Beneficial Microorganisms: Sulfur-Oxidizing Bacteria Modulate Salt and Drought Stress Responses in the Halophyte Plantago coronopus L.
Abstract
1. Introduction
2. Materials and Methods
2.1. Plant Material, Experimental Design, and Experimental Factors
Bacterial Strain
2.2. Analysis of Soil Electric Conductivity
2.3. Assessing Growth Parameters
2.4. Assessing Elemental Content
2.5. Assessing Metabolic Parameters
2.5.1. Photosynthetic Pigments
2.5.2. Reduced and Oxidized Glutathione
2.5.3. Proline Determination
2.5.4. Phenolic Compounds
2.5.5. Lipid Peroxidation
2.5.6. Radical Scavenging Activity with DPPH Radical
2.5.7. Phenolic Profile
2.6. Statistical Methods
3. Results
3.1. Soil Electric Conductivity
3.2. Growth Parameters
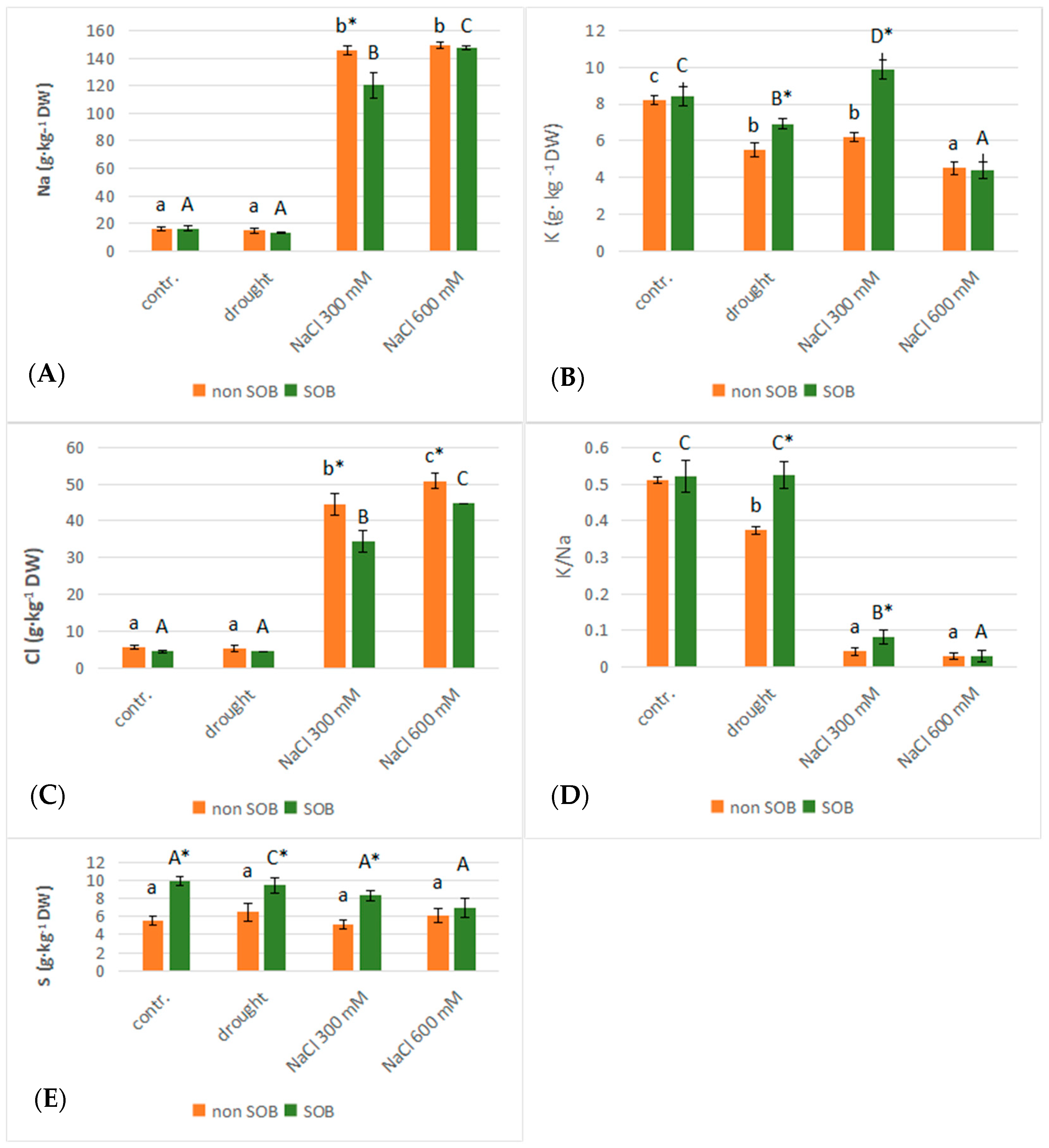
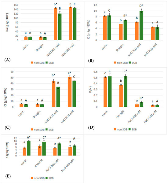
3.3. Elemental Content
3.4. Metabolic Response
3.4.1. Photosynthetic Pigments
3.4.2. Glutathione
3.4.3. Proline, Total Phenolic Compounds, MDA, and DPPH Levels
3.4.4. Phenolic Profile
4. Discussion
5. Conclusions
Supplementary Materials
Author Contributions
Funding
Institutional Review Board Statement
Informed Consent Statement
Data Availability Statement
Conflicts of Interest
References
- Bartels, D.; Sunkar, R. Drought and salt tolerance in plants. Crit. Rev. Plant Sci. 2005, 24, 23–58. [Google Scholar] [CrossRef]
- Rahman, M.M.; Hagare, D.; Maheshwari, B.; Dillon, P. Impacts of prolonged drought on salt accumulation inthe root zone due to recycled water irrigation. Water Air Soil Pollut. 2015, 226, 90. [Google Scholar] [CrossRef]
- Vicente, O.; Al Hassan, M.; Boscaiu, M. Contribution of osmolyte accumulation to abiotic stress tolerance in wild plants adapted to different stressful environments. In Osmolytes and Plants Acclimation to Changing Environment: Emerging Omics Technologies; Iqbal, N., Nazar, R., Khan, N.A., Eds.; Springer: New Delhi, India, 2016; pp. 13–25. [Google Scholar]
