Next Article in Journal
Integrating Machine Learning and Genetic Algorithms to Optimize Building Energy and Thermal Efficiency Under Historical and Future Climate Scenarios
Next Article in Special Issue
Cost–Benefit Analysis of Cross-Regional Transmission of Renewable Electricity: A Chinese Case Study
Previous Article in Journal
Can the National Public Cultural Service System Demonstration Zone Promote the Sustainable Development of Urban Culture?
Previous Article in Special Issue
Assessing the Flexibility of Power Systems through Neural Networks: A Study of the Hellenic Transmission System
 
 
Font Type:
Arial Georgia Verdana
Font Size:
Aa Aa Aa
Line Spacing:
Column Width:
Background:
Article

The Art of Balancing Price and Plug: Developing a Theoretical Model for Dynamic Pricing in the Electric Vehicle Market

1
Puxi Branch, Bank of Shanghai, Shanghai 200231, China
2
School of Economics and Management, Shanghai Open University, Shanghai 200433, China
3
Glorious Sun School of Business and Management, Donghua University, Shanghai 200051, China
*
Author to whom correspondence should be addressed.
Sustainability 2024, 16(21), 9325; https://doi.org/10.3390/su16219325
Submission received: 27 September 2024 / Revised: 19 October 2024 / Accepted: 22 October 2024 / Published: 27 October 2024

Abstract

This study presents a novel approach to understanding the complex dynamics of the electric vehicle (EV) market through the lens of differential game theory. We developed a comprehensive model that captures the strategic interactions between EV manufacturers and charging network operators, while incorporating the effects of consumer behavior, market uncertainties, and reference price effects. Using differential game theory, we examined the impact of reference price effects and the charging network’s influence on pricing strategies, focusing on three distinct approaches: basic pricing, static pricing considering reference price effects, and dynamic pricing strategies. Our model offers new insights into consumer behavior and price expectations in the rapidly evolving EV market. The key findings reveal that under static or dynamic pricing strategies, the optimal pricing for EV manufacturers is positively correlated with the initial reference price. When the initial reference price is high (low), the optimal pricing strategy resembles skimming pricing (penetration pricing). As the effort level of charging network operators increases and their influence on consumers’ purchase decisions grows stronger, EV manufacturers tend to set higher prices. Notably, while dynamic pricing strategies can optimize EV manufacturers’ profits, the profits of charging network operators may decrease compared with static pricing strategies. This integrated approach significantly contributes to the field by bridging gaps among market dynamics, pricing strategies, and the infrastructure’s development in the context of electric mobility, providing a comprehensive framework for understanding and optimizing the EV ecosystem. Ultimately, this study advances sustainable business models that balance profitability, consumer behavior, and the infrastructure’s growth in the rapidly evolving EV market.

1. Introduction

Electric vehicles (EVs) provide a compelling solution to urgent ecological concerns and energy security issues, helping reduce greenhouse gas emissions and decrease dependence on fossil fuels. The global EV market has seen impressive growth, with sales reaching 14 million vehicles in 2023, a 35% increase from the previous year [1]. However, a key challenge to the widespread adoption of EVs is achieving a balance between EV cost structures and the development of the charging infrastructure. While the average price of EVs has decreased by 29% since 2016 [2], global public charging infrastructure grew by over 40% in 2023 alone [3]. This delicate balance is crucial not only for consumers’ adoption but also for ensuring the financial sustainability of EV manufacturers and charging network operators. Despite the progress, EVs still accounted for only 18% of global car sales in 2023 [1], highlighting the need for further market development. This study focused on understanding the dynamic interactions between pricing and infrastructure factors, which are essential for the continued growth and long-term sustainability of the EV market.
The literature on the EV market’s dynamics has extensively examined various aspects of this ecosystem. Previous research can be categorized into three broad approaches: market equilibrium models, optimization-based methods, and game-theoretic frameworks. Market equilibrium models, such as those by Ou et al. [4] and Johnson et al. [5], focus on the long-term stability of EV markets. Optimization-based methods, as demonstrated by Brown et al. [6] and Davis et al. [7], seek to maximize stakeholders’ profits. Game-theoretic frameworks, such as those explored by Wilson et al. [8] and Taylor et al. [9], capture strategic interactions between different market participants. Despite their contributions, these approaches often struggle to address the complex and evolving nature of the EV market, leading to either overly simplified assumptions or computationally intractable solutions.
In recent years, differential game theory has emerged as a powerful tool for modeling dynamic systems involving multiple interacting agents. This method has been successfully applied in several fields, such as finance [10], energy markets [11], and supply chain management [12]. However, its application in the EV market remains limited. For instance, Lee et al. [13] applied a differential game model to EV manufacturers but did not account for the role of the charging infrastructure. Similarly, Chen et al. [14] studied the interplay between EV adoption and electricity pricing but did not consider the strategic decisions of charging network operators.
This study aimed to address a key gap in the literature: the lack of a comprehensive model that captures the dynamic interactions between EV manufacturers and charging network operators while considering consumer behavior and reference price effects. By integrating EV pricing strategies with the charging infrastructure’s development, we provide a more holistic view of the EV market and its strategic challenges.
The key findings from this research reveal that under both static and dynamic pricing strategies, the optimal pricing for EV manufacturers is positively correlated with the initial reference price. When the initial reference price is high (low), the optimal pricing strategy resembles skimming pricing (penetration pricing). Moreover, as the effort level of charging network operators increases and their influence on consumers’ purchasing decisions strengthens, EV manufacturers tend to set higher prices. Notably, while dynamic pricing strategies can optimize profits for EV manufacturers, the profits of charging network operators may decrease compared with static pricing strategies.
The main contributions of this study are as follows. (i) We developed a differential game model that captures the decision-making processes of both EV manufacturers and charging network operators, incorporating market uncertainties and consumer behavior dynamics. (ii) We introduced a reference price effect into the model, reflecting how historical prices influence consumers’ purchasing decisions in the EV market. (iii) We propose and analyze three distinct pricing strategies (basic, static, and dynamic), providing insights into their effectiveness under various market conditions. (iv) We conducted comprehensive numerical analyses to validate the model and offer managerial insights for both EV manufacturers and charging network operators.
The remainder of this article is organized as follows. Section 2 reviews the relevant literature on the EV market’s dynamics, pricing strategies in emerging technologies, and the sustainable transportation infrastructure. Section 3 presents the differential game model and its theoretical foundations. Section 4 describes the three pricing strategies and their respective equilibrium solutions. Section 5 presents numerical analyses and discusses the managerial implications of our findings. Finally, Section 6 concludes the article and suggests directions for future research.

2. Literature Review

The electric vehicle (EV) market has been the subject of extensive research across multiple disciplines. This literature review focuses on three key areas relevant to our study: the EV market’s dynamics, pricing strategies in emerging technologies, and the sustainable transportation infrastructure.

2.1. The EV Market’s Dynamics

The study of the EV market’s dynamics has evolved significantly in recent years. Early works, such as those by Lopes et al. [15] and Sioshansi [16], primarily focused on the adoption patterns of EVs and their impact on power systems. However, these studies often treated the EV market in isolation, neglecting the complex interactions among different stakeholders. More recent research has begun to address this limitation. For instance, Li et al. [17] crafted a system dynamics framework to encapsulate the interplay among EV uptake, the expansion of charging facilities, and state initiatives. In a comparable vein, Zhang and Qian [18] put forth an agent-based simulation to mimic the concurrent progression of EV demand and installment of charging stations. While these studies provide valuable insights into the interdependencies within the EV ecosystem, they often rely on simplified assumptions about pricing strategies and consumer behavior.
The complexity of the EV market’s dynamics has led researchers to explore various modeling approaches. Flath et al. [19] introduced an area pricing model that considered both the temporal and spatial dimensions of EV charging, highlighting the importance of coordinated charging to mitigate load spikes in distribution grids. This work underscores the need for sophisticated pricing mechanisms that can balance grid stability with consumers’ needs. Hussain et al. [20] provided a comprehensive review of optimal management strategies to address grid issues arising from EVs’ integration. Their work emphasized the potential of centralized coordination in solving EVs’ integration issues, particularly when combined with renewable energy sources. This aligns with our approach, which considered the strategic interactions between EV manufacturers and charging network operators within a unified framework. The importance of efficient control frameworks for coordinating EV charging was highlighted by Yi et al. [21]. The investigation by Lin et al. [21] into a highly productive control system for centrally coordinated residential charging illustrated the practicality of overseeing sizable EV fleets while taking the grid’s limitations into account. Their findings bolster our emphasis on constructing an all-encompassing model capable of encapsulating expansive market dynamics. In a related study, Lin et al. [22] employed Mean Field Game theory to streamline the timetabling and administration of parking facilities and decentralized EV charging. Their methodology, which factors in the concerns of all contributors, dovetails with our aim of capturing the intricate interplay among various stakeholders within the EV sector.
Building on these foundations, our study introduces several key innovations. We developed a comprehensive differential game theory model that captures the complex interactions between EV manufacturers and charging network operators, offering a novel approach to understanding the EV market’s dynamics. Moreover, we incorporate the reference price effect into EV pricing strategies, offering new insights into consumer behavior and price expectations in the rapidly evolving EV market.

2.2. Pricing Strategies in Emerging Technologies

Pricing strategies in emerging technology markets have been widely studied within the broader context of innovation diffusion and technology adoption. Foundational research by Bass [23] and Rogers et al. [24] established the framework for comprehending how pricing influences the adoption of cutting-edge technologies. Within the EV domain, numerous analyses have delved into various pricing methodologies. For instance, Zhang et al. [25] scrutinized the effect of different pricing mechanisms on EV adoption using a game-theoretic perspective, while Noel et al. [26] assessed the efficacy of time-of-use pricing for EV charging.
However, these studies often focused on static pricing strategies or short-term pricing decisions. The dynamic nature of the EV market, marked by rapidly evolving consumer expectations and infrastructure development, requires a more flexible approach to pricing. Our research addresses this gap by proposing and comparing three distinct pricing strategies (basic, static, and dynamic) within a stochastic differential game framework. This approach allows us to capture the long-term implications of different pricing strategies while accounting for market uncertainties.
Moreover, our study incorporates the notion of reference price effects, which has been extensively investigated in the marketing literature [27] but has garnered limited attention in the EV context. By integrating this concept into our model, we offer new insights into how historical prices influence consumer behavior and optimal pricing decisions in the EV market.

