Abstract
Drying is the process of moisture removal which is applied to many foodstuffs including fruits and vegetables for preservation and storage purposes. Since solar energy is one type of environmentally friendly renewable energy, open-type solar dryers, natural convective type solar dryers and greenhouse type solar dryers were designed and fabricated in this study for the preservation of fruits and vegetables. A comparative study among various solar drying methods was performed to study the drying performance by maintaining the quality and texture of the dried foodstuffs. Factors such as solar radiation, ambient temperature, moisture in the air, materials used for glazing, inclination, etc., were considered during the fabrication of the solar dryer so that a better estimate of the performance of the solar dryer could be obtained. The lowest drying rate was observed when convective drying was used as an indirect mode of heating. The maximum drying rate observed in open drying was 0.088 kg/kgh, whereas in convective drying under the same conditions, it was 0.03 kg/kgh, which was almost 65% less. This in turn also resulted in the dried samples displaying a better texture and better color. The shrinkage effect on the samples was less pronounced for those samples in the convective dryer than it was for those in the open and greenhouse dryers, as the method uses indirect drying. Comparing convective and greenhouse drying, more shrinkage and a greater browning effect were observed for the open drying method. Out of three types of solar dryers, the greenhouse dryer was selected to study thermal performance because of its better drying rate. DHT11 sensors controlled through Arduino programming were employed in this study to record the temperature and moisture at various locations in the greenhouse dryer setup. The range of energy efficiency of the greenhouse solar dryer was estimated to be from around 15% to 25% on average. This might be due to a greater extent of energy losses. No significant difference was observed in the energy efficiency with respect to the samples used for drying.
1. Introduction
The world population exceeded 8 billion by the end of 2022. Feeding the entire population is a challenge faced by every nation globally. Many serious efforts have been consistently made to increase the food supply and limit population growth; however, on the other hand, food losses have become an important problem in developing nations globally, which represent major contributors to the global food supply. The aforementioned reasons constitute the motivational factors for food preservation [1,2,3]. Through an effective technology, preserving foodstuffs and feeding them to the increasing global population could be performed effectively. Many techniques have been used to date to store foodstuffs, which include drying, cooling and chemical treatments. The most popular method used for storing foodstuffs is drying. Drying is the process of removing moisture or water from the foodstuff. By means of removing moisture, the growth of microorganisms in the foodstuffs might be stopped, which in turn leads to the superior quality of the foodstuffs for a longer period of time. Drying foodstuffs could be performed by different methods, and open drying represents one of the oldest methods among them. The drawbacks of the open drying method include the risks of impurities, dust particles, insects and birds. These drawbacks in turn affect the quality of the material significantly. Many indoor drying methods have been introduced by researchers over a long period to overcome the drawbacks faced by the open drying method [4,5,6,7]. Controlled atmosphere drying was performed using renewable solar energy sources, as it is available in abundant quantity globally, particularly in remote regions. Indoor solar drawing can be classified into two categories, namely direct and indirect solar drying. In direct solar drying, the material is exposed to solar radiation directly via glazing, whereas in indirect solar drying, the material is dried by circulating hot air across it, which is obtained from solar collectors [8,9,10,11]. Indirect solar drying can be performed by either natural or forced convection mode. Zubeda et al. [1] designed and analyzed three types of solar dryers, including open, convective and oven-type solar dryers for drying dates, and revealed the fact that drying with a natural oven solar dryer provided good-quality dates. Hakizimana et al. [12] developed a domestic solar dryer with wood as an insulator for the drying chamber to dry fruits and vegetables. They found that the post-harvest food spoilage was significantly reduced through the removal of moisture from the foodstuffs. Tunnel-type large-capacity solar dryers with the forced convection method of drying were developed by Arnaud et al. [13]. They used polystyrene as an insulator for the drying chamber and later concluded that the solar dryer reduced the drying time and facilitated the drying of food compared to the sun drying method. Using solar energy as a renewable energy source ensured the quality of foodstuffs such as herbs, vegetables and fruits, which motivated many scientists and researchers to contribute significant research, the outcomes of which leading to a food chain safety process. Drying characteristics such as the drying rate and quality of dried bananas were investigated by Vinay et al. [14]. They carried out the drying process through two different routes, top flow and bottom flow, with variable air flow rates, and finally concluded that wooden skewers had a better drying rate than conventional trays. The effect of air velocity on the moisture removal rate and the quality of dried bananas were studied in detail. Good-quality dried bananas were obtained with a lower flow rate rather than with a higher air flow rate. Sahdev [15] reviewed an appreciable quantity of literature pertaining to solar drying and wrote a review article in which he summarized that losses of foodstuffs dried by means of the open drying method were greater and resulted from being exposed to an outside environment. He highlighted that greenhouse drying had improved the drying quality significantly with a reduced drying period. Dissa et al. [16] performed a comparative study of the direct and indirect solar drying of mango under identical climatic conditions. They found that the indirect solar drying was more