Impact of China’s National Sword Policy on Waste Import Margins: A Difference-in-Differences Approach
Abstract
1. Introduction
2. Literature Review
2.1. Global and Chinese Waste Import Motivation
2.2. Policy Impact of China’s Waste Import Ban
3. Overview of China’s Waste Import and Ternary Margins
3.1. China’s Waste Import
3.2. Ternary Margins of China’s Waste Import
4. Methodology and Data
4.1. Econometric Specification
4.2. Data and Descriptions of Variables
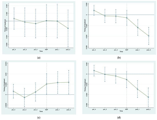
5. Results
6. Further Discussions
7. Conclusions and Policy Implications
Author Contributions
Funding
Institutional Review Board Statement
Informed Consent Statement
Data Availability Statement
Conflicts of Interest
Appendix A
| Name | Obs | Mean | SD | Min | Max |
|---|---|---|---|---|---|
| 3242 | −0.0033 | 0.0123 | −0.2198 | 0.0000 | |
| 3242 | −0.0018 | 0.0073 | −0.1299 | 0.0000 | |
| 3242 | 0.0002 | 0.0013 | −0.0128 | 0.0183 | |
| 3242 | −0.0020 | 0.0078 | −0.1392 | 0.0000 | |
| 3242 | 0.0793 | 0.2702 | 0.0000 | 1.0000 | |
| 3203 | 19.4200 | 1.8746 | 12.4328 | 23.8586 | |
| 3203 | 2.6731 | 1.2508 | −0.9702 | 4.7339 | |
| 3242 | 0.0099 | 0.1293 | −0.7691 | 0.8752 | |
| 3162 | 4.3679 | 0.6127 | 0.3205 | 6.0927 | |
| 3239 | 0.1973 | 0.3980 | 0.0000 | 1.0000 | |
| 3138 | 1.0501 | 1.0266 | 0.0000 | 4.1734 | |
| 2549 | 0.4464 | 0.4972 | 0.0000 | 1.0000 | |
| 2549 | 0.1565 | 0.3634 | 0.0000 | 1.0000 | |
| 2549 | 0.4323 | 0.4955 | 0.0000 | 1.0000 | |
| 2549 | 0.6516 | 0.4765 | 0.0000 | 1.0000 |
| Region | High Income | Low and Middle Income |
|---|---|---|
| East Asia and Pacific | Australia, Brunei Darussalam, French Polynesia, Hong Kong SAR, Japan, Korea Rep., Macao SAR, New Caledonia, New Zealand, Palau, Singapore | Cambodia, Indonesia, Lao PDR, Malaysia, Mongolia, Myanmar, Papua New Guinea, Philippines, Rep. of Korea DPR, Solomon Islands, Thailand, Tonga, Vietnam |
| Europe and Central Asia | Austria, Belgium, Croatia, Cyprus, Czechia, Denmark, Estonia, Finland, France, Germany, Greece, Hungary, Iceland, Ireland, Italy, Latvia, Lithuania, Luxembourg, Netherlands, Norway, Poland, Portugal, Slovakia, Slovenia, Spain, Sweden, Switzerland, United Kingdom | Albania, Azerbaijan, Belarus, Bosnia Herzegovina, Bulgaria, Georgia, Greece, Kazakhstan, Kyrgyzstan, Romania, Russian Federation, Serbia, Macedonia, Turkmenistan, Turkey, Ukraine, Uzbekistan |
| Latin America and the Caribbean | Aruba, Bahamas, Barbados, Chile, Panama, Trinidad and Tobago, Uruguay | Antigua and Barbuda, Argentina, Belize, Bolivia, Brazil, Colombia, Costa Rica, Dominica, Dominican Rep., Ecuador, El Salvador, Guatemala, Guyana, Haiti, Honduras, Jamaica, Mexico, Nicaragua, Paraguay, Peru, St. Lucia, St. Vincent and the Grenadines, Suriname, Venezuela |
| Middle East and North Africa | Bahrain, Israel, Kuwait, Malta, Oman, Qatar, Saudi Arabia, United Arab Emirates | Algeria, Egypt, Iran, Iraq, Jordan, Lebanon, Libya, Morocco, Syria, Tunisia, Yemen |
| North America | Canada, United States | - |
| South Asia | - | Afghanistan, Bangladesh, India, Pakistan, Sri Lanka |
