Determinants of Intention to Adopt Recycled Water: Evidence from Four High-Water-Stress Provinces in China
Abstract
1. Introduction
2. Literature Review
3. Theoretical Basis and Research Hypothesis
3.1. Theoretical Basis
3.2. Research Hypothesis
3.2.1. Information Disclosure Factor
3.2.2. Psychological Factors
3.2.3. Policy Factors
4. Methodology
4.1. Questionnaire Design
4.2. Survey Area
4.3. Data Acquisition and Sample Description
- (1)
- Online pre-survey. We posted the questionnaire online for a pre-survey and made several revisions to the overall logic of the questionnaire and the comprehensibility of the questions based on the feedback from the respondents.
- (2)
- Offline pre-survey. An offline pre-survey was organized after the online pre-survey. We invited relevant experts and public representatives to conduct in-depth interviews, and made further revisions to the questions included in the questionnaire. It is worth noting that the questionnaire length was reduced to ensure that residents had enough patience to complete it.
- (3)
- Formal survey. After preliminary investigations, the research team conducted investigations for more than two months in four provinces: Shandong, Henan, Shanghai, and Beijing. Considering that most recycled water use in the community is on a household basis, only one copy was answered per household to make sure that the survey samples were representative, and a total of 10–15 households were surveyed per community.
- (4)
- Data screening. In the end, we distributed 831 questionnaires, and 107 of them were deleted after further screening. We screened the data according to the following criteria: questionnaires with more than 10 unanswered questions and questionnaires that gave the same response to over 10 consecutive questions were deleted. We obtained a total of 724 valid questionnaires after eliminating invalid questionnaires, including 188 surveys from Beijing, 191 from Shandong, 186 from Heinan, and 179 from Shanghai, and the effective rate was 87.12%.
5. Results
5.1. Reliability and Validity Tests
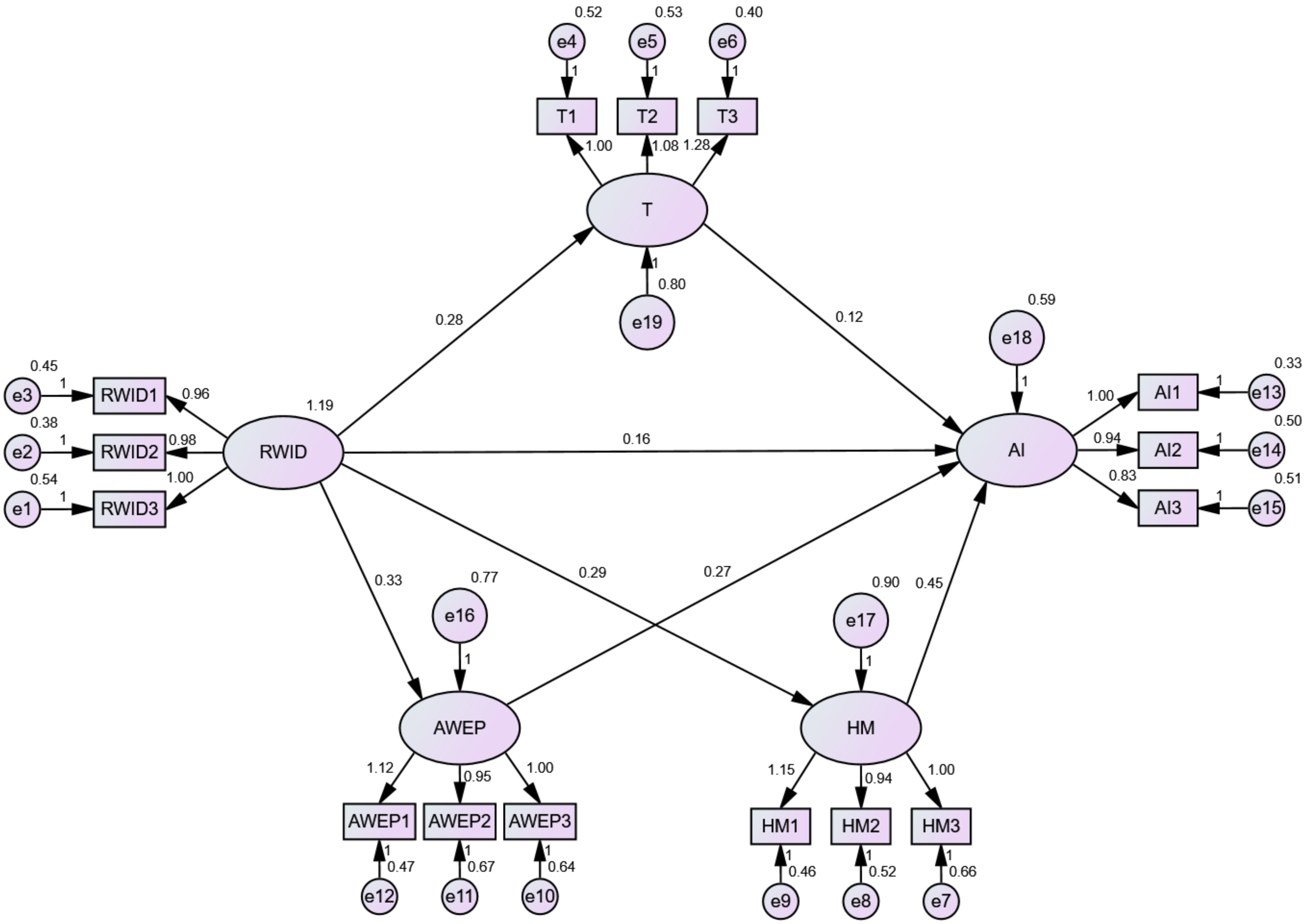