effective, with a maximum drying efficiency of 48%, than direct solar drying with a maximum efficiency of 34%. In spite of its higher efficiency, indirect solar drying is more expensive than direct solar drying. In this work, an attempt was made to develop and compare three basic types of solar dryers, namely an open dryer, a natural convective dryer (natural flow of air) and a greenhouse dryer with readily available materials for domestic purposes or academic/research organizations to dry herbs, vegetables and fruits. The detailed experimentation and results obtained are discussed in the next section. Solar energy is considered to be a free, renewable and eco-friendly source of energy. The experiment was conducted in an area considered geographically suitable for harvesting solar energy. To be precise, the experiment was conducted in Nizwa, a city belonging to Al Dakhiliyah governorate in Oman. Targeting food preservation and storage, solar dryers have proved to be very successful. These drying systems were developed as a sustainability measure. Solar energy is one of the sustainable energies with a high success rate and helps to combat global warming. Environmental sustainability towards quality food products was achieved through solar systems such as dryers. The novelty of this research is to compare the drying performance of different solar dryers and monitoring it remotely through well-known Arduino programming. The novelty was further extended to find an effective drying method, which we obtained by comparing the drying performance of foodstuffs simultaneously through different modes of drying. We observe that many scientists and academicians have investigated the solar drying of foodstuffs with only one mode at a time such as natural convective, forced convective or greenhouse. Hence, the comparison of drying performance with different modes of solar drying simultaneously in a specific weather condition will result in scientific outcomes that would fulfil the requirements of many researchers working in this field. The primary objective of this investigation is to promote the usage of solar dryers in domestic sectors and small-scale industries by exhibiting their suitability and profitability.
2. Experimentation
This experimentation involved three drying methods, namely open, natural convective and greenhouse drying. The mode of drying was different in each dryer: direct open drying in an open dryer, direct closed drying in a greenhouse dryer and indirect drying in a convective dryer. The purpose of indirect drying considered in the convective dryer was to check the quality and texture of the foodstuffs compared to that of other drying methods. The dryers were fabricated using readily available materials such as wood, acrylic sheets, steel grills, etc. Since the application of these dryers was for domestic purposes, the dryers were fabricated for drying a maximum of 5 kg. Further, the fabrication of solar dryers was carried out considering various design factors such as the amount of foodstuffs needing to be dried, climatic conditions, ergonomic aspect, materials’ cost, minimum heat loss, etc. Being an academic project in an educational institution, the solar dryers were fabricated in a smaller scale for drying a specific quantity of fruits and vegetables. However, the same solar dryers could be extended to a larger dimension for real-time applications without compromising the drying phenomena. The choice of the fruits and vegetables selected for drying in this experiment is random, needless to say that it is not limited to those selected here. Though different fruits and vegetables were selected in the study, a proper space was allotted to separating the groups of foodstuffs. The set-up is portable and can be shifted from one place to another with little effort. The experimental set-ups were placed on open land, outside a building, where adequate solar radiation falls on the dryers. Figure 1a–c show the respective schematic sketches of the three types of solar dyers, namely open, natural convective and greenhouse. The foodstuffs used for drying were spread on a wire mesh tray, wooden plate and acrylic plate in the case of the open dryer, natural convective dryer and greenhouse dryer, respectively. The components used in the construction of solar dryers and their specifications are listed in Table 1. The design parameters were influenced by the existing designs in the market and the availability of raw materials needed for construction. Further, the climatic conditions of the study location, i.e., Nizwa, Oman, played an important role in the design process. Though the solar drying system will be influenced by long-term weather conditions, still there exists an opportunity to use the dryers for most of the year so that the quality of foodstuffs can be retained for an appreciable period of time with a significant payback period. In a city like Nizwa, the summer period with an abundant quantity of solar radiation is much longer than the winter period. The foodstuff samples used in the experimentation for drying were potato, apple and eggplant. The reasons for selecting these foodstuffs are: sliced fruits and vegetables retain their nutrients for a longer time; enzymic reactions to the air and solar radiation; effect of solar radiation on the color and texture of the foodstuff, etc. Masses of the samples were measured by a weighing machine at room temperature before and after drying in the solar dryers. To record the color and texture of the samples, photographs of the samples were taken before and after drying. The color and texture of the foodstuffs after drying were an indicator of underdrying and overdrying. They were also used to analyze the browning effect that took place during drying. The quantity of moisture removed from the samples during drying and average drying rate were estimated for all the samples using Equations (1) and (3) in all three types of solar dryers. Drying of foodstuffs was estimated through the quantity of moisture removed from the foodstuffs. In that way, the quantity of heat absorbed during drying by each sample was estimated from the quantity of moisture available in the foodstuffs and latent heat of vaporization of water, using Equation (2). Though drying performance was studied for all the solar dryers, the greenhouse dryer was selected for testing of the thermal performance and therefore temperature.