| Sub-Saharan Africa | Mauritius | Benin, Cameroon, Congo, Cote d’Ivoire, Ethiopia, Gambia, Ghana, Guinea, Kenya, Madagascar, Mali, Mauritania, Mozambique, Namibia, Nigeria, Senegal, Sierra Leone, South Africa, Sudan, Togo, Uganda, Tanzania, Zambia |
| Categories | Waste Products Banned by the NSP | Other Waste Products |
|---|---|---|
| Waste mineral | 261900, 262011, 262019, 262021, 262029, 262030, 262040, 262060, 262091, 262099 | 251720, 252530, 261900, 262110 |
| Waste chemical | - | 300692, 382510, 382530, 382541, 382549, 382550, 382561, 382569 |
| Waste plastic | 391510, 391520, 391530, 391590 | 400400, 411520 |
| Waste wood | 470790 | 450190, 470710, 470720, 470730 |
| Waste textile | 510310, 510320, 510330, 520210, 520299, 550510, 550520 | 500300, 510400, 520291, 631010, 631090 |
| Waste metal | - | 711230, 711299, 720410, 720421, 720429, 720430, 720441, 720449, 740400, 750300, 760200, 780200, 790200, 800200, 810197, 810297, 810330, 810420, 810530, 810730, 810830, 810930, 811020, 811213, 811222, 811252, 811300, 854810 |
| (1) | (2) | (3) | (4) | |
|---|---|---|---|---|
| lnEM | lnIM | lnPM | lnQM | |
| −0.0072 | −0.0236 *** | 0.0030 ** | −0.0265 *** | |
| (−0.5765) | (−3.0477) | (2.1174) | (−3.3096) | |
| Constant | −10.4648 | −7.1863 | −0.4113 | −6.7750 |
| (−0.4713) | (−0.5222) | (−0.1654) | (−0.4749) | |
| Control variable | Yes | Yes | Yes | Yes |
| Year FE | Yes | Yes | Yes | Yes |
| Country-HS2 FE | Yes | Yes | Yes | Yes |
| Obs. | 145 | 145 | 145 | 145 |
| R-square | 0.5939 | 0.5403 | 0.0846 | 0.5378 |
| (1) | (2) | (3) | (4) | |
|---|---|---|---|---|
| lnEM | lnIM | lnPM | lnQM | |
| 0.0008 | −0.0011 *** | 0.0003 * | −0.0014 *** | |
| (0.9432) | (−2.6611) | (1.7532) | (−2.6655) | |
| Constant | 0.0648 | 0.0011 | −0.0144 | 0.0155 |
| (0.5537) | (0.0202) | (−0.6307) | (0.2223) | |
| Control variable | Yes | Yes | Yes | Yes |
| Year FE | Yes | Yes | Yes | Yes |
| Country-HS2 FE | Yes | Yes | Yes | Yes |
| Obs. | 1184 | 1184 | 1184 | 1184 |
| R-square | 0.4147 | 0.5812 | 0.1452 | 0.5243 |
| (1) | (2) | (3) | (4) | |
|---|---|---|---|---|
| lnEM | lnIM | lnPM | lnQM | |
| 0.0003 | 0.0000 | 0.0000 | −0.0000 | |
| (0.3206) | (0.0438) | (0.2041) | (−0.0145) | |
| Constant | 0.0372 | 0.0102 | 0.0414 *** | −0.0311 |
| (0.6120) | (0.2486) | (3.3579) | (−0.6391) | |
| Control variable | Yes | Yes | Yes | Yes |
| Year FE | Yes | Yes | Yes | Yes |
| Country-HS2 FE | Yes | Yes | Yes | Yes |
| Obs. | 1708 | 1708 | 1708 | 1708 |
| R-square | 0.5158 | 0.3141 | 0.0671 | 0.2953 |
Appendix B
References
- Martínez, J.H.; Romero, S.; Ramasco, J.J.; Estrada, E. The World-Wide Waste Web. Nat. Commun. 2022, 13, 1615. [Google Scholar] [CrossRef] [PubMed]
- Chen, D.M.-C.; Bodirsky, B.L.; Krueger, T.; Mishra, A.; Popp, A. The World’s Growing Municipal Solid Waste: Trends and Impacts. Environ. Res. Lett. 2020, 15, 074021. [Google Scholar] [CrossRef]
- Li, B.; Alleyne, A.; Zhang, Z.; Mu, Y. Sustainability and Waste Imports in China: Pollution Haven or Resources Hunting. Sustainability 2021, 13, 932. [Google Scholar] [CrossRef]
- Kellenberg, D. Trading Wastes. J. Environ. Econ. Manag. 2012, 64, 68–87. [Google Scholar] [CrossRef]