2.3. Sustainable Transportation Infrastructure

The advancement of the sustainable transportation infrastructure, particularly EV charging networks, has been a pivotal research domain. Investigations by He et al. [28] and Pagany et al. [29] have concentrated on optimal charging station placement strategies, factoring in elements such as traffic flow, land use, and grid capacity. These studies provide valuable insights into the spatial aspects of the charging infrastructure’s development but often treat these as a static optimization problem.
Recent research has begun to recognize the dynamic nature of the charging infrastructure’s development. For instance, Tu et al. [30] put forth a multi-period optimization model for the deployment of charging stations, considering the temporal evolution of EV adoption. Building on this, Liao et al. [31] highlighted the importance of realistic charging behavior assumptions in assessing charging infrastructure demand. Their large-scale agent-based simulation revealed that the current charging behavior archetypes suggest a need for significantly more public chargers per EV than previously estimated.
The integration of the sustainable transportation infrastructure with broader urban and economic development has garnered increasing attention. Tong et al. [32] explored the role of transportation infrastructure in advancing common prosperity in China, highlighting the significance of dense networks and regional differentiation for the growth of sustainable transportation. This perspective aligns with our examination of the strategic interactions between EV manufacturers and charging network operators within a larger economic framework. Additionally, Ling et al. [33] illustrated how transportation infrastructure upgrades positively influence the efficiency of green development. Their analysis, using a double machine learning model, underscored the importance of service industry clustering and green innovation as key mediating factors. This aligns with our approach, which considers the broader economic and environmental impacts of EV infrastructure development. Rozzi et al. [34] further underscored the complexity of the sustainable transportation infrastructure through a comparative study of electric and hydrogen mobility systems for public transport on remote islands. Their multi-criteria decision-making analysis emphasized the need to account for a range of factors beyond economic costs when designing sustainable transportation solutions. Nguyen et al. [35] also highlighted the evolving nature of the EV charging infrastructure by examining the combined benefits of traditional charging stations and wireless dynamic charging roads. Their research, which showed a potential reduction in detours and charging time for EV users, stressed the importance of incorporating innovative charging technologies into our model.
Our research contributes to this literature by developing a model that explicitly considers the interdependence between EV adoption and charging infrastructure development within a game-theoretic framework. This approach allowed us to analyze how the decisions of charging network operators influence and are influenced by the pricing strategies of EV manufacturers and the evolving patterns of consumer demand. Furthermore, our study explored the optimal subsidy mechanisms between EV manufacturers and charging network operators, an aspect that has received limited attention in the literature. This analysis is particularly relevant in light of studies such as that of Barman and Dutta [36], who reviewed charging infrastructure planning in India and emphasized the need for government policies and subsidies to achieve climate action objectives.
By integrating these three streams of literature—EV market dynamics, pricing strategies in emerging technologies, and sustainable transportation infrastructure—our study offers a comprehensive and novel approach to understanding the complex interactions within the EV ecosystem. This holistic viewpoint offers priceless understanding for policymakers, industry participants, and scholars striving for the eco-friendly shift to electrified transportation.

3. Model Assumptions and Framework

This study examined a system comprising an electric vehicle manufacturer (EVM) and a charging network operator (CNO). The EVM sets the sales price of the electric vehicle, denoted as p ( t ) , and the demand function per unit of time is given by
q ( t ) = A α p ( t ) + β ( r ( t ) p ( t ) ) + η s
where p ( t ) represents the sales price of electric vehicles at time t , r ( t ) is the consumers’ reference price at time t , A denotes the basic market demand or consumers’ intrinsic interest in electric vehicles, α is the price sensitivity coefficient of demand, β is the reference price sensitivity coefficient of demand, η is the influence coefficient of charging station coverage and service quality on demand, and η s represents the impact of the charging network on electric vehicle demand. The parameters A , α , β , and η are all positive constants. This demand function setup captures the combined effects of the price, reference price, and charging infrastructure on electric vehicle demand, consistent with the demand models commonly used in electric vehicle market research [17].
Drawing on the findings of Popescu and Wu [3], we modeled the reference price as a time-varying variable that evolves according to the product’s past prices. When consumers encounter new prices, they update their reference price according to a memory effect. Following Fibich et al. [37], we employed the exponential smoothed past prices process to represent the reference price
r ( t ) = e σ t σ 0 t e σ w p ( w ) d w + r 0 , t [ 0 , ] ,
where σ is the price adjustment coefficient, satisfying 0 σ 1 . This coefficient reflects the speed at which consumers adjust their price expectations for electric vehicles. A larger σ indicates that consumers adjust their price expectations more quickly, and past prices have a smaller impact on the current reference price. The differential form of the reference price’s dynamics is expressed as
r ˙ ( t ) = σ ( p ( t ) r ( t ) ) , r ( 0 ) = r 0
This model’s primary objective was to examine the consumer reference effect and the sway of CNOs on the EV market. Following the research of Gu et al. [38], we assumed that the EVM’s production cost is negligible and set it to zero for simplicity. CNOs, on the other hand, need to invest in the development and maintenance of the charging infrastructure, such as site selection, design, construction, operation, and maintenance of charging stations. Consistent with Lee et al. [39], we assumed that the CNOs’ effort cost in providing charging services follows a quadratic function
C C N O ( s ) = s 2 2 ,
where s represents the CNO’s effort level, which can be interpreted as the coverage and service quality of charging stations.
In the cooperation model between the EVM and the CNO, the EVM allocates a portion of her funds to support the construction and operation of the charging infrastructure through cooperation agreements. Let f denote the unit subsidy paid by the EVM to the CNO for this purpose. At time t , the EVM’s profit function is given by:
R E V M ( t ) = ( p ( t ) f ) q ( t ) ,
where p ( t ) is the sales price of electric vehicles at time t and q ( t ) is the demand for electric vehicles.
The CNO’s profit function is given by:
R C N O ( t ) = f q ( t ) s 2 2 .
This model captures the profit sharing mechanism between the EVM and the CNO. The EVM’s profits are determined by the difference between the vehicle sales price and the subsidy paid to the CNO, while the CNO’s profits consist of the subsidy received from the EVM minus the effort cost incurred in providing charging services. This cooperation model has real-world applications, as demonstrated by Adepetu and Keshav [40]. The model aims to achieve a balance of interests between the two parties: the EVM promotes vehicle sales by supporting the development of charging networks, while the CNO supports the widespread adoption of electric vehicles by providing high-quality charging services. This model serves as a foundation for analyzing the optimal decision-making and profit sharing strategies of both the EVM and the CNO.
Presuming an unbounded sales horizon and that both the EVM and CNO strive to optimize the present value of their earnings, the dynamic game model can be formulated as follows
max p ( t ) π E V M = 0 e ρ t [ ( p ( t ) f ) q ( t ) ] d t , max s π C N O = 0 e ρ t [ f q ( t ) s 2 2 ] d t ,
where ρ represents the discount rate and r ( 0 ) = r 0 denotes the initial reference price.
Our differential game model is based on several key assumptions to capture the essential dynamics of the EV market while maintaining analytical tractability. We assume that both the EVM and the CNO act rationally to maximize their profits, with complete information about the market and each other’s strategies. The model operates in continuous time, allowing for dynamic decision-making that reflects the ongoing nature of market interactions. For simplicity, we consider a single type of EV, treating the product as homogeneous across manufacturers, and set the EVM’s production cost to zero to focus on pricing decisions and infrastructure influence. The CNO’s effort cost in providing charging services follows a quadratic function, capturing the increasing marginal costs of expanding coverage and improving service quality. We model the reference price as evolving according to the product’s past prices, with consumers updating their reference price according to a memory effect.
The game between the EVM and the CNO follows a two-stage decision-making process, with the EVM acting as the leader and the CNO as the follower. This structure reflects the common leader–follower relationship in the electric vehicle market, as observed by Li et al. [17]. The decision-making process can be described as follows. In the first stage, the EVM determines the dynamic pricing strategy, leveraging its advantages in product development, brand building, and market influence [41]. In the second stage, the CNO, after observing the EVM’s pricing strategy, decides on their effort level, which represents the coverage and service quality of charging stations. This follower approach reflects the reality that the charging infrastructure’s expansion often requires adjustments based on vehicle sales and utilization patterns. Buyers then make purchasing choices based on the EV price, the reference price, and the charging network’s conditions, after which, the EVM and the CNO receive their respective profits based on the market outcomes. These assumptions and this structure enable us to focus on the core strategic interactions and decision-making processes in the EV market ecosystem.
The leader–follower relationship described in this model is evident in real-world examples. For instance, Tesla, a leading EVM, not only dominates the pricing strategy of its electric vehicles but has also influenced the development of the charging infrastructure through its Supercharger network [42]. Another example is the cooperation between the Volkswagen Group and the Ionity charging network, where Volkswagen, as a major car manufacturer, significantly has influenced Ionity’s network expansion strategy [43]. These cases illustrate the leading role of EVMs in the market and how CNOs adapt their strategies in response to the actions of EVMs.
In conclusion, the proposed model provides a framework for analyzing the strategic interactions between the EVM and the CNO in the electric vehicle market. By factoring in the consumer reference effect, the sway of the charging infrastructure, and the two-stage game structure, this framework provides priceless understanding into the optimal pricing and effort level choices of the EVM and CNO. The model also highlights the importance of the leader–follower relationship in shaping the market dynamics and the need for coordination between the EVM and the CNO to achieve their respective goals while fostering the growth of the electric vehicle industry.

4. Equilibrium Analysis

In this section, we analyze the optimal decisions of the EVM and CNO under three distinct pricing approaches: (1) the basic pricing strategy; (2) the static pricing strategy, factoring in reference price effects; and (3) the dynamic pricing strategy, accounting for reference price effects.