Figure 1.
Schematic diagrams of (a) open, (b) natural convective and (c) greenhouse dryer.
Table 1.
List of components and their specifications.
Measurements became mandatory. A low-cost temperature and humidity sensor, namely, the DHT 11 sensor, was used in this experimentation. To record the temperatures and humidity, DHT 11 sensors were attached in four different locations of the greenhouse solar dryer as follows: outer glass surface, inner glass surface, inside the container and air exit. DHT 11 sensors, in addition to the temperatures, also recorded the relative humidity of the air in these locations. An Arduino board with an LED display was attached in the set-up to record the temperatures and relative humidity every hour. This programming module attached to the greenhouse solar dryer helped us to continuously monitor the performance of the system so that the quality of foodstuffs was ensured to the maximum extent. The experimental set-ups with drying samples are shown in Figure 2. The experimentation was carried out for 5 days continuously and the drying of foodstuffs was carried out for 8 h, between 8 a.m. and 4 p.m. The duration per day was chosen in such a way to address the changes in solar intensities which in turn affect the drying performance. The energy efficiency was computed for the greenhouse solar dryer with Equations (4)–(8) using standard thermodynamic relations and parameters. Energy analysis of the thermal system in this study was carried out ignoring the minor losses due to the materials and equipment used. Major energy transactions were considered to ensure the accuracy and precision of the thermal system. Energy efficiency was the ratio between the quantity of heat utilized for drying the foodstuffs and the quantity of heat received by the solar dryer on the collector plate.
Figure 2.
Experimental set-ups of (a) open, (b) greenhouse and (c) natural convective dryer.
The different process parameters and necessary equations used to estimate the performance of the solar dryer are given below.
mi = mass of the sample before drying;
mf = mass of the sample after drying.
where hfg is the latent heat of vaporization of water (kJ/kg).
Moisture content in the sample, mw = mi − mf (kg)
Q = Quantity of heat required to evaporate moisture = mw × hfg (kJ)
The energy efficiency of the greenhouse solar dryer is estimated by
where heat utilized for drying,
and heat received by the collector,
Qc = (α × I × Ac) − h × Ac × (T1 − T5)
To find h,
Te = T1 − 0.25(T1 − T5)
From page no. 34 of the HMT data book, properties
Nu = 0.56(Gr × Pr × cosθ)0.25, where θ = 23°
The nomenclature used in the above equations is stated below.
T1 = Outer glass temperature (°C);
T2 = Inner glass temperature (°C).
T3 = Container temperature (°C);
T4 = Exit air temperature (°C);
T5 = Ambient temperature (°C);
H1 = Outer surface relative humidity (%);
H2 = Inner surface relative humidity (%);
H3 = Container relative humidity (%);
H4 = Exit air relative humidity (%);
α = Absorptivity of the acrylic collector = 0.26;
I = Average intensity of solar radiation per day (W/m2);
Ac = Surface area of the collector plate = 0.1375 m2;
g = Acceleration due to gravity (m/s2);
h = Convective heat transfer coefficient (W/m2K);
Nu = Nusselt number;
Gr = Grashof number;
Pr = Prandtl number;
k = Thermal conductivity of the acrylic collector (W/mK);
γ = Kinematic viscosity (m2/s).