- Seleiman, M.F.; Al-Suhaibani, N.; Ali, N.; Akmal, M.; Alotaibi, M.; Refay, Y.; Dindaroglu, T.; Abdul-Wajid, H.H.; Battaglia, M.L. Drought stress impacts on plants and different approaches to alleviate its adverse effects. Plants 2021, 10, 259. [Google Scholar] [CrossRef] [PubMed]
- Riadh, K.; Wided, M.; Hans-Werner, K.; Chedly, A. Responses of halophytes to environmental stresses with special emphasis to salinity. Adv. Bot. Res. 2010, 53, 117–145. [Google Scholar]
- Shahid, S.A.; Zaman, M.; Heng, L. Soil Salinity: Historical Perspectives and a World Overview of the Problem. In Guideline for Salinity Assessment, Mitigation and Adaptation Using Nuclear and Related Techniques; Springer: Cham, Switzerland, 2018. [Google Scholar] [CrossRef]
- Calone, R.; Bregaglio, S.; Sanoubar, R.; Noli, E.; Lambertini, C.; Barbanti, L. Physiological Adaptation to Water Salinity in Six Wild Halophytes Suitable for Mediterranean Agriculture. Plants 2021, 10, 309. [Google Scholar] [CrossRef]
- Öztürk, M.; Altay, V.; Güvensen, A. Sustainable Use of Halophytic Taxa as Food and Fodder: An Important Genetic Resource in Southwest Asia. In Ecophysiology, Abiotic Stress Responses and Utilization of Halophytes; Hasanuzzaman, M., Nahar, K., Öztürk, M., Eds.; Springer: Singapore, 2019. [Google Scholar]
- Abdellaoui, R.; Elkelish, A.; El-Keblawy, A.; Mighri, H.; Boughalleb, F.; Bakhshandeh, E. Editorial: Halophytes: Salt stress tolerance mechanisms and potential use. Front. Plant Sci. 2023, 14, 1218184. [Google Scholar] [CrossRef] [PubMed]
- Corwin, D.L. Climate change impacts on soil salinity in agricultural areas. Eur. J. Soil Sci. 2020, 72, 842–862. [Google Scholar] [CrossRef]
- Narayan, O.P.; Kumar, P.; Yadav, B.; Dua, M.; Johri, A.K. Sulfur nutrition and its role in plant growth and development. Plant Signal. Behav. 2023, 18, 2030082. [Google Scholar] [CrossRef]
- Hasanuzzaman, M.; Nahar, K.; Rahman, A.; Mahmud, J.A.; Alharby, H.F.; Fujita, M. Exogenous glutathione attenuates lead-induced oxidative stress in wheat by improving antioxidant defense and physiological mechanisms. J. Plant Interact. 2018, 13, 203–212. [Google Scholar] [CrossRef]