4.1. The Basic Pricing Strategy

Under the basic pricing strategy, we do not consider the reference price effect, i.e., β = 0 . In this case, the demand function for electric vehicles simplifies to q = A α p + η s . The decision-making problems for the EVM and the CNO are
max p π E V M B = 0 e ρ t [ ( p f ) ( A α p + η s ) ] d t , max s π C N O B = 0 e ρ t [ f ( A α p + η s ) s 2 2 ] d t .
where p is the EVM’s decision variable, representing the electric vehicle’s sales price, and s is the CNO’s decision variable, representing the coverage and service quality of charging stations, which is independent of time t . The discount rate ρ is used to calculate the present value of profits. We solve for equilibrium using backward induction, a solution method for sequential games, where the problem is solved in reverse order, starting with the final decision and working backward to the first. These scenarios are summarized in Proposition 1, with all proofs provided in the Appendix A.
Proposition 1. 
Under the basic pricing strategy, the EVM’s optimal selling price is  p B * = A + f ( α + η 2 ) 2 α , and the CNO’s optimal service level is  s B * = f η .
Proposition 1 shows that p B * s B * = η 2 α > 0 , indicating that the optimal pricing of electric vehicles is positively correlated with the CNO’s level of effort. This result suggests that as the coverage and service quality of the charging network improve, EVMs are likely to raise the price of their vehicles. Better charging infrastructure increases consumer demand for electric vehicles, allowing EVMs to raise prices without significantly affecting sales.
Additionally, π P ( s η ) = p f ρ > 0 shows that the charging network’s influence positively impacts the EVM’s profit, highlighting the importance of collaboration between the EVM and the CNO.
By substituting the optimal values p B * and s B * into the profit functions, we obtain the equilibrium profits for both parties under the basic pricing strategy: π E V M B * = ( A + f ( η 2 α ) ) 2 4 α ρ , π C N O B * = f ( A f α ) 2 ρ . These results provide a foundation for understanding the optimal strategies and profits of the EVM and the CNO in the basic scenario, setting the stage for the analysis of more complex pricing strategies that incorporate reference price effects.

4.2. The Static Pricing Strategy Considering Reference Price Effects

Under the static pricing strategy considering reference price effects, we assume that the EVM makes the same pricing decision for all periods, i.e., p ( t ) = p . The consumer demand function is q ( t ) = A α p + β ( r ( t ) p ) + η s , where the reference price r ( t ) satisfies the differential equation r ˙ ( t ) = σ ( p r ( t ) ) with an initial value of r ( 0 ) = r 0 . The decision-making problems for the EVM and the CNO are
max p π E V M S = 0 e ρ t [ ( p f ) ( A α p + β ( r ( t ) p ) + η s ) ] d t , max s π C N O S = 0 e ρ t [ f ( A α p + β ( r ( t ) p ) + η s ) s 2 2 ] d t .
Proposition 2. 
Under the static pricing approach factoring in reference price effects, the EVM’s optimal selling price  p S *  and the CNO’s optimal service level  s S *  are:
p S * = r 0 β ρ + A ( σ + ρ ) + f ρ ( α + β + η 2 ) + f σ ( α + η 2 ) 2 β ρ + 2 α ( σ + ρ ) , s S * = f η .  
From Proposition 2, we know that p S * s S * = η ( σ + ρ ) 2 β ρ + 2 α ( σ + ρ ) > 0 , indicating that under the static pricing strategy considering reference price effects, the electric vehicles’ sales price is positively correlated with the CNO’s effort level. A higher effort level from the CNO, i.e., better coverage and service quality of charging stations, has a stronger impact on potential buyers, expanding the EVM’s pricing range and allowing them to set higher prices for electric vehicles.
Additionally, Proposition 2 demonstrates that p S * r 0 = β ρ 2 β ρ + 2 α ( σ + ρ ) > 0 , signifying that the EVM’s optimal selling price p S * rises with the buyers’ initial reference price r 0 . When the consumers’ starting reference price r 0 is elevated, the EVM is inclined to establish a higher selling price, akin to a skimming pricing approach. In contrast, when the consumers’ initial reference price r 0 is low, the EVM tends to set a reduced selling price to stimulate market demand, resembling a penetration pricing strategy.
Corollary 1. 
In the time interval  [ 0 , ] , the reference price  r ( t )  is given by:  r ( t ) = p S * + ( r 0 p S * ) e σ t .
Corollary 1 suggests that when the initial reference price r 0 < A ( σ + ρ ) + f ( β ρ + α ( ρ + σ ) + η 2 ( ρ + σ ) ) β ρ + 2 α ( σ + ρ ) , the reference price r ( t ) rises monotonically with time t in the early phase of EV sales. Conversely, when r 0 > A ( σ + ρ ) + f ( β ρ + α ( ρ + σ ) + η 2 ( ρ + σ ) ) β ρ + 2 α ( σ + ρ ) , the reference price r ( t ) declines monotonically with time in the initial stage of EV sales.
Corollary 2. 
In the time interval  [ 0 , ] , when the starting reference price is lower than the optimal price ( 0 < r 0 < p S * ), the reference price has an adverse effect on the demand for EVs. Conversely, when the initial reference price exceeds the optimal price ( r 0 > p S * ), the reference price has a favorable impact on the demand for EVs.
Corollary 2 indicates that the initial reference price r 0 in the EV market determines the influence of the reference price r 0 on market demand. When r 0 is low, the reference price negatively affects market demand, possibly because buyers perceive the current EV price to be higher than their expectations. Conversely, when r 0 is high, the reference price positively impacts market demand, possibly because consumers perceive the current electric vehicle price to be lower than their expectations, thus stimulating demand.
This conclusion has important implications for the electric vehicle market, as it shows that the consumers’ initial price expectations significantly influence market demand. The EVM must carefully consider these expectations when entering new markets or launching new models, adjusting their pricing strategies accordingly. For example, in a market with high price expectations, the EVM may find that setting prices slightly lower than expected can effectively stimulate demand. In contrast, in a market with low price expectations, the EVM may need to overcome the negative impact of these expectations through other means, such as emphasizing the product’s performance or offering subsidies.
By substituting the optimal values p S * and s S * into the objective functions of the EVM and the CNO, we obtain their equilibrium profits under the static pricing strategy:
π E V M S * = ( r 0 β ρ + A ( ρ + σ ) f ( β ρ + α ( ρ + σ ) η 2 ( ρ + σ ) ) ) 2 4 ρ ( ρ + σ ) ( β ρ + α ( ρ + σ ) ) , π C N O S * = f ( r 0 β ρ + A ( ρ + σ ) f ( ( α + β ) ρ + α σ ) ) 2 ρ ( ρ + σ ) .  
In summary, the static pricing strategy factoring in reference price effects offers valuable insights into the EVM’s optimal pricing choices and the influence of the consumers’ reference prices on market demand. The analysis underscores the significance of considering consumer price expectations and the potential advantages of collaboration between the EVM and the CNO in the EV market.

4.3. The Dynamic Pricing Strategy with Reference Effects

In this section, we consider a dynamic pricing strategy that accounts for reference price effects, where the EVM makes pricing decisions based on changes in the consumers’ reference prices. We denote this scenario as D. The differential game model for this scenario is given by
max p ( t ) π E V M D = 0 e ρ t [ ( p ( t ) f ) ( A α p ( t ) + β ( r ( t ) p ( t ) ) + η s ) ] d t , max s π C N O D = 0 e ρ t [ f ( A α p ( t ) + β ( r ( t ) p ( t ) ) + η s ) s 2 2 ] d t ,
where π E V M D and π C N O D represent the profits of the EVM and the charging network operator (CNO), respectively.
To solve this differential game, we define the Hamilton functions for the EVM and the CNO as follows
H E V M = ( p ( t ) f ) [ A α p ( t ) + β ( r ( t ) p ( t ) ) + η s ] + θ ( t ) σ ( p ( t ) r ( t ) ) ,
H C N O = f [ A α p ( t ) + β ( r ( t ) p ( t ) ) + η s ] s 2 2 + λ ( t ) σ ( p ( t ) r ( t ) ) ,
where θ ( t ) and λ ( t ) are co-state variables that capture the impact of the reference price r ( t ) on the profits of the EVM and the CNO, respectively.
Since 2 H E V M ( p ( t ) ) 2 = 2 ( α + β ) < 0 and 2 H C N O s 2 = 1 < 0 , both H E V M and H C N O are concave functions with respect to their decision variables, p ( t ) and s . This concavity property satisfies the sufficient conditions of Arrow’s theorem, which ensures the existence of a unique optimal solution. Applying Pontryagin’s maximum principle, we obtain the following first-order optimality conditions:
H C N O s = 0 , H E V M p ( t ) = 0 , r ˙ ( t ) = σ ( p ( t ) r ( t ) ) , θ ˙ ( t ) = β p ( t ) + ( ρ + σ ) θ ( t ) .
These conditions, along with the state equation and initial condition, characterize the optimal dynamic pricing approach and the corresponding reference price trajectory.
Proposition 3. 
Under the dynamic pricing strategy considering reference effects, the CNO’s optimal service level is  s D * = f η , and the EVM’s optimal pricing  p ( t ) D * , the corresponding reference price  r ( t ) D *  is given by:
p ( t ) D * = f ( α + β + η 2 ) + σ R 1 + β R 2 + A 2 ( α + β ) + ( σ + R 3 ) ( r 0 R 2 ) e R 3 t σ , r ( t ) D * = ( r 0 R 2 ) e R 3 t + R 2 ,
where  R 1 = β ( A + f ( α + β + η 2 ) ) 2 α ( ρ + σ ) + β ρ R 2 = ( ρ + σ ) ( A + f ( α + β + η 2 ) ) 2 α ( ρ + σ ) + β ρ , and  R 3 = ρ 2 ( ( α + β ) ρ + 2 α σ ) ( ρ + 2 σ ) ( α + β ) 2 ( α + β ) .
Proposition 3 reveals several key characteristics of the EVM’s optimal pricing strategy under the dynamic pricing scenario with reference effects.
(i) The impact of the charging network’s service level on pricing is p ( t ) D * s D * = η ( ρ + σ ) ( σ e R 3 t ( σ + R 3 ) ) σ ( β ρ + 2 α ( ρ + σ ) ) > 0 . This result indicates that the optimal price of electric vehicles increases with improvements in the charging network’s coverage and service quality. This finding is consistent with the conclusions in Propositions 1 and 2, suggesting that a higher level of charging network service encourages manufacturers to raise prices and obtain higher profits.
(ii) The impact of subsidy intensity on pricing is p ( t ) D * f = ( α + β + η 2 ) ( ρ + σ ) ( σ e R 3 t ( σ + R 3 ) ) σ ( β ρ + 2 α ( ρ + σ ) ) > 0 . This result shows that the optimal price of electric vehicles increases with the subsidy intensity f provided by the EVM to the CNO. Higher subsidies enhance the CNO’s service investment, which indirectly increases consumer demand for electric vehicles. As a result, the EVM is motivated to raise prices to capture more profits.
(iii) The impact of the initial reference price on pricing is p ( t ) D * r 0 = e N 1 t ( σ + R 3 ) σ > 0 . This finding indicates that under the dynamic pricing approach, the optimal price of EVs rises with the initial reference price r 0 of consumers, which aligns with the conclusion of Proposition 2.
On the basis of Proposition 3, we can further derive Corollary 3:
Corollary 3. 
In the time interval  [ 0 , ] , when the initial reference price  r 0 < R 2 , the EVM’s optimal dynamic price  p ( t ) D *  rises monotonically with time  t . There exists a time point  t ¯  such that in the interval  [ 0 , t ¯ ] , the optimal dynamic price exhibits concave growth, while in the interval  [ t ¯ , ] , the optimal dynamic price converges to a steady state. Conversely, when the initial reference price  r 0 > R 2 , the EVM’s optimal dynamic price  p ( t ) D *  decreases monotonically with time  t . There exists a time point  t ¯  such that in the interval  [ 0 , t ¯ ] , the optimal dynamic price exhibits a convex decline, while in the interval  [ t ¯ , ] , the optimal dynamic price converges to a steady state.
Corollary 3 indicates that when the initial reference price is low, the EVM tends to implement a penetration pricing strategy by starting with a lower price to boost demand and progressively increasing it to maximize profits. Conversely, when the initial reference price is high, the EVM typically adopts a skimming pricing approach, setting a higher initial price to capture profits from premium customers and gradually lowering it to increase market share. This outcome is closely linked to the way consumers’ price expectations adjust. When consumers initially expect lower prices for electric vehicles, manufacturers should attract them with lower prices first, then raise prices as their expectations shift upward. On the other hand, if consumers have higher initial price expectations, manufacturers should begin with higher prices targeting the premium market, then gradually decrease prices as consumers’ expectations lower, helping to grow the market’s size.
By substituting the optimal solutions p ( t ) D * , r ( t ) D * , and s D * into the objective functions, we obtain the profit functions of the EVM and the CNO under the dynamic pricing strategy with reference effects:
π E V M D * = 0 e ρ t [ ( p ( t ) D * f ) ( A + β ( r ( t ) D * p ( t ) D * ) + η s D * α p ( t ) D * ) ] d t , π C N O D * = 0 e ρ t [ f ( A + β ( r ( t ) D * p ( t ) D * ) + η s D * α p ( t ) D * ) ( s D * ) 2 2 ] d t .
These profit functions serve as a foundation for assessing the economic performance of the EVM and CNO within the context of a dynamic pricing strategy that accounts for reference effects. In conclusion, incorporating reference effects into the dynamic pricing strategy offers key insights into the optimal pricing behavior of the EVM and the influence of consumers’ reference prices on market dynamics. The analysis emphasizes the significance of consumers’ price expectations, the impact of the charging network’s service quality, and the potential advantages of strategic interactions between the EVM and CNO. These results enhance our understanding of pricing strategies in the electric vehicle market and offer valuable guidance for managers in making well-informed decisions.