3. Results and Discussion
The initial mass and final mass of each sample were measured every day in all the types of dryers and used to compute the quantity of moisture removed from each sample in the experiment. The quantity of moisture removed and the quantity of heat absorbed by the samples for the removal of moisture were determined and are shown in Figure 3 and Figure 4, respectively. The average drying rate computed was based on the quantity of moisture removed from the samples and the initial mass of the sample before drying. Since the average drying rate was estimated based on the mass of the individual sample, the variations in the size and shape of the sample were ignored [17]. The quantity of heat required for drying was estimated based on the latent heat of evaporation. It was observed from Figure 5 that a large quantity of moisture was removed in the open dryer, followed by the greenhouse dryer and the convective dryer. It may be due to the indirect type of solar heating method involved in the convective dryer. In convective drying, the air was heated while passing through the collector and the hot air was circulated through the chamber where the samples were stacked for drying. It was also noted that the difference between the quantities of moisture removed from the samples in open and greenhouse drying was very small. On some specific days, the effect on the greenhouse dryer was more than that of open drying. It may be due to the appreciable quantity of accumulated storage of heat energy. For all the samples, open drying had a higher drying rate than drying methods. The drying process of a foodstuff is the combination of heat transfer and mass transfer and hence the process parameters such as air velocity, solar radiation intensity, humidity of the air, glazing temperature and physical parameters such as volume of the dryer and duration of experimentation have the greatest influence on the drying performance. This in turn resulted in a non-uniform drying rate. Overall, the lowest drying rate was observed for convective drying, being an indirect mode of heating, which in turn resulted in the smallest changes in texture and color after drying [18].
Figure 3.
Moisture removed in different types of dryers for (a) potato, (b) eggplant and (c) apple.
Figure 4.
Quantity of heat in different types of dryers for (a) potato, (b) eggplant and (c) apple.
Figure 5.
Average drying rate in different types of dryers for (a) potato, (b) eggplant and (c) apple.
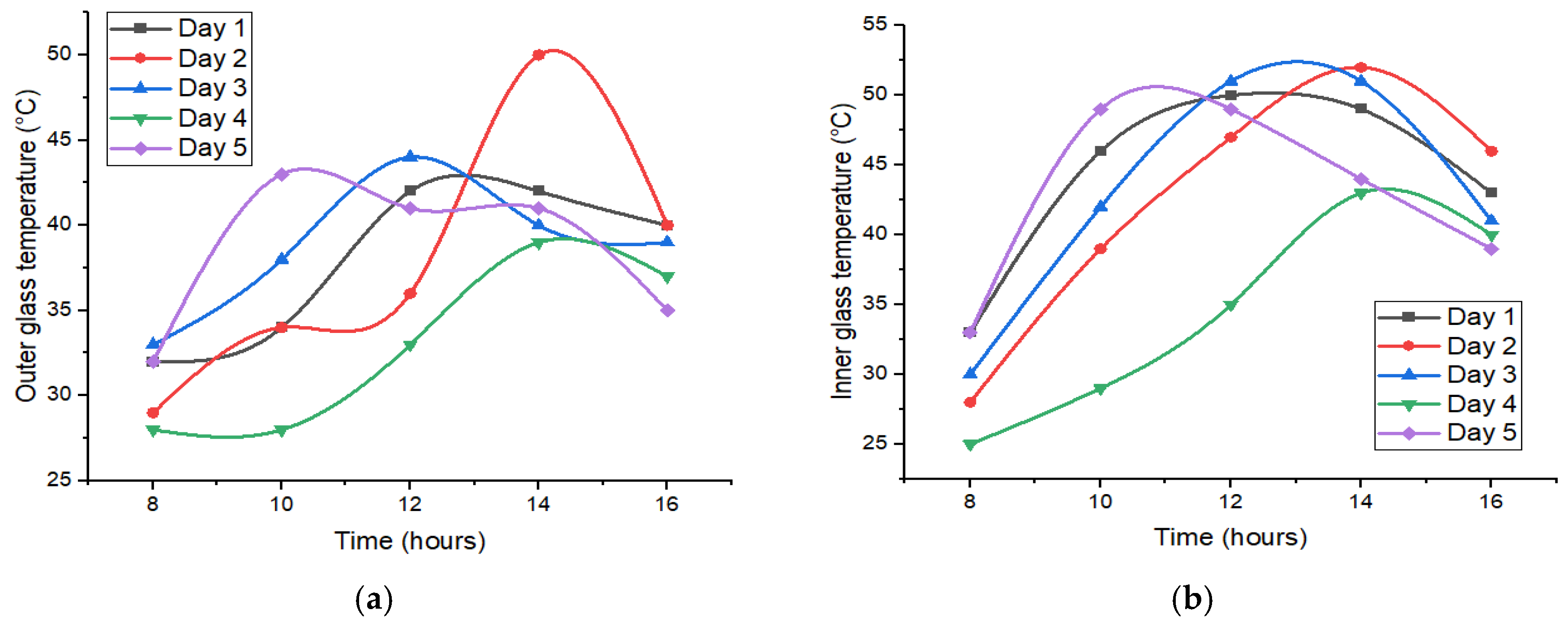
Among the three types of solar dryers, the greenhouse dryer was selected to investigate the thermal performance because of its better drying rate. DHT 11 sensors attached at different locations were used to record temperatures of a surface or air and the relative humidity of air at different times of day. The intensity of solar radiation was measured on an hourly basis during the day from the standard database, “https://en.tutiempo.net/solar-radiation/nizwa.html (accessed on 9 March 2023)”. The hourly variation of ambient temperature and solar intensity each day is shown in Figure 6a,b. The peak value of solar intensity was observed at 12 noon on most days. The ambient temperature and other temperatures in the greenhouse dryer were dependent on the intensity of solar radiation and varied accordingly. The ambient temperature increased steadily from 8 h to 14 h, after which it dropped. The other temperatures recorded daily on an hourly basis are shown in Figure 7. The outside glass temperature increased appreciably from 8 a.m. to 1 p.m., after which a significant drop was noticed. Convective and radiation losses reduced the outer glass surface temperature with respect to the corresponding solar intensity at that time. Inner glass temperature increased appreciably from 8 a.m. to 2 p.m., after which a significant drop was noticed. Cumulative heat storage inside the dryer steadily increased the inner glass surface temperature till 2 p.m.
