Abstract
Different polysaccharides, namely xanthan gum, guar gum, locust bean gum (LBG), and κ-carrageenan, were used as stabilizers, individually or in mixtures (50:50), to prepare spreadable processed whey cheese (PWC) samples of constant chemical composition and pH. The impact of polysaccharides on the physical, textural, and sensory characteristics of PWC samples was examined, revealing significant differences (p < 0.05) in all assessed properties among the samples. PWC samples had an off-white color with a slight yellowish hue. All samples were stable emulsion gels, with free oil formation values ranging between 4% and 12%. Textural properties, as determined by texture profile analysis, were highly correlated with physical and sensory attributes. The PWC samples made with xanthan gum, guar gum, LBG, xanthan gum + guar gum, and κ-carrageenan + xanthan gum were less hard, while they were rated by panelists as having increased fattiness, stickiness, as well as texture and overall acceptability. The sample that contained xanthan gum was the softest and the most cohesive, adhesive, springy, stringy, and gummy compared to the other PWC samples. In contrast, brittleness and increased hardness were exhibited by the samples prepared with κ-carrageenan, κ-carrageenan + guar gum, κ-carrageenan + LBG, and xanthan gum + LBG, which were judged unsuitable for spreading by the panelists. In conclusion, the development of such cheeses aims not only at the production of flavorsome and nutritious products, but also at sustainability, as it utilizes whey, which is a by-product of cheese making.
1. Introduction
Processed cheese, a cheese-based food, is typically produced by melting natural cheese with emulsifying salts and optionally adding other ingredients to achieve a smooth and homogeneous texture []. One of the primary goals of the processed cheese industry is the development of diverse and innovative products. This can be accomplished by incorporating alternative components such as whey proteins (WPs) and polysaccharides into formulations.
Whey is a by-product of the dairy industry and has primarily been considered waste. Recognition of the value of WPs has spread widely, as they are cost-effective ingredients with excellent functional properties, increased digestibility, and biological value. WPs represent 20% of total milk proteins and are composed of β-lactoglobulin (β-lg), α-lactalbumin, serum albumin, immunoglobulin, and minor proteins []. Research on the functionality of processed cheese has focused on the use of WPs as an added ingredient in typical processed cheese formulations [], as a fat replacer [], or for the partial substitution of caseins []. Even though WPs offer extremely high potential for the innovative development of functional and nutritious food products, there is a lack of literature on the properties of processed cheese prepared using whey cheese as the sole cheese base. Previous work by our group involved the innovative development of processed whey cheese (PWC), using Myzithra cheese as the main protein ingredient [,]. Myzithra is a Greek soft whey cheese produced from the whey derived from the manufacture of Feta cheese or hard cheeses [].
In conventional processed cheese, emulsifying salts (sodium phosphates and citrates) are necessary ingredients to solubilize and hydrate the casein network to achieve homogeneous products []. However, many consumers appreciate processed cheese with as few chemical food additives and as little sodium as possible []. For this reason, research has also been carried out on products in the processed cheese category containing polysaccharides as natural additives that could replace emulsifying salts [,,]. Polysaccharides are often added to processed cheese products, individually or in combination, to improve water-holding properties, enhance viscosity, stabilize structure, and modify their texture. The most common polysaccharides used in food production are galactomannans (guar gum and LBG), xanthan gum, and carrageenans. Galactomannans are neutral branched polysaccharides whose molecular structure generally consists of chains of mannose residues with randomly attached galactose units as side chains. Galactomannans are capable of forming viscous solutions, whereas LBG has been reported to form self-associating gels upon storage []. Xanthan gum is a high-molecular-weight anionic polysaccharide consisting of a linear (1-4)-β-D-glucose backbone with a charged trisaccharide side chain on each second glucose residue. It has weak gel-like properties and can form gels at high concentrations [,]. Carrageenans are a family of anionic sulfated polysaccharides possessing a linear galactan backbone with alternating disaccharide repeating sequences of 1,4-linked α-D-galactose and 1,3-linked β-D-galactose. Their least sulfated and most gelling fraction is κ-carrageenan []. The combination of polysaccharides allows the development of new textures, as interactions between different polysaccharides can enhance or hinder gelation (synergy or antagonism, respectively). Xanthan gum has shown synergistic interactions with galactomannans, forming thermoreversible gels with guar gum or LBG []. Synergistic effects have also been observed in mixed systems of κ-carrageenan and guar gum or LBG [,]. Compared to guar gum, LBG shows stronger synergy with xanthan gum or carrageenan due to its higher mannose-to-galactose (M/G) ratio, rendering it less substituted than guar gum []. In the case of xanthan gum mixtures containing κ-carrageenan, the system is governed by phase separation, and no binding interaction has been observed [].
Interactions also occur between proteins and polysaccharides in mixtures. Thus, thermodynamic incompatibility between WPs and neutral polysaccharides (galactomannans) is favored under conditions that promote biopolymer self-association, such as increased ionic strength and pH values near the isoelectric point of WPs (pI ≈ 5.2) [,]. Regarding mixtures of WPs and LBG, no complexation was observed throughout the whole pH range []. Depending on the preparation conditions of the mixed systems, xanthan gum can have a synergistic or antagonistic effect when added to WPs, leading to different gel microstructures []. Sulfated polysaccharides, like carrageenans, can interact with proteins more strongly than carboxylated polysaccharides, such as xanthan gum []. The electrostatic attraction between WPs and anionic polysaccharides above or around the pI of WPs is due to the association of negatively charged groups with positively charged patches on the protein surface [,]. These observations suggest that in complex food systems containing biopolymers and lipids, such as processed cheese, the microstructure and properties of the final products are determined by the interactions between different components.