5. Numerical Analysis

To improve the practical relevance of our model, we conducted numerical analyses on the three pricing strategies previously derived. The baseline parameter values were carefully calibrated using the existing literature and real market data. The rationale for parameter selection is as follows.
The market base demand A = 600,000 vehicles/year is directly based on Tesla’s actual retail sales in China for 2023, which reached 603,664 units [44]. We assume that a single manufacturer captures about 6.3% of the industry’s total demand. The subsidy f = 0.15 (million CNY/100 vehicles) represents the unit subsidy from the EV manufacturer to the charging network operator (CNO). This translates to CNY 1500 per vehicle, approximately 0.5–0.75% of the typical EV retail price in China, based on an average price of CNY 230,000 in 2023 [45]. The demand sensitivity to price α = 8 (million vehicles/million CNY) is based on the work of Li et al. [17], who estimated the price elasticity of EV demand to be between −1.5 and −2.5. We chose the median value of −2 and adjusted it according to the current market size and average EV price. The reference price effect coefficient β = 1 (million vehicles/million CNY) is set to be smaller than α , reflecting Popescu and Wu [46]’s finding that the reference price effect is typically smaller than the direct price effect. The charging network’s influence coefficient η = 5 (million vehicles/coverage rate) is quantified on the basis of Springel [47]’s study on the impact of the number of charging stations on EV sales. The memory parameter σ = 0.5 (1/year) corresponds to approximately a 1.4-year half-life for consumers’ price memory, based on Fibich et al. [37]. The discount rate ρ = 0.15 (1/year) reflects the average cost of capital in China’s EV industry, considering the sector’s high growth and risk profile.
All parameters use the International System of Units (SI), with time in years, currency in million CNY, and quantity in million vehicles. These values were calibrated to ensure that the model’s results have practical reference value. In the subsequent analysis, we conducted sensitivity analyses around these baseline values to explore the impact of different parameters on the model’s results.

5.1. The Impact of the Initial Reference Price

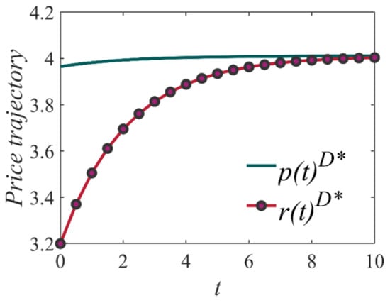
We first examined the impact of the initial reference price r 0 on optimal decisions. We selected two initial reference prices: a lower value of r 0 = 3.2 and a higher value of r 0 = 20 . We then analyzed the impact of these different initial reference prices on the optimal pricing and the reference price’s evolutionary paths for the electric vehicle manufacturer under a dynamic pricing approach. The results are illustrated in Figure 1 and Figure 2.
Figure 1 and Figure 2 show that with a dynamic pricing strategy, both the optimal price and the reference price adjust over time until they stabilize. When the initial reference price is low ( r 0 = 3.2 ), EV manufacturers follow a penetration pricing strategy, gradually raising the price to a stable level. In contrast, when the initial reference price is high r 0 = 20 , manufacturers adopt a skimming pricing strategy, gradually lowering the price to a stable point. Penetration pricing starts with a low price to attract customers and build market share, whereas skimming pricing begins with a high price to target premium customers and maximize profits.

5.2. The Impact of Key Parameters on Optimal Decisions

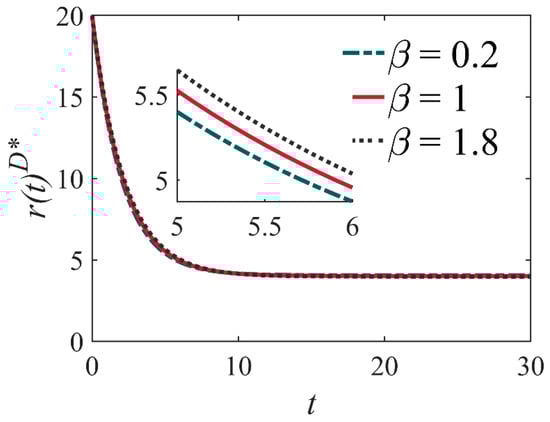
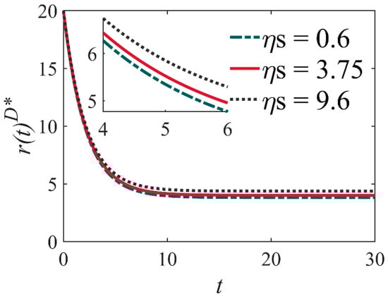
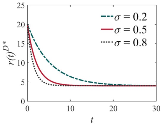
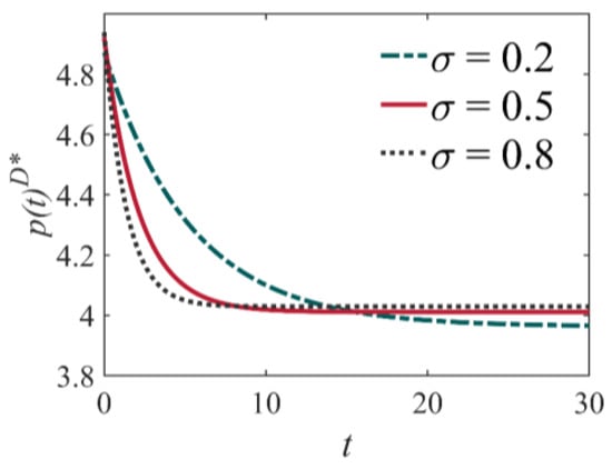
Next, we analyzed the impact of the key parameters σ , β , and s η on the optimal decisions. Keeping other parameters constant and setting r 0 = 20 , we obtained the results illustrated in Figure 3.
(1)
The Impact of the Memory Parameter
The price adjustment coefficient σ , which satisfies 0 σ 1 , represents the speed at which consumers adjust their price expectations. We set the baseline value to σ = 0 . 5 , based on empirical studies of consumer behavior in emerging technology markets [37]. This value suggests that consumers adjust their price expectations at a moderate rate, balancing between recent price information and historical trends. For the price adjustment coefficient σ , we analyzed values of 0.2, 0.5, and 0.8, as shown in Figure 3 and Figure 4. This range allowed us to examine scenarios where consumers are slow to adjust their price expectations ( σ = 0 . 2 ), adjust at a moderate rate ( σ = 0 . 5 , our baseline), or quickly adapt to new price information ( σ = 0 . 8 ).
Figure 3 and Figure 4 demonstrate that as the memory parameter σ increases, both the optimal pricing and reference price of EV manufacturers converge to stability more quickly. This suggests that when consumers have a shorter memory of prices, the market reaches a stable state more rapidly. Additionally, a larger memory parameter leads to lower optimal pricing in the stable state, as EV manufacturers must maintain demand through lower prices when consumers have a shorter memory.
(2)
The impact of the reference price effect coefficient, β
For the reference price effect coefficient β , we examined values of 0.2, 1, and 1.8, as illustrated in Figure 5 and Figure 6. This range allowed us to explore scenarios where consumers are relatively insensitive to the reference price ( β = 0 . 2 ), moderately sensitive ( β = 1 , our baseline), or highly sensitive ( β = 1 . 8 ) to the difference between the current price and their reference price.
Figure 5 and Figure 6 demonstrate that when consumers exhibit high sensitivity to the reference price (i.e., a large β ), EV manufacturers choose different pricing strategies based on the comparison between the reference price and the current price. If the reference price is higher than the current price, manufacturers tend to implement a more aggressive skimming pricing strategy to maximize profits. On the other hand, if the reference price is lower than the current price, manufacturers opt for a more cautious penetration pricing strategy to prevent a significant drop in demand.
(3)
The impact of the charging network’s influence, s η
For the charging network’s influence, we examined values of η = 2, 5, and 8. According to Proposition 3, these values of η correspond to values of the charging network’s influence s η of 0.6, 3.75, and 9.6, respectively. This range allowed us to explore scenarios where the charging infrastructure has a low impact ( η = 2 ), moderate impact ( η = 5 , our baseline), or high impact ( η = 8 ) on consumer demand. The results are illustrated in Figure 7 and Figure 8.
Figure 7 and Figure 8 illustrate that as the influence of the charging network grows, both the optimal pricing and reference price for EV manufacturers increase, while the time needed to reach stability shortens. This suggests that enhancements in the charging network significantly affect EV demand. As network coverage and service quality improve, consumers’ acceptance of EVs rises, enabling manufacturers to implement higher pricing strategies.
The analysis above highlights that factors such as the initial reference price, memory parameter, reference price effect coefficient, and charging infrastructure have a considerable impact on the optimal pricing strategy and the evolution of the reference price for EV manufacturers. These insights offer important guidance for manufacturers in developing effective pricing strategies and fostering strong collaboration with charging network operators.

