatalytic degradation of antibiotic oxytetracycline in aqueous solution under visible/solar light: Kinetics and mechanism studies. Appl. Catal. B Environ. 2013, 134–135, 83–92. [Google Scholar] [CrossRef]
- Sharpless, C.M.; Blough, N.V. The importance of charge-transfer interactions in determining chromophoric dissolved organic matter (CDOM) optical and photochemical properties. Environ. Sci. Process. Impacts 2014, 16, 654–671. [Google Scholar] [CrossRef] [PubMed]
- Webb, D.T.; Nagorzanski, M.R.; Powers, M.M.; Cwiertny, D.M.; Hladik, M.L.; LeFevre, G.H. Differences in Neonicotinoid and Metabolite Sorption to Activated Carbon Are Driven by Alterations to the Insecticidal Pharmacophore. Environ. Sci. Technol. 2020, 54, 14694–14705. [Google Scholar] [CrossRef] [PubMed]
- Qu, S.; Kolodziej, E.P.; Long, S.A.; Gloer, J.B.; Patterson, E.V.; Baltrusaitis, J.; Jones, J.D.; Benchetler, P.V.; Cole, E.A.; Kimbrough, K.C.; et al. Trenbolone: Unrecognized Risks. Science 2013, 342, 347–352. Available online: https://www.ncbi.nlm.nih.gov/pmc/articles/PMC4096139/ (accessed on 23 January 2024). [CrossRef] [PubMed]
Disclaimer/Publisher’s Note: The statements, opinions and data contained in all publications are solely those of the individual author(s) and contributor(s) and not of MDPI and/or the editor(s). MDPI and/or the editor(s) disclaim responsibility for any injury to people or property resulting from any ideas, methods, instructions or products referred to in the content. |
© 2024 by the authors. Licensee MDPI, Basel, Switzerland. This article is an open access article distributed under the terms and conditions of the Creative Commons Attribution (CC BY) license (https://creativecommons.org/licenses/by/4.0/).