In the present work, spreadable PWC samples, made exclusively with whey cheese as the cheese base, were prepared. As they did not contain insoluble proteins (caseins), the use of emulsifying salts was not required. Instead, the addition of polysaccharides as stabilizers was necessary to achieve the desired structure and texture of the samples. The aim of this study was to investigate the influence of different polysaccharides, such as xanthan gum, guar gum, LBG, and κ-carrageenan, added individually or in mixtures (50:50) on the physical, textural, and sensory properties of prepared spreadable PWC samples. This research focused on complementing the knowledge already acquired regarding the properties of these products. The goal was to create innovative clean-label cheeses while promoting sustainable development through the significant use of whey, a by-product of cheese production.
2. Materials and Methods
2.1. Materials
The cheese base for preparing spreadable processed whey cheese (PWC) samples was fresh Myzithra cheese, made exclusively from whey without added salt, which was kindly provided by Mevgal Dairy S.A. (Thessaloniki, Greece). Pasteurized, homogenized full cream was purchased from Agno Dairy S.A. (Thessaloniki, Greece). A freeze-dried starter culture of mixed mesophilic lactic acid strains (FD-DVS Flora-Danica) was acquired from Chr. Hansen’s Dairy Cultures (Hørsholm, Denmark). Xanthan gum, guar gum, LBG, κ-carrageenan, NaCl, and all reagents used for analyses, which were of analytical grade, were sourced from Sigma-Aldrich (Saint-Louis, MO, USA).
2.2. Preparation of the Processed Cheese Samples
All samples were prepared using a Stephan Universal Machine UMC 5 mixer-cooker, as described in detail by Chatziantoniou et al. []. Nine PWC samples were prepared, the first four containing individual polysaccharides: xanthan gum (X), guar gum (G), LBG (L), κ-carrageenan (C) and the other five containing a mixture of two polysaccharides (50:50): xanthan gum/guar gum (X/G), xanthan gum/LBG (X/L), κ-carrageenan/xanthan gum (C/X), κ-carrageenan/guar gum (C/G), κ-carrageenan/LBG (C/L). Myzithra cheese and cream were mixed with a starter culture until pH dropped to 5.0, then polysaccharides (0.8% w/w), and NaCl (1.0% w/w) were added, heated at 90 °C and then poured into glass jars for storage at 4 °C. For textural measurements, portions of the samples were poured and stored in cylindrical molds. Each sample was prepared in triplicate, and measurements were taken within four days of preparation.
2.3. Chemical Composition
Compositional analyses of the raw materials and PWC samples included measuring the moisture content [], fat content [], ash, NaCl, and protein content []. The pH was measured using a Hanna Instruments pH meter (model HI 8424) (Hanna Instruments Inc., Woonsocket, RI, USA). All measurements were conducted in triplicate (one repeat per triplicate sample) after 1 day of storage.
2.4. Color
The color of PWC samples was determined according to the International Commission on Illumination (CIE) using a Micro Color colorimeter (Dr. Lange, Düsseldorf, Germany) on cylindrical samples of 10 mm × 50 mm (height × diameter). The instrument provides three color parameters (coordinates), L* (lightness), a* (+redness, –greenness), and b* (+yellowness, –blueness), in accordance with the CIELab system, after having been calibrated with black and white calibration tiles. Measurements were conducted in nine repeats (three repeats per triplicate sample).
2.5. Free Oil
The free oil in PWC samples was measured using the method described by Kindstedt and Fox [], which involves using centrifugal force to recover free oil from samples heated to 60 °C in a Gerber butyrometer, serving as an accelerated test for fat globule coalescence. Free oil was expressed per 100 g of the sample. The determinations were performed in triplicate (one repeat per triplicate sample).
2.6. Textural Measurements
Cylindrical samples with a height and diameter of 22 mm were used for texture profile analysis (TPA). The samples were compressed between two metal disks (Ø = 100 mm) at a speed of 20 mm/min until they reached 80% deformation. The analysis involved two consecutive compression−decompression cycles. The textural properties assessed included brittleness (or fracturability), hardness 1 and 2, compression work 1 and 2, cohesiveness, adhesiveness, springiness, stringiness, and gumminess, as described by Bourne and Comstock [].
2.7. Sensory Evaluation
PWC samples were evaluated by two different panels comprising members of the Department of Food Science and Technology, conforming to ISO 8586 []. The first panel, consisting of 18 expert sensory assessors, evaluated the intensity of sensory characteristics using a descriptive intensity rating test. The second panel, comprising 72 habitual consumers, assessed the samples for acceptability using a hedonic rating test. Each PWC sample was evaluated using a 9-point scale in ascending order []. Regarding intensity, sensory attributes such as yellow color (not at all yellow-very yellow), fattiness (not fatty—extremely fatty), and stickiness (not sticky—extremely sticky) were evaluated. In hedonic evaluations, aroma-flavor, texture, and overall acceptability were rated (dislike extremely—like extremely). Each PWC sample was evaluated six times for each sensory attribute for intensity (two repeats per triplicate sample) and twenty-four times for acceptability (eight repeats per triplicate sample).
2.8. Statistical Analysis
One-way analysis of variance (ANOVA) was employed for the physical, textural, and sensory parameters of the PWC samples. When significant effects were detected (p < 0.05), the Student-Newman-Keuls’ (SNK) multiple range test was applied. Pearson’s correlation coefficients (r) were determined to reveal relationships between the properties of the samples. Statistical analyses were performed using Minitab 18 statistical software (Minitab Inc., State College, PA, USA).
3. Results and Discussion
3.1. Chemical Composition
The pH of the PWC samples was constant (5.21 ± 0.03), as was the chemical composition (Table 1).

Table 1.