5.3. The Impact of System Parameters on the Profits of the EV Manufacturer and the Charging Network Operator

This section focuses on analyzing the impact of reference effects, the charging network operator’s influence, and dynamic pricing on the profits of the EVM and the CNO.
We define the following indicators.
  • Δ E V M S B = π E V S * π E V M B * : the change in profits for the EV manufacturer due to the reference effect;
  • Δ E V M D S = π E V M D * π E V M S * : the increase in profits for the EV manufacturer under the dynamic pricing strategy compared with the static pricing strategy;
  • Δ C N O S B = π C N O S * π C N O B * : the change in profits for the charging network operator due to the reference effect;
  • Δ C N O D S = π C N O D * π C N O S * : the change in profits for the charging network operator under the dynamic pricing strategy.
We considered the following parameter values, namely σ in 0.1 ,   0.5 ,   0.7 ,   0.9 ,   1 ; β in 0.4 ,   0.8 ,   1.2 ,   1.6 ,   2 ; η in 1 ,   3 ,   5 ,   7 ,   9 , corresponding to values of the charging network’s influence s η of 0.15 , 1.35 , 3.75 , 7.35 , 12.15 , respectively. Other parameters remained constant, and we set r 0 = 20 . The results are presented in Table 1.
On the basis of the results presented in Table 1, we can draw several conclusions regarding the impact of reference effects, dynamic pricing strategies, and the charging network’s influence on the profits of the EVM and the CNO.
(1) Introducing reference effects in both the static and dynamic pricing strategies improves the profits of the EVM and the CNO. However, compared with static pricing, the EVM achieves higher profits under dynamic pricing, while the CNO experiences a reduction in profit. This phenomenon can be explained by two factors.
(i) Price adjustment flexibility and demand fluctuations: Dynamic pricing allows the EVM to adjust prices more flexibly in response to changes in market demand and the consumers’ reference prices. This flexibility enables manufacturers to optimize profits by increasing prices during peak demand periods and lowering prices during low demand periods. Additionally, dynamic pricing helps the EVM manage demand fluctuations by smoothing their impact on profits through timely price adjustments. In contrast, the CNO’s profit primarily depends on fixed subsidies and EV sales volumes, making it difficult for them to benefit from price adjustments.
(ii) Information asymmetry: As the dominant party in pricing decisions, EVMs possess more market information and pricing power, which they can better utilize through dynamic pricing. CNOs, as subordinate parties, may not have access to comprehensive and timely market information, limiting their ability to quickly respond to the EVMs’ pricing strategies.
In summary, dynamic pricing provides EVMs with greater flexibility and responsiveness to market conditions, allowing them to optimize profits by leveraging reference price effects and demand fluctuations. However, this strategy may transfer some risks to the CNOs, who may struggle to achieve equal benefits due to limitations in their profit models. Addressing this imbalance may require adjustments to the cooperation model or profit distribution mechanism to ensure that the long-term interests of both parties are protected.
(2) As the memory coefficient σ increases, the difference in profit between the EVM and the CNO under static and dynamic pricing strategies decreases, while the overall improvement from dynamic pricing increases. The positive impact of dynamic pricing on the EVM’s profits gradually weakens, and the negative impact on the CNO’s profits gradually strengthens. This phenomenon can be attributed to the following factors.
(i) Faster consumer adaptation to price changes: A higher memory coefficient implies that consumers update their reference prices more quickly and are more sensitive to recent price information. This leads to a faster convergence of the reference prices to the actual prices, reducing the potential for the EVM to increase profits through price differences. Furthermore, high memory makes consumers more likely to compare prices across different periods, increasing their price sensitivity and leading to stronger reactions to price changes.
(ii) Erosion of consumers’ brand loyalty: Frequent price changes may erode consumers’ brand loyalty, especially when the consumers can more easily compare prices across different periods. This may lead consumers to seek alternatives or postpone purchases, potentially reducing overall demand. For CNOs, whose profits rely on fixed subsidies and sales volume, greater demand fluctuations or an overall decrease in demand under a high memory coefficient may negatively impact their profits.
In conclusion, a higher memory coefficient allows consumers to adapt to price changes more rapidly, benefiting EVMs in the short term by allowing them to secure more profits through dynamic pricing. However, in the long run, this may lead to demand instability and an overall decline in market demand, ultimately reducing the profits of both the EVM and the CNO.
(3) As the reference price sensitivity coefficient β rises, the profits of both the EVM and CNO improve under the static and dynamic pricing strategies when the reference effects are considered. Additionally, the boost in the EVM’s profits under dynamic pricing increases with the reference price sensitivity coefficient. This highlights the critical role of reference prices in consumer behavior and demonstrates how companies can utilize this effect to refine their pricing strategies. The key factors influencing this outcome include the following.
(i) Stronger consumer perception of “good deals”: A rise in the reference price sensitivity coefficient indicates that consumers place greater emphasis on their internal reference prices when making purchasing choices. This reliance enables companies to shape consumers’ price perceptions through targeted pricing strategies. For example, when the actual price is below the reference price, consumers are more likely to view the product as a bargain, boosting their willingness to purchase. EVMs can take advantage of this by crafting a perception of a “good deal” through occasional promotions or price modifications to drive demand.
(ii) Greater responsiveness to price changes: A higher reference price sensitivity coefficient makes consumers more responsive to price changes, providing EVMs with more opportunities to use dynamic pricing strategies. EVMs can adjust prices more frequently, taking advantage of consumers’ sensitivity to reference prices to optimize profits. For example, they may raise prices in the short term and gradually lower them, creating the perception of a downward price trend that attracts consumers waiting for better deals. This strategy is particularly effective when β is high, as consumers are more likely to notice and react to such price fluctuations.
(iii) Shaping market expectations through reference price management: The enhanced reference price effect provides EVMs with a tool to shape market expectations. By strategically setting high reference prices (e.g., through the introduction of high-end limited-edition models), manufacturers can increase consumers’ perceived value of regular models. This strategy is especially effective when β is high, as consumers are more likely to use these high prices as reference points, increasing their willingness to pay for standard products.
Although CNOs do not directly control pricing, they still benefit from this effect. As EV sales increase due to the reference price effect, charging demand rises accordingly. Furthermore, if consumers perceive the overall cost of EV ownership (including charging costs) as favorable compared with their reference price, this could further stimulate market demand, indirectly benefiting CNOs.
(4) As the influence coefficient of charging network’s coverage and service quality (denoted s η ) increases, the profits of the EVM under all three pricing strategies increases. The degree of improvement in the EVM’s profits under the static and dynamic pricing strategies that consider reference effects also grows. However, the negative impact of dynamic pricing on the CNO’s profits gradually intensifies. This phenomenon highlights the crucial role of the charging infrastructure in the EV ecosystem and reveals the complexity of pricing strategy effects.
On one hand, improved charging network coverage and service quality directly enhance the practicality and attractiveness of EVs. A more extensive charging network and higher-quality services reduce consumers’ “range anxiety” (the fear of running out of power due to insufficient charging infrastructure), improve EVs’ convenience, and stimulate market demand. This explains why the EVM benefits from an increase in s η under all pricing strategies. As consumers increasingly consider charging convenience in their purchase decisions, the charging network becomes an integral part of the product’s value. As s η increases, the marginal improvement in the EVM’s profits due to reference effects also grows. This may be because manufacturers can better leverage the reference price effect as the charging network improves. When the charging infrastructure becomes more comprehensive, consumers may be willing to pay higher prices for EVs, recognizing the overall value of ownership (including charging convenience). Manufacturers can capitalize on this by increasing profit margins through strategic pricing.
On the other hand, the negative impact of dynamic pricing on the CNO’s profits intensifies. This may be due to several factors. First, as the charging network expands and improves, the CNO’s fixed and operating costs may increase, which may not be fully covered by the existing subsidy mechanism. Second, when EVMs can more flexibly adjust prices, they may lower prices in certain instances to stimulate demand, potentially reducing the CNO’s profits (which are based on fixed subsidies). Additionally, as charging networks become more widespread, consumers’ price sensitivity to charging services may increase, making it more challenging for CNOs to offset cost increases by raising service prices, particularly when faced with EVMs’ dynamic pricing strategies.
In summary, dynamic pricing strategies that consider reference effects and charging network influence can increase the overall system’s profits in the strategic cooperation between the EVM and the CNO. However, the impact on each party differs. EVMs should select pricing strategies based on the consumers’ price memory characteristics, reference price sensitivity, and the degree of the charging network’s influence, while considering the balance of interests in their cooperation with CNOs to achieve long-term mutual benefits for both parties.

