Next Article in Journal
Optimization of the Active Layer Thickness for Inverted Ternary Organic Solar Cells Achieves 20% Efficiency with Simulation
Next Article in Special Issue
Advancing UX Practices in Industrial Machine Design: A Case Study from the Swiss Industry
Previous Article in Journal
Determinants of Intention to Adopt Recycled Water: Evidence from Four High-Water-Stress Provinces in China
 
 
Font Type:
Arial Georgia Verdana
Font Size:
Aa Aa Aa
Line Spacing:
Column Width:
Background:
Article

Innovative Approach to Identify the Readiness Factors to Realize Green Ergonomics in Sustainable Service Organizations

1
Amrita School of Business, Amrita Vishwa Vidyapeetham, Coimbatore 641112, India
2
Directorate of Online Education (DOE), Manipal Academy of Higher Education (MAHE), Manipal 576104, India
3
Department of Industrial Engineering, College of Engineering, King Saud University, Riyadh 11421, Saudi Arabia
*
Author to whom correspondence should be addressed.
Sustainability 2024, 16(14), 6160; https://doi.org/10.3390/su16146160
Submission received: 21 May 2024 / Revised: 7 July 2024 / Accepted: 16 July 2024 / Published: 18 July 2024

Abstract

The relationships between humans and the environment have recently been incorporated into ergonomics in an effort to broaden the discipline’s traditional scope. Green ergonomics is an emerging field of study that has discovered links between people’s well-being and a sense of connection to nature. The study aims to build a conceptual model to identify the readiness factors for green ergonomics in healthcare organizations, which are the primary focus point of the current study. To determine the readiness factors, a review of the literature and a survey of healthcare experts’ opinions were conducted. The healthcare professionals validated the identified readiness factors. Data for this study were gathered using a closed-ended questionnaire and scheduled interviews. The study employed total interpretive structural modeling (TISM) methodology and cross-impact matrix multiplication applied to classification (MICMAC) analysis to address why and how the factors interact and prioritize the identified readiness factors. Ten green ergonomics readiness factors were identified in this study. Design principles (F4), green buildings (F1), ergoecology (F2), audit working practices/risk assessments (F3), and professional practice (F6) had strong driving power and weak dependence, thus being identified as key factors or driving factors for green ergonomics in healthcare organizations. Although the study primarily focused on the readiness factors for green ergonomics in healthcare organizations, the scope could eventually be expanded to explore more areas. Academics and other stakeholders will have a better understanding of the key drivers and the readiness factors for healthcare green ergonomics. In this study, the total interpretive structural modeling (TISM) and cross-impact matrix multiplication applied to classification (MICMAC) analysis for healthcare together are proposed as an innovative approach to address the green ergonomics concept.

1. Introduction

As the healthcare environment becomes more competitive and complicated, organizations struggle to comprehend and anticipate their environmental requirements [1]. The importance of ergonomics is increasing for enterprises globally due to the aging workforce. Similarly, the global community is dealing with multiple challenges such as climate change, limited resources, and social inequality, leading to a need for innovative sustainability through ergonomics design. It is evident that many organizations are increasingly prioritizing sustainability with the growing importance of ergonomics [2]. Key elements include human characteristics, productivity, and engagement with technology. These factors inherently enhance ergonomics, which seeks to understand and enhance the outcomes of interactions between individuals and systems. Recently, the concept of sustainability has been included into healthcare organizations, including patient well-being and the whole environment. It is logical to assume that ergonomics and the elements of sustainable growth should naturally align [3]. Ergonomics, sometimes known as “human factors”, is a scientific area that examines how individuals interact with various components of a system in order to enhance both human outcomes and system performance. The area of ergonomics is aligned with the imperative of sustainable development, similar to several other disciplines. The current study and practical application contribute to the existing body of literature that investigates the integration of ergonomics with sustainable development and safety considerations. The primary goals of ergonomics are to design work environments that prioritize safety, well-being, and efficiency. Ergonomics is crucial in the development of sustainable, energy-efficient buildings to ensure they provide functional and healthful environments [4]. In an attempt to expand the conventional scope of ergonomics, the interactions between humans and the natural environment have been included in the subject. In addition, a new domain known as “green ergonomics” has been established to further bolster these endeavors [5]. Hanson (2013) stated that professionals in the field of ergonomics and human factors may contribute to the growing movement towards environmentally conscious sustainable design and work practices [6].
The past research has mostly concentrated on the examination, analysis, and anticipation of forthcoming obstacles pertaining to the human element and ergonomics within the healthcare field [7]. Waters (2010) provided a thorough overview of ergonomics, encompassing its concepts and its practical utilization for the purpose of designing and implementing secure work systems [8]. Thatcher (2013) demonstrated the relationship between the objectives of designing for environmental sustainability and ergonomics [9]. Thatcher and Miller (2014) examined the impacts of transitioning from traditional structures to environmentally friendly buildings on both people and organizations [10]. Hedge and Dorsey (2013) discussed the implementation of ergonomics in environmentally friendly structures [11]. Wolf (2003) examined the correlation between ergonomics and the enhancement of the impact of green infrastructure [12]. Lange-Morales et al. (2014) conducted a study which delved into the concepts of “ergoecology and green ergonomics” and provided an overview of their principles, aims, and application areas [13]. Similarly, Adem et al. (2022) conducted a study on the sub-principles and principles of green ergonomics [14]. The advantages of integrating efficient ergonomics programs into the design of sustainable buildings are highlighted, along with the exploration of potential prospects in the next years [15].
Although sustainability is a worldwide challenge that receives widespread attention, the role of ergonomics in promoting sustainability is not frequently acknowledged and is hardly considered [16]. Richardson et al. (2017) identified green ergonomics as a developing area of research that has established correlations between individuals’ well-being and their connection to nature [17]. Furthermore, Sharan (2018) stated that the current trends in industrialized nations and those that are gaining popularity in India include green ergonomics, the significance of design in achieving sustainability, and green building certification schemes [18]. Between 2010 and 2023, there has been a significant lack of research on green ergonomics. No prior study has established a conceptual framework for healthcare green ergonomics. Thus, there is a need for an emergent conceptual approach to address green ergonomic challenges. In particular, it is necessary to integrate ergonomic principles, decision methodologies, knowledge management, and intelligent technologies to create health services that are not only efficient and human-centered but also green and sustainable. This study aims to address this deficiency by employing the total interpretive structural modeling (TISM) technique to develop a conceptual framework to address green ergonomic approaches for sustainable healthcare organizations.
The main aim of this study is to identify the sustainability factors that reflect the level of preparation of sustainable healthcare organizations to adopt green ergonomics. Additionally, the study aims to analyze the interactions between ergonomic principles and the identified sustainable factors that contribute to the preparedness for green ergonomics using total interpretive structural modeling (TISM). It also employs cross-impact matrix multiplication applied to classification (MICMAC) analysis to classify and rank the readiness factors based on their degree of interconnectedness and influencing effect. The research questions are formulated as follows: Which sustainable factors contribute to the readiness of healthcare organizations to apply green ergonomics? How do they influence each other reciprocally, as well as the overarching notion of green ergonomics? What are the sustainable factors that drive others and what are the sustainable factors that are influenced by others? Is it possible to quantify the priority of each of these factors?
The following sections present the literature review on green ergonomics, its definitions, and its principles, followed by the research methodology, results, and discussion. The implication of the study is then highlighted, and the final section concludes with the limitations and future research directions.

