Effect of Recycled Concrete Aggregate Utilization Ratio on Thermal Properties of Self-Cleaning Lightweight Concrete Facades
Abstract
1. Introduction
| Ref. | Aggregate | Dmax (mm) | w/b | Unit Weight (UW) (kg/m3) | Compressive Strength (CS) (MPa) | Thermal Conductivity Coefficient (TCC) (W/mK) | Highlights | 
|---|---|---|---|---|---|---|---|
| [31] | Waste glass | 14 mm | 0.33–0.55 | 21–46 | 21.8–46.7 | The goal is to create a translucent, air-purifying concrete mixture that contains waste glass aggregate, both fine and coarse, up to 60% of the volume. Three, five, and seven percent of the weight of the cement was utilized as the photocatalyst in TiO2. | |
| [19] | Cenosphere | 300 µm | 0.42 | 1400–2300 | 67–69 | 1.98–0.39 | A separation layer, a white base layer, and a photocatalytic top layer could all be combined to form a photocatalytic coating. TiO2 served as the photocatalyst material. It was found that photocatalytic coating reduces heat gain by 54% by increasing the solar reflectance of LW samples from 0.41 to 0.78. | 
| [9] | Pumice, recycled plastic aggregate | 4 mm | 0.53–0.67 | 2400–1720 | 1.74–0.74 | LW mixtures containing different proportions of recycled plastic aggregate were evaluated on a sample residential building within the scope of the building’s life cycle. It was found that a reduction of up to 15%, 13% and 21% can be achieved in terms of annual energy consumption, carbon emissions and total embodied energy intensity, respectively. | |
| [32] | Expanded clay | - | 0.48 | 1244–1046 | 22.4–14.4 | - | LW experiences a considerable decrease in porosity between 20 °C and 150 °C. The microcracks in lightweight aggregates could be the cause of this increase in porosity. | 
| [33] | Pumice | 40 µm | 0.35–0.40 | 1691–1892 | 22.14–7.9 | It was emphasized that in LW, the resistance to disintegration at high temperatures is generally lower than that of normal-weight concretes, due to the ability of lightweight aggregates to serve as storage for evaporated water. | |
| [34] | RCA | 4.75 mm | 0.53 | RCA increases the void volume of concrete due to its microcracks and porous structure, thus improving its thermal conductivity performance. | |||
| [35] | RCA | 20 mm | 0.4–0.5 | 29.3–52.8 | The CS performance of concrete mixtures does not change significantly when RCA is replaced with up to 25% natural aggregate. | ||
| [36] | River sand, expanded perlite (EP) | 4 mm | 0.28 | 1703- 2267 | 1.8–0.68 | It was found that the TCC of concrete mixtures decreased by 60% as a result of substituting 100% of EP aggregate with natural aggregate. | |
| [1] | Limestone, EP, vermiculite, Scoria, EPS | 9 mm | 0.49 | Facade panels containing different lightweight aggregates were prepared. The mixture that contained the most Scoria aggregate performed the best in terms of thermal characteristics. It was reported that the heat resistance increased by 1.44 in the Scoria mixture compared to the control mixture containing limestone aggregate. In this mixture, a 150% and 2.4-fold reduction was measured in terms of energy consumption and CO2 emissions, respectively. | |||
| [37] | Recycled wood aggregate | - | 0.47, 1 | 3.7–5.6 | 0.2–0.12 | Reductions of up to 99% in TCC values were observed with the use of recycled wood aggregate at different rates instead of limestone aggregate. | |
| [28] | EP RCA | 86.40 μm | 0.6 | 722–552 | 1.5–2 | 0.09–0.12 | It was found that as the percentage of recycled concrete aggregate in foam concrete grows, so does its porosity and maximum pore size. It was found that adding 30% by weight of recycled powder reduced the thermal conductivity of foam concrete by 22%. | 
2. Material and Method
2.1. Materials
2.2. Preparation of Mixtures
2.3. Test Procedure
- L*: Lightness/darkness value (+ lighter, − darker)
- a*: Redness/greenness value (+ redder, − greener)
- b*: Refers to the yellowness/blueness value (+ more yellow, − more blue).
3. Experimental Results and Discussion
3.1. Fresh-State Properties
3.2. High-Temperature Resistance (HTR)

3.3. Superficial Damage and Microstructural Features
3.4. Thermal Conductivity
3.5. Self-Cleaning Feature
4. Conclusions
- The increasing use of recycled concrete aggregate has shown that the UW of lightweight concrete mixtures with self-cleaning properties has increased. It was found that if pumice aggregate was replaced with 50% recycled concrete aggregate, the UW of the mixture increased by 160%. In addition, it was understood that the need for the WRA required to obtain the desired spreading value decreased with the increase in the use and ratio of recycled concrete aggregate.