Chemical composition of PWC samples containing different polysaccharides.
3.2. Color
The results of the color determinations are presented in Table 2. Differences in color parameters L*, a*, and b* between PWC samples, although statistically significant (p < 0.05), were very small. All samples had a lightness, L*, of around 90, which corresponds to an off-white color. One-way ANOVA (p < 0.05) revealed that samples G, C/X, X/L, and X/G had increased lightness, while sample C had the lowest L* value.

Table 2.
Color parameters 1 of PWC samples.
All PWC samples exhibited a slight yellowish hue (positive b* values) as well as a very slight greenish hue that was not perceptible to the eye (negative a* values and close to zero). Specifically, samples C, C/G, and C/L were more yellow in relation to other samples due to the yellowish color of κ-carrageenan. The yellow color, characteristic of processed cheese [] and mostly due to the carotenoid content of milk fat [] as well as the greenish color, mainly due to the riboflavin content of whey [], have been observed in processed cheese spreads [] and PWC of varying chemical composition []. Analogous results regarding color have been reported for WP gels [], low-fat processed cheese [], and processed cheese analogs [].
3.3. Free Oil Formation
Free oil formation, also called oiling off or fat leakage, is the tendency of liquid fat to separate from melted cheese and accumulate as oil pockets, particularly at the surface []. It is a measure of the free fat content of cheese, that is, the non-emulsified fat present in the mass of cheese in the form of aggregates of fat globules or fat pools []. Therefore, free oil formation is an indication of the degree of emulsification of fat in the cheese []. However, moderate free oil formation could be considered desirable. A certain amount of free oil is necessary to prevent localized dehydration of the surface of heated cheese. In addition, some attributes required for specific processed cheese functionality, like enhanced spreadability or meltability, can be achieved due to a small amount of free oil [].
In this work, the quantitative method used to determine free oil is an accelerated test of fat coalescence. Although it reflects heat-related properties, it may not extract the fat held in emulsified form by proteins in the cheese []. The different polysaccharides added to PWC samples behave as emulsion stabilizers, forming viscous or gelled networks in the aqueous phase [], which are thermally reversible []. Free oil formation is expected to be aided by the melting of PWC samples, as milk fat globules melt below 39 °C [] and the gelled structure at various relatively low temperatures, depending on the type of added polysaccharide [].
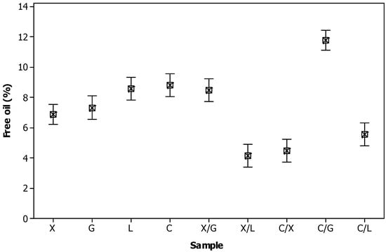
Figure 1 presents the results of free oil formation expressed as a percentage (w/w) in PWC samples, where it is shown that the type of polysaccharide affected (p < 0.05) this property. All samples were stable emulsion gels, with free oil values ranging from 4.17% to 11.75%. The differences are due to both the thickening-gelling behavior of the different polysaccharides and the melting properties of the resulting emulsion gels. According to the ANOVA, three groups of samples can be distinguished.

Figure 1.
Free oil of PWC samples expressed as a percentage (w/w) in the sample (X: xanthan gum, G: guar gum, L: LBG, C: κ-carrageenan). Interval bars denote the pooled standard deviation (mean of three replications and 95% confidence level).
In the first group, the four polysaccharides used individually and the mixture of xanthan and guar gums gave similar intermediate free oil values (6.88–8.83% w/w), indicating a relatively loose or porous structure and moderate stabilizing ability. The strongly gelling κ-carrageenan, which simultaneously forms electrostatic complexes with WPs, showed a free oil value equal to that of galactomannans (guar gum and LBG), which are relatively weak thickeners and are also thermodynamically incompatible with WPs. κ-carrageenan forms mechanically resistant but thermally sensitive gels since its aqueous gels (1% w/w) were found to melt at low temperatures (36 °C) []. Equal free oil values were also observed in PWC sample X/G. Synergistic effects between xanthan and guar gums, leading to enhanced viscosity via intermolecular binding between the disordered xanthan and unsubstituted regions of the galactomannan backbone [], would have improved the steric stabilization of fat globules []. However, PWC samples containing such blends may have good melting characteristics, as reported for xanthan gum/guar gum aqueous blends (1% w/w total concentration), which are not resistant to melting (at 32.5 °C) [].
Slightly lower free oil values were observed in sample X compared to the others with individual polysaccharides because xanthan gum has been shown to stabilize emulsion structures containing milk proteins due to the formation of a long-lasting gel-like network of aggregated droplets []. Moreover, xanthan gum aqueous gels (1% w/w) have been found to be resistant to melting (≈65 °C) [], which possibly hinders free oil formation in PWC samples.
In the second group, samples X/L, C/L, and C/X had the lowest free oil values (4.17–5.58% w/w), indicating that these polysaccharide mixtures provided the strongest macromolecular barrier at the interface [], arising from enhanced emulsification and stabilization in a gelled phase. Compared to samples X and L, the observed lower values in sample X/L can be attributed to intermolecular interactions between xanthan and unsubstituted segments of the mannan backbone of LBG, leading to synergistic gelling upon cooling [,] more heat stable than those with the respective polysaccharides individually added []. Similarly, in sample C/L, the combination of the incompatibility of LBG with WPs, the electrostatic interaction of κ-carrageenan with WPs [], and the interaction of κ-carrageenan’s double helix with smooth regions of LBG mannan backbone [] strengthened the stability of fat globules against breakage during centrifugation. Regarding the lower values of free oil in sample C/X, the decreased ability of free oil to form can be attributed to the segregative interaction between the two polysaccharides and their complexation with WPs. Since xanthan gum and κ-carrageenan are both anionic and κ-carrageenan can interact with proteins more strongly than xanthan gum [], the latter would preferentially desorb to the bulk [], thus increasing its thickening properties. This would allow the increased effective volume of κ-carrageenan to aggregate or even partially bind to WP-stabilized fat globules and form negatively charged aggregates [], thus increasing the rigidity of the film around fat globules [].