Figure 6.
Hourly variation of (a) ambient temperature and (b) solar intensity per day.

Figure 7.
Hourly variation of (a) outer glass, (b) inner glass, (c) container and (d) exit air temperature per day.
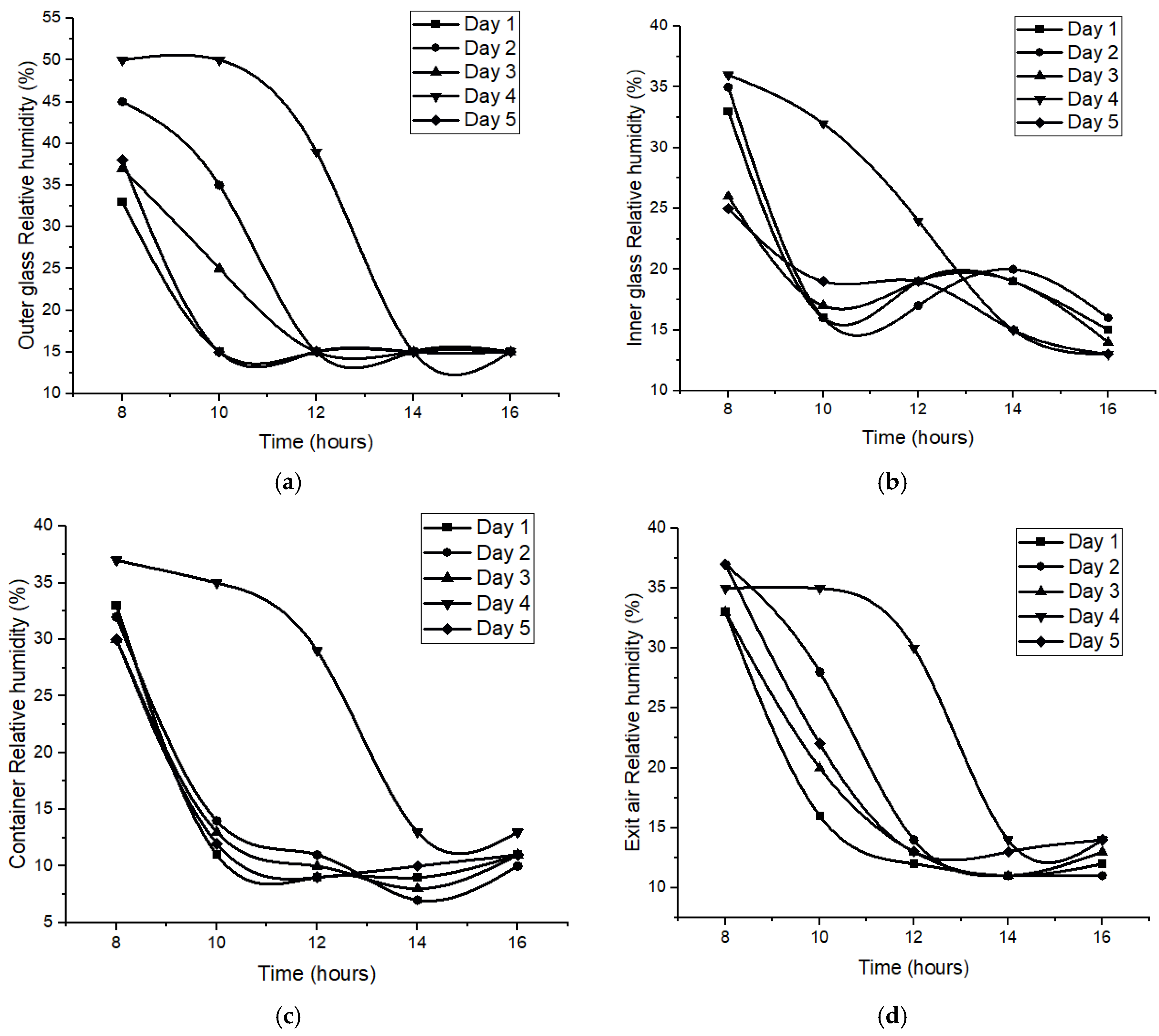
A significant difference in temperature was observed between the inner glass temperature and the container temperature. This may be due to the addition of moisture in the air extracted from the food samples. A marginal difference in the temperature was observed between the container and the exit air. The container temperature was affected by the inner collector temperature, whereas the exit air was cooled slightly by the addition of the moisture. The relative humidity of air at the outer surface of the collector, inner surface of the collector, inside the container and at the exit is shown in Figure 8a–d. Cumulative heat absorption with respect to time drastically reduced the relative humidity. After 1 p.m., it remained saturated. Relative humidity of the air was appreciably higher during day 4. The trend of relative humidity in the container and exit air followed the same trend as that of the collector surface.
Figure 8.
Variation of relative humidity at (a) outer glass, (b) inner glass, (c) container and (d) exit air per day.
The energy efficiency of the greenhouse solar dryer was estimated based on the quantities of heat received by the collector and the heat utilized for drying the food samples placed in the dryer, as shown in Figure 9. Each day, the heat estimations were made for the whole duration of the experimentation, with the total quantity of moisture removed from the food samples and the average solar intensity of radiation. The range of energy efficiency was between 15% and 25% on average. This might be due to energy losses through conduction, convection and radiation across the greenhouse dryer to a significant level. There was no significant difference observed in the trend of thermal efficiency each day with respect to food samples placed for drying. Comparatively, apple and eggplant drying was better than that of potato, mainly attributed to the difference in the heat absorption rates and chemical constituents of the foodstuffs. The design of the solar dryer and the intensity of solar radiation influenced the energy efficiency significantly. The lowest thermal efficiency was observed on the 3rd and 4th days of the experimentation, which may be attributed to climatic