- Sharma, R.K.; Cox, M.S.; Oglesby, C.; Dhillon, J.S. Revisiting the role of sulfur in crop production: A narrative review. J. Agric. Food Res. 2024, 15, 101013. [Google Scholar] [CrossRef]
- Grayston, S.J.; James, J.G. Sulfur-oxidizing bacteria as plant growth promoting rhizobacteria for canola. Can. J. Microbiol. 1991, 37, 521–529. [Google Scholar] [CrossRef]
- Boroujeni, S.R.; Kalbasi, M.; Asgharzadeh, A.; Baharlouei, J. Evaluating the Potential of Halothiobacillus Bacteria for Sulfur Oxidation and Biomass Production under Saline Soil. Geomicrobiol. J. 2021, 38, 57–65. [Google Scholar] [CrossRef]
- Nguyen, P.M.; Do, P.T.; Pham, Y.B.; Doan, T.O.; Nguyen, X.C.; Kul, L.W.; Nguyen, D.D.; Vadiveloo, A.; Um, M.J.; Ngo, H.H. Roles, mechanism of action, and potential applications of sulfur-oxidizing bacteria for environmental bioremediation. Sci. Total Environ. 2022, 852, 158203. [Google Scholar] [CrossRef] [PubMed]
- Ranadev, P.; Revanna, A.; Bagyaraj, D.J.; Shinde, A.H. Sulfur oxidizing Bacteria in Agro ecosystem and its role in Plant Productivity—A Review. J. Appl. Microbiol. 2023, 134, lxad161. [Google Scholar] [CrossRef] [PubMed]
- Nyamath, S.; Subburamu, K.; Kalyanasundram, G.T.; Balachandar, D.; Suresh, M.; Anandham, R. Multifarious charcteristics of sulfur-ozidizing bacteria residing in rice rizosphere. Folia Microbiol. 2024, 69, 395–405. [Google Scholar] [CrossRef]
- Koźmińska, A.; Kamińska, I.; Hanus-Fajerska, E. Sulfur-Oxidizing Bacteria Alleviate Salt and Cadmium Stress in Halophyte Tripolium pannonicum (Jacq.) Dobrocz. Int. J. Mol. Sci. 2024, 25, 2455. [Google Scholar] [CrossRef]
- Al Hassan, M.; Pacurar, A.; López-Gresa, M.P.; Donat-Torres, M.P.; Llinares, J.V.; Boscaiu, M.; Vicente, O. Effects of salt stress on three ecologically distinct Plantago species. PLoS ONE 2016, 11, e0160236. [Google Scholar] [CrossRef]
- del Medio Ambiente, C. Flora Vascular de Andalucía Oriental; Junta de Andalucía: Sevilla, Spain, 2009.