2. Green Ergonomics Definitions, Roles, and Principles: A Brief Review

It is evident that the published literature explores the multidimensional associations of ergonomic design for green sustainability across various domains, including manufacturing [19], product design [20], quality [21], flexibility [22], transportation [23], green industrial and urban planning [24], engineering [25], and environmental science [26]. This section aims to examine and tabulate the relevant objectives of researchers and their theoretical foundations, practical applications, and emerging trends in ergonomic and sustainability design and development. The relationships between humans and the environment have recently been incorporated into ergonomics to broaden the discipline’s traditional scope. To support this, a novel subfield has evolved called “green ergonomics” [5]. A significant amount of attention has been paid by academics to ergonomics and people’s role in sustainability and growth since the early 1990s [3,16,27,28]. According to Naeini (2020), green ergonomics is an essential part of sustainable development [29], and one of the main focuses is to look at how work systems affect the environment. Zink and Fischer (2013) brought attention to the relevance of sustainable development as a contemporary approach to ergonomics by highlighting connections between ergonomics and environmentally friendly developments [30]. Green ergonomics is a concept that is becoming popular in many industrialized countries as well as in India. Green ergonomics contributes to the preservation and reconstruction of natural systems [18]. This concept’s principles and its significance have recently gained more attention. How practically an organization adheres to these principles is directly correlated with its level of compliance with green ergonomics [5].
According to Thatcher (2013), the definition of green ergonomics or ergonomics emphasizes awareness of the role that human and nature interactions have in accomplishing ergonomic goals [9]. Various terminologies and concepts have been employed [6] in the context of green ergonomics. The term green ergonomics refers to ergonomic interventions that support nature, and especially those that also emphasize people’s affinities with the natural environment. Green ergonomics recognizes that due to the closed nature of the globe (as a whole), any disruption in one area will eventually have an impact on related areas. Therefore, green ergonomics comprehends the symbiotic relationships between humans and the environment, whereby humans have an impact on the health of the environment [9]. Norton et al. (2021) conceptualized the term green ergonomics as interventions that place a strong emphasis on protecting the environment [31]. Green ergonomics is an ergonomic subscription to environmentally sustainable growth [29]. It aims to create human systems that sustainably and fully integrate with their surroundings and investigates how interacting with nature can improve people’s wellness and productivity [9]. Effectiveness, efficiency, health, safety, and usability are among the ergonomics objectives that are related to environmental sustainability.
Green ergonomics principles are founded upon three fundamental assumptions, as stated by Thatcher and Milner [10]: first, that the Earth functions as a closed system, meaning that any alterations occurring in one region will inevitably impact other parts of the system; second, that individuals are an essential component of the natural world and are vulnerable to alterations in the condition of their surroundings; and third, that human activities can either have a beneficial or detrimental effect on the ecosystem. Green ergonomics is derived from the concept of sustainable development, which encompasses the triple bottom line of environmental, social, and economic objectives. Thatcher et al. [32] identified four green ergonomics design principles as follows. Firstly, green ergonomics should promote eco-efficiency, eco-effectiveness, and eco-productivity. Secondly, ergonomics should promote ecological resilience by ensuring the workplace can sustain disruptions without changing its composition or operation. Thirdly, ergonomics should consider indigenous/vernacular regional solutions by identifying local needs, establishing an ideal design solution through participative techniques, and meeting those criteria with local resources. Lastly, the fourth principle is to believe that design should reflect natural systems. It is evident that to support sustainable development, green ergonomics applies ergonomic concepts, perspectives, and approaches to work systems that include a variety of components, including workspaces, a growing population, and diseases, which will have an impact on the local community’s health and the natural resources in healthcare. This could give rise to challenges in green ergonomics in healthcare organizations. Table 1 below synthesizes the past literature on critical and strategic issues in the green sustainable ergonomic design domain.
There has been a significant lack of research on green ergonomics in healthcare. The following sections related to total interpretive structural modeling, healthcare organizations’ readiness factors for green sustainable ergonomics, and the research methodology comprehensively examine the factors that influence healthcare organizations’ preparedness for green ergonomics.

3. Total Interpretive Structural Modeling: A Brief Review

The total interpretive structural modeling (TISM) methodology is employed to transform unclear models into concise and practical models that effectively address the challenges of what, how, and why. Here, the total interpretive structural modeling methodology is used to assess the impact and interaction of identified factors on the readiness of healthcare organizations to adopt environmentally friendly ergonomic practices. The identification of the factors determines the nature and extent of their connection, making it a matter of interpretation. The concept is structural since it is based on the fundamental principles of connection and derives an overarching framework from a diverse set of components [44]. It gains a deeper understanding of how each factor exerts its influence, and the technique of total interpretive structural modeling is employed to depict and organize these factors. This facilitates the elucidation of the meaning of nodes and links. Data analytics and theory development can be combined at the conceptualization and validation stages. Researchers often utilize total interpretive structural modeling to address complex challenges [45], and in order to categorize the components and their interactions that determine the suitability of healthcare facilities in terms of green ergonomics, a conceptual framework was considered necessary [46].
Jena et al. [47] emphasized total interpretive structural modeling as a decision modeling method. This modeling creates strategic theoretical frameworks to construct transitive linkages and logics linking observed components in the model. The contextually relationship-based performance of total interpretive structural modeling is better than that of standard interpretive structural modeling (ISM). The total interpretive structural modeling methodology accurately presents total interpretive structural modeling digraph component factor linkages [48]. Total interpretive structural modeling uses graph theory to interpret discovered factors iteratively. This helps interpret disorganized perceptions. Researchers in many domains have used total interpretive structural modeling for creative modeling [49]. Academics and researchers have widely implemented the total interpretive structural modeling methodology to analyze the identified factor relationships in various industries and service sectors [50,51].

4. Readiness Factors for Green Ergonomics in the Context of Healthcare Organizations

Green ergonomics is conceptualized as an ergonomic commitment to environmentally sustainable development [29]. The identified readiness factors for green ergonomics in healthcare organizations are green buildings (F1), ergoecology (F2), audit working practices/risk assessments (F3), design principles (F4), ecological resilience (F5), professional practice (F6), sustainable indoor environments (F7), patient safety culture and safety climate (F8), natural environment for wellness (F9), and occupational health and safety (F10). Table 2 depicts the identified sustainable readiness factors and the references.
F1. Green buildings: The key aspect for implementing green ergonomics in healthcare organizations is to mitigate the impact of buildings on the environment, society, and economy for the adoption of green building practices. Research suggests that green buildings can offer employees a more efficient and healthier workplace [10,11].
F2. Ergoecology: Ergoecology aims to study the dynamics of human–environment interaction, as well as the reciprocal influence of the environment on individuals. This entails evaluating behaviors and strategies aimed at managing both favorable and unfavorable interactions. It involves the interaction between humans and systems, including the ergonomic system and the surrounding systems. This interaction is influenced by various factors such as political, economic, socio-cultural, and technological (PEST) factors, with a focus on sustainability [13].
F3. Audit working practices/risk assessments: Conducting audits of working practices and risk assessments allows for evaluating the safety measures used in accordance with the principles of quality management and risk management. This shift in the role of clinical audits from quality assurance to quality improvement processes has been highlighted by Hignett et al. [33].
F4. Design principles: Ergonomics design principles refer to the principles and sub-principles an organization needs to consider when implementing green ergonomics. Healthcare organizations must adhere to the ergonomics design principles to fulfil the goal of green ergonomics. The fundamental concept of ergonomic design principles is to guide the behaviors that employees should engage in to prevent ergonomic hazards [14].
F5. Ecological resilience: Ecological resilience, or ecological robustness, refers to the capacity of an ecosystem to maintain its energy production and its operations even in the face of environmental disturbances [31]. In the healthcare environment, resilience refers to a system’s capacity to absorb and adapt to disruptions throughout periods of change while ensuring the continuity of essential healthcare activities.
F6. Professional practice: Professional practice encompasses a set of robust moral principles; the application of specialized expertise, analytical thinking, and evidence-based reasoning; continuous personal and professional development; dedication and responsibility for engaging and enlightening professional conduct; and the capacity to adapt in order to maximize service effectiveness [6].
F7. Sustainable indoor environments: A sustainable indoor environment includes all the conditions inside an organization’s structure, such as the air quality, lighting, temperature, and ergonomics, and how they affect the healthcare employees and patients who live there [11].
F8. Patient safety culture and safety climate: The characteristics of principles, beliefs, attitudes, and behaviors that define an organization’s dedication to patient safety are referred to as safety culture, while safety climate refers to how organization members perceive safety culture at a particular time [7].
F9. Natural environment for wellness: Ergonomics is to be discussed here within the framework of nature. The importance of natural environments for health should be integrated into the field of ergonomics, which is dedicated to promoting well-being [17,18].
F10. Occupational health and safety: Healthcare practitioners and all other healthcare workers are subject to occupational risks. Occupational hazards are the risks or dangers that can arise from unhealthful work settings in the short and long term. Occupational health and safety constitute an interdisciplinary domain focusing on employee well-being, wellness, and workplace safety [7].

5. Research Methodology

The research methodology was designed to comprehensively examine the factors that influence healthcare organizations’ preparedness for green ergonomics adoption. It aims to prioritize these factors based on their level of importance and assess how they influence healthcare operations in a holistic manner.

5.1. Data Sampling and Interview

This study used non-probability sampling. We employed two sampling techniques, namely purposive sampling and snowball sampling, for our investigation. A preliminary list of respondents was developed, and the respondents were contacted via mail to request their consent to take part in the study. After confirming the time with the respondents, an interview was scheduled and performed. The respondents were provided with a closed-ended questionnaire to rate the influences from 0 to 4, and semi-structured interviews were employed to obtain clarification from the respondents, focusing on the question of “why the factor A is influencing factor B?”. The participants in the study were selected from various hospitals in India, encompassing hospital administrators, managers, doctors, dietician, and nurses from various departments. A total of 20 respondents were selected for this study. Table 3 depicts the respondents’ details.