6. Conclusions

The rapid growth of the electric vehicle (EV) market presents both opportunities and challenges for the automotive industry, particularly regarding the management and development of the charging infrastructure. This study, based on differential game theory, investigated the dynamic pricing strategies that EV manufacturers face, influenced by the reference price effect and the efforts of charging network operators. Our analysis of different pricing strategies offers key insights into how these factors shape market outcomes.

6.1. Main Findings and Contributions

Our study presents several important findings concerning the dynamic pricing strategies of EV manufacturers in relation to charging network operators. When the reference price effect is not considered, the pricing decisions of EV manufacturers are positively correlated with the effort levels of charging network operators. However, when the reference price effect is taken into account, the optimal pricing strategies change significantly. Specifically, higher initial reference prices suggest that manufacturers should adopt a skimming pricing strategy, while lower initial prices favor a penetration pricing strategy. Moreover, a stronger influence from charging networks reduces consumers’ price sensitivity, allowing manufacturers to increase prices and boost profits. While dynamic pricing strategies benefit manufacturers, they may negatively affect the profits of charging network operators due to the increased complexity and the sustained efforts required. Additionally, when consumers exhibit stronger memory effects, manufacturers have less flexibility in adjusting prices, as consumers quickly adapt their reference prices, limiting the ability to differentiate prices over time.
Our study makes significant contributions to both theory and practice. We developed a comprehensive differential game model that captures the decision-making processes of both EV manufacturers and charging network operators. This model integrates the reference price effect and the charging network’s influence into pricing strategies, providing a more holistic view of the EV market’s ecosystem. By simultaneously considering these two factors, our research advances the understanding of dynamic pricing in the EV market, an area previously underexplored in the literature. We also introduced three distinct pricing strategies—basic, static, and dynamic—each offering unique insights into how EV manufacturers and charging network operators can optimize their pricing and efforts under different market conditions. These strategies go beyond the static models commonly discussed in the literature, offering practical solutions to the dynamic challenges faced in real-world market environments. Furthermore, we provided analytical solutions for equilibrium prices and optimal effort levels for charging network operators, which serve as valuable benchmarks for decision-making. These findings effectively bridge the gap between theory and practice by offering insights that are both academically rigorous and practically applicable, supported by numerical analysis using real-world data.

6.2. Practical Implications

For EV manufacturers such as Tesla, our findings suggest implementing dynamic pricing strategies that fully account for the reference price effect. When launching a new model, manufacturers should start with a higher price if the initial reference price is high (skimming strategy), then gradually decrease it to capture different market segments over time. They should closely monitor and analyze the influence of charging networks on consumers’ purchasing behavior. For example, Tesla should continue investing in its Supercharger network, as our model shows that a stronger charging network influence allows for higher pricing and improved profits. EV manufacturers should develop pricing strategies based on the initial reference price in different markets. In mature EV markets with high reference prices, they should maintain premium pricing, while in emerging markets with lower reference prices, they should consider a penetration pricing strategy to gain market share. Collaboration with the charging network operators that offer strong service capabilities is crucial. For Tesla, this means continuing to expand its proprietary Supercharger network while also partnering with third-party charging providers to extend coverage. Implementing a subsidy system for charging network operators is also recommended. Tesla, for instance, could offer increased revenue sharing or direct subsidies to third-party charging operators based on the number of Tesla vehicles charged, incentivizing them to improve service quality and expand coverage.
For charging network operators, our research suggests adjusting service strategies based on the level of subsidies received from EV manufacturers. They should prioritize expanding charging stations in areas with high concentrations of EVs from manufacturers offering higher subsidies. Focusing on improving service quality and coverage is essential to enhance the influence on consumers’ decisions. This could involve investing in faster charging technologies, improving the user interface of charging apps, and strategically locating new charging stations. Charging network operators should develop dynamic pricing models for charging services that align with EV manufacturers’ pricing strategies. For instance, they could offer promotional rates during periods when EV prices are lower to support manufacturers’ penetration pricing strategies. Investing in data analytics to better understand and predict EV users’ behavior would allow for more efficient allocation of resources and targeted service improvements. Finally, considering partnerships with multiple EV manufacturers could help diversify revenue streams and reduce dependence on a single manufacturer’s subsidy structure.

6.3. Limitations and Future Work

While our research provides valuable insights, several limitations present opportunities for future research. This study assumed that the effort levels of charging network operators remain constant over time. Future research could explore scenarios where operators dynamically adjust their effort levels across different sales periods. Additionally, our study only considered a pricing decision system involving a single EV manufacturer and a single charging network operator. Future research could extend the analysis to situations involving competition among multiple manufacturers and operators.
Our study focused on the pricing decisions of EV manufacturers. Future research could examine joint decision-making processes involving pricing and advertising, particularly the impact of advertising on consumers’ reference prices. We also did not consider the impact of technological progress on EVs and the charging infrastructure. Future research could incorporate technological innovation factors into the analysis, examining how advancements in battery technology, charging speed, and vehicle range affect pricing strategies and market dynamics.
Moreover, our model does not account for regional differences in EV adoption rates, the charging infrastructure’s development, and government policies. Future studies could explore how these factors vary across different geographic markets and their impact on pricing strategies. Lastly, the current model treats consumers as a homogeneous group. Future research could incorporate consumer segmentation based on factors such as income, environmental consciousness, and driving patterns to develop more nuanced pricing strategies.
By addressing these limitations, future research can further enhance our understanding of the complex dynamics in the EV market and provide more targeted strategies for both EV manufacturers and charging network operators.

Author Contributions

Conceptualization, Z.J. and Q.C.; methodology, Q.C.; formal analysis, Z.J. and Q.X.; investigation, Z.J.; writing—original draft, Z.J.; writing—review and editing, Q.C. and Q.X.; visualization, Q.X.; supervision, Q.C. All authors have read and agreed to the published version of the manuscript.

Funding

This research was supported by the National Natural Science Foundation of China (Grant No. 72304208), the National Social Science Fund of China (Grant No. 21BGL014), and the Shanghai Open University Center for Research on Digital Management and Service Innovation (Grant No. yjzx2403).

Institutional Review Board Statement

Not applicable.

Informed Consent Statement

Not applicable.

Data Availability Statement

The data supporting this study can be obtained from the corresponding author upon request. Due to privacy and ethical considerations, the data are not publicly accessible.

Acknowledgments

The authors express their gratitude to the editor-in-chief and anonymous reviewers for their valuable feedback, which significantly improved the quality of this paper.

Conflicts of Interest

The authors declare no conflicts of interest.