- Bueno, M.; Lendínez, M.L.; Calero, J.; Cordovilla, M.P. Salinity responses of three halophytes from inland saltmarshes of Jaén (southern Spain). Flora 2020, 266, 151589. [Google Scholar] [CrossRef]
- Pereira, C.G.; Barreira, L.; da Rosa Neng, N.; Nogueira, J.M.F.; Marques, C.; Santos, T.F.; Varela, J.; Custódio, L. Searching for new sources of innovative products for the food industry within halophyte aromatic plants: In vitro antioxidant activity and phenolic and mineral contents of infusions and decoctions of Crithmum maritimum L. Food Chem. Toxicol. 2017, 107, 581–589. [Google Scholar] [CrossRef]
- Lichtenthaler, H.K.; Wellburn, A.R. Determinations of total carotenoids and chlorophylls a and b of leaf extracts in differentsolvents. Biochem. Soc. Trans. 1983, 11, 591–592. [Google Scholar] [CrossRef]
- Queval, G.; Noctor, G. A plate reader method for the measurement of NAD, NADP, glutathione, and ascorbate in tissue extracts: Application to redox profiling during Arabidopsis rosette development. Anal. Biochem. 2007, 363, 58–69. [Google Scholar] [CrossRef] [PubMed]
- Bates, L.S.; Waldren, R.P.; Teare, I.D. Rapid determination of free proline for water stress studies. Plant Soil 1973, 39, 205–207. [Google Scholar] [CrossRef]
- Blainski, A.; Lopes, G.; de Mello, J. Application and analysis of the folin ciocalteu method for the determination of the total phenolic content from Limonium brasiliense L. Molecules 2013, 18, 6852–6865. [Google Scholar] [CrossRef] [PubMed]
- Del Rio, D.; Stewart, A.J.; Pellegrini, N. A review of recent studies on malondialdehyde as toxic molecule and biological marker of oxidative stress. Nutr. Metab. Cardiovasc. Dis. 2005, 15, 316–328. [Google Scholar] [CrossRef] [PubMed]
- Hodges, D.M.; Delong, J.M.; Forney, C.F.; Prange, R.K. Improving the thiobarbituric acid-reactive-substances assay for estimating lipid peroxidation in plant tissues containing anthocyanin and other interfering compounds. Planta 1999, 207, 604–611. [Google Scholar] [CrossRef]
- Pekkarinen, S.S.; Stöckmann, H.; Schwarz, K.; Heinonen, I.M.; Hopia, A.I. Antioxidant activity and partitioning of phenolic acids in bulk and emulsified methyl linoleate. J. Agric. Food Chem. 1999, 47, 3036–3043. [Google Scholar] [CrossRef] [PubMed]
- Fukumoto, L.R.; Mazza, G. Assessing antioxidant and prooxidant activities of phenolic compounds. J. Agric. Food Chem. 2000, 48, 3597–3604. [Google Scholar] [CrossRef] [PubMed]
- Zhang, G.; Bai, J.; Zhai, Y.; Jia, J.; Zhao, Q.; Wang, W.; Hu, X. Microbial diversity and functions in saline soils: A review from a biogeochemical perspective. J. Adv. Res. 2024, 59, 129–140. [Google Scholar] [CrossRef]
- Camberato, J.; Casteel, S. Sulfur deficiency. In Soil Fertility Update; Purdue University: West Lafayette, IN, USA, 2017; Volume 1, pp. 1–6. Available online: https://www.agry.purdue.edu/ext/corn/news/timeless/sulfurdeficiency.pdf (accessed on 27 November 2024).
- Zenda, T.; Liu, S.; Dong, A.; Duan, H. Revisiting Sulphur—The Once Neglected Nutrient: Its Roles in Plant Growth, Metabolism, Stress Tolerance, and Crop Production. Agriculture 2021, 11, 626. [Google Scholar] [CrossRef]
- Samanta, S.; Singh, A.; Roychoudhury, A. Involvement of sulfur in the regulation of abiotic stress tolerance in plants. In Protective Chemical Agents in the Amelioration of Plant Abiotic Stress: Biochemical and Molecular Perspectives; Roychoudhury, A., Tripathi, D.K., Eds.; Wiley: Hoboken, NJ, USA, 2020; pp. 437–466. [Google Scholar]