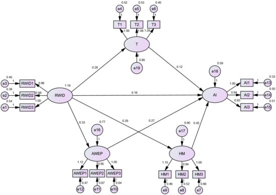
5.2. Influence Path Analysis
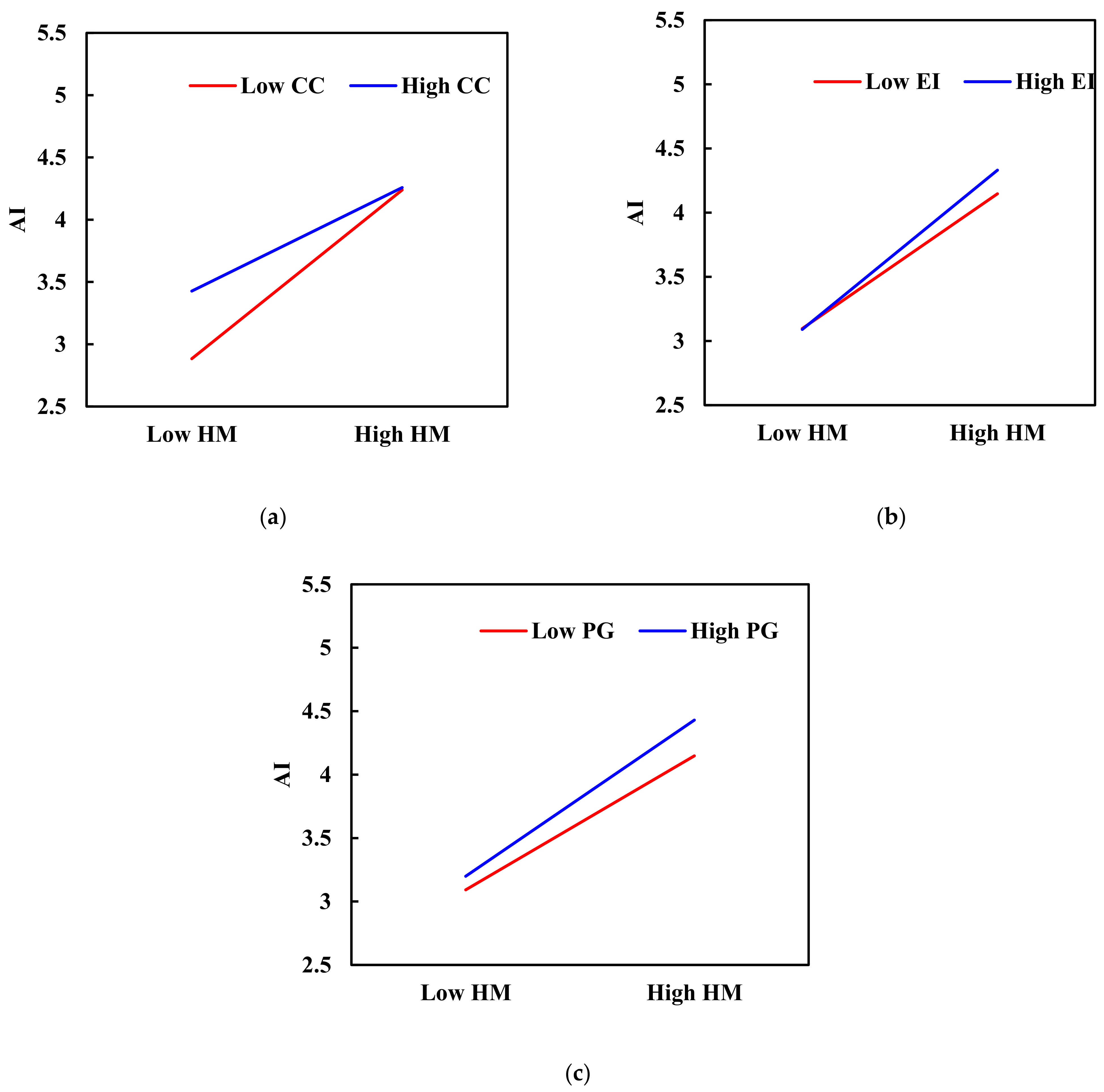
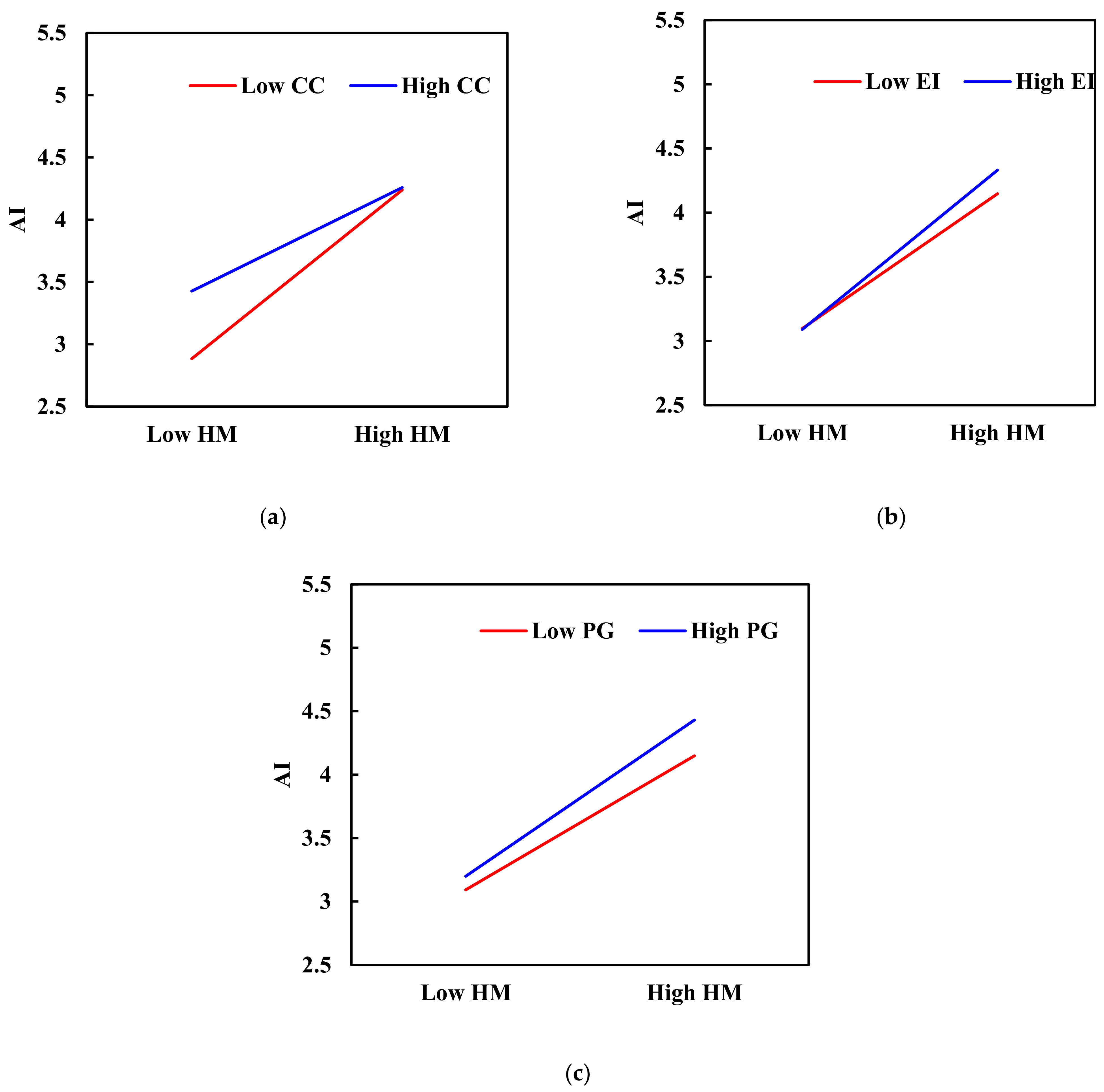
5.3. Moderating Effect Analysis of Policy Instruments
6. Discussion
6.1. The Direct Role of Recycled Water Information Disclosure and the Mediating Role of Psychological Factors
6.2. The Prominent Role of Herd Mentality
6.3. Differences in the Moderating Role of Policy Instruments
7. Conclusions and Policy Implications
7.1. Conclusions
7.2. Policy Implications
7.3. Limitations and Future Research
Author Contributions
Funding
Institutional Review Board Statement
Informed Consent Statement
Data Availability Statement
Acknowledgments
Conflicts of Interest
References
- Zhu, Z.F.; Li, A.H.; Wang, H.R. Public perception and acceptability of reclaimed water: The case of Shandong province, China. J. Water Reuse Desalin. 2018, 8, 308–330. [Google Scholar] [CrossRef]
- China Statistical Yearbook 2023. Available online: https://www.stats.gov.cn/sj/ndsj/2023/indexch.htm (accessed on 9 July 2024).