- Cotta, B. What Goes around, Comes around? Access and Allocation Problems in Global North–South Waste Trade. Int. Environ. Agreem. Polit. Law Econ. 2020, 20, 255–269. [Google Scholar] [CrossRef]
- Kellenberg, D. The Economics of the International Trade of Waste. Annu. Rev. Resour. Econ. 2015, 7, 109–125. [Google Scholar] [CrossRef]
- Fazzo, L.; Minichilli, F.; Santoro, M.; Ceccarini, A.; Della Seta, M.; Bianchi, F.; Comba, P.; Martuzzi, M. Hazardous Waste and Health Impact: A Systematic Review of the Scientific Literature. Environ. Health 2017, 16, 107. [Google Scholar] [CrossRef] [PubMed]
- Qu, S.; Guo, Y.; Ma, Z.; Chen, W.-Q.; Liu, J.; Liu, G.; Wang, Y.; Xu, M. Implications of China’s Foreign Waste Ban on the Global Circular Economy. Resour. Conserv. Recycl. 2019, 144, 252–255. [Google Scholar] [CrossRef]
- Tran, T.; Goto, H.; Matsuda, T. The Impact of China’s Tightening Environmental Regulations on International Waste Trade and Logistics. Sustainability 2021, 13, 987. [Google Scholar] [CrossRef]
- Jambeck, J.R.; Geyer, R.; Wilcox, C.; Siegler, T.R.; Perryman, M.; Andrady, A.; Narayan, R.; Law, K.L. Plastic Waste Inputs from Land into the Ocean. Science 2015, 347, 768–771. [Google Scholar] [CrossRef]
- Sun, M. The Effect of Border Controls on Waste Imports: Evidence from China’s Green Fence Campaign. China Econ. Rev. 2019, 54, 457–472. [Google Scholar] [CrossRef]
- Powell, J. Operation Green Fence Is Deeply Affecting Export Markets. Available online: https://resource-recycling.com/recycling/2013/04/12/operation-green-fence-is-deeply-affecting-export-markets/ (accessed on 30 November 2023).
- Balkevicius, A.; Sanctuary, M.; Zvirblyte, S. Fending off Waste from the West: The Impact of China’s Operation Green Fence on the International Waste Trade. World Econ. 2020, 43, 2742–2761. [Google Scholar] [CrossRef]
- Vedantam, A.; Suresh, N.C.; Ajmal, K.; Shelly, M. Impact of China’s National Sword Policy on the U.S. Landfill and Plastics Recycling Industry. Sustainability 2022, 14, 2456. [Google Scholar] [CrossRef]
- WTO. China’s Import Ban on Solid Waste Queried at Import Licensing Meeting. Available online: https://www.wto.org/english/news_e/news17_e/impl_03oct17_e.htm (accessed on 29 November 2023).
- Baggs, J. International Trade in Hazardous Waste. Rev. Int. Econ. 2009, 17, 1–16. [Google Scholar] [CrossRef]
- Gregson, N.; Crang, M.; Fuller, S.; Holmes, H. Interrogating the Circular Economy: The Moral Economy of Resource Recovery in the EU. Econ. Soc. 2015, 44, 218–243. [Google Scholar] [CrossRef]
- Higashida, K.; Managi, S. Determinants of Trade in Recyclable Wastes: Evidence from Commodity-Based Trade of Waste and Scrap. Environ. Dev. Econ. 2014, 19, 250–270. [Google Scholar] [CrossRef]
- Kellenberg, D. Consumer Waste, Backhauling, and Pollution Havens. J. Appl. Econ. 2010, 13, 283–304. [Google Scholar] [CrossRef]
- Basel Convention Controlling Transboundary Movements. Available online: https://www.basel.int/Implementation/Controllingtransboundarymovements/Overview/tabid/4325/Default.aspx (accessed on 30 November 2023).