irregularities. Maximum efficiency around 47% was observed in the thermal system on day 1, whereas the least efficiency of around 15% was observed on days 3 and 4. The irregularities in the solar radiation intensity influenced the energy efficiency to a large extent. The energy losses through conduction, convection and radiation around the dryer were ignored and hence the performance of the dryer was estimated purely from energy actively involved in the removal of moisture in drying. The average thermal efficiency could be increased significantly if the duration (number of days) of the experiment were increased.
Figure 9.
Energy efficiency of greenhouse solar dryer.
A photograph of samples was shot every day in the morning and evening, i.e., before and after drying, to study the color and texture of the samples in all the types of dryers. No significant changes in the color of the drying products among the different drying methods was observed in the study. For illustration, the photographs taken on day 3 are shown in Figure 10. The shrinkage effect, which was apparently noticed in the samples, was less in the convective dryer than in the open and greenhouse dryers as the method of drying is the indirect type. Direct sunlight falling on the samples was avoided in the convective dryer. Hot air naturally circulated across the samples dried them. Compared with convective and greenhouse drying, more shrinkage and browning effects on the texture of the samples were observed in open drying. The browning effect was due to enzymic oxidation, which is a natural process that takes place in certain foodstuffs like potato, apple, etc. Direct sunlight on the foodstuffs was the reason for this effect. The higher the solar intensity, the more the texture of the foodstuffs is influenced. This was observed more in potatoes compared to the other food samples. The indirect mode of heating through an external flow duct attached to the drying compartment made the air circulation better and caused a subsequent reduction in the solar intensity falling on the food samples, which improved the performance of the dryer system appreciably.
Figure 10.
Texture and color of samples during 3rd day (a) morning and (b) evening.
Overall, the sudden changes in the weather in Nizwa and changes in the wind velocity might have affected the dryer performance. Also, the glazing material, acrylic, which was lighter and stronger, could have affected the dryer performance.