- Tortaiada, C.; Rensburg, P.V. Drink more recycled wastewater. Nature 2020, 577, 26–28. [Google Scholar] [CrossRef] [PubMed]
- Li, L.; Liu, X.J.; Zhang, X.Y. Public attention and sentiment of recycled water: Evidence from social media text mining in China. J. Clean Prod. 2021, 303, 126814. [Google Scholar] [CrossRef]
- Li, L.; Liu, X.J.; Ding, Y.Z.; Liu, N. Urban residents’ acceptance of recycled water: An improved innovation-decision model considering the needs satisfied and social characteristics. Sustain. Prod. Consump. 2022, 33, 1005–1017. [Google Scholar] [CrossRef]
- Gao, X.K.; Liu, Q. National economic evaluation of reclaimed water project. Environ. Sci. Technol. 2019, 42, 229–236. [Google Scholar] [CrossRef]
- Dolnicar, S.; Hurlimann, A. Water alternatives—Who and what influences public acceptance? J. Public Aff. 2011, 11, 49–59. [Google Scholar] [CrossRef]
- Dolnicar, S.; Hurlimann, A.; Grun, B. What affects public acceptance of recycled and desalinated water? Water Res. 2011, 45, 933–943. [Google Scholar] [CrossRef] [PubMed]
- Dolnicar, S.; Hurlimann, A.; Nghiem, L.D. The effect of information on public acceptance—The case of water from alternative sources. J. Environ. Manag. 2010, 91, 1288–1293. [Google Scholar] [CrossRef] [PubMed]
- Hou, C.; Fu, H.; Liu, X.; Wen, Y. The effect of recycled water information disclosure on public acceptance of recycled water—Evidence from residents of Xi’an, China. Sust. Cities Soc. 2020, 61, 102351. [Google Scholar] [CrossRef] [PubMed]
- Taher, M.N.; Awayes, J.; Cavkas, S.; Beler-Baykal, B. Public attitude for acceptance of grey water reuse in Istanbul and the impact of informing potential consumers. Desalin. Water Treat. 2019, 172, 316–322. [Google Scholar] [CrossRef]
- Glick, D.M.; Goldfarb, J.L.; Heiger-Bernays, W.; Kriner, D.L. Public knowledge, contaminant concerns, and support for recycled water in the United States. Resour. Conserv. Recycl. 2019, 150, 104419. [Google Scholar] [CrossRef]
- Gu, Q.X.; Chen, Y.; Pody, R.; Cheng, R.; Zheng, X.; Zhang, Z.X. Public perception and acceptability toward reclaimed water in Tianjin. Resour. Conserv. Recycl. 2015, 104, 291–299. [Google Scholar] [CrossRef]
- Zhu, Z.F.; Wang, H.R.; Li, A.H. On the factors influencing public knowledge and acceptance of reclaimed water from a survey of three cities in northern China. J. Water Reuse Desalin. 2019, 9, 193–202. [Google Scholar] [CrossRef]
- Mu’azu, N.D.; Abubakar, I.R.; Blaisi, N.I. Public acceptability of treated wastewater reuse in Saudi Arabia: Implications for water management policy. Sci. Total Environ. 2020, 721, 137659. [Google Scholar] [CrossRef] [PubMed]
- Ross, V.L.; Fielding, K.S.; Louis, W.R. Social trust, risk perceptions and public acceptance of recycled water: Testing a social-psychological model. J. Environ. Manag. 2014, 137, 61–68. [Google Scholar] [CrossRef] [PubMed]
- Hou, C.; Wen, Y.; Liu, X.; Dong, M. Impacts of regional water shortage information disclosure on public acceptance of recycled water—Evidences from China’s urban residents. J. Clean. Prod. 2021, 278, 123965. [Google Scholar] [CrossRef]
- Liu, L. Simulation Study of Factors Influencing Recycled Water Reuse Behaviour of Urban Residents and Intervention Strategies. Master’s Thesis, Xi’an University of Architecture and Technology, Xi’an, China, 2020. [Google Scholar] [CrossRef]
- Ding, Y.Z.; Liu, X.J.; Fu, H.L. The effect of recycled water information providing on public acceptance of recycled water:An Eye-Tracking Experiment. Resour. Conserv. Recycl. 2022, 185, 106464. [Google Scholar] [CrossRef]
- Kuzma, S.; Bierkens, M.F.P.; Lakshman, S.; Luo, T.; Saccoccia, L.; Sutanudjaja, E.H.; Beek, R.V. Aqueduct 4.0: Updated decision-relevant global water risk indicators. World Resour. Inst. 2023. [Google Scholar] [CrossRef]
- Rogers, E.M. Diffusion of Innovations, 5th ed.; Free Press: New York, USA, 2003; ISBN 978-07-4322-209-9. [Google Scholar]
- Zhang, H.F.; Vorobeychikl, Y. Empirically grounded agent-based models of innovation diffusion: A critical review. Artif. Intell. Rev. 2019, 52, 707–741. [Google Scholar] [CrossRef]
- Wang, W.D.; Jin, S.L.; Zhang, C.J. Social capital and rural residential rooftop solar energy diffusion—Evidence from Jiangsu Province, China. Energy Res. Soc. Sci. 2023, 98, 103011. [Google Scholar] [CrossRef]