- Lin, C.; Paengsri, P.; Yang, Y. Impact of China’s National Sword Policy on Waste Import:A Difference-in-Differences Approach. Econ. Anal. Policy 2023, 78, 887–903. [Google Scholar] [CrossRef]
- Brooks, A.L.; Wang, S.; Jambeck, J.R. The Chinese Import Ban and Its Impact on Global Plastic Waste Trade. Sci. Adv. 2018, 4, 131. [Google Scholar] [CrossRef]
- Wen, Z.; Xie, Y.; Chen, M.; Dinga, C.D. China’s Plastic Import Ban Increases Prospects of Environmental Impact Mitigation of Plastic Waste Trade Flow Worldwide. Nat. Commun. 2021, 12, 425. [Google Scholar] [CrossRef]
- Zhao, C.; Qi, X.; Wang, J.; Du, F.; Shi, X. Predicting Possible New Links to Future Global Plastic Waste Trade Networks. Sustainability 2022, 14, 4692. [Google Scholar] [CrossRef]
- Shang, D.; Diao, G.; Zhao, X. Have China’s Regulations on Imported Waste Paper Improved Its Quality. For. Policy Econ. 2020, 119, 102287. [Google Scholar] [CrossRef]
- Tian, X.; Zheng, J.; Hu, L.; Liu, Y.; Wen, H.; Dong, X. Impact of China’s Waste Import Policy on the Scrap Copper Recovery Pattern and Environmental Benefits. Waste Manag. 2021, 135, 287–297. [Google Scholar] [CrossRef]
- Ryter, J.; Fu, X.; Bhuwalka, K.; Roth, R.; Olivetti, E.A. Emission Impacts of China’s Solid Waste Import Ban and COVID-19 in the Copper Supply Chain. Nat. Commun. 2021, 12, 3753. [Google Scholar] [CrossRef] [PubMed]
- Rubio, S.; Ramos, T.R.P.; Leitão, M.M.R.; Barbosa-Povoa, A.P. Effectiveness of Extended Producer Responsibility Policies Implementation: The Case of Portuguese and Spanish Packaging Waste Systems. J. Clean. Prod. 2019, 210, 217–230. [Google Scholar] [CrossRef]
- Sasaki, S. The Effects on Thailand of China’s Import Restrictions on Waste: Measures and Challenges Related to the International Recycling of Waste Plastic and e-Waste. J. Mater. Cycles Waste Manag. 2021, 23, 77–83. [Google Scholar] [CrossRef]
- Kojima, M. The Impact of Recyclable Waste Trade Restrictions on Producer Recycling Activities. Int. J. Autom. Technol. 2020, 14, 873–881. [Google Scholar] [CrossRef]
- Yoshida, A. China’s Ban of Imported Recyclable Waste and Its Impact on the Waste Plastic Recycling Industry in China and Taiwan. J. Mater. Cycles Waste Manag. 2022, 24, 73–82. [Google Scholar] [CrossRef]
- Hummels, D.; Klenow, P.J. The Variety and Quality of a Nation’s Exports. Am. Econ. Rev. 2005, 95, 704–723. [Google Scholar] [CrossRef]
- Shi, B. Extensive Margin, Quantity and Price in China’s Export Growth. China Econ. Rev. 2011, 22, 233–243. [Google Scholar] [CrossRef]
- Abudu, H.; Wesseh, P.K.; Lin, B. Are African Countries on Track to Achieve Their NDCs Pledges? Evidence from Difference-in-Differences Technique. Environ. Impact Assess. Rev. 2023, 98, 106917. [Google Scholar] [CrossRef]
- Li, X.; Huang, Y.; Li, X.; Liu, X. Mechanism of Smart City Policy on the Carbon Emissions of Construction Enterprises in the Yangtze River Economic Belt: A Perspective of the PESTEL Model and the Pollution Halo Hypothesis. Humanit. Soc. Sci. Commun. 2023, 10, 580. [Google Scholar] [CrossRef]
- Schröder, P.; Oyinlola, M.; Barrie, J.; Fwangkwal, B.; Abolfathi, S. Making Policy Work for Africa’s Circular Plastics Economy. Resour. Conserv. Recycl. 2023, 190, 106868. [Google Scholar] [CrossRef]
- World Bank. New World Bank Country Classifications by Income Level: 2022–2023. Available online: https://blogs.worldbank.org/opendata/new-world-bank-country-classifications-income-level-2022-2023 (accessed on 5 January 2024).
