Research on Speed Planning and Energy Management Strategy for Fuel Cell Hybrid Bus in Green Wave Scenarios at Traffic Light Intersections Based on Deep Reinforcement Learning
Abstract
1. Introduction
1.1. Speed Planning
1.2. EMS
- (1)
- A simulation environment was established, including a model with six sets of traffic light intersections and an FCHB, which provided a realistic basis for addressing speed planning and energy management issues under complex urban road conditions.
- (2)
- DDPG algorithms were used to simultaneously handle speed planning and energy management, improving the vehicle’s efficiency while ensuring a smooth and continuous passage through multiple traffic light intersections.
2. System Model Description
2.1. FCHB Model
2.2. Speed-Planning Model
2.3. Transportation Environment Model
3. DRL-Based EMS and Speed Planning for FCHB
3.1. Description of the Problem
3.2. DRL
| Algorithm 1. Pseudo-code of the DDPG algorithm. | |
| 1: | and Randomly initialize the Critic network and network |
| 2: | Initialize target network weight parameters and |
| 3: | Initialize the experience playback area R |
| 4: | for episode = 1, M do: |
| 5: | Action exploration, random noise N initialization |
| 6: | Obtaining the initial observation state |
| 7: | for t = 1, T do: |
| 8: | |
| 9: | Execute an action , merit , and environmental state , digital , deposit R |
| 10: | Randomly sample a multidimensional array of batch size values N from R |
| 11: | |
| 12: | Minimize the loss function L to update the Critic network: |
| 13: | |
| 14: | Sampling policy gradients to update the Actor policy network: |
| 15: | |
| 16: | Update the target network: |
| 17: | |
| 18: | |
| 19: | end for |
| 20: | end for |
3.3. Speed Planning and FCHB EMS Based on Dual-Objective Optimization DDPG
3.4. Simulation Scenario Construction
4. Results and Analysis
4.1. Comparative Analysis of Speed Planning
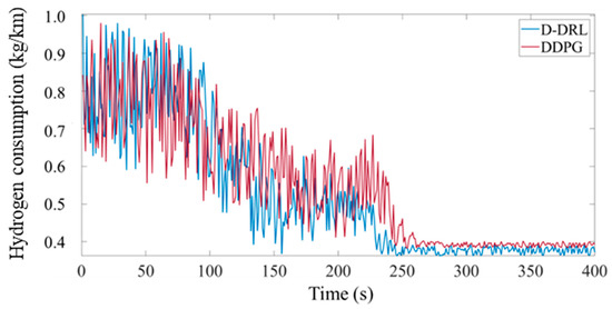
4.2. Comparative Analysis of Energy Management
5. Conclusions
Author Contributions
Funding
Institutional Review Board Statement
Informed Consent Statement
Data Availability Statement
Conflicts of Interest
References
- Łebkowski, A. Studies of energy consumption by a city bus powered by a hybrid energy storage system in variable road conditions. Energies 2019, 12, 951. [Google Scholar] [CrossRef]
- Khalatbarisoltani, A.; Boulon, L.; Hu, X. Integrating model predictive control with federated reinforcement learning for decentralized energy management of fuel cell vehicles. IEEE Trans. Intell. Transp. Syst. 2023, 24, 13639–13653. [Google Scholar] [CrossRef]
- Jia, C.; Zhou, J.; He, H.; Li, J.; Wei, Z.; Li, K.; Shi, M. A novel energy management strategy for hybrid electric bus with fuel cell health and battery thermal-and health-constrained awareness. Energy 2023, 271, 127105. [Google Scholar] [CrossRef]
- Pramuanjaroenkij, A.; Kakac, S. The fuel cell electric vehicles: The highlight review. Int. J. Hydrogen Energy 2023, 48, 9401–9425. [Google Scholar] [CrossRef]
- Andrade, T.S.; Thiringer, T. Low platinum fuel cell as enabler for the hydrogen fuel cell vehicle. J. Power Sources 2024, 598, 234140. [Google Scholar] [CrossRef]