4. Conclusions
A solar dryer with three drying configurations, open, free convective and greenhouse, was analyzed with three different foodstuffs, potato, eggplant and apple. Online condition monitoring using Arduino programming was used in the analysis of thermal performance of the greenhouse solar dryer and the following conclusions were drawn from the study:
- In this study, three different types of solar drying methods, open drying, convective drying and greenhouse drying, for drying the foodstuffs like fruits, vegetables, etc. were successfully designed and fabricated, targeting the geographical and climatic conditions of Nizwa, a city in Oman.
- The fabrication of solar dryers that would be suitable for domestic applications and small-scale industries was carried out using readily available low-cost materials in the market. The design was excellent regarding portability and eco-friendliness.
- Arduino programming with DHT 11 sensors and an Arduino UNO interface board was used in the study to record and display the temperatures and humidity at various locations on the solar dryer. This programming helped us to collect all the required data without any interventions which in turn made this study on the performance of solar dryers very reliable. Hence, irregularities in the dryers were very limited.
- The lowest drying rate was observed for convective drying, being an indirect mode of heating. This in turn resulted in better texture and color of the dried samples too. The drying rate in this system could be further enhanced by converting natural convection to forced convection by attaching a blower or fan in the inlet of air flow.
- The greenhouse dryer was selected to study thermal performance because of its better drying rate. The range of energy efficiency was between 15% and 25% on average. This may be due to energy losses. No significant difference was observed in efficiency with respect to samples. The shrinkage effect and browning effect on food samples were significantly less in the convective dryer than open and greenhouse dryers as the method of drying is the indirect type. Comparing convective and greenhouse drying, more shrinkage and browning effects were observed in open drying. With the proper air velocity and insulation, the performance of the solar dryer could be improved significantly.
Author Contributions
Conceptualization, G.R., T.O.B., A.W.A.A.M., N.A.A.Z., M.H.A.F., A.S.A.S., S.A.A.A., R.S.A.A. and K.R.K.; methodology, G.R., T.O.B., A.W.A.A.M., N.A.A.Z., M.H.A.F., A.S.A.S., S.A.A.A., R.S.A.A. and K.R.K.; software, G.R., T.O.B., A.W.A.A.M., N.A.A.Z., M.H.A.F., A.S.A.S., S.A.A.A., R.S.A.A. and K.R.K.; validation, G.R., T.O.B. and K.R.K.; formal analysis, G.R., T.O.B., A.W.A.A.M., N.A.A.Z., M.H.A.F., A.S.A.S., S.A.A.A., R.S.A.A. and K.R.K.; investigation, G.R., T.O.B., A.W.A.A.M., N.A.A.Z., M.H.A.F., A.S.A.S., S.A.A.A., R.S.A.A. and K.R.K.; resources, G.R., T.O.B., A.W.A.A.M., N.A.A.Z., M.H.A.F., A.S.A.S., S.A.A.A., R.S.A.A. and K.R.K.; data curation, G.R., T.O.B., A.W.A.A.M., N.A.A.Z., M.H.A.F., A.S.A.S., S.A.A.A., R.S.A.A. and K.R.K.; writing—original draft preparation, G.R., T.O.B., A.W.A.A.M., N.A.A.Z., M.H.A.F., A.S.A.S., S.A.A.A., R.S.A.A. and K.R.K.; writing—review and editing, G.R., T.O.B., A.W.A.A.M., N.A.A.Z., M.H.A.F., A.S.A.S., S.A.A.A., R.S.A.A. and K.R.K.; visualization, G.R., T.O.B., A.W.A.A.M., N.A.A.Z., M.H.A.F., A.S.A.S., S.A.A.A., R.S.A.A. and K.R.K.; supervision, G.R. and T.O.B.; project administration, G.R. and T.O.B.; funding acquisition to pay for the APC., T.O.B. All authors have read and agreed to the published version of the manuscript.
Funding
This research received no external funding.
Institutional Review Board Statement
Not applicable.
Informed Consent Statement
Not applicable.
Data Availability Statement
The data that support the findings of this study are available within the article.
Conflicts of Interest
The authors declare no conflicts of interest.