- Hossain, M. Frugal innovation: Conception, development, diffusion, and outcome. J. Clean. Prod. 2020, 262, 121456. [Google Scholar] [CrossRef]
- Ozyilmaz, A.; Erdogan, B.; Karaeminogullari, A. Trust in organization as a moderator of the relationship between self-efficacy and workplace outcomes:a social cognitive theory-based examination. J. Occup. Organ. Psychol. 2018, 91, 181–204. [Google Scholar] [CrossRef]
- Schunk, D.H.; Dibenedetto, M.K. Motivation and social cognitive theory. Contemp. Educ. Psychol. 2020, 60, 101832. [Google Scholar] [CrossRef]
- Bandura, A. Social cognitive theory: An agentic perspective. Asian J. Soc. Psychol. 1999, 2, 21–41. [Google Scholar] [CrossRef]
- Board, S.; Lu, J. Competitive information disclosure in search markets. J. Polit. Econ. 2018, 126, 1965–2010. [Google Scholar] [CrossRef]
- Goldstein, I.; Yang, L. Information disclosure in financial markets. Annu. Rev. Financ. Econ. 2017, 9, 101–125. [Google Scholar] [CrossRef]
- Kolotilin, A. Optimal information disclosure: A linear programming approach. Theor. Econ. 2018, 13, 607–635. [Google Scholar] [CrossRef]
- Zhou, Q.; Tang, S.K. Media use and Chinese public’s pro-environmental behavior:analyzing the multiple mediation effects of environmental knowledge and environmental risk perception. J. China Univ. Geosci. 2017, 17, 80–94. [Google Scholar] [CrossRef]
- Guasch, J.L.; Hahn, R.W. The costs and benefits of regulation: Implications for developing countries. World Bank Res. Observ. 1999, 14, 137–158. [Google Scholar] [CrossRef]
- Jeffrey, P.; Jefferson, B. Public receptivity regarding “in-house” water recycling: Results from a UK survey. Water Sci. Technol. Water Supply 2003, 3, 109–116. [Google Scholar] [CrossRef]
- Tsagarakis, K.; Georgantzis, N. The role of information on farmers’ willingness to use recycled water for irrigation. Water Sci. Technol. Water Supply 2003, 3, 105–113. [Google Scholar] [CrossRef]
- Li, L.Y.; Fan, F.M.; Liu, X.D. Determinants of rural household clean energy adoption intention: Evidence from 72 typical villages in ecologically fragile regions of western China. J. Clean. Prod. 2022, 347, 131296. [Google Scholar] [CrossRef]
- Shi, X.; Song, Z. The Silent Majority: Local residents’ environmental behavior and its influencing factors in coal mine area. J. Clean. Prod. 2019, 240, 118275. [Google Scholar] [CrossRef]
- Zhang, C.Y.; Yu, B.; Wang, J.W.; Wei, Y.M. Impact factors of household energysaving behavior: An empirical study of Shandong Province in China. J. Clean. Prod. 2018, 185, 285–298. [Google Scholar] [CrossRef]
- Siegrist, M.; Cvetkovich, G.; Roth, C. Salient value similarity, social trust, and risk/benefit perception. Risk Anal. 2000, 20, 353–362. [Google Scholar] [CrossRef] [PubMed]
- Hurlimann, A.; McKay, J. Attitudes to reclaimed water for domestic use: Part 2. Trust. Water 2004, 31, 40–45. [Google Scholar]
- Marks, J.; Jadoroznyj, M. Managing sustainable urban water reuse: Structural context and cultures of trust. Soc. Nat. Resour. 2005, 18, 557–572. [Google Scholar] [CrossRef]
- Lopez-Ruiz, S.; Moya-Fernandez, P.J.; Garcia-Rubio, M.A.; Gonzalez-Gomez, F. Acceptance of direct potable water reuse for domestic purposes: Evidence from southern Spain. Int. J. Water Resour. Dev. 2021, 37, 772–792. [Google Scholar] [CrossRef]
- Wang, J.M. The influence of resource conservation consciousness on resource conservation behavior. Manag. World 2013, 8, 77–100. [Google Scholar] [CrossRef]
- Nemeroff, C.; Rozin, P.; Haddad, B.; Slovic, P. Psychological barriers to urban recycled water acceptance: A review of relevant principles in decision psychology. Int. J. Water Resour. Dev. 2020, 36, 956–971. [Google Scholar] [CrossRef]
- Lahlou, F.Z.; Mackey, H.R.; McKay, G.; Al-Ansari, T. Reuse of treated industrial waste water and bio-solids from oil and gas industries: Exploring new factors of public acceptance. Water Resour. Ind. 2021, 26, 12. [Google Scholar] [CrossRef]
- Fu, H.L.; Niu, J.C.; Liu, L. An empirical study on the effect of urban residents’ reclaimed water reuse behavior in guiding policies. J. Arid. Land. Resour. Environ. 2021, 35, 53–58. [Google Scholar] [CrossRef]
- Managing the Environment: The Role of Economic Instruments OECD; OECD Publications and Information Center: Washington, DC, USA, 1994; ISBN 92-64-14136-7.