5.2. Validity and Reliability of the Questionnaire

Experts in the healthcare field validated the questionnaire and the identified sustainable factors. Face validation was used in this study to assess the questionnaire’s validity and reliability. As part of the face validation procedure, the questionnaire was examined by healthcare experts, who evaluated the survey’s clarity and comprehensibility to ascertain whether respondents would find the questions to be understandable, straightforward, and clear. They assessed the textual content, instructions, and response options to see if the intended audience could comprehend them. The experts also assessed the questionnaire’s applicability to the factors and the goal of the study and whether the questions adequately covered the components of green ergonomics that are required in healthcare. Furthermore, they looked at whether the grading scale is accessible and whether the response categories accurately capture the range of possible answers or points of view. The experts evaluated the general structure and reasoning of the survey, ensuring that the questions are rationally arranged and easy to understand.
The following is a step-by-step presentation of the research methodology.
Step 1: Identification of readiness factors.
The primary emphasis of the current study is on healthcare organizations. The identification and finalization of the readiness factors were enabled by conducting a literature review and consulting with healthcare specialists. The healthcare professionals confirmed each of the readiness factors through a process of validation, and a closed-ended questionnaire was devised to evaluate the influence or pairwise comparison of the factors. A total of 20 healthcare experts currently employed in hospitals took part in the scheduled interviews. The participants in the study were selected from hospitals in various states of India, encompassing hospital administrators, managers, doctors, dietician, and nurses from various departments. Each interview was scheduled for one hour. The first ten minutes were dedicated to presenting a concise overview of the study and its influential aspects related to preparation. The remaining fifty minutes were utilized for conducting the actual interviews with the participants. This study utilized a five-point Likert scale, where a rating of 0 indicated no influence and a rating of 4 indicated very high influence. Participants were instructed to provide a rating on a scale ranging from 0 to 4. For example, if the response to the question “Does Factor A influence Factor B?” is affirmative, assign a rating from 1 to 4, where 1 represents minimal influence and 4 represents significant influence; if the response is negative, assign a rating of zero. The provided questionnaire took the following format: Please rate the impact of green buildings (F1) on ergoecology (F2) on a scale of 0 to 4. Participants were required to assign a rating of 1 to 4 for affirmative responses and 0 for negative responses [46]. If the answer was affirmative, then participants were asked to elaborate on why the factors were influencing. Prior to conducting the interview, consent papers were given to the respondents to address ethical concerns. Participants’ signatures were obtained during the consent stage of the study. Prior to commencing the interview, verbal consent was also acquired. Following each session, participant ratings were documented, categorized, and anonymized to prevent any bias in interpretation. The privacy and confidentiality of interviewees were protected [46].
Step 2: Prioritization and modeling of the readiness factors.
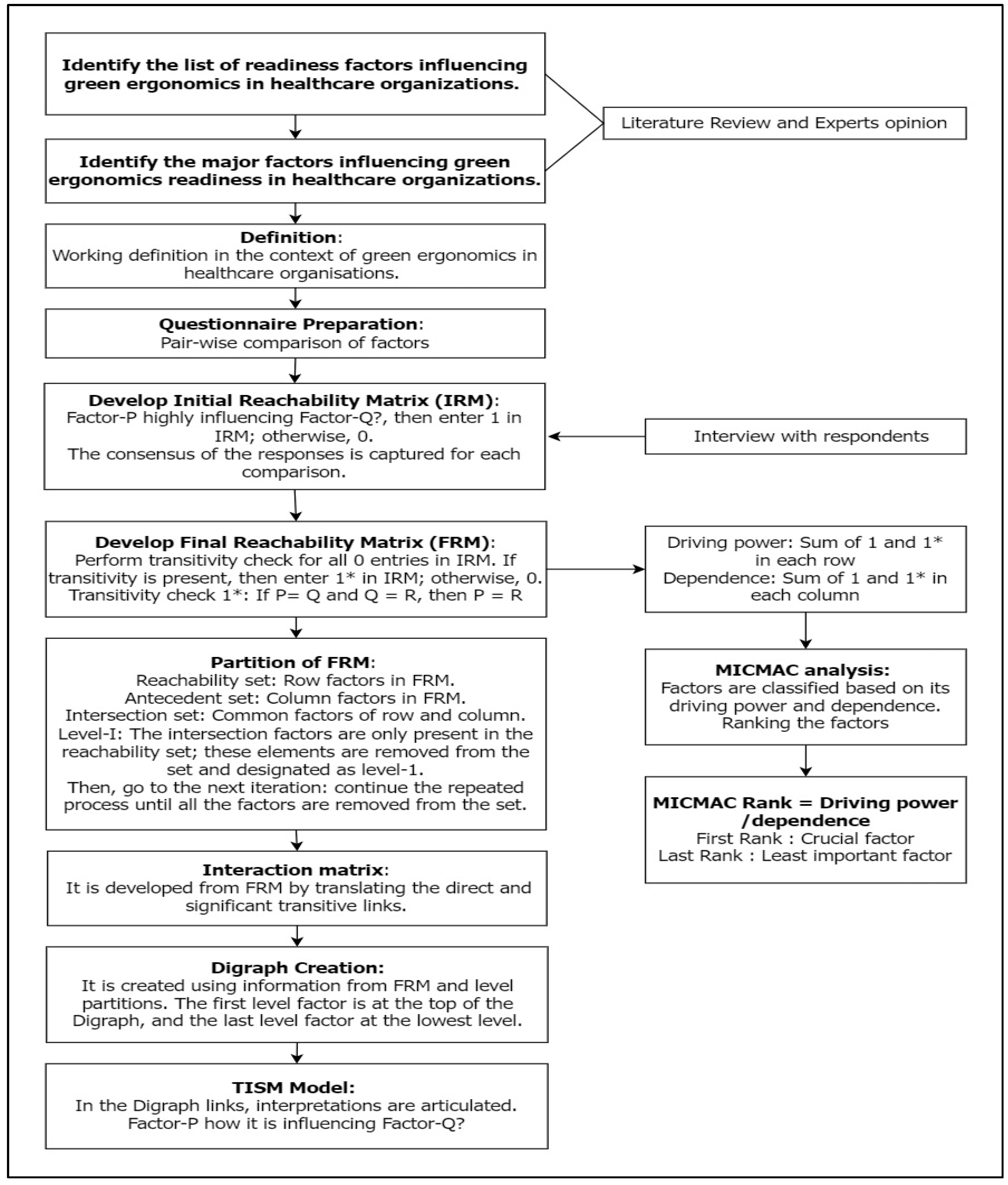
The study’s aim was to identify the factors that influence readiness for implementing green ergonomics in healthcare organizations and examine their influence on both internal and external elements within the organizations. The total interpretive structural modeling technique was utilized to analyze these aspects and their relationships. Figure 1 depicts the flow of the total interpretive structural modeling methodology. The steps in total interpretive structural modeling are detailed below [32,45].
Identifying the readiness factors for green ergonomics implementation in healthcare organizations was the first step in total interpretive structural modeling. This step entailed determining the factors that influence the healthcare green ergonomics and was executed by reviewing the past literature and interviewing healthcare professionals. A list of the identified factors is presented in Table 2.
Subsequently, a total of twenty responses were obtained from medical professionals. Interpretation of the relationships (IRM) between factors was conducted (step 2) to understand how one factor influences another (refer to Table 4). Every entry in the IRM with a value of 0 needed to have its transitivity checked [53]. Therefore, we performed a transitivity check to develop a final reachability matrix (FRM), (step 3; refer to Table 5), followed by partitioning the factors (step 4) from the FRM into seven levels. The FRM is the source of the partition reachability matrix [54]. An interaction matrix (step 5) was designed using direct and significant transitive links in the next step [55] (refer to Table 6), followed by the development of a digraph or directed graph (step 6) using the interaction matrix and the level partition data [54]. The information from the interaction matrix is illustrated by the links in the structural model. As a result, the structural model linkages and nodes included were fully interpreted and are presented in the results and discussion sections. The driving and dependent readiness factors were identified using a hierarchy-based method. First-level factors are the top of the model, and the factors in the digraph are arranged in ascending order. As a result, a justified model was developed and is presented in Figure 2.
Step 3: Classifying the factors into four different zones and establishing their linkage.
In this study, a cross-impact matrix multiplication applied to classification (MICMAC) analysis was adopted to classify each factor into four distinct zones: driving factors, autonomous factors, dependent factors, and linking factors [56].
The autonomous factors in Zone I are characterized by a low level of interdependence and a minimal ability to influence other factors [57]. Dependent factors in Zone II are characterized by a greater reliance on other factors and a lower capacity to exert influence [58]. Linkage factors refer to elements that exhibit a strong reliance and possess a significant driving force [55,59]. The final category consists of factors that possess significant driving force but exhibit modest dependence. These factors are sometimes referred to as driving factors or independent factors [59]. Thus, in order to incorporate green ergonomics in healthcare organizations, the readiness factors have been identified, prioritized, and categorized into four distinct zones, and their interconnections, which impact the readiness for implementing green ergonomics in healthcare organizations, have been established. Additionally, a total interpretive structural modeling digraph or directed graph and a cross-impact matrix multiplication applied to classification (MICMAC) graph were created to visualize this information. The subsequent section provides the results, interpretations, and discussion of the total interpretive structural modeling and cross-impact matrix multiplication applied to classification graphs.

6. Results and Interpretations

Table 6 depicts the interaction matrix, and the direct and significant transitive links were used to design the interaction matrix [60]. The total interpretive structural modeling and analysis of the green ergonomics readiness factors in healthcare organizations are depicted graphically in Figure 2 above. Table 7 presents the ranking of the readiness factors influencing the green ergonomics readiness in healthcare organization based on the cross-impact matrix multiplication applied to classification (MICMAC) analysis.