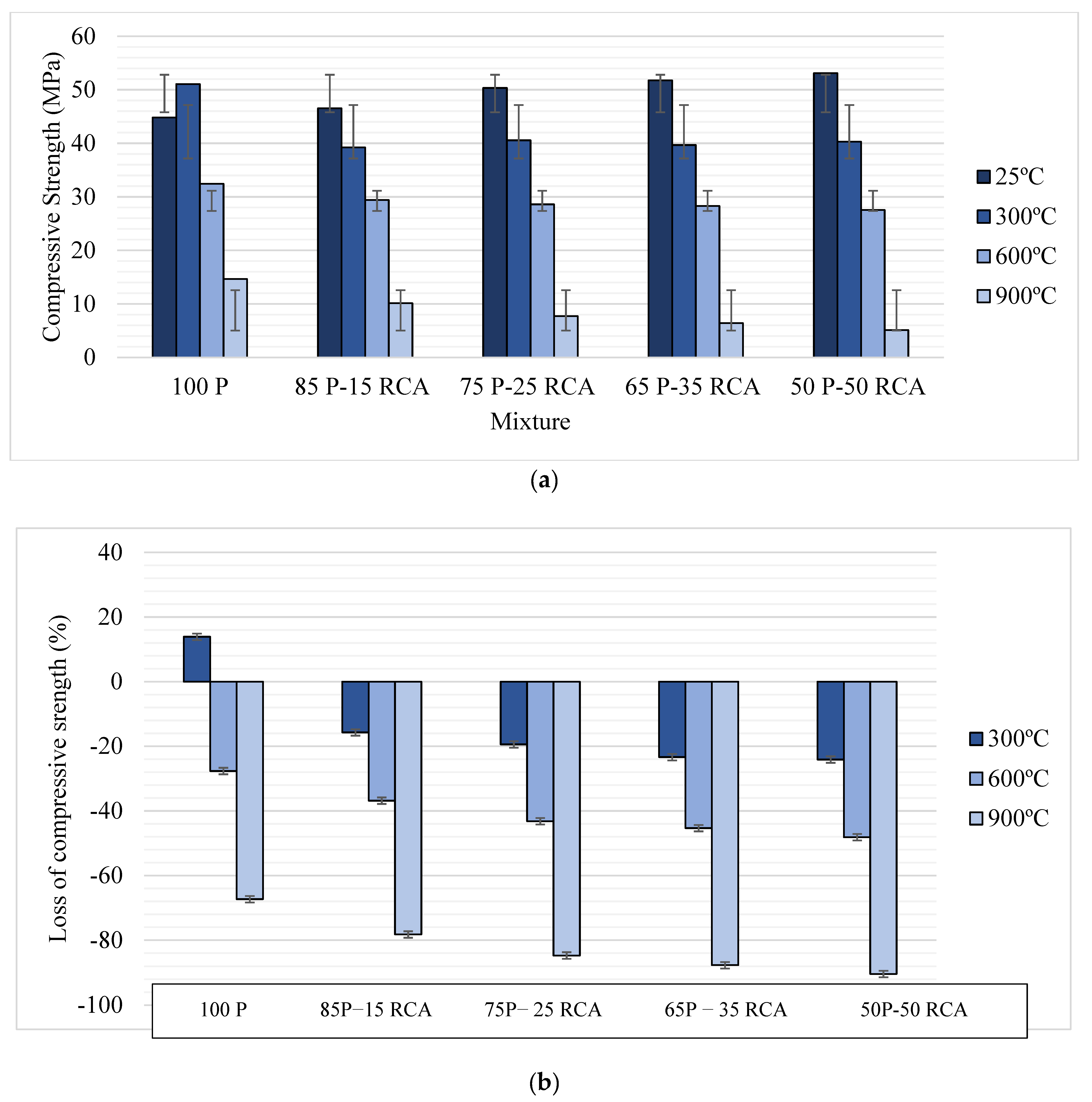
- It was observed that in samples not exposed to high temperatures, compressive strength values increased with the increase in the use and rate of recycled concrete aggregate. It was determined that the compressive strength of the mixtures replaced with 15%, 25%, 35% and 50% recycled concrete aggregate increased by 3%, 12%, 15% and 18%, respectively.