- Alvi, A.F.; Iqbal, N.; Albaqami, M.; Khan, N.A. The emerging key role of reactive sulfur species in abiotic stress tolerance in plants. Physiol. Plant. 2023, 175, e13945. [Google Scholar] [CrossRef] [PubMed]
- Gao, P.; Fan, K. Sulfur-Oxidizing Bacteria (SOB) and Sulfate-Reducing Bacteria (SRB) in Oil Reservoirs and Biological Control of SRB: A Review. Arch. Microbiol. 2023, 205, 162. [Google Scholar] [CrossRef] [PubMed]
- Wang, R.; Lin, J.Q.; Liu, X.M.; Pang, X.; Zhang, C.J.; Yang, C.L.; Guo, X.Y.; Lin, C.M.; Li, Y.Q.; Li, Y.; et al. Sulfur oxidation in the acidophilic autotrophic Acidithiobacillus spp. Front. Microbiol. 2019, 9, 3290. [Google Scholar] [CrossRef] [PubMed]
- Whaley-Martin, K.; Jessen, G.L.; Nelson, T.C.; Mori, J.F.; Apte, S.; Jarolimek, C.; Warren, L.A. The potential role of Halothiobacillus spp. in sulfur oxidation and acid generation in circum-neutral mine tailings reservoirs. Front. Microbiol. 2019, 10, 297. [Google Scholar] [CrossRef] [PubMed]
- Anandham, R.; Gandhi, P.I.; SenthilKumar, M.; Sridar, R.; Nalayini, P.; Sa, T.M. Sulfur-oxidizing bacteria: A novel bioinoculant for sulfur nutrition and crop production. In Bacteria in Agrobiology: Plant Nutrient Management; Springer: Berlin/Heidelberg, Germany, 2011; pp. 81–107. [Google Scholar]
- Joshi, N.; Gothalwal, R.; Singh, M.; Dave, K. Novel sulphur-oxidizing bacteria consummate sulphur deficiency in oil seed crop. Arch. Microbiol. 2021, 203, 1–6. [Google Scholar] [CrossRef]
- Flowers, T.J.; Hajibagheri, M.A.; Clipson, N.J.W. Halophytes. Q. Rev. Biol. 1986, 61, 313–337. [Google Scholar] [CrossRef]
- Che, Y.; Dayong, F.; Zihan, W.; Nan, X.; Huihui, Z.; Guangyu, S.; Wah, S.C. Potassium mitigates salt-stress impacts on photosynthesis by alleviation of the proton diffusion potential in thylakoids. Environ. Exp. Bot. 2022, 194, 104708. [Google Scholar] [CrossRef]
- Johnson, R.; Kanchan, V.; Hossen, M.S.; Kumar, V.; Shackira, A.M.; Puthur, J.T.; Gholamreza, A.; Sarraf, M.; Hasanuzzaman, M. Potassium in plants: Growth regulation, signaling, and environmental stress tolerance. Plant Physiol. Biochem. 2022, 172, 56–69. [Google Scholar] [CrossRef]
- Salehi-Lisar, S.Y.; Bakhshayeshan-Agdam, H. Drought stress in plants: Causes, consequences, and tolerance. In Drought Stress Tolerance in Plants; Hossain, M., Wani, S., Bhattacharjee, S., Burritt, D., Tran, L.S., Eds.; Springer: Cham, Switzerland, 2016; pp. 1–16. [Google Scholar] [CrossRef]
- Sun, F.; Ou, Q.; Wang, N.; Guo, Z.X.; Ou, Y.; Li, N.; Peng, C. Isolation and identification of potassium-solubilizing bacteria from Mikania micrantha rhizospheric soil and their effect on M. micrantha plants. Glob. Ecol. Conserv. 2020, 23, e01141. [Google Scholar] [CrossRef]
- Kaur, T.; Devi, R.; Kour, D.; Yadav, A.; Yadav, A.N. Plant growth promotion of barley (Hordeum vulgare L.) by potassium solubilizing bacteria with multifarious plant growth promoting attributes. Plant Sci. Today 2021, 8, 17. [Google Scholar] [CrossRef]
- Singh, G.; Biswas, D.R.; Marwaha, T.S. Mobilization of potassium from waste mica by plant growth promoting rhizobacteria and its assimilation by maize (Zea mays) and wheat (Triticum aestivum): A hydroponics study under phytotron growth chamber. J. Plant Nutr. 2010, 33, 236–1251. [Google Scholar] [CrossRef]