6.1. Interpretation of Total Interpretive Structural Modeling (TISM) Digraph

Referring to Figure 2, there are seven levels. Their interpretation is provided in the subsequent paragraphs, presented in reverse order.
Level VII: In this level, a single readiness factor is present: design principles (F4). Design principles (F4) influence green buildings (F1) when healthcare facilities are constructed with the incorporation of sustainable ergonomic concepts. By incorporating green ergonomics concepts, a hospital may develop solutions that enhance patient safety while also minimizing negative environmental effects. As a result, the healthcare organization’s facilities would be capable of satisfying the requirements of the surroundings, staff, and patients. Furthermore, F4 has an influence on the field of ergoecology (F2). It is clear that healthcare organizations should adopt design principles as standards in order to implement green ergonomics. This will help address the concept of ergoecology and promote environmentally friendly and healthy workplaces. By doing so, healthcare professionals’ effectiveness and well-being can be optimized, while also focusing on environmental sustainability. Design principles (F4) also have an influence on audit working practices/risk assessments (F3) by establishing a framework for monitoring and auditing work practices in a healthcare organization. This framework evaluates the current level of practice and the desired standard level. Risk assessments are crucial for evaluating the potential risks associated with different departments within healthcare institutions based on the services they provide. Additionally, the influence of F4 on ecological resilience (F5) is evident and can be realized by using the concepts of green ergonomics in healthcare organizations and other industries. Adhering to ergonomic design principles enables healthcare organizations to enhance their ability to handle disruptions and reorganize during periods of change, while still effectively continuing their everyday operations. Green ergonomics fosters ecological resilience by maintaining the work setting’s capacity to tolerate disruptions without altering its structure or operation, hence promoting environmentally friendly ergonomics. As for professional practice (F6), F4 influences it by fostering an understanding of green ergonomics and involving experts in promoting environmentally friendly development structures in healthcare. It also addresses the actions and behaviors of healthcare professionals in relation to green ergonomics operations and how these practices are integrated into the services provided. The design guidelines serve as the fundamental principles for implementing environmentally friendly ergonomics, requiring the involvement of all professions. F4 also has an influence on sustainable indoor environments (F7), which can be achieved by establishing a sustainable interior environment in healthcare organizations. Design principles enable the implementation of solutions that safeguard human health, enhance quality of life, mitigate stress, and avoid injuries. In addition, F4 has an influence on the culture of patient safety and the atmosphere of safety (F8) and should be considered when addressing environmental issues through local or regional solutions. This involves assessing the specific needs of the local community, devising an optimal design solution using collaborative methods, and meeting those needs by utilizing the available local resources to establish a culture and climate of patient safety. The study by Norton et al. [31] highlighted the impact of F4 on the natural environment for promoting well-being. It also emphasizes the significance of outdoor spaces for enhancing health and underscores the need to understand ergonomics as a field dedicated to well-being [17,18]. Lastly, F4 has a significant influence on occupational health and safety (F10) as all healthcare workers, including practitioners, are exposed to occupational hazards. The implementation of green ergonomic design principles, which prioritize the well-being and safety of occupants while also addressing environmental sustainability concerns, can effectively reduce the associated risks and hazards.
Level VI: This level has two factors: F1 (green buildings) and F2 (ergoecology). The influence of F1 on F2 is evident through the promotion of healthier and more efficient work conditions, resulting in positive outcomes from ergoecology. Implementing green building practices in healthcare organizations can boost productivity, decrease absenteeism, and improve employee happiness and satisfaction by prioritizing the health and well-being of staff members. In addition, F1 influences F3 (audit working practices/risk assessments) when green buildings are built utilizing energy-efficient construction techniques, which have the potential to decrease energy expenses. Green buildings have the potential to impact and shape the protocols and regulations governing audits. This has the potential to improve the evaluation of energy use and provide suggestions for enhancing the efficiency of healthcare activities. The influence of F1 on F5 (green buildings on ecological resilience) also fosters sustainable ecological resilience practices within healthcare organizations’ operations. Healthcare organizations develop crucial ecological resilience by integrating uncertainty response strategies focused on the environment as well as effectively responding to and forecasting emergencies. F1 also has an influence on F7 (sustainable indoor environments), F8 (patient safety culture and safety climate), and F9 (natural environment for wellness). One specific way in which this influence is observed is through the integration of natural lighting systems into green buildings. This integration serves to decrease the reliance on artificial lighting, resulting in improved lighting conditions, reduced ocular fatigue, and enhanced well-being for workers. Green construction thus improves indoor settings by prioritizing the health of healthcare personnel and patients as well as implementing sustainable operations. Lastly, F1 influences F10 (occupational health and safety) as green buildings can mitigate stress and fatigue by limiting temperature changes and maintaining a comfortable temperature range.
As for F2, this concept of ergoecology has a significant influence on the design of green buildings by prioritizing the needs of building inhabitants. Green buildings can be designed to optimize health and well-being through the implementation of ergonomic assessments. F2 also exerts an influence on F3 (audit working practices/risk assessments). Here, ergoecology places a substantial emphasis on the importance of design and operation in healthcare, thus advocating for auditors to conduct risk assessments and ergonomics reviews. The influence of ergoecology on ecological resilience (F5) further enhances the ecological resilience of healthcare environments by advocating for resource-efficient and environmentally friendly design concepts for healthcare facilities. F2 also exerts an influence on F6 (professional practice). This can be recognized via the importance of human factors in promoting building energy efficiency. The understanding of ergoecology inspires healthcare personnel to embrace energy-saving behaviors and reduce their environmental footprint through the development of user-friendly building systems and technologies. Meanwhile, the impact of ergoecology on sustainable interior settings, specifically the relationship between F2 and F7, highlights the crucial role of indoor environmental quality in promoting individuals’ health and overall well-being. Additionally, F2 exerts an influence on F8 (patient safety culture and safety climate), recognizing the importance of assessing patient safety culture, which involves analyzing the attitudes, perspectives, and behaviors of healthcare workers in this domain. Ergoecology can help improve patient safety culture and the safety climate by identifying specific areas where ergonomic strategies can be implemented to enhance patient safety results. One way to achieve this is by promoting the evaluation of patient safety culture considering ergonomic aspects. Similarly, ergoecology (F2) influences the natural environment in healthcare (F9) settings by promoting the development and utilization of surroundings that enhance the health and well-being of patients, staff, and visitors. To cultivate a soothing, salubrious, and motivating ambiance, healthcare organizations should focus on incorporating outdoor areas, interior foliage, therapeutic gardens, and ample natural illumination. Green buildings can mitigate the likelihood of occupational injuries and enhance the health and well-being of everyone working in and maintaining the building by promoting safe work practices, ergonomic designs, and suitable maintenance processes. Ergoecology recognizes the importance of human elements in risk assessment. Auditors can identify potential risks and hazards that may be overlooked in traditional risk assessments by considering the interactions between building occupants and their environment. For example, if a workstation requires uncomfortable body positions or repetitive motions, an inspector may consider these ergonomic hazards.
Level V: F3 (risk assessments and audit work practices) is the only factor present at level five. F3 influences F5 (ecological resilience) as in the event of any unanticipated disruptions, risk assessments and audit work procedures assist the healthcare organization in determining the system’s adaptability to maintain regular healthcare operations. F3 also influences F6 (professional practice) by assessing the safety operations founded on quality control and risk management in healthcare organizations, which fosters informed professional practice and continuous development based on the current situation and a standardized level. Assessing the degree of assurance to improve the quality of methods contributes to the creation of sustainable interior environments, an enhanced quality of life, and high-quality services by healthcare organizations. Similarly, F3 influences F7 (sustainable indoor environments) and F8 (patient safety culture and safety climate). A healthcare organization can determine its commitment to patient safety and safety culture at a given moment and how to improve it for a higher quality of service by auditing the working practices. Further, F3 influences F9 (natural environment for wellness) as assessing risks and working practices in healthcare organizations aids in determining awareness of the context of nature and how the healthcare organization views the importance of the surrounding environments for health. All healthcare workers, including practitioners, are subject to occupational hazards. In this regard, F3 also impacts F10 (occupational health and safety) as it can examine possible dangers and safety procedures inside an organization, and focusing on employee well-being, wellness, and workplace safety may aid in the resolution of potential issues that may arise in the healthcare organization.
Level IV: The fourth level consists of a single factor, namely F6 (professional practice).
Professional practice demonstrates a collaborative approach, adaptability, and techniques that safeguard human health and enhance the quality of life by promoting sustainable indoor environments [6]. Hence, it is apparent that F6 is a significant determinant of F7 (sustainable indoor settings). F6 (professional practice) signifies the commitment of professionals to comprehend patient interactions and uphold ethical values. It involves the application of specialized skills, critical analysis, and decision-making that contribute to the standards, principles, perspectives, and practices that define an organization’s commitment to ensuring patient safety (F7). The presence of a strong dedication to continuous development and the ability to adapt in order to enhance services are factors that help to understand the importance of the environment for human health and well-being. These factors are indicative of the influence of F6 on F9. Professional practitioners in health organizations use specialized knowledge, critical thinking, and sound judgment to identify the potential risks and hazards associated with hazardous work environments. These risks may have both short-term and long-term impacts on healthcare organizations.
Level III: Level three has two factors: F7, which pertains to sustainable indoor environments, and F8, which focuses on patient safety culture. The importance of sustainable interior environments (F7) becomes clear as they contribute to the sustainability and organizational restructuring of healthcare organizations throughout periods of transition, while also ensuring the ecological resilience of everyday healthcare operations (F5). F7 encompasses all aspects of a building’s interior, such as air quality, lighting, temperature, and ergonomics, and their impact on F8 (patient safety culture and safety climate). This is achieved by providing ecologically friendly solutions for the building’s surroundings. Furthermore, it represents the characteristic beliefs, perspectives, attitudes, and behaviors that exemplify an organization’s dedication to ensuring patient safety (F8). Moreover, F7 has a significant influence on F9, which pertains to the natural environment for promoting well-being. Through the establishment of a secure work environment that places emphasis on the welfare, health, and safety of workers, the focus is on identifying and addressing the potential hazards and risks associated with unhealthy work conditions in the short and long term. The influence of F7 on F10 (occupational health and safety) also leads to an improvement in the quality of services provided and enhances the productivity of healthcare professionals.
F8 influences both F7, which pertains to creating sustainable indoor environments, and F9, which focuses on establishing a natural environment for well-being. Healthcare professionals and other staff members within the organization collectively uphold a set of shared values, conventions, and beliefs, which influence their approach to patient care and their interactions within the healthcare setting. In addition, F8 has a significant influence on F10, which pertains to occupational health and safety. Healthcare organizations should prioritize the development of a robust patient safety culture and safety environment, focusing on the well-being of both healthcare staff and patients. Assessments of safety culture and the perception of healthcare professionals towards safety in their workplace, as well as the quality of services offered to patients, have to be duly considered.
Level II: Level two has two components, namely F5 (ecological resilience) and F10 (occupational health and safety).
F5 influences F9 (natural environment for wellness) by setting up a healthcare system to be able to handle disruption and organize itself while going through change and simultaneously maintaining everyday healthcare operations as well as establishing an understanding of the importance of the natural environment for health, including ergonomics knowledge and practice as a field concerned with well-being.
On the other hand, occupational health and safety (F10) primarily emphasizes the welfare, wellness, and safety of employees, as well as the natural environment for promoting good health (F9). This aspect significantly influences affects both healthcare personnel and patients.
Level I: Level one consists of only one factor, namely the natural environment for wellness (F9), which is directly relevant to the purpose of this research. This factor is the dependent variable of the research. This component is influenced by the other nine factors.