The highest values of free oil formation (11.75%) were observed in PWC sample C/G (third group), possibly due to a combination of a more open structure and decreased rigidity of the film around fat globules. Both have been reported to result in phase separation in mixed systems with WPs, and mixtures of κ-carrageenan with guar gum are much less synergistic than those with LBG [,]. Furthermore, while mixed κ-carrageenan/galactomannan gels are thermally reversible, κ-carrageenan/guar gum aqueous blends (1% w/w) have been reported to melt at lower temperatures (35 °C) than κ-carrageenan/LBG blends (45–52 °C) [,]. As found in the present study, in mixed κ-carrageenan/galactomannan gels, a larger pore size, increased sensitivity to temperature rise, and coarser and weaker gels were formed in the presence of guar gum compared to LBG. Specifically, the mixed gels became extremely soft at 40 °C [].
When comparing sample C/G to sample C/X, both of which involve decreased polysaccharide interactions, the increased free oil formed in sample C/G may also be attributed to the higher flexibility of guar gum compared to xanthan gum [,]. This may have enabled guar gum to be depleted from the interparticle distance; thus, the ability of fat globules to break during centrifugation was further increased. The above explains the observed weaker macromolecular barrier at the interface [] of the sample containing κ-carrageenan and guar gum, where fat globules ruptured or aggregated more easily during melting and centrifugation. In addition, there may have been hampering of κ-carrageenan self-association and weaker gel formation, which is far more prone to hydrolysis under the acidic conditions of free oil formation [].
Comparable free oil values (0.01–9.75%) were found in PWC samples containing guar gum and increasing fat content []. Similarly, free oil values ranging from 14.3% to 18.9% were reported for processed cheese samples, depending on the type of cheddar cheese used as the raw material [].
3.4. Textural Properties
The TPA properties of PWC samples, namely brittleness, B, hardness 1, H1, hardness 2, H2, compression work 1, A1, compression work 2, A2, cohesiveness, A2/A1, adhesiveness, A3, springiness, S1, stringiness, S2, and gumminess, G, as affected by added polysaccharides, are given in Table 3. Characteristic curves of PWC samples X and C are shown in Figure 2a and b, respectively. During the first compression cycle, the curve of sample X did not show any significant break, which means that the emulsion gel flowed rather than fractured. Similar behavior has been observed in cream cheese [] and block-type processed cheese []. In contrast, the break in the curve of sample C, corresponding to the fracture point, indicated that it was an emulsion gel that fractured during compression.

Table 3.
Textural properties 1 of PWC samples obtained by texture profile analysis.

Figure 2.
Typical texture profile analysis curves (80% deformation, 20 mm/min compression speed) of PWC: (a) sample X (without fracture point) and (b) sample C (with fracture point). The two consecutive cycles of compression–decompression are shown.
Significant differences (p < 0.05) among the samples were observed for all the textural properties determined. Regarding the shape of the TPA curve during the first compression cycle, two groups of samples could be distinguished: those that did not present a fracture point (samples X, G, L, X/G, and C/X) and those that exhibited brittleness B, which is the force corresponding to the fracture point (samples C, C/G, C/L, and X/L). However, according to the ANOVA, four groups are distinguished. The first (samples X, G, and L) presented decreased values of H1, H2, A1, and A2 and increased values of A2/A1 and A3. On the contrary, the second group (samples C, C/L, and X/L) exhibited increased values of H1, H2, A1, and A2 and decreased values of A2/A1 and A3. With intermediate values, the third group (samples X/G and C/X) had properties close to those of the first group, and the fourth group (sample C/G) had texture properties close to those of the second group. Hardness 1, H1, was the property showing major differences among the samples in the following order: X < L < G = C/X < X/G < C/G < X/L < C < C/L.
Sample X was not only the softest but also the most cohesive, adhesive, springy, stringy, and gummy compared to the other PWC samples because xanthan gum has low viscosity in solution and weak electrostatic attraction with WPs. Flocculation or partial aggregation of fat droplets could also be the cause of decreased firmness but increased cohesiveness and springiness [], which is in agreement with the large size of fat globules previously determined for sample X []. In contrast, in the presence of emulsifying salts in processed cheese spreads, the addition of guar gum results in softer products than xanthan gum [] or LBG []. The higher hardness and compression work values observed for samples G and L must be due to the thermodynamic incompatibility of galactomannans with WPs, leading to a segregative interaction with self-association of guar gum or LBG on the one hand and aggregation of WPs on the other hand. Much higher hardness and compression work values were found in sample C due to the strong gelling capacity of κ-carrageenan, which additionally exhibits high electrostatic attraction with WPs. Similarly, when carrageenan was used alone in the formulation of cheese analogs, the products were harder than when using xanthan gum or LBG [,]. Furthermore, Mozzarella cheese analogs with xanthan gum were found to be softer and springier than those containing carrageenan or LBG []. It has also been reported that xanthan gum forms more adhesive samples than κ-carrageenan (0.5% w/v) in mixed gels with bovine serum albumin (20% w/v) [].
Comparable TPA results were reported for PWC samples [,], commercial pasteurized processed cheese products with added WPs [], processed cheese [], processed cheese analogs [], and cream cheese []. Also, similar results of textural properties have been reported for low-fat processed cheese [,] and processed cheese analogs [] with polysaccharide addition. Dabour and El-Shanshory [] also observed that the adhesiveness of processed cheese analogs with added polysaccharides decreased in the same order: xanthan gum > guar gum > carrageenan.