- Chetty, R.; Looney, A.; Kroft, K. Salience and Taxation: Theory and Evidence. Am. Econ. Rev. 2009, 99, 1145–1177. [Google Scholar] [CrossRef]
- Giang, M.H.; Trung, B.H.; Yoshida, Y.; Xuan, T.D.; Que, M.T. The Causal Effect of Access to Finance on Productivity of Small and Medium Enterprises in Vietnam. Sustainability 2019, 11, 5451. [Google Scholar] [CrossRef]





| Variable Name | Description | Data Source |
|---|---|---|
| Explained variables | ||
| Log of extensive margin for country j’s export to China at time t for category k. | CEPII-BACI Database | |
| Log of intensive margin for country j’s export to China at time t for category k. | CEPII-BACI Database | |
| Log of price margin for country j’s export to China at time t for category k. | CEPII-BACI Database | |
| Log of quantity margin for country j’s export to China at time t for category k. | CEPII-BACI Database | |
| Key variable | ||
| , where represents category k involving the 24 types of waste products regulated by China’s National Sword Policy. equals to one for the year 2018 and thereafter, which is the year the policies were enforced. | Ministry of Ecology and Environmental of the PRC | |
| Control variables | ||
| Log of country j’s GDP at time t. | World Bank WDI | |
| Log of country j’s GDP per capital time t. | World Bank WDI | |
| China’s trade surplus with country j at time t. | CEPII-BACI Database | |
| Log of county j’s trade openness at time t. | World Bank WDI | |
| Dummy variable that equals one if country j has a free trade agreement with China. | WTO Database | |
| Log of country j’s total natural resource rents divided by GDP at time t. | World Bank WDI | |
| Environmental policies | ||
| Dummy variable that equals one if country j adopts policies that place the responsibility for the environmental impacts of products throughout the product life cycle on producers and is often applied to the collection, processing, and re-utilization of waste at time t. | Chatham House | |
| Dummy variable that equals one if country j adopts national circular economy policies as well as national green growth or sustainable development strategies that integrate circular economy principles at time t. | Chatham House | |
| Dummy variable that equals one if country j adopts policies that support circular practices relating to the design, manufacture, distribution, or import of specific products and materials at time t. | Chatham House | |
| Dummy variable that equals one if country j adopts policies that encourage circular practices relating to the management of waste covering generation, segregation, transfer, sorting, treatment, recovery, and disposal. | Chatham House | |
| (1) | (2) | (3) | (4) | (5) | (6) | (7) | (8) | |
|---|---|---|---|---|---|---|---|---|