6.2. Interpretation of Cross-Impact Matrix Multiplication Applied to Classification (MICMAC) Analysis

In Table 7 below, the sustainable readiness factors influencing the green ergonomics in healthcare organizations are ranked based on the cross-impact matrix multiplication applied to classification (MICMAC) analysis [10,60,61] and presented here with the interpretation of the MICMAC analysis.
The factors were categorized into autonomous, dependent, linkage, and driving or independent factors using a cross-impact matrix multiplication applied to classification (MICMAC) analysis. Table 7 rates the green ergonomics readiness factors in healthcare organizations based on the factors’ dependence and driving power. Figure 3 depicts the MICMAC graph.
There are no elements (refer to Figure 3) that exhibit weak reliance and weak driving power inside the autonomous zone (Zone I). Ecological resilience (F5), occupational health and safety (F10), and natural environment for wellness (F9) are dependent factors that have a stronger reliance on other factors but a lower ability to drive change. The factors of preparedness with sustainable indoor settings (F7) and patient safety culture and safety atmosphere (F8) exhibit a significant interdependence and have a substantial influence, therefore being referred to as linkage factors. Lastly, design principles (F4), green buildings (F1), ergoecology (F2), audit working practices/risk assessments (F3), and professional practice (F6) all have a significant driving force but limited interdependence and are thus driving or critical factors in this study. According to the cross-impact matrix multiplication applied to classification (MICMAC) ranking, the factor of design principles (F4) is listed as the top factor with a strong driving force. This suggests that this factor is the one that influences and pushes the other nine elements towards achieving green ergonomics. Green buildings (F1) and ergoecology (F2) are ranked second. The third position is occupied by audit working practices/risk assessments (F3). The fourth and fifth positions are occupied by professional practice (F6), sustainable indoor settings (F7), and patient safety culture and safety climate (F8). Following them in joint sixth position are ecological resilience (F5) and occupational health and safety (F10). The natural environment for wellness is ranked eighth in terms of importance. This suggests that this component is contingent upon the other nine factors. Any alteration in the other factors will thus constitute a modification in this particular component, which serves as the dependent variable in the research and directly influences the effectiveness of implementing green ergonomics in healthcare organizations.

7. Discussion and Practical/Managerial Implications

Green ergonomics is the practice of incorporating ergonomics and human factors into the design of items, activities, settings, and systems in order to minimize negative impacts on the environment and human health [6]. Researchers and practitioners in the sectors of occupational health and safety (OHS) and healthcare are striving to increase public awareness about the hazards and importance of workplace health and safety [62]. Governments and international organizations in the healthcare sector should prioritize the safety and well-being of healthcare environments. Furthermore, green ergonomics examines how the interactions between individuals and their surroundings might enhance their overall health and efficiency. Healthcare firms prioritizing green ergonomics will provide benefits for both patients and healthcare workers, resulting in enhanced satisfaction, reduced injury rates, and enhanced productivity. Addressing environmental challenges is essential for ensuring the long-term safety and well-being of individuals in both their professional and personal life [14]. Green ergonomics promotes creativity, streamlining in design, and cost-effectiveness among healthcare professionals by ensuring the safety of both individuals and the environment [8]. Establishing a favorable safety atmosphere is the first step in exerting an impact on the safety of workers and patients [63]. Therefore, while creating a workstation, firms might seek the guidance of human aspects and ergonomics specialists to improve energy efficiency [6].
This research implemented the concept of green ergonomics in the context of healthcare organizations. The research examined the notion of green ergonomics and its influence on the physical environment in which healthcare workers work. It will increase awareness in the healthcare industry about the need for safeguarding patients and staff safety as well as the environment while maintaining the quality of treatment and services offered. A healthcare organization’s preparedness for implementing green ergonomics presents an opportunity to mitigate environmental damage and occupational hazards. Healthcare management should prioritize the promotion of green ergonomics to enhance stakeholder interests. Greater consideration should be given to these principles in relation to environmental sustainability [6], ergonomics, and healthcare operations.
The study’s findings contribute to the comprehension of the aspects that impact the practical and managerial needs of healthcare organizations in relation to their preparedness for green ergonomics. By using total interpretive structural modeling (TISM) and cross-impact matrix multiplication applied to classification (MICMAC) analysis, healthcare managers have the ability to prioritize preparedness factors in a hierarchical sequence, ranging from the most critical to the least critical. This enables them to assess the relative significance of each component and its influence on healthcare operations in a comprehensive way. The key factors influencing the preparedness for green ergonomics in healthcare organizations are design principles, green buildings, and ergoecology. Managers should prioritize the examination of working practices, risk assessments, professional practice, sustainable indoor settings, patient safety culture and safety climate, ecological resilience, and occupational health and safety. This would assist the management in formulating plans and policies to improve healthcare ergonomics and transition towards green ergonomics in order to support healthcare operations. This has the potential to ultimately aid healthcare organizations in promoting and maintaining the well-being of their employees as well as ensuring sustainable operations.
This study only focused on an Indian healthcare organization, which limits it generalizability to a broader implication. This could be addressed by expanding the study to other geographical areas. The study is based on the respondents’ inputs, which could have potential biases based on their experience and knowledge of the industry. The ratings and interpretations may change based on the time period in which the study was conducted. This could be overcome by using a longitudinal study to understand how green ergonomics readiness and implementation enhance healthcare efficiency sustainably.