- Peng, J.K.; Shen, Y.; Wu, C.C.; Wang, C.H.; Yi, F.Y.; Ma, C.Y. Research on energy-saving driving control of hydrogen fuel bus based on deep reinforcement learning in freeway ramp weaving area. Energy 2023, 285, 129449. [Google Scholar] [CrossRef]
- Wang, D.; Mei, L.; Song, C.X.; Jin, L.Q.; Xiao, F.; Song, S.X. Energy management strategy with mutation protection for fuel cell electric vehicles. Int. J. Hydrogen Energy 2024, 63, 48–58. [Google Scholar] [CrossRef]
- Riedmaier, S.; Ponn, T.; Ludwig, D.; Schick, B.; Diermeyer, F. Survey on Scenario-Based Safety Assessment of Automated Vehicles. IEEE Access 2020, 8, 87456–87477. [Google Scholar] [CrossRef]
- Mahler, G.; Vahidi, A. An Optimal Velocity-Planning Scheme for Vehicle Energy Efficiency Through Probabilistic Prediction of Traffic-Signal Timing. IEEE Trans. Intell. Transp. Syst. 2014, 15, 2516–2523. [Google Scholar] [CrossRef]
- Luo, Y.G.; Li, S.; Zhang, S.W.; Qin, Z.B.; Li, K.Q. Green light optimal speed advisory for hybrid electric vehicles. Mech. Syst. Signal Process. 2017, 87, 30–44. [Google Scholar] [CrossRef]
- Ma, F.W.; Yang, Y.; Wang, J.W.; Li, X.C.; Wu, G.P.; Zhao, Y.; Wu, L.; Aksun-Guvenc, B.; Guvenc, L. Eco-driving-based cooperative adaptive cruise control of connected vehicles platoon at signalized intersections. Transp. Res. Part D Transp. Environ. 2021, 92, 102746. [Google Scholar] [CrossRef]
- Han, X.; Ma, R.; Zhang, H.M. Energy-aware trajectory optimization of CAV platoons through a signalized intersection. Transp. Res. Part C Emerg. Technol. 2020, 118, 102652. [Google Scholar] [CrossRef]
- Yuan, S.; Xu, S.; Zheng, S. Deep reinforcement learning based green wave speed guidance for human-driven connected vehicles at signalized intersections. In Proceedings of the 2022 14th International Conference on Measuring Technology and Mechatronics Automation (ICMTMA), Changsha, China, 15–16 January 2022; IEEE: Piscataway, NJ, USA, 2022; pp. 331–339. [Google Scholar]
- Chen, B.; Ma, R.Q.; Zhou, Y.; Ma, R.; Jiang, W.T.; Yang, F. Co-optimization of speed planning and cost-optimal energy management for fuel cell trucks under vehicle-following scenarios. Energy Convers. Manag. 2024, 300, 117914. [Google Scholar] [CrossRef]
- Desantes, J.M.; Novella, R.; Pla, B.; Lopez-Juarez, M. Effect of dynamic and operational restrictions in the energy management strategy on fuel cell range extender electric vehicle performance and durability in driving conditions. Energy Convers. Manag. 2022, 266, 115821. [Google Scholar] [CrossRef]
- Yuan, H.B.; Zou, W.J.; Jung, S.; Kim, Y.B. Optimized rule-based energy management for a polymer electrolyte membrane fuel cell/battery hybrid power system using a genetic algorithm. Int. J. Hydrogen Energy 2022, 47, 7932–7948. [Google Scholar] [CrossRef]
- Fu, Z.M.; Zhu, L.L.; Tao, F.Z.; Si, P.J.; Sun, L.F. Optimization based energy management strategy for fuel cell/battery/ultracapacitor hybrid vehicle considering fuel economy and fuel cell lifespan. Int. J. Hydrogen Energy 2020, 45, 8875–8886. [Google Scholar] [CrossRef]
- Geng, C.; Jin, X.F.; Zhang, X. Simulation research on a novel control strategy for fuel cell extended-range vehicles. Int. J. Hydrogen Energy. 2019, 44, 408–420. [Google Scholar] [CrossRef]