- Peng, D. Research on the Formation Mechanism of Rural Residents’ Domestic Waste Sorting Behavior: Moderating Effects Based on Implementation Costs and Policy Instruments. Master’s Thesis, Jiangxi Agricultural University, Nanchang, China, 2023. [Google Scholar]
- Mi, L.Y. Study on the Low-Carbon Energy Consumption Behaviour of Urban Residents and Policy Guidance. Ph.D. Thesis, China University of Mining and Technology, Xuzhou, China, 2011. [Google Scholar]
- Bernstein, I.H. Likert Scale Analysis. Encycl. Soc. Meas. 2005, 2, 497–504. [Google Scholar] [CrossRef]
- Akhtar, R.; Sultana, S.; Masud, M.M.; Jafrin, N.; Al-Mamun, A. Consumers’ environmental ethics, willingness, and green consumerism between lower and higher income groups. Resour. Conserv. Recycl. 2021, 168, 105274. [Google Scholar] [CrossRef]
- Kaplan, S.; Manca, F.; Nielsen, T.A.S.; Prato, C.G. Intentions to use bike-sharing forholiday cycling: An application of the theory of planned behavior. Tour. Manag. 2015, 47, 34–46. [Google Scholar] [CrossRef]
- Song, Y.; Zhao, C.; Zhang, M. Does haze pollution promote the consumption of energy-saving appliances in China? An empirical study based on norm activation model. Resour. Conserv. Recycl. 2019, 145, 220–229. [Google Scholar] [CrossRef]
- Zhang, Y.; Yang, R.; Peng, X.; Zhang, W.; Gao, Z. Principles and models of validated factor analysis and their application to assessing the structural validity of scales. Chin. J. Health Manag. 2022, 16, 428–432. [Google Scholar] [CrossRef]
- IBM Corp. IBM SPSS Statistics; Version 26, Windows; IBM Corp: Armonk, NY, USA, 2019. [Google Scholar]
- Hair, J.F.; Black, W.C.; Babin, B.J.; Anderson, R.E. Multivariate Data Analysis: A Global Perspective, 7th ed.; Person Prentice Hall: Upper Saddle River, NJ, USA, 2010; ISBN 978-013-813-263-7. [Google Scholar]
- Fornell, C.; Larcker, D.F. Evaluating structural equation models with unobservable variables and measurement error. J. Market. Res. 1981, 18, 39–50. [Google Scholar] [CrossRef]
- Chin, W.W.; Gopal, A.; Salisbury, W.D. Advancing the theory of adaptive structuration: The development of a scale to measure faithfulness of appropriation. Inf. Syst. Res. 1997, 8, 342–367. [Google Scholar] [CrossRef]
- Hair, J.F.; Hult, G.T.M.; Ringle, C.M.; Sarstedt, M.; Danks, N.P.; Ray, S. Partial Least Squares Structural Equation Modeling (PLS-SEM) Using R; Springer: New York, NY, USA, 2021; ISBN 978-3-030-80518-0. [Google Scholar]
- Arbuckle, J.L. IBM SPSS Amos; Version 24, Windows; SPSS: Chicago, IL, USA, 2006. [Google Scholar]
- Xiaohua, W.; Zhenmin, F. Rural household energy consumption with the economic development in China: Stages and characteristic indices. Energy Pol. 2001, 29, 1391–1397. [Google Scholar] [CrossRef]
- Toothaker, L.E. Multiple Regression: Testing and Interpreting Interactions. J. Oper. Res. Soc. 1994, 45, 119–120. [Google Scholar] [CrossRef]
- Chen, M.F. Extending the theory of planned behavior model to explain people’s energy savings and carbon reduction behavioral intentions to mitigate climate change in Taiwan–moral obligation matters. J. Clean. Prod. 2016, 112, 1746–1753. [Google Scholar] [CrossRef]
- Li, D.; Du, J.; Sun, M.; Han, D. How conformity psychology and benefits affect individuals’ green behaviours from the perspective of a complex network. J. Clean. Prod. 2020, 248, 119215. [Google Scholar] [CrossRef]
- Gong, Y.; Cai, B.f.; Sun, Y. Perceived fiscal subsidy predicts rural residential acceptance of clean heating: Evidence from an indoor-survey in a pilot city in China. Energy Pol. 2020, 144, 111687. [Google Scholar] [CrossRef]
- Cheng, X.; Long, R.; Chen, H. A policy utility dislocation model based on prospect theory: A case study of promoting policies with low-carbon lifestyle. Energy Pol. 2020, 137, 111134. [Google Scholar] [CrossRef]