8. Conclusions

In this research, the readiness sustainable factors influencing green ergonomics in healthcare organizations were investigated. Using total interpretive structural modeling (TISM) and cross-impact matrix multiplication applied to classification (MICMAC) analysis, the study developed a theoretical framework. TISM helps with investigations of sustainable factors and evaluates how they interact with/influence one another. Using this research methodology, hierarchical linkages between the readiness factors for green ergonomics were created in order to analyze the influence of each sustainable factor. A cross-impact matrix multiplication applied to classification (MICMAC) analysis was used to determine the driving power and dependence of the identified factors, as well to prioritize the healthcare green ergonomics readiness factors. Green buildings, ergoecology, audit working practices/risk assessments, design principles, ecological resilience, professional practice, sustainable indoor environments, patient safety culture and safety climate, natural environment for wellness, and occupational health and safety are the 10 readiness sustainable factors identified in this study. When implementing green ergonomics in healthcare organizations, the following factors need more consideration, i.e., the driving or key factors of the study: design principles (F4), green buildings (F1), ergoecology (F2), audit working practices/risk assessments (F3), and professional practice (F6). Indian healthcare organizations are the primary focus of this study. In the future, the scope could potentially be broadened by considering different geographical regions. This study can be evaluated using statistical techniques such as exploratory and confirmatory factor analysis, structural equation modeling, and performing longitudinal studies assessing the impact of application of green ergonomics on the effectiveness of healthcare operations. Although the advancement of the digital smart domain has great opportunities for tackling sustainability issues, it also presents dangers and necessitates a thoughtful examination of ecological, societal, and financial consequences. It is crucial to carefully consider the advantages and difficulties of digitization and ergonomics in order to guarantee that it supports long-term sustainability objectives. Thus, the application of the presented approach can be explored for assessing sustainability across green ergonomics and economics domains related to product design, transportation, urban planning, industrial design, and/or environmental science, etc. Thus, in the future, the study could be expanded to understand how green ergonomics aids in smart ergo-designs, how healthcare organizations can be sustainable with the integration of smart-ergo designs, and what the readiness and challenges are for implementing smart-ergo designs. As a limitation, the study exclusively examined an Indian healthcare organization, hence restricting its applicability to broader contexts. This issue could be resolved by broadening the scope of the study to include more geographic regions. Furthermore, the study relied on the inputs provided by the respondents, which may be influenced by their experience and industry knowledge, thus introducing biases. The evaluations and interpretations may also vary depending on the temporal context in which the research was conducted. This challenge could be addressed with a longitudinal study that seeks to comprehensively examine the ways in which the development and implementation of green ergonomics can effectively boost healthcare efficiency in a sustainable manner. As a follow-up to the current study, our next objective is to create a cooperative design for healthcare facility, usage, and service systems that are both sustainable and innovative. Similarly, we aim to present a fuzzy logic multi-criteria decision making tool and regulatory framework for promoting green, sustainable health organizations.

Author Contributions

Conceptualization, A.T. and S.M.; data curation, A.T.; formal analysis, A.T., S.M. and A.U.R.; funding acquisition, A.U.R.; investigation, A.T., S.M. and A.U.R.; methodology, A.T., S.M. and A.U.R.; resources, S.M. and A.U.R.; supervision, S.M. and A.U.R.; validation, A.T., S.M. and A.U.R.; visualization, A.T.; writing—original draft, A.T. and S.M.; writing—review and editing, A.U.R. All authors have read and agreed to the published version of the manuscript.

Funding

This research was funded by the Researchers Supporting Project number (RSPD2024R701), King Saud University, Riyadh, Saudi Arabia.

Institutional Review Board Statement

Not applicable.

Informed Consent Statement

Not applicable.

Data Availability Statement

Data are available in the manuscript.

Acknowledgments

The authors extend their appreciation to the Researchers Supporting Project number (RSPD2024R701), King Saud University, Riyadh, Saudi Arabia.

Conflicts of Interest

The authors declare no conflicts of interest.