PWC samples prepared with polysaccharide mixtures showed different textural behaviors, which could also be due to interactions between polysaccharides, in addition to their above-mentioned interactions with WPs. According to the additivity law, in all five samples prepared with mixtures, the polysaccharides showed synergistic or antagonistic effects, meaning that the interactions between polysaccharides were stronger than those between polysaccharides and WPs. The mixture of xanthan gum and guar gum (sample X/G) or LBG (sample X/L) increased the hardness and compression work while decreasing the cohesiveness, adhesiveness, and gumminess due to the synergy of polysaccharides through their cross-linking, especially in the case of LBG. The blending of κ-carrageenan and guar gum or LBG showed weak antagonism in the first case (sample C/G) but strong synergy in the second (sample C/L). That is, the gelation of κ-carrageenan should be impeded by guar gum due to its high degree of galactose substitution, but enhanced by LBG due to its strong cross-linking with κ-carrageenan. Finally, κ-carrageenan and xanthan gum acted antagonistically and gave a rather soft texture to sample C/X, which could be due to the electrostatic repulsion between these two anionic polysaccharides.
These results are consistent with those of similar PWC samples examined using squeezing flow viscometry []. Adhesiveness decreased when polysaccharide mixtures were used in PWC samples, where samples X/L and C/L were the least adhesive. Analogous results regarding adhesiveness were reported by Gustaw and Mleko [] for processed cheese analogs containing WPs (0.1% w/w) and mixtures (50:50) of LBG with xanthan gum or κ-carrageenan (0.2% w/w total concentration) at pH 6.2.
TPA results of PWC samples were highly correlated among them at p < 0.05 (Table 4). In particular, H1 was positively correlated with H2, A1, and A2, and negatively correlated with A3. H2 also showed a positive correlation with A1 and a negative correlation with A3, while A1 was negatively correlated with A3. Positive correlations were found between A2 and G, between A3 and A2/A1, between A2/A1 and S1 or S2, and between S1 and S2.

Table 4.
Correlation coefficients among TPA results of PWC samples (p < 0.05).
The above results reveal that PWC samples measured as hard were less adhesive, and samples with increased cohesiveness were also more adhesive, springy, and stringy.
No correlation was found between the TPA and free oil results, indicating that the stability of the prepared emulsion gels was achieved in all samples, regardless of their texture.
3.5. Sensory Attributes
Significant differences were observed (p < 0.05) among the mean scores of PWC samples’ sensory attributes (Table 5). From the intensity rating tests, samples C/G and C/L were found to have a more intense yellow color in relation to other PWC samples, while samples L and X/G were perceived as having increased fattiness. Samples C/L and X/L were perceived as the least fatty and sticky, while samples X, G, L, and X/G were rated as very sticky. From hedonic rating tests, the results showed that samples G, L, and X/G obtained high scores in terms of aroma-flavor, texture, and overall acceptability. On the contrary, samples C and X/L received very low texture and overall acceptability scores from the panelists. Overall, PWC samples containing guar gum or LBG were rated as more acceptable than the sample containing xanthan. However, a study on the sensory attributes of processed cheese analogs containing xanthan gum or carrageenan did not reveal any differences in the odor, color, or acceptability of the samples [].

Table 5.
Panelists’ scores on the intensity of sensory characteristics and acceptability of PWC samples (9-point scale in ascending order).
Results of sensory attributes showed high correlations among them at p < 0.05 (Table 6). Positive correlations were observed between fattiness and stickiness and between stickiness and texture acceptability. Fattiness and texture acceptability also showed a positive correlation. Finally, aroma-flavor and texture acceptability were positively correlated with overall acceptability, showing the importance of aroma-flavor and texture on the acceptability of PWC samples by consumers.

Table 6.
Correlation coefficients among sensory attribute results of PWC samples (p < 0.05).
3.6. Correlations Between Instrumental and Sensory Methods
It is known that instrumental evaluation of food properties can lead to measurements that correlate with sensory perception, providing practical information to the food industry. High correlations can predict consumer sensory behavior from a simple instrumental measurement. In this direction, the results of sensory evaluation showed strong correlations with those obtained instrumentally on the PWC samples at p < 0.05 (Table 7). Specifically, the yellow color of the samples was well recognized by panelists during intensity rating tests since the sensory yellow color is highly correlated with the instrumental measure of yellowness, parameter b*, as previously observed []. Stickiness was highly positively correlated with A3, revealing the concordance between instrumental adhesiveness and sensory stickiness, and negatively correlated with H1, H2, and A1, showing that the firmer PWC samples were rated as less sticky.

Table 7.
Correlation coefficients between sensory and instrumental results of PWC samples (p < 0.05).
Texture acceptability had negative correlations with H1, H2, and A1, showing that as the solid character of PWC samples strengthened, the samples were perceived as less acceptable by panelists, as the product was intended for spreadable cheese. On the contrary, texture acceptability showed a positive correlation with A3, revealing the expected ability of cheese to adhere to the bread surface during spreading. According to the samples examined, the panelists accepted the samples with low hardness (H1 = 7–12 N) and high adhesiveness (A3 = 5–12 mJ). These values could constitute the ranges of texture acceptability and the overall acceptability of PWCs under the experimental conditions of the present work. With an appropriate reduction in the added concentration, it would be possible to obtain acceptable samples with the remainder of the polysaccharides if, in addition to the texture, the samples present a pleasant aroma-flavor.
4. Conclusions
All PWC samples had an off-white color with a slight yellowish hue, which is the characteristic color of processed cheeses. These are stable emulsion gels with free oil formation between 4% and 12%, which can be considered beneficial for cheese spreading.