References
- Bhatti, Z.; Ilyas, S.Z.; Korai, M.B.; Shar, A.I. The Designing and Optimization of Solar Dryers for Improving the Quality of Dates in Khairpur, Pakistan. Pol. J. Environ. Stud. 2022, 31, 4043–4050. [Google Scholar] [CrossRef] [PubMed]
- Chouicha, S.; Boubekri, A.; Mennouche, D.; Bouguetaia, H.; Berrbeuh, M.H.; Bouhafs, S.; Rezzoug, W. Valorization Study of Treated Deglet-Nour Dates by Solar Drying Using Three Different Solar Driers. Energy Procedia 2014, 50, 907–916. [Google Scholar] [CrossRef]
- Venkataramana, S.V.; Iniyan, S.; Goicc, R. A review of solar drying technologies. Renew. Sustain. Energy Rev. 2012, 16, 2652–2670. [Google Scholar] [CrossRef]
- Ekechukwu, O.V.; Norton, B. Review of solar energy drying systems II: An overview of solar drying technology. Energy Conserv. Manag. 1999, 40, 615–655. [Google Scholar] [CrossRef]
- Sengar, S.H.; Khandetod, Y.P.; Mohod, A.G. Low-cost solar dryer for fish. Afr. J. Environ. Sci. Technol. 2009, 3, 265–271. [Google Scholar]
- Ismail, O.; Akyol, E. Open-air sun drying: The effect of pretreatment on drying kinetic of cherry tomato. Sigma J. Eng. Nat. Sci. 2016, 34, 141–151. [Google Scholar]
- Pachpor, N.; Lad, P.P.; Stole, V.; Nigade, A. A Comparative Analysis of the performance of natural and forced convection Solar Dryer for drying fruits. Int. J. Agric. Sci. Res. 2018, 8, 89–94. [Google Scholar]
- Cerci, K.N.; Akpinar, E.K. Experimental determination of convective heat transfer coefficient during open sun and greenhouse drying of apple slices. J. Therm. Eng. 2016, 2, 741–747. [Google Scholar]
- Midilli, A. Determination of pistachio drying behaviour and conditions in a solar drying system. Int. J. Energy Res. 2001, 25, 715–725. [Google Scholar] [CrossRef]
- Wang, H.; Zhang, M.; Mujumdar, A.S. Drying Technology, Comparison of Three New Drying Methods for Drying Characteristics and Quality of Shiitake Mushroom (Lentinus edodes). Dry. Technol. 2014, 32, 1791–1802. [Google Scholar] [CrossRef]
- Tiwari, S.; Tiwari, G.N.; Al-Helal, I.M. Development and recent trends in greenhouse dryer: A review. Renew. Sustain. Energy Rev. 2016, 65, 1048–1064. [Google Scholar] [CrossRef]
- Eustache, H.; Dushimire, E.; Amizero, C. Design and Optimization of Domestic Solar Dryer. Sci. J. Energy Eng. 2017, 5, 130–135. [Google Scholar] [CrossRef]
- Arnaud. All about the Solar Dryer. 2021. Available online: www.solarbrother.com (accessed on 9 March 2023).
- Hegde, V.N.; Hosur, V.S.; Rathod, S.K.; Harsoor, P.A.; Narayana, K.B. Design, fabrication, and performance evaluation of solar dryer for banana. Energy Sustain. Soc. 2015, 5, 23. [Google Scholar] [CrossRef]
- Sahdev, R.K. Open Sun and Greenhouse Drying of Agricultural and Food Products: A Review. Int. J. Eng. Res. Technol. 2014, 3, 1053–1066. [Google Scholar]
- Dissa, A.O.; Desmorieux, H.; Bathiebo, J.; Koulidiati, J. A Comparative Study of Direct and Indirect Solar Drying of Mango. Glob. J. Pure Appl. Sci. 2011, 17, 273–294. [Google Scholar]
- Attia ME, H.; Hussein, A.K.; Radhakrishnan, G.; Vaithilingam, S.; Younis, O.; Akkurt, N. Energy, exergy, and cost analysis of different helispherical solar distillers: A comparative study. Sol. Energy Mater. Sol. Cells 2023, 252, 112187. [Google Scholar] [CrossRef]
- Janjai, S.; Khamvongsa, V.; Bala, B.K. Development, design, and performance of a PV-ventilated greenhouse dryer. Int. Energy J. 2007, 8, 249–258. [Google Scholar]
Disclaimer/Publisher’s Note: The statements, opinions and data contained in all publications are solely those of the individual author(s) and contributor(s) and not of MDPI and/or the editor(s). MDPI and/or the editor(s) disclaim responsibility for any injury to people or property resulting from any ideas, methods, instructions or products referred to in the content. |
© 2024 by the authors. Licensee MDPI, Basel, Switzerland. This article is an open access article distributed under the terms and conditions of the Creative Commons Attribution (CC BY) license (https://creativecommons.org/licenses/by/4.0/).