References

  1. Kolade, O.; Ogunnaike, O. Organizational Citizenship Behaviour, Hospital Corporate Image and Performance. J. Compet. 2014, 6, 36–49. [Google Scholar] [CrossRef]
  2. Pilczuk, D.; Barefield, K. Green Ergonomics: Combining Sustainability and Ergonomics. Work 2014, 49, 357–361. [Google Scholar] [CrossRef] [PubMed]
  3. Haslam, R.; Waterson, P. Ergonomics and Sustainability. Ergonomics 2013, 56, 343–347. [Google Scholar] [CrossRef]
  4. The Importance of Ergonomics in Green Design—Alan Hedge. 2013. Available online: https://journals.sagepub.com/doi/10.1177/1541931213571236 (accessed on 20 May 2024).
  5. Sarker, A.; Poon, W.-C.; Herath, G. Natural Resource Use, Institutions, and Green Ergonomics. In Ergonomics and Human Factors for a Sustainable Future: Current Research and Future Possibilities; Thatcher, A., Yeow, P.H.P., Eds.; Springer: Singapore, 2018; pp. 271–297. ISBN 978-981-10-8072-2. [Google Scholar]
  6. Hanson, M.A. Green Ergonomics: Challenges and Opportunities. Ergonomics 2013, 56, 399–408. [Google Scholar] [CrossRef]
  7. Hignett, S.; Carayon, P.; Buckle, P.; Catchpole, K. State of Science: Human Factors and Ergonomics in Healthcare. Ergonomics 2013, 56, 1491–1503. Available online: https://www.tandfonline.com/doi/abs/10.1080/00140139.2013.822932 (accessed on 20 May 2024). [CrossRef]
  8. Waters, T.R. Introduction to Ergonomics for Healthcare Workers. Rehabil. Nurs. J. 2010, 35, 185. [Google Scholar] [CrossRef]
  9. Thatcher, A. Green Ergonomics: Definition and Scope. Ergonomics 2013, 56, 389–398. [Google Scholar] [CrossRef]
  10. Thatcher, A.; Milner, K. Green Ergonomics and Green Buildings. Ergon. Des. 2014, 22, 5–12. [Google Scholar] [CrossRef]
  11. Hedge, A.; Dorsey, J.A. Green Buildings Need Good Ergonomics. Ergonomics 2013, 56, 492–506. [Google Scholar] [CrossRef]
  12. Wolf, K. Ergonomics of the City: Green Infrastructure and Social Benefits. In Engineering Green, Proceedings of the 11th National Urban Forest Conference, San Antonio, TX, USA, 17–20 Septemeber 2003; American Forests: Washington, DC, USA, 2003. [Google Scholar]
  13. Lange-Morales, K.; Thatcher, A.; García-Acosta, G. Towards a Sustainable World through Human Factors and Ergonomics: It Is All about Values. Ergonomics 2014, 57, 1603–1615. [Google Scholar] [CrossRef]
  14. Adem, A.; Çakıt, E.; Dağdeviren, M. A Fuzzy Decision-Making Approach to Analyze the Design Principles for Green Ergonomics. Neural Comput. Applic. 2022, 34, 1373–1384. [Google Scholar] [CrossRef]
  15. Hedge, A. The Importance of Ergonomics in Green Design. Proc. Hum. Factors Ergon. Soc. Annu. Meet. 2013, 57, 1061–1065. [Google Scholar] [CrossRef]
  16. Martin, K.; Legg, S.; Brown, C. Designing for Sustainability: Ergonomics—Carpe Diem. Ergonomics 2013, 56, 365–388. [Google Scholar] [CrossRef] [PubMed]
  17. Richardson, M.; Maspero, M.; Golightly, D.; Sheffield, D.; Staples, V.; Lumber, R. Nature: A New Paradigm for Well-Being and Ergonomics. In New Paradigms in Ergonomics; Routledge: London, UK, 2020; ISBN 978-1-351-20895-6. [Google Scholar]
  18. Sharan, D. How Green Is Ergonomics in India? In Proceedings of the 20th Congress of the International Ergonomics Association (IEA 2018), Florence, Italy, 26–30 August 2018; Bagnara, S., Tartaglia, R., Albolino, S., Alexander, T., Fujita, Y., Eds.; Springer International Publishing: Cham, Switzerland, 2019; pp. 1009–1010. [Google Scholar]
  19. Rashid, A.; Rasheed, R.; Ngah, A.H. Achieving Sustainability through Multifaceted Green Functions in Manufacturing. J. Glob. Oper. Strateg. Sourc. 2024, 17, 402–428. [Google Scholar] [CrossRef]
  20. MacLean-Blevins, M.T. Designing Successful Products with Plastics: Plastic Part Design with Sustainability in Mind; Elsevier: Amsterdam, The Netherlands, 2024; ISBN 978-0-443-16115-5. [Google Scholar]
  21. Ali, K.; Jianguo, D.; Kirikkaleli, D.; Oláh, J.; Altuntaş, M. Do Green Technological Innovation, Financial Development, Economic Policy Uncertainty, and Institutional Quality Matter for Environmental Sustainability? All Earth 2023, 35, 82–101. [Google Scholar] [CrossRef]
  22. Davidescu, A.A.; Apostu, S.-A.; Paul, A.; Casuneanu, I. Work Flexibility, Job Satisfaction, and Job Performance among Romanian Employees—Implications for Sustainable Human Resource Management. Sustainability 2020, 12, 6086. [Google Scholar] [CrossRef]
  23. Rehman, F.U.; Islam, M.M.; Miao, Q. Environmental Sustainability via Green Transportation: A Case of the Top 10 Energy Transition Nations. Transp. Policy 2023, 137, 32–44. [Google Scholar] [CrossRef]
  24. Wang, Z.; Fu, H.; Liu, H.; Liao, C. Urban Development Sustainability, Industrial Structure Adjustment, and Land Use Efficiency in China. Sustain. Cities Soc. 2023, 89, 104338. [Google Scholar] [CrossRef]
  25. McMahon, C.; Krumdieck, S. Transitioning to Sustainable Engineering Systems. In Handbook of Engineering Systems Design; Maier, A., Oehmen, J., Vermaas, P.E., Eds.; Springer International Publishing: Cham, Switzerland, 2020; pp. 1–24. ISBN 978-3-030-46054-9. [Google Scholar]
  26. O’Riordan, T. Environmental Science, Sustainability and Politics. Trans. Inst. Br. Geogr. 2004, 29, 234–247. [Google Scholar] [CrossRef]
  27. Munguía Vega, N.E.; Flores Borboa, V.S.; Zepeda Quintana, D.S.; Velazquez Contreras, L.E. Assessing the Effectiveness of Integrating Ergonomics and Sustainability: A Case Study of a Mexican Maquiladora. Int. J. Occup. Saf. Ergon. 2019, 25, 587–596. [Google Scholar] [CrossRef]
  28. Dekker, S.W.A.; Hancock, P.A.; Wilkin, P. Ergonomics and Sustainability: Towards an Embrace of Complexity and Emergence. Ergonomics 2013, 56, 357–364. [Google Scholar] [CrossRef] [PubMed]
  29. Naeini, H.S. Ergonomics on the Context of Sustainability: A New Approach on Quality of Life. Iran Univ. Sci. Technol. 2020, 30, 260–271. [Google Scholar]
  30. Zink, K.J.; Fischer, K. Do We Need Sustainability as a New Approach in Human Factors and Ergonomics? Ergonomics 2013, 56, 348–356. [Google Scholar] [CrossRef] [PubMed]
  31. Norton, T.A.; Ayoko, O.B.; Ashkanasy, N.M. A Socio-Technical Perspective on the Application of Green Ergonomics to Open-Plan Offices: A Review of the Literature and Recommendations for Future Research. Sustainability 2021, 13, 8236. [Google Scholar] [CrossRef]
  32. Anderson, M. Contemporary Ergonomics and Human Factors 2013, Proceedings of the International Conference on Ergonomics & Human Factors 2013, Cambridge, UK, 15–18 April 2013; Taylor & Francis: Abingdon, UK, 2018; ISBN 978-0-203-74458-1. [Google Scholar]
  33. Hedge, A.; Rollings, K.; Robinson, J. “Green” Ergonomics: Advocating for the Human Element in Buildings. Proc. Hum. Factors Ergon. Soc. Annu. Meet. 2010, 54, 693–697. [Google Scholar] [CrossRef]
  34. Andreoni, G.; Arslan, P.; Costa, F.; Muschiato, S.; Romero, M. Ergonomics and Design for Sustainability in Healthcare: Ambient Assisted Living and the Social-Environmental Impact of Patients Lifestyle. Work 2012, 41, 3883–3887. [Google Scholar] [CrossRef] [PubMed]
  35. Pavlovic-Veselinovic, S. Ergonomics as a Missing Part of Sustainability. Work 2014, 49, 395–399. [Google Scholar] [CrossRef]
  36. Radjiyev, A.; Qiu, H.; Xiong, S.; Nam, K. Ergonomics and Sustainable Development in the Past Two Decades (1992–2011): Research Trends and How Ergonomics Can Contribute to Sustainable Development. Appl. Ergon. 2015, 46, 67–75. [Google Scholar] [CrossRef] [PubMed]
  37. Meyer, F.; Eweje, G.; Tappin, D. Ergonomics as a Tool to Improve the Sustainability of the Workforce. Work 2017, 57, 339–350. [Google Scholar] [CrossRef]
  38. Sarbat, I.; Ozmehmet Tasan, S. Ergonomics Indicators: A Proposal for Sustainable Process Performance Measurement in Ergonomics. Ergonomics 2022, 65, 3–38. [Google Scholar] [CrossRef]
  39. Bolis, I.; Sigahi, T.F.A.C.; Thatcher, A.; Saltorato, P.; Morioka, S.N. Contribution of Ergonomics and Human Factors to Sustainable Development: A Systematic Literature Review. Ergonomics 2023, 66, 303–321. [Google Scholar] [CrossRef] [PubMed]
  40. Sarbat, I.; Ozmehmet Tasan, S. Measuring Sustainable Ergonomics: A Hybrid Multi-Criteria Perspective on Ergonomics Indicators. Sustain. Dev. 2024, 32, 1037–1068. [Google Scholar] [CrossRef]
  41. Hassanain, M.A.; Almhbash, T.S.; Zami, M.S.; Ibrahim, A.M.; Alshibani, A. Design and Management Considerations towards Productively Sustainable Work Places in Saudi Arabia. J. Corp. Real Estate 2024. ahead-of-print. [Google Scholar] [CrossRef]
  42. Miao, Y.; Yu, D.S.F.; Tan, W.; Lau, S.S.Y.; Lau, S.S.Y.; Tao, Y. Crafting Sustainable Healthcare Environments Using Green Building Ratings for Aging Societies. Sustainability 2024, 16, 1954. [Google Scholar] [CrossRef]
  43. Zheng, H.; Liu, L.; Zhang, Q.; Wang, Y.; Wei, Y. Children’s Hospital Environment Design Based on AHP/QFD and Other Theoretical Models. Buildings 2024, 14, 1499. [Google Scholar] [CrossRef]
  44. Singh, M.D.; Kant, R. Knowledge Management Barriers: An Interpretive Structural Modeling Approach. Int. J. Manag. Sci. Eng. Manag. 2008, 3, 141–150. [Google Scholar] [CrossRef]
  45. Vaishnavi, V.; Suresh, M.; Dutta, P. A Study on the Influence of Factors Associated with Organizational Readiness for Change in Healthcare Organizations Using TISM. Benchmarking Int. J. 2019, 26, 1290–1313. [Google Scholar] [CrossRef]
  46. Thomas, A.; Suresh, M. Readiness for Sustainable-Resilience in Healthcare Organisations during Covid-19 Era. Int. J. Organ. Anal. 2022, 31, 91–123. [Google Scholar] [CrossRef]
  47. Jena, J.; Sidharth, S.; Thakur, L.S.; Kumar Pathak, D.; Pandey, V.C. Total Interpretive Structural Modeling (TISM): Approach and Application. J. Adv. Manag. Res. 2017, 14, 162–181. [Google Scholar] [CrossRef]
  48. Mathivathanan, D.; Mathiyazhagan, K.; Rana, N.P.; Khorana, S.; Dwivedi, Y.K. Barriers to the Adoption of Blockchain Technology in Business Supply Chains: A Total Interpretive Structural Modelling (TISM) Approach. Int. J. Prod. Res. 2021, 59, 3338–3359. [Google Scholar] [CrossRef]
  49. Yadav, N. Total Interpretive Structural Modelling (TISM) of Strategic Performance Management for Indian Telecom Service Providers. Int. J. Product. Perform. Manag. 2014, 63, 421–445. [Google Scholar] [CrossRef]
  50. Patil, M.; Suresh, M. Modelling the Enablers of Workforce Agility in IoT Projects: A TISM Approach. Glob. J. Flex. Syst. Manag. 2019, 20, 157–175. [Google Scholar] [CrossRef]
  51. Menon, S.; Suresh, M. Factors Influencing Organizational Agility in Higher Education. Benchmarking Int. J. 2020, 28, 307–332. [Google Scholar] [CrossRef]
  52. Vaishnavi, V.; Suresh, M.; Dutta, P. Modelling the Readiness Factors for Agility in Healthcare Organization: A TISM Approach. Benchmarking Int. J. 2019, 26, 2372–2400. [Google Scholar] [CrossRef]
  53. Suresh, M.; Arun Ram Nathan, R.B. Readiness for Lean Procurement in Construction Projects. Constr. Innov. 2020, 20, 587–608. [Google Scholar] [CrossRef]