- Moya-Fernández, P.J.; López-Ruiz, S.; Guardiola, J.; González-Gómez, F. Determinants of the acceptance of domestic use of recycled water by use type. Sustain. Prod. Consump. 2021, 27, 575–586. [Google Scholar] [CrossRef]






| Latent Variables | Observed Variables | Definition |
|---|---|---|
| Recycled water information disclosure (RWID) | RWID1 | Do you know where the recycled water comes from? |
| RWID2 | Do you know the quality of recycled water? | |
| RWID3 | Do you know the price of recycled water? | |
| Trust (T) | T1 | I am confident that the water authorities will provide a good water supply |
| T2 | I think the Water Authority has good intentions in managing the water supply. | |
| T3 | I can rely on the water department to provide a quality water supply | |
| Awareness of water environment protection (AWEP) | AWEP1 | I have a responsibility to protect the water environment |
| AWEP2 | All residents should take responsibility for protecting the city’s water environment. | |
| AWEP3 | I will recycle water in my daily life | |
| Herd mentality (HM) | HM1 | The more people use recycled water, the more I want to use it |
| HM2 | Other people’s opinions on recycled water affect my opinion directly. | |
| HM3 | My friends’ use of recycled water prompted me to embrace it | |
| Command-and-control policy instruments (CC) | CC1 | If discharging sewage is prohibited, I will follow the rules. |
| CC2 | If there’s a fine for wasting water, I will follow the rules. | |
| CC3 | If water conservation was a regulatory requirement, I would comply | |
| Economic incentive policy instruments (EI) | EI1 | If the government strengthens the construction of recycled water for households, I will consider using it. |
| EI2 | If there is a subsidy to purchase household recycled water equipment, I will consider buying it. | |
| EI3 | If recycled water is subsidized, I will consider using it. | |
| Publicity-and-guidance policy Instruments (PG) | PG1 | If the community strongly promotes the use of recycled water, I would consider using it. |
| PG2 | I would consider using recycled water if I had read in the news that it was affordable and convenient. | |
| PG3 | I would be willing to attend a training session about the usage of recycled water if I am free. | |
| Adoption intention (AI) | AI1 | I can accept the use of recycled water for purposes other than drinking in my daily life. |
| AI2 | I will be using recycled water a lot. | |
| AI3 | I feel honored to use recycled water. |
| Items | Sample Characteristics | Frequency | Percentage (%) |
|---|---|---|---|
| Gender | Female | 368 | 50.83% |
| Male | 356 | 49.17% | |
| Age | Under 18 years | 2 | 0.28% |
| 18–30 years | 284 | 39.23% | |
| 30–50 years | 376 | 51.93% | |
| Over 50 years | 62 | 8.56% | |
| Education | Middle school degree or below | 38 | 5.25% |
| High school degree | 86 | 11.88% | |
| Associate degree | 292 | 40.33% | |
| Bachelor’s degree | 286 | 39.50% | |
| Master’s degree or more | 22 | 3.04% | |
| Income level annual (yuan) | Less than 10,000 | 2 | 0.28% |
| 10,000 to less than 30,000 | 61 | 8.43% | |
| 30,000 to less than 50,000 | 279 | 38.54% | |
| 50,000 to less than 100,000 | 241 | 33.29% | |
| 100,000 or more | 141 | 19.48% |
| Likert-Scaled Construct | Number of Items | Cronbach’s Alpha | Standardized Factor Loadings | AVE | CR |
|---|---|---|---|---|---|
| RWID | 3 | 0.884 | 0.845 | 0.717 | 0.884 |
| 0.861 | |||||
| 0.835 | |||||
| T | 3 | 0.871 | 0.791 | 0.702 | 0.875 |
| 0.825 | |||||
| 0.883 | |||||
| AWEP | 3 | 0.825 | 0.825 | 0.616 | 0.828 |
| 0.744 | |||||
| 0.781 | |||||
| HM | 3 | 0.851 | 0.859 | 0.662 | 0.854 |
| 0.803 | |||||
| 0.771 | |||||
| AI | 3 | 0.864 | 0.874 | 0.686 | 0.867 |
| 0.826 | |||||
| 0.775 | |||||
| CC | 3 | 0.832 | 0.766 | 0.624 | 0.833 |
| 0.8 | |||||
| 0.802 | |||||
| EI | 3 | 0.873 | 0.905 | 0.696 | 0.872 |
| 0.774 | |||||