| lnEM | lnIM | lnPM | lnQM | lnEM | lnIM | lnPM | lnQM | |
| −0.0008 | −0.0020 *** | 0.0003 ** | −0.0022 *** | 0.0007 | −0.0026 *** | 0.0004 *** | −0.0030 *** | |
| (−0.7454) | (−2.9526) | (2.0207) | (−3.1244) | (1.6036) | (−6.6832) | (3.2128) | (−6.9015) | |
| −0.0018 | −0.0024 | −0.0010 | −0.0014 | −0.0035 * | −0.0028 | −0.0011 * | −0.0016 | |
| (−0.3575) | (−0.8174) | (−1.5955) | (−0.4431) | (−1.7143) | (−1.6103) | (−1.8665) | (−0.8365) | |
| 0.0006 | 0.0015 | 0.0012 * | 0.0004 | 0.0024 | 0.0021 | 0.0013 ** | 0.0008 | |
| (0.1179) | (0.4887) | (1.7548) | (0.1081) | (1.0935) | (1.1636) | (1.9967) | (0.4016) | |
| −0.0006 | 0.0004 | −0.0000 | 0.0005 | 0.0009 | 0.0009 | −0.0000 | 0.0009 | |
| (−0.1714) | (0.2294) | (−0.0731) | (0.2263) | (0.6555) | (0.7901) | (−0.0377) | (0.7089) | |
| −0.0005 | 0.0001 | −0.0001 | 0.0002 | −0.0006 | 0.0002 | −0.0001 | 0.0003 | |
| (−0.2912) | (0.1092) | (−0.3228) | (0.1641) | (−0.7812) | (0.2841) | (−0.3632) | (0.3643) | |
| 0.0003 | 0.0000 | −0.0002 | 0.0002 | −0.0002 | −0.0001 | −0.0002 | 0.0001 | |
| (0.2326) | (0.0473) | (−0.8465) | (0.2095) | (−0.3391) | (−0.2037) | (−0.8593) | (0.0892) | |
| 0.0015 | −0.0001 | −0.0001 | −0.0001 | 0.0010 ** | −0.0003 | −0.0001 | −0.0002 | |
| (1.4219) | (−0.2133) | (−0.4455) | (−0.1099) | (2.4775) | (−0.7707) | (−0.5935) | (−0.4942) | |
| Constant | 0.0306 | 0.0412 | 0.0171 | 0.0241 | 0.0601 * | 0.0463 | 0.0194 * | 0.0269 |
| (0.3521) | (0.7986) | (1.5617) | (0.4324) | (1.6931) | (1.5498) | (1.8334) | (0.7934) | |
| Year FE | Yes | Yes | Yes | Yes | Yes | Yes | Yes | Yes |
| Country FE | Yes | Yes | Yes | Yes | No | No | No | No |
| Category FE | Yes | Yes | Yes | Yes | No | No | No | No |
| Country–category FE | No | No | No | No | Yes | Yes | Yes | Yes |
| Obs. | 3038 | 3038 | 3038 | 3038 | 2983 | 2983 | 2983 | 2983 |
| R-square | 0.3944 | 0.3724 | 0.0687 | 0.3670 | 0.9086 | 0.8100 | 0.2096 | 0.7897 |
| (1) | (2) | (3) | (4) | |
|---|---|---|---|---|
| EM-PSM | IM-PSM | PM-PSM | QM-PSM | |
| 0.0009 * | −0.0027 *** | 0.0005 *** | −0.0031 *** | |
| (1.8713) | (−6.5224) | (3.1436) | (−6.7376) | |
| Constant | 0.0667 * | 0.0491 | 0.0212 * | 0.0279 |
| (1.7011) | (1.4888) | (1.8120) | (0.7461) | |
| Control variables | Yes | Yes | Yes | Yes |
| Year FE | Yes | Yes | Yes | Yes |
| Country–category FE | Yes | Yes | Yes | Yes |
| Obs. | 2800 | 2800 | 2800 | 2800 |
| R-square | 0.9081 | 0.8087 | 0.2061 | 0.7882 |
| (1) | (2) | (3) | (4) | |
|---|---|---|---|---|
| lnEM | lnIM | lnPM | lnQM | |
| −0.0013 ** | −0.0009 * | 0.0000 | −0.0009 * | |
| (−2.3134) | (−1.7624) | (0.0106) | (−1.7331) | |
| −0.0008 | −0.0007 | −0.0001 | −0.0006 | |
| (−1.4281) | (−1.4819) | (−0.7424) | (−1.0732) | |
| −0.0001 | −0.0013 ** | 0.0004 * | −0.0017 ** | |
| (−0.0912) | (−2.2097) | (1.8822) | (−2.5386) | |
| 0.0009 | −0.0031 *** | 0.0005 ** | −0.0035 *** | |