  54. Menon, S.; Suresh, M. Enablers of Workforce Agility in Engineering Educational Institutions. J. Appl. Res. High. Educ. 2020, 13, 504–539. [Google Scholar] [CrossRef]
  55. Suresh, M.; Mahadevan, G.; Abhishek, R.D. Modelling the Factors Influencing the Service Quality in Supermarkets. Int. J. Syst. Assur. Eng. Manag. 2019, 10, 1474–1486. [Google Scholar] [CrossRef]
  56. Ramiya, S.; Suresh, M. Factors Influencing Lean-Sustainable Maintenance Using TISM Approach. Int. J. Syst. Assur. Eng. Manag. 2021, 12, 1117–1131. [Google Scholar] [CrossRef]
  57. Chillayil, J.; Suresh, M.; Viswanathan, P.K.; Kottayil, S.K. Is Imperfect Evaluation a Deterrent to Adoption of Energy Audit Recommendations? Int. J. Product. Perform. Manag. 2021, 71, 1385–1406. [Google Scholar] [CrossRef]
  58. Sreenivasan, A.; Suresh, M. Modeling the Enablers of Sourcing Risks Faced by Startups in COVID-19 Era. J. Glob. Oper. Strateg. Sourc. 2021, 15, 151–171. [Google Scholar] [CrossRef]
  59. Suresh, M.; Ganesh, S.; Raman, R. Modelling the Factors of Agility of Humanitarian Operations. Int. J. Agil. Syst. Manag. 2019, 12, 108–123. [Google Scholar] [CrossRef]
  60. Lakshmi Priyadarsini, S.; Suresh, M. Factors Influencing the Epidemiological Characteristics of Pandemic COVID 19: A TISM Approach. Int. J. Healthc. Manag. 2020, 13, 89–98. [Google Scholar] [CrossRef]
  61. Thomas, A.; Suresh, M. Readiness for Agility Adaptability and Alignment in Healthcare Organizations. IISE Trans. Healthc. Syst. Eng. 2023, 13, 161–174. [Google Scholar] [CrossRef]
  62. Che Huei, L.; Ya-Wen, L.; Chiu Ming, Y.; Li Chen, H.; Jong Yi, W.; Ming Hung, L. Occupational Health and Safety Hazards Faced by Healthcare Professionals in Taiwan: A Systematic Review of Risk Factors and Control Strategies. SAGE Open Med. 2020, 8, 2050312120918999. [Google Scholar] [CrossRef] [PubMed]
  63. Lundstrom, T.; Pugliese, G.; Bartley, J.; Cox, J.; Guither, C. Organizational and Environmental Factors That Affect Worker Health and Safety and Patient Outcomes. Am. J. Infect. Control 2002, 30, 93–106. [Google Scholar] [CrossRef]
Figure 1. Flow of total interpretive structural modeling (TISM) approach for green ergonomics readiness in healthcare organizations (Source: Author’s own work). * represents transitive links.
Figure 1. Flow of total interpretive structural modeling (TISM) approach for green ergonomics readiness in healthcare organizations (Source: Author’s own work). * represents transitive links.
Sustainability 16 06160 g001
Figure 2. Total interpretive structural model (TISM) for readiness factors of green ergonomics in healthcare organizations (Source: Author’s own work).
Figure 2. Total interpretive structural model (TISM) for readiness factors of green ergonomics in healthcare organizations (Source: Author’s own work).
Sustainability 16 06160 g002
Figure 3. Cross-impact matrix multiplication applied to classification (MICMAC) graph (Source: Author’s own work).
Figure 3. Cross-impact matrix multiplication applied to classification (MICMAC) graph (Source: Author’s own work).
Sustainability 16 06160 g003
Table 1. Synthesis of selected past literature.
Table 1. Synthesis of selected past literature.
YearReferenceAim/Objective
2010[33]Detailed the role that ergonomics can play in improving the quality of sustainable buildings for occupants.
2012[34]Explored the integration of ergonomics and sustainability skills in the development of healthcare organizations, specifically focusing on ergonomics and design for sustainability in the healthcare area.
2013[6]Examined the role of ergonomics/human factors in promoting sustainable and environmentally friendly work and design.
2013[9]Demonstrated the goals of ergonomics that are significantly and closely aligned with the design of environmental sustainability goals.
2013[11]Identified energy-efficient and sustainable structures and ergonomics design issues in green sustainable buildings.
2013[16]Attempted to review the literature on ergonomics, design, and sustainability.
2013[15]Demonstrated the significance of including effective ergonomics programs into the design of sustainable buildings.
2013[28]Argued that technology provides a potential pathway to achieve a sustainable future, and ergonomics can play a crucial role in this endeavor.
2013[30]Attempted to explain the fundamental concerns regarding the interaction between the sustainability paradigm and ergonomics.
2014[10]Examined the individual and organizational consequences linked to transitioning from conventional buildings to environmentally friendly green buildings.
2014[2]Conducted a study on the collective impact of ergonomics and environmental sustainability on enhancing employee engagement within a specific firm.
2014[13]Examined how adopting a human factors and ergonomics (HFE) approach can enhance an organization’s long-term viability and well-being.
2014[35]Presented the correlation between ergonomics and sustainable development, encompassing the three dimensions of sustainability (environmental, social, and economic).
2015[36]Reviewed the specific areas and methods through which ergonomics might help sustainable development.
2017[37]Explored the relationship between the main concepts of sustainability, ergonomics, and working conditions.
2018[5]Investigated the emerging green ergonomics perspective to resolve green ergonomic problems and to enhance the sustainable relationship between human well-being and natural resource systems.
2018[18]Demonstrated a green building’s positive influence on the environment; energy usage; and the health, well-being, contentment, and productivity of employees as a case study.
2021[31]Applied a socio-technical systems perspective and green ergonomics principles to investigate the relationship between an office environment and dynamic workplace demands.
2022[14]Highlighted design principles and sub-principles that take priority for green ergonomics.
2022[38]Presented a set of metrics to ensure the effective evaluation of sustainable process performance in ergonomics.
2023[39]Reviewed and outlined potential future research directions in the field of ergonomics and human factors related to sustainable development.
2024[40]Examined ergonomics indicators as a key component that combines with sustainability to assess and analyze organizational processes. The analysis was conducted with a hybrid multi-criteria perspective.
2024[41]Evaluated and analyzed the impact of sustainable design and management factors on workplace productivity.
2024[42]Developed environmental assessment criteria tailored for healthcare buildings and also examined the application of green building rating systems in healthcare facilities.
2024[43]Presented more suitable environmental design solutions for children’s healthcare organizations.
This manuscriptPresents a total interpretive structural modeling (TISM) methodology to identify the sustainable criteria that determine the readiness for implementing green ergonomics in healthcare organizations.
Table 2. Identified sustainable readiness factors and their references (Source: Author’s own work).
Table 2. Identified sustainable readiness factors and their references (Source: Author’s own work).
Sl. NoSustainable Readiness FactorsReferences
1Green Buildings[10,11]
2Ergoecology[13]
3Audit working practices/risk assessments[52]
4Design Principles[14]
5ecological resilience[31]
6Professional practice[6]
7Sustainable indoor environments[11]
8Patient safety culture and safety climate[7]
9Natural environment for wellness[17,18]
10Occupational health and safety[7] and Experts’ opinion
Table 3. Respondents’ details.
Table 3. Respondents’ details.
RespondentsTotal Number of Respondents
Hospital administrator6
Hospital manager6
Doctors3
Dietician1
Nurses4
Table 4. IRM for readiness factors of green ergonomics in healthcare organizations (Source: Author’s own work).
Table 4. IRM for readiness factors of green ergonomics in healthcare organizations (Source: Author’s own work).
F1 #F2F3F4F5F6F7F8F9F10
F11110101011
F21110111110
F30010110011
F40111111111
F50000100010
F60000010111
F70000101111
F80000001111
F90000000010
F100000000011
# Refer to Table 2 above.
Table 5. FRM for factors influencing green ergonomics in healthcare organizations (Source: Author’s own work).
Table 5. FRM for factors influencing green ergonomics in healthcare organizations (Source: Author’s own work).
F1 #F2F3F4F5F6F7F8F9F10Driving Power
F1111011 *11 *119
F21110111111 *9
F30010111 *1 *117
F41 *11111111110
F500001000102
F600001 *11 *1116
F700001011115
F800001 *011115
F900000000101
F1000000000112
Dependence33418577108
# Refer to Table 2 above. * Represents transitive links.
Table 6. Interaction matrix.
Table 6. Interaction matrix.
F1 #F2F3F4F5F6F7F8F9F10
F111101011 *11
F21110111111*
F30010111 *1 *11
F41 *111111111
F50000100010
F60000011 *111
F70000101111
F80000001111
F90000000010
F100000000011
# Refer to Table 2 above. * Represents significant transitive links.
Table 7. Cross-impact matrix multiplication applied to classification (MICMAC) ranking for healthcare organizations’ green ergonomics readiness (Source: Author’s own work).
Table 7. Cross-impact matrix multiplication applied to classification (MICMAC) ranking for healthcare organizations’ green ergonomics readiness (Source: Author’s own work).
Sustainable Factor #Driving PowerDependence PowerDriving/DependenceMICMAC Rank
F19332
F29332
F3741.753
F4101101
F5280.256
F6651.24
F7570.7145
F8570.7145
F91100.17
F10280.256
# Refer to Table 2 above.
Disclaimer/Publisher’s Note: The statements, opinions and data contained in all publications are solely those of the individual author(s) and contributor(s) and not of MDPI and/or the editor(s). MDPI and/or the editor(s) disclaim responsibility for any injury to people or property resulting from any ideas, methods, instructions or products referred to in the content.

Share and Cite

MDPI and ACS Style

Thomas, A.; Ma, S.; Rehman, A.U. Innovative Approach to Identify the Readiness Factors to Realize Green Ergonomics in Sustainable Service Organizations. Sustainability 2024, 16, 6160. https://doi.org/10.3390/su16146160

AMA Style

Thomas A, Ma S, Rehman AU. Innovative Approach to Identify the Readiness Factors to Realize Green Ergonomics in Sustainable Service Organizations. Sustainability. 2024; 16(14):6160. https://doi.org/10.3390/su16146160

Chicago/Turabian Style

Thomas, Albi, Suresh Ma, and Ateekh Ur Rehman. 2024. "Innovative Approach to Identify the Readiness Factors to Realize Green Ergonomics in Sustainable Service Organizations" Sustainability 16, no. 14: 6160. https://doi.org/10.3390/su16146160

APA Style

Thomas, A., Ma, S., & Rehman, A. U. (2024). Innovative Approach to Identify the Readiness Factors to Realize Green Ergonomics in Sustainable Service Organizations. Sustainability, 16(14), 6160. https://doi.org/10.3390/su16146160

Note that from the first issue of 2016, this journal uses article numbers instead of page numbers. See further details here.

Article Metrics

Back to TopTop