Samples X, G, L, X/G, and C/X were soft and did not fracture under compression, with sample X being the softest and the most cohesive, adhesive, springy, stringy, and gummy. In contrast, samples C, C/G, C/L, and X/L were hard and fractured under compression, while having very low adhesiveness.
Correlations between the studied properties showed that the lower the instrumentally measured hardness of the PWC samples, the higher the sensory fattiness, stickiness, and texture acceptability. The correlations also showed the importance of aroma, flavor, and texture on the overall acceptability of the samples by consumers.
Testing using other polysaccharides or gelatin at appropriate concentrations would also be of interest for the development of similar products with improved properties. The addition of various natural flavorings and colorings can also create a large variety of attractive products.
This proposed alternative utilization of whey involving large quantities of whey proteins via the industrial production of PWC could constitute a new strategy to offer the market innovative nutritious and clean-label food, as well as contribute decisively to environmental protection.
Author Contributions
Conceptualization, A.S.T. and S.E.C.; methodology, A.S.T. and S.E.C.; formal analysis, S.E.C.; resources, A.S.T. and S.E.C.; data curation, S.E.C.; writing—original draft preparation, S.E.C.; writing—review and editing, A.S.T.; supervision, A.S.T. All authors have read and agreed to the published version of the manuscript.
Funding
This research received no external funding.
Institutional Review Board Statement
Not applicable.
Informed Consent Statement
Not applicable.
Data Availability Statement
The raw data supporting the conclusions of this article will be made available by the authors upon request.
Acknowledgments
The preparation and provision of Myzithra cheese by Mevgal Dairy S.A. (Thessaloniki, Greece) are gratefully acknowledged.
Conflicts of Interest
The authors declare no conflicts of interest.
References
- Guinee, T.P.; Carić, M.; Kaláb, M. Pasteurized processed cheese and substitute/imitation cheese products. In Cheese Chemistry, Physics and Microbiology, Vol. 2, 3rd ed.; Fox, P.F., McSweeney, P.L.H., Cogan, T.M., Eds.; Elsevier Academic Press: London, UK, 2004; pp. 350–394. [Google Scholar] [CrossRef]
- El-Aidie, S.A.M.; Khalifa, G.S.A. Innovative applications of whey protein for sustainable dairy industry: Environmental and technological perspectives—A comprehensive review. Compr. Rev. Food. Sci. Food Saf. 2024, 23, 13319. [Google Scholar] [CrossRef]
- El-Shibiny, S.; Shenana, M.E.; El-Nagar, G.F.; Abdou, S.M. Preparation and properties of low fat processed cheese spreads. Int. J. Dairy Sci. 2007, 2, 13–22. [Google Scholar] [CrossRef][Green Version]
- Sołowiej, B.G.; Nastaj, M.; Szafranska, J.O.; Terpiłowski, K.; Małecki, J.; Mleko, S. The effect of fat replacement by whey protein microcoagulates on the physicochemical properties and microstructure of acid casein model processed cheese. Int. Dairy J. 2022, 131, 105385. [Google Scholar] [CrossRef]
- Mleko, S.; Foegeding, E.A. Physical properties of rennet casein gels and processed cheese analogs containing whey proteins. Milchwissenschaft 2000, 55, 513–516. [Google Scholar]
- Chatziantoniou, S.E.; Thomareis, A.S.; Kontominas, M.G. Effect of chemical composition on physico-chemical, rheological and sensory properties of spreadable processed whey cheese. Eur. Food Res. Technol. 2015, 241, 737–748. [Google Scholar] [CrossRef]
- Chatziantoniou, S.E.; Thomareis, A.S.; Kontominas, M.G. Effect of different stabilizers on rheological properties, fat globule size and sensory attributes of novel spreadable processed whey cheese. Eur. Food Res. Technol. 2019, 245, 2401–2412. [Google Scholar] [CrossRef]
- Dermiki, M.; Ntzimani, A.; Badeka, A.; Savvaidis, I.N.; Kontominas, M.G. Shelf-life extension and quality attributes of the whey cheese “Myzithra Kalathaki” using modified atmosphere packaging. LWT 2008, 41, 284–294. [Google Scholar] [CrossRef]
- Buňka, F.; Salek, R.N.; Kůrová, V.; Buňková, L.; Lorencová, E. The impact of phosphate- and citrate-based emulsifying salts on processed cheese techno-functional properties: A review. Int. Dairy J. 2024, 158, 106031. [Google Scholar] [CrossRef]
- Swenson, B.J.; Wendorff, W.L.; Lindsay, R.C. Effects of ingredients on the functionality of fat-free process cheese spreads. J. Food Sci. 2000, 65, 822–825. [Google Scholar] [CrossRef]
- Černíková, M.; Buňka, F.; Pospiech, M.; Tremlová, B.; Hladká, K.; Pavlínek, V.; Březina, P. Replacement of traditional emulsifying salts by selected hydrocolloids in processed cheese production. Int. Dairy J. 2010, 20, 336–343. [Google Scholar] [CrossRef]