Appendix A

Proof of Proposition 1. 
We start by determining the optimal service level for the charging network operator. Simplifying the objective function π C N O B through integration yields:
π C N O B = 0 e ρ t [ f ( A α p + η s ) s 2 2 ] d t = 1 ρ [ f ( A α p + η s ) s 2 2 ] .
Differentiating π C N O B twice with respect to s gives: 2 π C N O B ( s ) 2 = 1 ρ < 0 . Since the second derivative is negative, π C N O B is strictly concave in s and has a global maximum. Setting the first derivative equal to zero: π C N O B s = f η s ρ = 0 , we obtain s B * = f η .
Now, substituting s B * into the electric vehicle manufacturer’s objective function π E V M B and simplifying through integration yields:
π E V M B = 0 e ρ t [ ( p f ) ( A α p + η s B * ) ] d t = ( p f ) ( A α p + f η 2 ) ρ .
Differentiating π E V M B twice with respect to p : 2 π E V M B ( p ) 2 = 2 α ρ < 0 . Likewise, π E V M B is strictly concave in p and achieves a global maximum. Setting the first derivative equal to zero: π E V M B p = f ( α + η 2 ) + A 2 α p ρ = 0 , we find p B * = A + f ( α + η 2 ) 2 α . □
Proof of Proposition 2. 
We start by solving the differential equation r ˙ ( t ) = σ ( p r ( t ) ) , with the initial condition r ( 0 ) = r 0 , to determine the reference price: r ( t ) = p + ( r 0 p ) e σ t . Substituting r ( t ) into the objective function π C N O S and simplifying gives: π C N O S = 0 e ρ t [ f ( A α p + η s ) s 2 2 ] d t + β f ( r 0 p ) σ + ρ = 1 ρ [ f ( A α p + η s ) s 2 2 ] + β f ( r 0 p ) σ + ρ .
Differentiating π C N O S twice with respect to s yields: 2 π C N O S ( s ) 2 = 1 ρ < 0 , showing that π C N O S is strictly concave in s . Setting the first derivative equal to zero: π C N O S s = f η s ρ = 0 , we obtain s S * = f η .
Substituting s S * into π E V M S and simplifying results in:
π E V M S = ( p f ) ( A α p + f η 2 ) ρ + β ( p f ) ( r 0 p ) σ + ρ .  
Differentiating π E V M S twice with respect to p : 2 π E V M S ( p ) 2 = 2 α ρ 2 β σ + ρ < 0 , confirming that π E V M S is strictly concave in p . Setting the first derivative equal to zero: π E V M S p = β ( r 0 2 p ) σ + ρ + A 2 α p + f ( α + η 2 ) + β ( r 0 2 p ) ρ = 0 , and simplifying leads to: 2 β ρ p + 2 α ( σ + ρ ) p = r 0 β ρ + A ( σ + ρ ) + f ρ ( α + β + η 2 ) + f σ ( α + η 2 ) , from which we find p S * = r 0 β ρ + A ( σ + ρ ) + f ρ ( α + β + η 2 ) + f σ ( α + η 2 ) 2 β ρ + 2 α ( σ + ρ ) . □
Proof of Proposition 3. 
We begin by determining the optimal service level for the charging network operator. Since H C N O is concave in the service level s , setting H C N O s = f η s = 0 yields s D * = f η . Substituting s D * into the Hamiltonian function of the electric vehicle manufacturer and applying the first-order optimality condition, we obtain the optimal pricing strategy:
H E V M p ( t ) = 0 p ( t ) = A + β r ( t ) + f ( α + β + η 2 ) + θ ( t ) σ 2 ( α + β ) .
Substituting this equation into the differential equations for the adjoint variable θ ( t ) and state variable r ( t ) results in a system of second-order linear differential equations:
θ ˙ ( t ) = ρ + σ σ β 2 ( α + β ) θ ( t ) β 2 ( α + β ) A + f ( α + β + η 2 ) + β r ( t ) r ˙ ( t ) = σ ( 2 α + β ) 2 ( α + β ) r ( t ) + σ A + f ( α + β + η 2 ) 2 ( α + β ) + σ 2 2 ( α + β ) θ ( t ) .
This system can be expressed in matrix form:
θ ˙ ( t ) r ˙ ( t ) = M 1 θ ( t ) r ( t ) + L 1
where, M 1 = ρ + σ σ β 2 ( α + β ) β 2 2 ( α + β ) σ 2 2 ( α + β ) σ β 2 ( α + β ) σ , L 1 = β ( A + f ( α + β + η 2 ) ) 2 ( α + β ) σ ( A + f ( α + β + η 2 ) ) 2 ( α + β ) .
The inverse of matrix M 1 is given by: M 1 1 = 2 α + β β ρ + 2 α ( ρ + σ ) β 2 σ ( β ρ + 2 α ( ρ + σ ) ) σ β ρ + 2 α ( ρ + σ ) 2 α ( ρ + σ ) + β ( 2 ρ + σ ) σ ( β ρ + 2 α ( ρ + σ ) ) .
Let R 3 and R 4 denote the eigenvalues of M 1 :
R 3 = ρ 2 ( α + β ) ( ρ + 2 σ ) ( ( α + β ) ρ + 2 α σ ) 2 ( α + β ) , R 4 = ρ 2 + ( α + β ) ( ρ + 2 σ ) ( ( α + β ) ρ + 2 α σ ) 2 ( α + β ) .
The eigenvector matrix of M 1 is:
H 1 = 2 ( α + β ) σ 2 ( ( 2 α + β ) σ 2 ( α + β ) + R 3 ) 2 ( α + β ) σ 2 ( ( 2 α + β ) σ 2 ( α + β ) + R 4 ) 1 1 .
The solution to the system of differential equations is then given by:
θ ( t ) r ( t ) = H 1 e N 1 t 0 0 e N 2 t c 1 c 2 A 1 1 L 1 , where c 1 and c 2 are constants to be determined. Expanding this solution yields:
θ ( t ) = c 1 e R 3 t 2 ( α + β ) σ 2 ( ( 2 α + β ) σ 2 ( α + β ) + R 3 ) + c 2 e R 4 t 2 ( α + β ) σ 2 ( ( 2 α + β ) σ 2 ( α + β ) + R 4 ) + R 1 , r ( t ) = c 1 e R 3 t + c 2 e R 4 t + R 2 ,
with, R 1 = β ( A + f ( α + β + η 2 ) ) β ρ + 2 α ( ρ + σ ) , R 2 = ( A + f ( α + β + η 2 ) ) ( ρ + σ ) β ρ + 2 α ( ρ + σ ) .
Substituting θ ( t ) and r ( t ) into the expression for p ( t ) gives:
p ( t ) = A + f ( α + β + η 2 ) + σ R 1 + β R 2 2 ( α + β ) + c 1 e R 3 t ( σ + R 3 ) + c 2 e R 4 t ( σ + R 4 ) σ .
The boundary conditions lim t θ ( t ) = 0 and r ( 0 ) = r 0 imply c 1 = r 0 R 2 and c 2 = 0 .
Finally, substituting the values of c 1 and c 2 into the equations for p ( t ) , r ( t ) , and θ ( t ) yields the results stated in Proposition 3. □