- Beara, I.N.; Lesjak, M.M.; Jovin, E.Đ.; Balog, K.J.; Anackov, G.T.; Orcic, D.Z.; Mimica-Dukic, N.M. Plantain (Plantago L.) species as novel sources of flavonoid antioxidants. J. Agric. Food Chem. 2009, 57, 9268–9273. [Google Scholar] [CrossRef] [PubMed]
- Boestfleisch, C.; Wagenseil, N.B.; Buhmann, A.K.; Seal, C.E.; Wade, E.M.; Muscolo, A.; Papenbrock, J. Manipulating the antioxidant capacity of halophytes to increase their cultural and economic value through saline cultivation. AoB Plants 2014, 6, plu046. [Google Scholar] [CrossRef] [PubMed]
- Ceccanti, C.; Brizzi, A.; Landi, M.; Incrocci, L.; Pardossi, A.; Guidi, L. Evaluation of major minerals and trace elements in wild and domesticated edible herbs traditionally used in the Mediterranean area. Biol. Trace Elem. Res. 2021, 199, 3553–3561. [Google Scholar] [CrossRef] [PubMed]
- Jdey, A.; Falleh, H.; Ben Jannet, S.; Mkadmini Hammi, K.; Dauvergne, X.; Ksouri, R.; Magné, C. Phytochemical investigation and antioxidant, antibacterial and anti-tyrosinase performances for six medicinal halophytes. S. Afr. J. Bot. 2017, 112, 508–514. [Google Scholar] [CrossRef]
- Petropoulos, S.A.; Karkanis, A.; Martins, N.; Ferreira, I.C. Edible halophytes of the Mediterranean basin: Potential candidates for novel food products. Trends Food Sci. Technol. 2018, 74, 69–84. [Google Scholar] [CrossRef]
- Puccinelli, M.; Pezzarossa, B.; Pintimalli, L.; Malorgio, F. Selenium biofortification of three wild species, Rumex acetosa L., Plantago coronopus L., and Portulaca oleracea L., grown as microgreens. Agronomy 2021, 11, 1155. [Google Scholar] [CrossRef]
- Sharma, A.; Kumar, V.; Shahzad, B.; Ramakrishnan, M.; Sidhu, G.P.S.; Bali, A.S.; Handa, N.; Kapoor, D.; Yadav, P.; Khanna, K.; et al. Photosynthetic Response of Plants Under Different Abiotic Stresses: A Review. J. Plant Growth Regul. 2020, 39, 509–531. [Google Scholar] [CrossRef]
- Li, Z.; Jalal Ahammed, G. Plant stress response and adaptation via anthocyanins: A review. Plant Stress 2023, 10, 100230. [Google Scholar] [CrossRef]
- Yu, X.; Wang, H.; Xiang, X.; Fu, J.; Wang, X.; Zhou, Y.; Xing, W. Biosynthesis and Extraction of Chlorophyll, Carotenoids, Anthocyanins, and Betalaine In Vivo and In Vitro. Curr. Issues Mol. Biol. 2024, 46, 10662–10676. [Google Scholar] [CrossRef]
- Murchie, E.H.; Lawson, T. Chlorophyll fluorescence analysis: A guide to good practice and understanding. J. Exp. Bot. 2013, 64, 3975–3996. [Google Scholar] [CrossRef]
- Kurniawan, A.; Chuang, H.W. Rhizobacterial Bacillus mycoides functions in stimulating the antioxidant defence system and multiple phytohormone signalling pathways to regulate plant growth and stress tolerance. J. Appl. Microbiol. 2022, 132, 1260–1274. [Google Scholar] [CrossRef] [PubMed]
- Motamedi, M.; Zahedi, M.; Karimmojeni, H.; Motamedi, H.; Mastinu, A. Effect of rhizosphere bacteria on antioxidant enzymes and some biochemical characteristics of Medicago sativa L. subjected to herbicide stress. Acta Physiol. Plant. 2022, 44, 84. [Google Scholar] [CrossRef]
- Bakaeva, M.; Chetverikov, S.; Starikov, S.; Kendjieva, A.; Khudaygulov, G.; Chetverikova, D. Effect of Plant Growth-Promoting Bacteria on Antioxidant Status, Acetolactate Synthase Activity, and Growth of Common Wheat and Canola Exposed to Metsulfuron-Methyl. J. Xenobiot. 2024, 14, 79–95. [Google Scholar] [CrossRef] [PubMed]