- Kratochvílová, A.; Salek, R.N.; Vašina, M.; Lazárková, Z.; Dostálová, J.; Šenkýrová, J. The impact of different hydrocolloids on the viscoelastic properties and microstructure of processed cheese manufactured without emulsifying salts in relation to storage time. Foods 2022, 11, 3605. [Google Scholar] [CrossRef]
- Arda, E.; Kara, S.; Pekcan, O. Synergistic effect of the locust bean gum on the thermal phase transitions of κ-carrageenan gels. Food Hydrocoll. 2009, 23, 451–459. [Google Scholar] [CrossRef]
- Pinheiro, A.C.; Bourbon, A.I.; Rocha, C.; Ribeiro, C.; Maia, J.M.; Gonçalves, M.P.; Teixeira, J.A.; Vicente, A.A. Rheological characterization of κ-carrageenan/galactomannan and xanthan/galactomannan gels: Comparison of galactomannans from non-traditional sources with conventional galactomannans. Carbohydr. Polym. 2011, 83, 392–399. [Google Scholar] [CrossRef]
- Thaiudom, S.; Goff, H.D. Effect of κ-carrageenan on milk protein polysaccharide mixtures. Int. Dairy J. 2003, 13, 763–771. [Google Scholar] [CrossRef]
- Dunstan, D.E.; Chen, Y.; Liao, M.-L.; Salvatore, R.; Boger, D.V.; Prica, M. Structure and rheology of the κ-carrageenan/locust bean gum gels. Food Hydrocoll. 2001, 15, 475–484. [Google Scholar] [CrossRef]
- Çakir, E.; Foegeding, E.A. Combining protein micro-phase separation and protein-polysaccharide segregative phase separation to produce gel structures. Food Hydrocoll. 2011, 25, 1538–1546. [Google Scholar] [CrossRef]
- Cavallieri, A.L.F.; Cunha, R.L. Cold-set whey protein gels with addition of polysaccharides. Food Biophys. 2009, 4, 94–105. [Google Scholar] [CrossRef]
- Benichou, A.; Aserin, A.; Garti, N. W/O/W double emulsions stabilized with WPI–polysaccharide complexes. Colloid Surf. A Physicochem. Eng. Asp. 2007, 294, 20–32. [Google Scholar] [CrossRef]
- Dickinson, E. Hydrocolloids at interfaces and the influence on the properties of dispersed systems. Review Article. Food Hydrocoll. 2003, 17, 25–40. [Google Scholar] [CrossRef]
- Stone, A.K.; Nickerson, M.T. Formation and functionality of whey protein isolate- (kappa-, iota, and lambda-type) carrageenan electrostatic complexes. Food Hydrocoll. 2012, 27, 271–277. [Google Scholar] [CrossRef]
- Gu, Y.S.; Decker, E.A.; McClements, D.J. Influence of pH and carrageenan type on properties of β-lactoglobulin stabilized oil-in-water emulsions. Food Hydrocoll. 2005, 19, 83–91. [Google Scholar] [CrossRef]
- IDF Standard 4; Cheese and Processed Cheese. Determination of Total Solid Content (Reference Method). International Dairy Federation: Brussels, Belgium, 2004.
- ISO Standard 3433; Cheese—Determination of Fat Content—Van Gulik Method. ISO: Geneva, Switzerland, 2008.
- AOAC. Official Methods of Analysis, 17th ed.; Association of Official Analytical Chemists: Washington, DC, USA, 2005. [Google Scholar]
- Kindstedt, P.S.; Fox, P.F. Modified Gerber test for free oil in melted mozzarella cheese. J. Food Sci. 1991, 56, 1115–1116. [Google Scholar] [CrossRef]
- Bourne, M.C.; Comstock, S.H. Effect of degree of compression on texture profile parameters. J. Texture Stud. 1981, 12, 201–216. [Google Scholar] [CrossRef]
- ISO Standard 8586; Sensory Analysis—General Guidelines for the Selection, Training and Monitoring of Selected Assessors and Expert Sensory Assessors. ISO: Geneva, Switzerland, 2012.
- Rousseau, B. Sensory evaluation techniques. In Handbook of Food Analysis: Physical Characterization and Nutrient Analysis, Vol. 1, 2nd ed.; Nollet, L.M.L., Ed.; Marcel Dekker Inc.: New York, NY, USA, 2004; pp. 21–38. [Google Scholar] [CrossRef]
- Bianchi, A.D.; Mallmann, S.; Gazoni, I.; Cavalheiro, D.; Rigo, E. Effect of acid casein freezing on the industrial production of processed cheese. Int. Dairy J. 2021, 118, 105043. [Google Scholar] [CrossRef]
- Scarso, S.; McParland, S.; Visentin, G.; Berry, D.P.; McDermott, A.; De Marchi, M. Genetic and nongenetic factors associated with milk color in dairy cows. J. Dairy Sci. 2017, 100, 7345–7361. [Google Scholar] [CrossRef] [PubMed]
- Paul-Sadhu, S. Impact of low refrigeration temperature on colour of milk. Acta Aliment. 2016, 45, 390–397. [Google Scholar] [CrossRef]
- Kristiansen, D.; Hansen, E.; Arndal, A.; Appelgren Trinderup, R.; Skibsted, L.H. Influence of light and temperature on the colour and oxidative stability of processed cheese. Int. Dairy J. 2001, 11, 837–843. [Google Scholar] [CrossRef]
- Dissanayake, M.; Kelly, A.L.; Vasiljevic, T. Gelling properties of microparticulated whey proteins. J. Agric. Food Chem. 2010, 58, 6825–6832. [Google Scholar] [CrossRef] [PubMed]
- Anjo, A.F.; Saraiva, B.R.; da Silva, J.B.; Ogawa, C.Y.L.; Sato, F.; Bruschi, M.L.; Riegel-Vidotti, I.C.; Simas, F.F.; Matumoto-Pintro, P.T. A new food stabilizer in technological properties of low-fat processed cheese. Eur. Food Res. Technol. 2023, 249, 597–606. [Google Scholar] [CrossRef]
- Cunha, C.R.; Dias, A.I.; Viotto, W.H. Microstructure, texture, colour and sensory evaluation of a spreadable processed cheese analogue made with vegetable fat. Food Res. Int. 2010, 43, 723–729. [Google Scholar] [CrossRef]