| (1.2740) | (−4.9736) | (2.0421) | (−5.0251) | |
| 0.0009 | −0.0046 *** | 0.0005 * | −0.0051 *** | |
| (1.1126) | (−6.5923) | (1.8589) | (−6.3944) | |
| Constant | 0.0560 | 0.0473 | 0.0192 * | 0.0281 |
| (1.5759) | (1.5858) | (1.8070) | (0.8306) | |
| Control variable | Yes | Yes | Yes | Yes |
| Year FE | Yes | Yes | Yes | Yes |
| Country-HS2 FE | Yes | Yes | Yes | Yes |
| Obs. | 2983 | 2983 | 2983 | 2983 |
| R-square | 0.9087 | 0.8112 | 0.2086 | 0.7907 |
| (1) | (2) | (3) | (4) | (5) | (6) | (7) | (8) | |
|---|---|---|---|---|---|---|---|---|
| High-Income Countries | Middle- and Low-Income Countries | |||||||
| lnEM | lnIM | lnPM | lnQM | lnEM | lnIM | lnPM | lnQM | |
| −0.0008 | −0.0028 *** | 0.0005 ** | −0.0033 *** | −0.0001 | −0.0000 | −0.0001 | 0.0001 | |
| (−0.5090) | (−2.7812) | (2.4052) | (−3.0448) | (−0.2902) | (−0.4368) | (−1.2295) | (0.5342) | |
| Constant | 0.0732 | 0.0627 | 0.0224 | 0.0403 | −0.0160 | 0.0140 | 0.0069 | 0.0071 |
| (0.5489) | (0.7873) | (1.3460) | (0.4694) | (−0.5867) | (1.5092) | (0.7084) | (0.4868) | |
| Control variable | Yes | Yes | Yes | Yes | Yes | Yes | Yes | Yes |
| Year FE | Yes | Yes | Yes | Yes | Yes | Yes | Yes | Yes |
| Country-HS2 FE | Yes | Yes | Yes | Yes | Yes | Yes | Yes | Yes |
| Obs. | 1827 | 1827 | 1827 | 1827 | 1209 | 1209 | 1209 | 1209 |
| R-square | 0.4316 | 0.4083 | 0.0983 | 0.4052 | 0.3678 | 0.2904 | −0.0309 | 0.1696 |
| (1) | (2) | (3) | (4) | |
|---|---|---|---|---|
| lnEM | lnIM | lnPM | lnQM | |
| 0.0015 ** | 0.0025 *** | −0.0002 | 0.0027 *** | |
| (2.1444) | (4.0831) | (−1.0506) | (3.9308) | |
| −0.0002 | −0.0043 *** | 0.0006 *** | −0.0049 *** | |
| (−0.3221) | (−7.7428) | (3.0137) | (−7.7754) | |
| −0.0005 | −0.0006 | −0.0001 | −0.0005 | |
| (−0.7769) | (−1.2002) | (−0.6516) | (−0.8533) | |
| Constant | 0.0587 | 0.0314 | 0.0324 * | −0.0010 |
| (0.9795) | (0.5862) | (1.6969) | (−0.0170) | |
| Control Variable | Yes | Yes | Yes | Yes |
| Year FE | Yes | Yes | Yes | Yes |
| Country-HS2 FE | Yes | Yes | Yes | Yes |
| Obs. | 2401 | 2401 | 2401 | 2401 |
| R-square | 0.9160 | 0.8109 | 0.2097 | 0.7903 |
| (5) | (6) | (7) | (8) | |
|---|---|---|---|---|
| lnEM | lnIM | lnPM | lnQM | |
| 0.0023 *** | 0.0043 *** | −0.0006 ** | 0.0049 *** | |
| (2.7922) | (5.7251) | (−2.1644) | (5.7322) | |
| −0.0013 | −0.0065 *** | 0.0009 *** | −0.0074 *** | |
| (−1.5802) | (−8.5708) | (3.4912) | (−8.6606) | |
| −0.0005 | −0.0006 * | −0.0001 | −0.0005 | |
| (−1.2368) | (−1.7557) | (−0.9849) | (−1.2376) | |
| Constant | 0.0686 | 0.0462 | 0.0337 * | 0.0125 |
| (1.1662) | (0.8805) | (1.7929) | (0.2107) | |
| Control variable | Yes | Yes | Yes | Yes |
| Year FE | Yes | Yes | Yes | Yes |
| Country-HS2 FE | Yes | Yes | Yes | Yes |
| Obs. | 2401 | 2401 | 2401 | 2401 |
| R-square | 0.9161 | 0.8123 | 0.2114 | 0.7921 |