- When samples exposed to high temperatures are examined, the following is found:- ○
- After 300 °C high-temperature exposure, it was observed that the UW values of mixtures containing 100%, 85%, 75%, 65% and 50% pumice decreased by 10%, 9%, 8%, 7% and 6%, respectively. It was determined that this decrease was 18%, 13%, 10%, 12% and 16%, respectively, at 600 °C, and 19%, 17%, 18%, 20% and 23%, respectively, at 900 °C.
- ○
- It was determined that at 300 °C, the compressive strength value of the mixture containing 100% pumice increased by 14%. It was observed that the compressive strength values of mixtures replaced by 15%, 25%, 35% and 50% recycled concrete aggregate decreased by 15%, 19%, 23% and 24%, respectively.
- ○
- It was determined that when the temperature increased to 600 °C, the loss rate in compressive strength varied between 27% and 48%. The highest compressive strength performance was observed in the mixture containing 100% pumice.
- ○
- At 900 °C, decreases of 67%, 78%, 84%, 87% and 90% in compressive strength values were measured in mixtures replaced with 15%, 25%, 35% and 50% recycled concrete aggregate, respectively.
- ○
- Although the compressive strength values of lightweight concrete mixtures were positively affected by the use of recycled concrete aggregate before exposure to high temperature, the opposite was observed with the application of high temperature and the increase in temperature value. It was understood that pumice aggregate is relatively successful in terms of resistance performance under high-temperature effects, although recycled concrete aggregate has higher strength and contains non-hydrated cement grains.
- ○
- It was understood that as the temperature reached 600 °C, the samples turned whitish, and as the temperature increased to 900 °C, they turned greenish. It was observed that the number, width and length of cracks on their surfaces increased depending on the increase in the temperature to which the samples were exposed. It was determined that serious superficial damage occurred in samples exposed to 900 °C. However, samples exposed to a temperature of 900 °C were observed to decompose after being left in air conditions for 24 h. Regardless of the pumice usage rate, no visible change was observed in the aggregate phase of lightweight concrete mixtures at a high temperature.
- ○
- It was determined that the characteristic crystal structures of all hydrated phases, including C-S-H and CH, appear as amorphous structures in the SEM images of lightweight concrete mixtures exposed to 900 °C. After 900 °C, small round-shaped crystals formed instead of C-S-H crystals. It was determined that voids form as a result of separation of cement paste from aggregate in lightweight concrete mixtures exposed to a 900 °C temperature.
- ○
- It was understood that at lower temperatures, the cement paste structure becomes more compact, thanks to the nucleation and filling effect of nT. ITZ voids could not be clearly observed at low temperatures.
 
- When the self-cleaning properties of the mixtures were examined under UV light, it was understood that the largest color change belonged to the 100 P sample, and the sample with the least color removal was the 75 P sample.
Author Contributions
Funding
Institutional Review Board Statement
Informed Consent Statement
Data Availability Statement
Acknowledgments
Conflicts of Interest
References
- Al-Tarbi, S.M.; Al-Amoudi, O.S.B.; Al-Osta, M.A.; Al-Awsh, W.A.; Shameem, M.; Zami, M.S. Development of energy-efficient hollow concrete blocks using perlite, vermiculite, volcanic scoria, and expanded polystyrene. Constr. Build. Mater. 2023, 371, 130723. [Google Scholar] [CrossRef]
- Beytekin, H.E.A.; Sezer, F.S. Calculation of annual energy requirement of existing constructions and improvement suggestions for building envelope: An educational structure example. Eur. J. Sustain. Dev. 2017, 6, 51. [Google Scholar] [CrossRef]
- Aytekin, B.; Mardani-Aghabaglou, A. Sustainable materials: A review of recycled concrete aggregate utilization as pavement material. Transp. Res. Rec. J. Transp. Res. Board 2021, 2676, 468–491. [Google Scholar] [CrossRef]