- Baranova, E.N.; Aksenova, M.A. Polyphenols in plants: Structure, biosynthesis, abiotic stress regulation, and practical applications. Int. J. Mol. Sci. 2023, 24, 13874. [Google Scholar] [CrossRef] [PubMed]
- Kumar, K.; Debnath, P.; Singh, S.; Kumar, N. An overview of plant phenolics and their involvement in abiotic stress tolerance. Stresses 2023, 3, 570–585. [Google Scholar] [CrossRef]
- Kopriva, S.; Rennenberg, H. Control of sulphate assimilation and glutathione synthesis: Interaction with N and C metabolism. J. Exp. Bot. 2004, 55, 1831–1842. [Google Scholar] [CrossRef]
- Kopriva, S.; Malagoli, M.; Takahashi, H. Sulfur nutrition: Impacts on plant development, metabolism, and stress responses. J. Exp. Bot. 2019, 70, 4069–4073. [Google Scholar] [CrossRef]
- Gil, R.; Boscaiu, M.; Lull, C.; Bautista, I.; Lidón, A.; Vicente, O. Are soluble carbohydrates ecologically relevant for salt tolerance in halophytes? Funct. Plant Biol. 2013, 40, 805–818. [Google Scholar] [CrossRef]
- Sleimi, N.; Guerfali, S.; Bankaji, I. Biochemical indicators of salt stress in Plantago maritima: Implications for environmental stress assessment. Ecol. Indic. 2015, 48, 570–577. [Google Scholar] [CrossRef]
- Ashraf, M.; Foolad, M.R. Roles of glycine betaine and proline in improving plant abiotic stress resistance. Environ. Exp. Bot. 2007, 59, 206–216. [Google Scholar] [CrossRef]
- Szabados, L.; Savoure, A. Proline: A multifunctional amino acid. Trends Plant Sci. 2010, 15, 89–97. [Google Scholar] [CrossRef] [PubMed]
- Szalai, G.l.; Kellős, T.; Galiba, G.; Kocsy, G. Glutathione as an Antioxidant and Regulatory Molecule in Plants Under Abiotic Stress Conditions. J. Plant Growth Regul. 2009, 28, 66–80. [Google Scholar] [CrossRef]
- Dorion, S.; Ouellet, J.C.; Rivoal, J. Glutathione metabolism in plants under stress: Beyond reactive oxygen species detoxification. Metabolites 2021, 11, 641. [Google Scholar] [CrossRef] [PubMed]
- Speiser, A.; Silbermann, M.; Dong, Y.; Haberland, S.; Uslu, V.V.; Wang, S.; Bangash, A.K.; Reichelt, M.; Meyer, A.J.; Wirtz, M.; et al. Sulfur Partitioning between Glutathione and Protein Synthesis Determines Plant Growth. Plant Physiol. 2018, 177, 927–937. [Google Scholar] [CrossRef]
- Jiménez-Mejía, R.; Medina-Estrada, R.I.; Carballar-Hernández, S.; Orozco-Mosqueda, M.D.C.; Santoyo, G.; Loeza-Lara, P.D. Teamwork to survive in hostile soils: Use of plant growth-promoting bacteria to ameliorate soil salinity stress in crops. Microorganisms 2022, 10, 150. [Google Scholar] [CrossRef]
- Chen, S.Y.; Lin, J.G. Bioleaching of heavy metals from livestock sludge by indigenous sulfur-oxidizing bacteria: Effects of sludge solids concentration. Chemosphere 2004, 54, 283–289. [Google Scholar] [CrossRef] [PubMed]






| Treatments | EC (dS m−1) |
|---|---|
| non-SOB | |
| 0 mM NaCl | 0.88 a |
| 300 mM NaCl | 5.18 b |
| 600 mM NaCl | 8.42 c |
| drought | 0.72 a |
| SOB | |
| 0 mM NaCl | 0.80 A |
| 300 mM NaCl | 4.92 B |
| 600 mM NaCl | 8.46 C |
| drought | 0.86 A |
| WC% | GTI% | SL (cm) | |||||
|---|---|---|---|---|---|---|---|
| Non-SOB | SOB | Non-SOB | SOB | Non-SOB | SOB | ||
| Leaves | control | 95.1 c | 95.4 B | 100 a | 168 D* | 17.3 b | 28 C* |
| drought | 9.5 a | 21.8 A* | 100 a | 86.7 B* | 6.1 a | 4.8 A | |
| NaCl 300 mM | 92.6 c | 92.3 B | 100 a | 127.4 C* | 21.3 c | 22 B | |
| NaCl 600 mM | 86.8 b | 88.2 B | 100 a | 39.9 A* | 18.7 b | 18 B | |