| (1) | (2) | (3) | (4) | |
|---|---|---|---|---|
| lnEM | lnIM | lnPM | lnQM | |
| 0.0025 *** | −0.0020 *** | 0.0003 | −0.0023 *** | |
| (3.3834) | (−2.9048) | (1.4451) | (−3.0142) | |
| −0.0008 | −0.0020 *** | 0.0003 | −0.0023 *** | |
| (−1.1846) | (−3.5050) | (1.5221) | (−3.5674) | |
| −0.0008 * | 0.0011 *** | 0.0003 ** | 0.0008 * | |
| (−1.7045) | (2.7181) | (2.1203) | (1.7319) | |
| Constant | 0.0585 | 0.0715 | 0.0297 | 0.0417 |
| (0.9919) | (1.3497) | (1.5791) | (0.6950) | |
| Control variable | Yes | Yes | Yes | Yes |
| Year FE | Yes | Yes | Yes | Yes |
| Country-HS2 FE | Yes | Yes | Yes | Yes |
| Obs. | 2401 | 2401 | 2401 | 2401 |
| R-square | 0.9162 | 0.8103 | 0.2132 | 0.7897 |
| (1) | (2) | (3) | (4) | |
|---|---|---|---|---|
| lnEM | lnIM | lnPM | lnQM | |
| 0.0005 | −0.0012 ** | 0.0004 * | −0.0016 ** | |
| (0.7507) | (−1.9804) | (1.7341) | (−2.2915) | |
| 0.0002 | −0.0023 *** | 0.0002 | −0.0025 *** | |
| (0.3366) | (−3.8186) | (1.1612) | (−3.7334) | |
| −0.0006 | 0.0006 * | −0.0000 | 0.0007 * | |
| (−1.5141) | (1.8050) | (−0.2676) | (1.6764) | |
| Constant | 0.0808 | 0.0599 | 0.0298 | 0.0301 |
| (1.3600) | (1.1238) | (1.5721) | (0.4979) | |
| Control variable | Yes | Yes | Yes | Yes |
| Year FE | Yes | Yes | Yes | Yes |
| Country-HS2 FE | Yes | Yes | Yes | Yes |
| Obs. | 2401 | 2401 | 2401 | 2401 |
| R-square | 0.9159 | 0.8099 | 0.2101 | 0.7895 |
Disclaimer/Publisher’s Note: The statements, opinions and data contained in all publications are solely those of the individual author(s) and contributor(s) and not of MDPI and/or the editor(s). MDPI and/or the editor(s) disclaim responsibility for any injury to people or property resulting from any ideas, methods, instructions or products referred to in the content. |
© 2024 by the authors. Licensee MDPI, Basel, Switzerland. This article is an open access article distributed under the terms and conditions of the Creative Commons Attribution (CC BY) license (https://creativecommons.org/licenses/by/4.0/).
Share and Cite
Li, B.; Mu, Y. Impact of China’s National Sword Policy on Waste Import Margins: A Difference-in-Differences Approach. Sustainability 2024, 16, 776. https://doi.org/10.3390/su16020776
Li B, Mu Y. Impact of China’s National Sword Policy on Waste Import Margins: A Difference-in-Differences Approach. Sustainability. 2024; 16(2):776. https://doi.org/10.3390/su16020776
Chicago/Turabian StyleLi, Bowen, and Yifei Mu. 2024. "Impact of China’s National Sword Policy on Waste Import Margins: A Difference-in-Differences Approach" Sustainability 16, no. 2: 776. https://doi.org/10.3390/su16020776
APA StyleLi, B., & Mu, Y. (2024). Impact of China’s National Sword Policy on Waste Import Margins: A Difference-in-Differences Approach. Sustainability, 16(2), 776. https://doi.org/10.3390/su16020776