| 0.814 | |||||
| PG | 3 | 0.873 | 0.905 | 0.694 | 0.871 |
| 0.77 | |||||
| 0.816 |
| Latent Variables | RWID | T | AWEP | HM | AI |
|---|---|---|---|---|---|
| RWID | 0.847 | ||||
| T | 0.326 | 0.838 | |||
| AWEP | 0.383 | 0.125 | 0.785 | ||
| HM | 0.313 | 0.102 | 0.120 | 0.814 | |
| AI | 0.436 | 0.240 | 0.384 | 0.533 | 0.828 |
| Index | CMIN/DF | GFI | AGFI | NFI | IFI | TLI | CFI | RMSEA |
|---|---|---|---|---|---|---|---|---|
| Model results | 4.657 | 0.931 | 0.9 | 0.936 | 0.949 | 0.935 | 0.949 | 0.071 |
| Standard | 1 < CMIN/DF < 5 | >0.9 | >0.9 | >0.9 | >0.9 | >0.9 | >0.9 | <0.08 |
| Hypothesis | Path | UnStd. Coefficient | Std. Coefficient | S.E. | CR | p | Results |
|---|---|---|---|---|---|---|---|
| H1 | RWID→AI | 0.155 | 0.166 | 0.041 | 3.818 | *** | Supported |
| H2a | RWID→T | 0.283 | 0.326 | 0.037 | 7.715 | *** | Supported |
| H2b | RWID→AWEP | 0.334 | 0.383 | 0.038 | 8.742 | *** | Supported |
| H2c | RWID→HM | 0.288 | 0.313 | 0.039 | 7.318 | *** | Supported |
| H3a | T→AI | 0.118 | 0.109 | 0.04 | 2.914 | 0.004 | Supported |
| H3b | AWEP→AI | 0.273 | 0.254 | 0.044 | 6.233 | *** | Supported |
| H3c | HM→AI | 0.448 | 0.44 | 0.042 | 10.77 | *** | Supported |
| Relationship | Point Estimate | Boot SE | Bias-Corrected 95% CI | |
|---|---|---|---|---|
| Lower | Upper | |||
| Total effect | 0.409 | 0.042 | 0.329 | 0.491 |
| Direct effect | 0.155 | 0.038 | 0.081 | 0.232 |
| Indirect effect | 0.254 | 0.034 | 0.192 | 0.325 |
| RWID→T→AI | 0.033 | 0.014 | 0.008 | 0.064 |
| RWID→AWEP→AI | 0.091 | 0.021 | 0.056 | 0.139 |
| RWID→HM→AI | 0.129 | 0.025 | 0.086 | 0.181 |
| Variables | Model 1 | Model 2 | Model 3 | Model 4 |
|---|---|---|---|---|
| T | 0.100 ** | 0.095 ** | 0.103 *** | 0.103 *** |
| AWEP | 0.248 *** | 0.243 *** | 0.248 *** | 0.249 *** |
| HM | 0.339 *** | 0.339 *** | 0.341 *** | 0.340 *** |
| CC | 0.182 *** | 0.198 *** | 0.185 *** | 0.184 *** |
| EI | −0.0002 | 0.046 | 0.005 | 0.019 |
| PG | 0.087 | 0.034 | 0.083 | 0.069 |
| CC × T | −0.053 | |||
| CC × AWEP | −0.050 | |||
| CC × HM | −0.078 * | |||
| EI × T | −0.047 | |||
| EI × AWEP | −0.045 | |||
| EI × HM | 0.076 ** | |||
| PG × T | −0.046 | |||
| PG × AWEP | −0.055 | |||
| PG × HM | 0.082 ** | |||
| R2 | 0.375 | 0.390 | 0.383 | 0.384 |
| Adjust R2 | 0.369 | 0.382 | 0.375 | 0.376 |
| F-value | 71.555 *** | 50.623 *** | 49.178 *** | 49.453 *** |
Disclaimer/Publisher’s Note: The statements, opinions and data contained in all publications are solely those of the individual author(s) and contributor(s) and not of MDPI and/or the editor(s). MDPI and/or the editor(s) disclaim responsibility for any injury to people or property resulting from any ideas, methods, instructions or products referred to in the content. |
© 2024 by the authors. Licensee MDPI, Basel, Switzerland. This article is an open access article distributed under the terms and conditions of the Creative Commons Attribution (CC BY) license (https://creativecommons.org/licenses/by/4.0/).
Share and Cite
Liu, L.; Wang, W.; Njie, Y. Determinants of Intention to Adopt Recycled Water: Evidence from Four High-Water-Stress Provinces in China. Sustainability 2024, 16, 6158. https://doi.org/10.3390/su16146158
Liu L, Wang W, Njie Y. Determinants of Intention to Adopt Recycled Water: Evidence from Four High-Water-Stress Provinces in China. Sustainability. 2024; 16(14):6158. https://doi.org/10.3390/su16146158
Chicago/Turabian StyleLiu, Lin, Weidong Wang, and Yahya Njie. 2024. "Determinants of Intention to Adopt Recycled Water: Evidence from Four High-Water-Stress Provinces in China" Sustainability 16, no. 14: 6158. https://doi.org/10.3390/su16146158
APA StyleLiu, L., Wang, W., & Njie, Y. (2024). Determinants of Intention to Adopt Recycled Water: Evidence from Four High-Water-Stress Provinces in China. Sustainability, 16(14), 6158. https://doi.org/10.3390/su16146158