- Li, M.L.; Yan, M.; He, H.W.; Peng, J.K. Data-driven predictive energy management and emission optimization for hybrid electric buses considering speed and passengers prediction. J. Clean. Prod. 2021, 304, 127139. [Google Scholar] [CrossRef]
- Lu, D.; Yi, F.; Hu, D.; Li, J.; Yang, Q.; Wang, J. Online optimization of energy management strategy for FCV control parameters considering dual power source lifespan decay synergy. Appl. Energy 2023, 348, 121516. [Google Scholar] [CrossRef]
- Fares, D.; Chedid, R.; Karaki, S.; Jabr, R.; Panik, F.; Gabele, H.; Huang, Y. Optimal power allocation for a FCHV based on linear programming and PID controller. Int. J. Hydrogen Energy 2014, 39, 21724–21738. [Google Scholar] [CrossRef]
- Hu, Z.Y.; Li, J.Q.; Xu, L.F.; Song, Z.Y.; Fang, C.; Ouyang, M.G.; Dou, G.W.; Kou, G.H. Multi-objective energy management optimization and parameter sizing for proton exchange membrane hybrid fuel cell vehicles. Energy Convers. Manag. 2016, 129, 108–121. [Google Scholar] [CrossRef]
- Hu, X.S.; Murgovski, N.; Johannesson, L.M.; Egardt, B. Optimal Dimensioning and Power Management of a Fuel Cell/Battery Hybrid Bus via Convex Programming. IEEE-ASME Trans. Mechatron. 2015, 20, 457–468. [Google Scholar] [CrossRef]
- Sigaud, O. Combining evolution and deep reinforcement learning for policy search: A survey. ACM Trans. Evol. Learn. 2023, 3, 1–20. [Google Scholar] [CrossRef]
- Wang, Z.; Zhang, S.; Luo, W.; Xu, S. Deep reinforcement learning with deep-Q-network based energy management for fuel cell hybrid electric truck. Energy 2024, 306, 132531. [Google Scholar] [CrossRef]
- Xu, B.; Shi, J.Z.; Li, S.X.; Li, H.Y.; Wang, Z. Energy consumption and battery aging minimization using a Q-learning strategy for a battery/ultracapacitor electric vehicle. Energy 2021, 229, 120705. [Google Scholar] [CrossRef]
- Zhang, Y.X.; Ma, R.; Zhao, D.D.; Huangfu, Y.G.; Liu, W.G. A Novel Energy Management Strategy Based on Dual Reward Function Q-learning for Fuel Cell Hybrid Electric Vehicle. IEEE Trans. Ind. Electron. 2022, 69, 1537–1547. [Google Scholar] [CrossRef]
- Tang, X.L.; Zhou, H.T.; Wang, F.; Wang, W.D.; Lin, X.K. Longevity-conscious energy management strategy of fuel cell hybrid electric Vehicle Based on deep reinforcement learning. Energy 2022, 238, 121593. [Google Scholar] [CrossRef]
- Zheng, C.H.; Zhang, D.F.; Xiao, Y.; Li, W. Reinforcement learning-based energy management strategies of fuel cell hybrid vehicles with multi-objective control. J. Power Sources 2022, 543, 231841. [Google Scholar] [CrossRef]
- Wu, J.; Song, D.; Zhang, X.; Duan, C.; Yang, D. Multi-objective reinforcement learning-based energy management for fuel cell vehicles considering lifecycle costs. Int. J. Hydrogen Energy 2023, 48, 37385–37401. [Google Scholar] [CrossRef]
- Li, M.; Liu, H.; Yan, M.; Wu, J.; Jin, L.; He, H. Data-driven bi-level predictive energy management strategy for fuel cell buses with algorithmics fusion. Energy Convers. Manag. X 2023, 20, 100414. [Google Scholar] [CrossRef]













| Component | Parameter | Value |
|---|---|---|
| Vehicle | Length × width × height | 12,000 × 2550 × 3400 mm |
| Curb mass | 13,500 kg | |
| Full load mass | 18,000 kg | |
| Maximum windward area | 8.16 m2 | |
| Air drag coefficient | 0.55 | |
| Rolling resistance coefficient | 0.0085 | |
| Wheel radius | 0.466 m | |
| Main reduction ratio | 6.2 | |