References

  1. International Energy Agency. Global EV Outlook 2024. IEA, Paris. 2024. Available online: https://www.iea.org/reports/global-ev-outlook-2024 (accessed on 18 October 2024).
  2. International Energy Agency. Trends in Electric Cars—Global EV Outlook 2024. IEA, Paris. 2024. Available online: https://www.iea.org/reports/global-ev-outlook-2024/trends-in-electric-cars (accessed on 18 October 2024).
  3. CarEdge. The Average Price of an Electric Car Keeps Dropping (2024 Update). CarEdge. 2024. Available online: https://caredge.com/guides/average-price-of-an-electric-car-2024 (accessed on 18 October 2024).
  4. Ou, Y.; Kittner, N.; Babaee, S.; Smith, S.J.; Nolte, C.G.; Loughlin, D.H. Evaluating Long-Term Emission Impacts of Large-Scale Electric Vehicle Deployment in the US Using a Human-Earth Systems Model. Appl. Energy 2021, 300, 117364. [Google Scholar] [CrossRef] [PubMed]
  5. Johnson, M.; Williams, R. Market Dynamics in the Transition to Electric Mobility. Energy Policy 2021, 148, 111956. [Google Scholar]
  6. Brown, D.; Miller, S.; Taylor, J. Optimizing Electric Vehicle Manufacturer Profits in Competitive Markets. Oper. Res. 2019, 67, 683–700. [Google Scholar]
  7. Davis, L.; Anderson, K. Profit Maximization Strategies for Charging Network Operators. IEEE Trans. Smart Grid 2022, 13, 1122–1134. [Google Scholar]
  8. Wilson, C.; Harris, J.; Thompson, R. Game-Theoretic Analysis of EV Manufacturer and Charging Operator Interactions. Transp. Res. Part B Methodol. 2020, 132, 197–213. [Google Scholar]
  9. Taylor, M.; Green, E. Strategic Decision-Making in the Electric Vehicle Ecosystem: A Multi-Player Game Approach. Eur. J. Oper. Res. 2021, 289, 1012–1027. [Google Scholar]
  10. Zhang, Q.; Liu, Y. Application of Stochastic Differential Games in Financial Markets. J. Econ. Dyn. Control 2019, 98, 115–130. [Google Scholar]
  11. Rodriguez, A.; Martinez, S. Stochastic Differential Games in Energy Market Modeling. Energy Econ. 2020, 86, 104641. [Google Scholar]
  12. Chen, Q.; Xu, Q. Joint Optimal Pricing and Advertising Policies in a Fashion Supply Chain under the ODM Strategy Considering Fashion Level and Goodwill. J. Comb. Optim. 2022, 43, 1075–1105. [Google Scholar] [CrossRef]
  13. Lee, K.; Park, S.; Kim, H. Competition Dynamics in the Electric Vehicle Market: A Stochastic Differential Game Model. Transp. Res. Part A Policy Pract. 2022, 155, 194–209. [Google Scholar]
  14. Chen, X.; Wang, Y. Interaction between Electric Vehicle Adoption and Electricity Prices: A Stochastic Game-Theoretic Approach. Appl. Energy 2021, 283, 116344. [Google Scholar]
  15. Lopes, J.A.P.; Soares, F.J.; Almeida, P.M.R. Integration of Electric Vehicles in the Electric Power System. Proc. IEEE 2011, 99, 168–183. [Google Scholar] [CrossRef]
  16. Sioshansi, R. Modeling the Impacts of Electricity Tariffs on Plug-In Hybrid Electric Vehicle Charging, Costs, and Emissions. Oper. Res. 2012, 60, 506–516. [Google Scholar] [CrossRef]
  17. Li, S.; Tong, L.; Xing, J.; Zhou, Y. The Market for Electric Vehicles: Indirect Network Effects and Policy Design. J. Assoc. Environ. Resour. Econ. 2017, 4, 89–133. [Google Scholar] [CrossRef]
  18. Zhang, L.; Qian, Z. Modeling the Co-Evolution of Electric Vehicle Adoption and Charging Infrastructure Deployment: An Agent-Based Approach. Transp. Res. Part A Policy Pract. 2018, 118, 573–590. [Google Scholar]
  19. Flath, C.M.; Ilg, J.P.; Gottwalt, S.; Schmeck, H.; Weinhardt, C. Improving Electric Vehicle Charging Coordination through Area Pricing. Transp. Sci. 2014, 48, 619–634. [Google Scholar] [CrossRef]
  20. Hussain, M.T.; Sulaiman, N.B.; Hussain, M.S.; Jabir, M. Optimal Management Strategies to Solve Issues of Grid Having Electric Vehicles (EV): A Review. J. Energy Storage 2021, 33, 102114. [Google Scholar] [CrossRef]
  21. Yi, Z.; Scoffield, D.; Smart, J.; Meintz, A.; Jun, M.; Mohanpurkar, M.; Medam, A. A Highly Efficient Control Framework for Centralized Residential Charging Coordination of Large Electric Vehicle Populations. Int. J. Electr. Power Energy Syst. 2020, 117, 105661. [Google Scholar] [CrossRef]
  22. Lin, R.; Xu, Z.; Huang, X.; Gao, J.; Chen, H.; Shen, T. Optimal Scheduling Management of the Parking Lot and Decentralized Charging of Electric Vehicles Based on Mean Field Game. Appl. Energy 2022, 328, 120198. [Google Scholar] [CrossRef]
  23. Bass, F.M. A New Product Growth for Model Consumer Durables. Manag. Sci. 1969, 15, 215–227. [Google Scholar] [CrossRef]
  24. Rogers, E.M.; Singhal, A.; Quinlan, M.M. Diffusion of Innovations: An Integrated Approach to Communication Theory and Research; Routledge: Oxfordshire, UK, 2014; pp. 432–448. [Google Scholar]
  25. Zhang, Y.; Qian, Z.; Sprei, F.; Li, B. The Impact of Car Specifications, Prices and Incentives for Battery Electric Vehicles in Norway: Choices of Heterogeneous Consumers. Transp. Res. Part C Emerg. Technol. 2016, 69, 386–401. [Google Scholar] [CrossRef]
  26. Noel, L.; Zarazua de Rubens, G.; Sovacool, B.K.; Kester, J. Fear and Loathing of Electric Vehicles: The Reactionary Rhetoric of Range Anxiety. Energy Res. Soc. Sci. 2019, 48, 96–107. [Google Scholar] [CrossRef]
  27. Mazumdar, T.; Raj, S.P.; Sinha, I. Reference Price Research: Review and Propositions. J. Mark. 2005, 69, 84–102. [Google Scholar] [CrossRef]
  28. He, F.; Yin, Y.; Zhou, J. Deploying Public Charging Stations for Electric Vehicles on Urban Road Networks. Transp. Res. Part C Emerg. Technol. 2015, 60, 227–240. [Google Scholar] [CrossRef]
  29. Pagany, R.; Ramirez Camargo, L.; Dorner, W. A Review of Spatial Localization Methodologies for the Electric Vehicle Charging Infrastructure. Int. J. Sustain. Transp. 2019, 13, 433–449. [Google Scholar] [CrossRef]
  30. Tu, W.; Li, Q.; Fang, Z.; Shaw, S.L.; Zhou, B.; Chang, X. Optimizing the Locations of Electric Taxi Charging Stations: A Spatial Temporal Demand Coverage Approach. Transp. Res. Part C Emerg. Technol. 2016, 65, 172–189. [Google Scholar] [CrossRef]
  31. Liao, Y.; Tozluoğlu, Ç.; Sprei, F.; Yeh, S.; Dhamal, S. Impacts of Charging Behavior on BEV Charging Infrastructure Needs and Energy Use. Transp. Res. Part D Transp. Environ. 2023, 116, 103645. [Google Scholar] [CrossRef]
  32. Tong, Q.; Zhang, L.; Liu, J. Transportation Infrastructure and Common Prosperity from the Perspective of Chinese-Style Modernization: Enabling Effects and Advancement Paths. Sustainability 2024, 16, 1677. [Google Scholar] [CrossRef]
  33. Ling, S.; Jin, S.; Wang, H.; Zhang, Z.; Feng, Y. Transportation Infrastructure Upgrading and Green Development Efficiency: Empirical Analysis with Double Machine Learning Method. J. Environ. Manag. 2024, 358, 120922. [Google Scholar] [CrossRef]
  34. Rozzi, E.; Giglio, E.; Moscoloni, C.; Novo, R.; Mattiazzo, G.; Lanzini, A. Comparative Study of Electric and Hydrogen Mobility Infrastructures for Sustainable Public Transport: A PyPSA Optimization for a Remote Island Context. Int. J. Hydrogen Energy 2024, 80, 516–527. [Google Scholar] [CrossRef]
  35. Nguyen, D.M.; Kishk, M.A.; Alouini, M.S. Dynamic Charging as a Complementary Approach in Modern EV Charging Infrastructure. Sci. Rep. 2024, 14, 5785. [Google Scholar] [CrossRef] [PubMed]
  36. Barman, P.; Dutta, L. Charging Infrastructure Planning for Transportation Electrification in India: A Review. Renew. Sustain. Energy Rev. 2024, 192, 114265. [Google Scholar] [CrossRef]
  37. Fibich, G.; Gavious, A.; Lowengart, O. Explicit Solutions of Optimization Models and Differential Games with Nonsmooth (Asymmetric) Reference-Price Effects. Oper. Res. 2003, 51, 721–734. [Google Scholar] [CrossRef]
  38. Gu, X.; Ieromonachou, P.; Zhou, L. Subsidising an Electric Vehicle Supply Chain with Imperfect Information. Int. J. Prod. Econ. 2021, 211, 82–97. [Google Scholar] [CrossRef]
  39. Lee, Z.J.; Pang, J.Z.F.; Low, S.H. Pricing EV Charging Service with Demand Charge. Electr. Power Syst. Res. 2020, 189, 106694. [Google Scholar] [CrossRef]
  40. Adepetu, A.; Keshav, S. The Relative Importance of Price and Driving Range on Electric Vehicle Adoption: Los Angeles Case Study. Transportation 2017, 44, 353–373. [Google Scholar] [CrossRef]
  41. Gnann, T.; Plötz, P.; Wietschel, M. Can Public Slow Charging Accelerate Plug-In Electric Vehicle Sales? A Simulation of Charging Infrastructure Usage and Its Impact on Plug-In Electric Vehicle Sales for Germany. Int. J. Sustain. Transp. 2019, 13, 528–542. [Google Scholar] [CrossRef]
  42. Tesla, Inc. Tesla Releases Fourth Quarter and Full Year 2020 Financial Results. Tesla Investor Relations. 2021. Available online: https://ir.tesla.com/press-release/tesla-releases-fourth-quarter-and-full-year-2020-financial-results (accessed on 18 October 2024).
  43. Volkswagen, A.G. Annual Report 2020. Volkswagen Group. 2021. Available online: https://annualreport2020.volkswagenag.com (accessed on 18 October 2024).
  44. MarkLines. Flash Report, Automotive Sales Volume, 2023—China. MarkLines. 2024. Available online: https://www.marklines.com/cn/statistics/flash_sales/automotive-sales-in-china-by-month-2023 (accessed on 18 October 2024).
  45. Autohome. Why Are Electric Vehicles Cheaper in China? Autohome. 2024. Available online: https://chejiahao.autohome.com.cn/info/15860171 (accessed on 18 October 2024).
  46. Popescu, I.; Wu, Y. Dynamic Pricing Strategies with Reference Effects. Oper. Res. 2007, 55, 413–429. [Google Scholar] [CrossRef]
  47. Springel, K. Network Externality and Subsidy Structure in Two-Sided Markets: Evidence from Electric Vehicle Incentives. Am. Econ. J. Econ. Policy 2021, 13, 393–432. [Google Scholar] [CrossRef]
Figure 1. Impact of a lower initial reference price ( r 0 = 3.2 ) on the optimal price and the reference price.
Figure 1. Impact of a lower initial reference price ( r 0 = 3.2 ) on the optimal price and the reference price.
Sustainability 16 09325 g001
Figure 2. Impact of a higher initial reference price ( r 0 = 20 ) on the optimal price and the reference price.
Figure 2. Impact of a higher initial reference price ( r 0 = 20 ) on the optimal price and the reference price.
Sustainability 16 09325 g002
Figure 3. Impact of consumers’ memory coefficient σ on price.
Figure 3. Impact of consumers’ memory coefficient σ on price.
Sustainability 16 09325 g003
Figure 4. Impact of consumers’ memory coefficient σ on the reference price.
Figure 4. Impact of consumers’ memory coefficient σ on the reference price.
Sustainability 16 09325 g004
Figure 5. Impact of the reference price sensitivity coefficient β on price.
Figure 5. Impact of the reference price sensitivity coefficient β on price.
Sustainability 16 09325 g005
Figure 6. Impact of the reference price sensitivity coefficient β on the reference price.
Figure 6. Impact of the reference price sensitivity coefficient β on the reference price.
Sustainability 16 09325 g006
Figure 7. Impact of the charging network’s level of influence s η on price.
Figure 7. Impact of the charging network’s level of influence s η on price.
Sustainability 16 09325 g007
Figure 8. Impact of the charging network’s level of influence s η on the reference price.
Figure 8. Impact of the charging network’s level of influence s η on the reference price.
Sustainability 16 09325 g008
Table 1. The impact of system parameters on the profits of the EV manufacturer and the charging network operator.
Table 1. The impact of system parameters on the profits of the EV manufacturer and the charging network operator.
ParamValues π E V M B * π E V M S * π E V M D * Δ E V M S B Δ E V M D S π C P O B * π C P O S * π C P O D * Δ C P O S B Δ C P O D S
σ 0.1575.31805.25808.65229.943.4024.4030.3630.365.96−0.0017
0.5575.31660.92664.9585.614.0324.4026.6926.672.29−0.0208
0.7575.31640.44643.8965.133.4524.4026.1526.121.75−0.0302
0.9575.31627.87630.8552.552.9824.4025.8225.781.42−0.0371
1575.31623.24626.0347.932.7924.4025.6925.651.29−0.0398
β 0.4815.10853.71854.3438.600.6329.4030.3230.300.92−0.0171
0.8815.10892.81895.2477.702.4329.4031.2331.211.83−0.0231
1.2815.10932.39937.68117.285.2929.4032.1532.132.75−0.0188
1.6815.10972.43981.53157.339.1029.4033.0633.063.66−0.0052
2815.101012.931026.7197.8213.7729.4033.9833.964.58−0.0169
η s 0.15723.98817.29821.1393.313.8429.4031.6931.672.29−0.0217
1.35753.75848.46852.2694.703.8129.4031.6931.672.29−0.0218
3.75815.10912.54916.2897.433.7429.4031.6931.672.29−0.0221
7.35911.631013.041016.6101.413.6329.4031.6931.672.29−0.0226
12.151048.71155.201158.7106.473.5029.4031.6931.672.29−0.0233
Disclaimer/Publisher’s Note: The statements, opinions and data contained in all publications are solely those of the individual author(s) and contributor(s) and not of MDPI and/or the editor(s). MDPI and/or the editor(s) disclaim responsibility for any injury to people or property resulting from any ideas, methods, instructions or products referred to in the content.

Share and Cite

MDPI and ACS Style

Jia, Z.; Chen, Q.; Xu, Q. The Art of Balancing Price and Plug: Developing a Theoretical Model for Dynamic Pricing in the Electric Vehicle Market. Sustainability 2024, 16, 9325. https://doi.org/10.3390/su16219325

AMA Style

Jia Z, Chen Q, Xu Q. The Art of Balancing Price and Plug: Developing a Theoretical Model for Dynamic Pricing in the Electric Vehicle Market. Sustainability. 2024; 16(21):9325. https://doi.org/10.3390/su16219325

Chicago/Turabian Style

Jia, Zhining, Qi Chen, and Qi Xu. 2024. "The Art of Balancing Price and Plug: Developing a Theoretical Model for Dynamic Pricing in the Electric Vehicle Market" Sustainability 16, no. 21: 9325. https://doi.org/10.3390/su16219325

APA Style

Jia, Z., Chen, Q., & Xu, Q. (2024). The Art of Balancing Price and Plug: Developing a Theoretical Model for Dynamic Pricing in the Electric Vehicle Market. Sustainability, 16(21), 9325. https://doi.org/10.3390/su16219325

Note that from the first issue of 2016, this journal uses article numbers instead of page numbers. See further details here.

Article Metrics

Back to TopTop