- Everett, D.W.; Auty, M.A.E. Cheese structure and current methods of analysis. Int. Dairy J. 2008, 18, 759–773. [Google Scholar] [CrossRef]
- Acharya, M.R.; Mistry, V.V. Effect of vacuum-condensed or ultrafiltered milk on pasteurized process cheese. J. Dairy Sci. 2005, 88, 3037–3043. [Google Scholar] [CrossRef] [PubMed]
- Rowney, M.; Roupas, P.; Hickey, M.W.; Everett, D.W. Factors affecting the functionality of mozzarella cheese. Aust. J. Dairy Technol. 1999, 54, 94–102. [Google Scholar]
- Dickinson, E. Emulsion gels: The structuring of soft solids with protein-stabilized oil droplets. Review Article. Food Hydrocoll. 2012, 28, 224–241. [Google Scholar] [CrossRef]
- Thomareis, A.S.; Hardy, J. Evolution de la chaleur spécifique apparente des fromages fondus entre 40 et 100°C. Influence de leur composition. J. Food Eng. 1985, 4, 117–134. [Google Scholar] [CrossRef]
- Khouryieh, H.A.; Herald, T.J.; Aramouni, F.; Alavi, S. Intrinsic viscosity and viscoelastic properties of xanthan/guar mixtures in dilute solutions: Effect of salt concentration on the polymer interactions. Food Res. Int. 2007, 40, 883–893. [Google Scholar] [CrossRef]
- Ye, A.; Hemar, Y.; Singh, H. Influence of polysaccharides on the rate of coalescence in oil-in-water emulsions formed with highly hydrolyzed whey proteins. J. Agric. Food Chem. 2004, 52, 5491–5498. [Google Scholar] [CrossRef]
- Khouryieh, H.A.; Puli, G.; Williams, K.; Aramouni, F. Effects of xanthan–locust bean gum mixtures on the physicochemical properties and oxidative stability of whey protein stabilised oil-in-water emulsions. Food Chem. 2015, 167, 340–348. [Google Scholar] [CrossRef] [PubMed]
- Copetti, G.; Grassi, M.; Lapasin, R.; Pricl, S. Synergistic gelation of xanthan gum with locust bean gum: A rheological investigation. Glycoconjugate J. 1997, 14, 951–961. [Google Scholar] [CrossRef]
- Murayama, A.; Ichikawa, Y.; Kawabata, A. Rheological properties of mixed gels of κ-carrageenan with galactomannans. Biosci. Biotech. Biochem. 1995, 59, 5–10. [Google Scholar] [CrossRef]
- Patel, A.R.; Dumlu, P.; Vermeir, L.; Lewille, B.; Lesaffer, A.; Dewettinck, K. Rheological characterization of gel-in-oil-in-gel type structured emulsions. Food Hydrocoll. 2015, 46, 84–92. [Google Scholar] [CrossRef]
- Paderes, M.; Ahirwal, D.; Pieto, S.F. Natural and synthetic polymers in fabric and home care applications. Phys. Sci. Rev. 2017, 2, 20170021. [Google Scholar] [CrossRef]
- Dimitreli, G.; Thomareis, A.S. Texture evaluation of block-type processed cheese as a function of chemical composition and in relation to its apparent viscosity. J. Food Eng. 2007, 79, 1364–1373. [Google Scholar] [CrossRef]
- Brummel, S.E.; Lee, K. Soluble hydrocolloids enable fat reduction in process cheese spreads. J. Food Sci. 1990, 55, 1290–1307. [Google Scholar] [CrossRef]
- Gustaw, W.; Mleko, S. The effect of polysaccharides and sodium chloride on physical properties of processed cheese analogs containing whey proteins. Milchwissenschaft 2007, 62, 59–62. [Google Scholar]
- Jana, A.H.; Patel, H.G.; Pinto, S.; Prajapati, J.P. Quality of casein based Mozzarella cheese analogue as affected by stabilizer blends. J. Food Sci. Technol. 2010, 47, 240–242. [Google Scholar] [CrossRef]
- Totosaus, A.; Guerrero, I.; Montejano, J.G. Effect of added salt on textural properties of heat-induced gels made from gum–protein mixtures. J. Texture Stud. 2005, 36, 78–92. [Google Scholar] [CrossRef]
- Lu, Y.; Shirashoji, N.; Lucey, J.A. Rheological, textural and melting properties of commercial samples of some of the different types of pasteurized processed cheese. Int. J. Dairy Technol. 2007, 60, 74–80. [Google Scholar] [CrossRef]
- da Silva, D.F.; de Souza Ferreira, S.B.; Bruschi, M.L.; Britten, M.; Matumoto-Pintro, P.T. Effect of commercial konjac glucomannan and konjac flours on textural, rheological and microstructural properties of low fat processed cheese. Food Hydrocoll. 2016, 60, 308–316. [Google Scholar] [CrossRef]
- Dabour, N.; El-Shanshory, A. The influence of protein content and some hydrocolloids on textural attributes of spreadable processed cheese. TJSAR 2018, 14, 5–11. [Google Scholar] [CrossRef]
Disclaimer/Publisher’s Note: The statements, opinions and data contained in all publications are solely those of the individual author(s) and contributor(s) and not of MDPI and/or the editor(s). MDPI and/or the editor(s) disclaim responsibility for any injury to people or property resulting from any ideas, methods, instructions or products referred to in the content. |
© 2024 by the authors. Licensee MDPI, Basel, Switzerland. This article is an open access article distributed under the terms and conditions of the Creative Commons Attribution (CC BY) license (https://creativecommons.org/licenses/by/4.0/).