| Maximum speed | 69 km/h | |
| Maximum acceleration | 0.7 m/s2 | |
| Fuel cell system | Rated power | 60 kW |
| Rated current | 0–350 A | |
| Output voltage | 145–290 V | |
| DC/DC | Rated power | 60 kW |
| Output voltage | 400–720 V | |
| Efficiency | 90–95% | |
| Power battery pack | Capacity | 108.14 kWh |
| Voltage range | 540~738 V | |
| Drive motor | Rated power | 100 kW |
| Rated torque | 1200 Nm | |
| Peak power | 200 kW | |
| Peak torque | 2400 Nm | |
| Rated/maximum speed | 800/3000 rpm | |
| Drive motor efficiency | Max 97%, 85% |
| Intersection | Red (s) | Yellow (s) | Green (s) |
|---|---|---|---|
| 1 | 27 | 3 | 42 |
| 2 | 35 | 3 | 48 |
| 3 | 40 | 3 | 41 |
| 4 | 39 | 3 | 47 |
| 5 | 45 | 3 | 42 |
| 6 | 39 | 3 | 43 |
| Parameter | DDPG_Speed Planning | DDPG_EMS |
|---|---|---|
| Learning rate | 9.5 × 10−5 | 9.7 × 10−5 |
| Memory pool capacity | 5 × 104 | 5 × 104 |
| Batch size | 64 | 64 |
| Target network Parameter iteration | 100 | 100 |
| Greed rate | 0.92 | 0.92 |
| Parameter | Value |
|---|---|
| Main road lanes | 2 |
| Design speed | 50 km/h |
| Lane width | 3 m |
| Methods of EMS | Equivalent H2 (kg/100 km) | Comparison |
|---|---|---|
| DP | 5.36 | 100% |
| D-DRL | 5.59 | 95.71% |
| DDPG | 5.67 | 94.22% |
Disclaimer/Publisher’s Note: The statements, opinions and data contained in all publications are solely those of the individual author(s) and contributor(s) and not of MDPI and/or the editor(s). MDPI and/or the editor(s) disclaim responsibility for any injury to people or property resulting from any ideas, methods, instructions or products referred to in the content. |
© 2024 by the authors. Licensee MDPI, Basel, Switzerland. This article is an open access article distributed under the terms and conditions of the Creative Commons Attribution (CC BY) license (https://creativecommons.org/licenses/by/4.0/).
Share and Cite
Yi, F.; Guo, W.; Gong, H.; Shen, Y.; Zhou, J.; Yu, W.; Lu, D.; Jia, C.; Zhang, C.; Gong, F. Research on Speed Planning and Energy Management Strategy for Fuel Cell Hybrid Bus in Green Wave Scenarios at Traffic Light Intersections Based on Deep Reinforcement Learning. Sustainability 2024, 16, 11156. https://doi.org/10.3390/su162411156
Yi F, Guo W, Gong H, Shen Y, Zhou J, Yu W, Lu D, Jia C, Zhang C, Gong F. Research on Speed Planning and Energy Management Strategy for Fuel Cell Hybrid Bus in Green Wave Scenarios at Traffic Light Intersections Based on Deep Reinforcement Learning. Sustainability. 2024; 16(24):11156. https://doi.org/10.3390/su162411156
Chicago/Turabian StyleYi, Fengyan, Wei Guo, Hongtao Gong, Yang Shen, Jiaming Zhou, Wenhao Yu, Dagang Lu, Chunchun Jia, Caizhi Zhang, and Farui Gong. 2024. "Research on Speed Planning and Energy Management Strategy for Fuel Cell Hybrid Bus in Green Wave Scenarios at Traffic Light Intersections Based on Deep Reinforcement Learning" Sustainability 16, no. 24: 11156. https://doi.org/10.3390/su162411156
APA StyleYi, F., Guo, W., Gong, H., Shen, Y., Zhou, J., Yu, W., Lu, D., Jia, C., Zhang, C., & Gong, F. (2024). Research on Speed Planning and Energy Management Strategy for Fuel Cell Hybrid Bus in Green Wave Scenarios at Traffic Light Intersections Based on Deep Reinforcement Learning. Sustainability, 16(24), 11156. https://doi.org/10.3390/su162411156