| Roots | control | 95.3 c | 83.1 B* | 100 a | 99.17 B | WC—water content; | |
| drought | 83 a | 45 A* | 100 a | 94.23 B | GTI—growth | ||
| NaCl 300 mM | 95.2 c | 88.9 C* | 100 a | 71.88 A* | tolerance index | ||
| NaCl 600 mM | 91.1 b | 89.3 C* | 100 a | 133.33 C* | |||
| GSH-Reduced Glutathione GSSG-Oxidized Glutathione | GSH (nmol·g−1 FW) | GSSG (nmol·g−1 FW) | GSH/GSSG | |||
|---|---|---|---|---|---|---|
| Non-SOB | SOB | Non-SOB | SOB | Non-SOB | SOB | |
| control | 26 ± 2.1 b | 32 ± 2.1 B* | 1.66 ± 0.09 a | 1.68 ± 0.21 A | 15.7 ± 1.1 | 19.04 ± 1.1 B* |
| drought | 34 ± 1.5 c | 35 ± 4.2 B | 1.68 ± 0.08 a | 1.59 ± 0.13 A | 20.24 ± 0.5 | 22.01 ± 2.2 B |
| NaCl 300 mM | 38 ± 5.1 c | 47 ± 2.1 C* | 1.94 ± 0.24 ab | 1.88 ± 0.21 A | 19.59 ± 2.5 | 25 ± 1.2 C* |
| NaCl 600 mM | 19 ± 0.9 a | 22 ± 2.1 A | 2.12 ± 0.08 b | 1.99 ± 0.24 A | 8.96 ± 0.5 | 11.06 ± 1.2 A |
| Total Phenolics | Phenylopropanoids | Flavonols | Anthocyanins | |||||
|---|---|---|---|---|---|---|---|---|
| Non-SOB | SOB | Non-SOB | SOB | Non-SOB | SOB | Non-SOB | SOB | |
| control | 15.1 ± 3.1 a | 15.2 ± 5.8 A | 7.3 ± 0.9 a | 7.5 ± 2.8 A | 6.0 ± 0.7 a | 5.6 ± 1.4 A | 1.5 ± 0.1 a | 1.4 ± 0.3 A |
| drought | 123.9 ± 10.2 c | 144.5 ± 20.1 B | 42.3 ± 3 c | 50 ± 6.4 B | 31.4 ± 3.2 c | 34.8 ± 4.3 B | 5.6 ± 1.1 b | 4.6 ± 0.4 B |
| NaCl 300 mM | 17.3 ± 0.1 a | 27 ± 3.5 A | 8.6 ± 0.3 a | 12.1 ± 1.9 A | 6.0 ± 0.1 a | 8.6 ± 0.8 A* | 0.9 ± 0.2 a | 1.4 ± 0.2 A |
| NaCl 600 mM | 66.1 ± 5.4 b* | 28.9 ± 1.4 A | 25 ± 2 b* | 11.9 ± 0.1 A | 17.2 ± 1.4b* | 8.2 ± 0.8 A | 2.3 ± 0.1 a* | 1.4 ± 0.1 A |
Disclaimer/Publisher’s Note: The statements, opinions and data contained in all publications are solely those of the individual author(s) and contributor(s) and not of MDPI and/or the editor(s). MDPI and/or the editor(s) disclaim responsibility for any injury to people or property resulting from any ideas, methods, instructions or products referred to in the content. |
© 2024 by the authors. Licensee MDPI, Basel, Switzerland. This article is an open access article distributed under the terms and conditions of the Creative Commons Attribution (CC BY) license (https://creativecommons.org/licenses/by/4.0/).
Share and Cite
Koźmińska, A.; Hassan, M.A.; Halecki, W.; Kruszyna, C.; Hanus-Fajerska, E. Beneficial Microorganisms: Sulfur-Oxidizing Bacteria Modulate Salt and Drought Stress Responses in the Halophyte Plantago coronopus L. Sustainability 2024, 16, 10866. https://doi.org/10.3390/su162410866
Koźmińska A, Hassan MA, Halecki W, Kruszyna C, Hanus-Fajerska E. Beneficial Microorganisms: Sulfur-Oxidizing Bacteria Modulate Salt and Drought Stress Responses in the Halophyte Plantago coronopus L. Sustainability. 2024; 16(24):10866. https://doi.org/10.3390/su162410866
Chicago/Turabian StyleKoźmińska, Aleksandra, Mohamad Al Hassan, Wiktor Halecki, Cezary Kruszyna, and Ewa Hanus-Fajerska. 2024. "Beneficial Microorganisms: Sulfur-Oxidizing Bacteria Modulate Salt and Drought Stress Responses in the Halophyte Plantago coronopus L." Sustainability 16, no. 24: 10866. https://doi.org/10.3390/su162410866
APA StyleKoźmińska, A., Hassan, M. A., Halecki, W., Kruszyna, C., & Hanus-Fajerska, E. (2024). Beneficial Microorganisms: Sulfur-Oxidizing Bacteria Modulate Salt and Drought Stress Responses in the Halophyte Plantago coronopus L. Sustainability, 16(24), 10866. https://doi.org/10.3390/su162410866