- Sanyal, A.P.; Mohanty, S.; Sarkar, A. Application of recycled aggregates generated from waste materials towards improvement in acoustical and thermal conductivity of concrete. Mater. Today Proc. 2023. [Google Scholar] [CrossRef]
- Ünal, O.; Uygunoğlu, T.; Yildiz, A. Investigation of properties of low-strength lightweight concrete for thermal insulation. J. Affect. Disord. 2007, 42, 584–590. [Google Scholar] [CrossRef]
- Yüksel, C.; Mardani-Aghabaglou, A.; Beglarigale, A.; Yazıcı, H.; Ramyar, K.; Andiç-Çakır, Ö. Influence of water/powder ratio and powder type on alkali–silica reactivity and transport properties of self-consolidating concrete. Mater. Struct. 2014, 49, 289–299. [Google Scholar] [CrossRef]
- Mardani-Aghabaglou, A.; Beglarigale, A.; Yazıcı, H.; Ramyar, K. Microstructural Analyses of Recycled Aggregate-Bearing Mortar Mixture. ACI Mater. J. 2016, 113, 51689417. [Google Scholar] [CrossRef]
- Shafigh, P.; Muda, Z.C.; Beddu, S.; Zakaria, A.; Almkahal, Z. Thermo-mechanical efficiency of fibre-reinforced structural lightweight aggregate concrete. J. Build. Eng. 2022, 60, 105111. [Google Scholar] [CrossRef]
- Alqahtani, F.K.; Sherif, M.A.; Ghanem, A.M. Green lightweight concrete utilizing sustainable processed recycled plastic aggregates: Technical, economic and environmental assessment. Constr. Build. Mater. 2023, 393, 132027. [Google Scholar] [CrossRef]
- Sadrolodabaee, P.; Hosseini, S.A.; Claramunt, J.; Ardanuy, M.; Haurie, L.; Lacasta, A.M.; de la Fuente, A. Experimental characterization of comfort performance parameters and multi-criteria sustainability assessment of recycled textile-reinforced cement facade cladding. J. Clean. Prod. 2022, 356, 131900. [Google Scholar] [CrossRef]
- Pongsopha, P.; Sukontasukkul, P.; Zhang, H.; Limkatanyu, S. Thermal and acoustic properties of sustainable structural lightweight aggregate rubberized concrete. Results Eng. 2022, 13, 100333. [Google Scholar] [CrossRef]
- Nath, R.K.; Zain, M.; Jamil, M. An environment-friendly solution for indoor air purification by using renewable photocatalysts in concrete: A review. Renew. Sustain. Energy Rev. 2016, 62, 1184–1194. [Google Scholar] [CrossRef]
- Huang, Z.; Maness, P.C.; Blake, D.M.; Wolfrum, E.J.; Smolinski, S.L.; Jacoby, W.A. Bactericidal mode of titanium dioxide photocatalysis. J. Photochem. Photobiol. A Chem. 2000, 130, 163–170. [Google Scholar] [CrossRef]
- Bora, L.V.; Mewada, R.K. Visible/solar light active photocatalysts for organic effluent treatment: Fundamentals, mechanisms and parametric review. Renew. Sustain. Energy Rev. 2017, 76, 1393–1421. [Google Scholar] [CrossRef]
- Maggos, T.; Plassais, A.; Bartzis, J.G.; Vasilakos, C.; Moussiopoulos, N.; Bonafous, L. Photocatalytic degradation of NOx in a pilot street canyon configuration using TiO2-mortar panels. Environ. Monit. Assess. 2007, 136, 35–44. [Google Scholar] [CrossRef] [PubMed]
- Beeldens, A. An environmentally friendly solution for air purification and self cleaning effect: The application of TiO2 as photocatalyst in concrete. In Proceedings of the Transport Research Arena Europe, TRA, Göteborg, Sweden, 12–15 June 2006. [Google Scholar]
- Yasmina, M.; Mourad, K.; Mohammed, S.H.; Khaoula, C. Treatment heterogeneous photocatalysis; factors influencing the photocatalytic degradation by TiO2. Energy Procedia 2014, 50, 559–566. [Google Scholar] [CrossRef]
- Diebold, U. The surface science of titanium dioxide. Surf. Sci. Rep. 2003, 48, 53–229. [Google Scholar] [CrossRef]
- Wu, Y.; Krishnan, P.; Liya, E.Y.; Zhang, M.H. Using lightweight cement composite and photocatalytic coating to reduce cooling energy consumption of buildings. Constr. Build. Mater. 2017, 145, 555–564. [Google Scholar] [CrossRef]
- Chidighikaobi, P.C. Thermal effect on the flexural strength of expanded clay lightweight basalt fiber reinforced concrete. Mater. Today Proc. 2019, 19, 2467–2470. [Google Scholar] [CrossRef]
- Shao, Y.; Parks, A.; Ostertag, C.P. Lightweight concrete façade with multiple air gaps for sustainable and energy-efficient buildings in Singapore. J. Affect. Disord. 2022, 223, 109463. [Google Scholar] [CrossRef]
- Ustaoglu, A.; Kurtoglu, K.; Gencel, O.; Kocyigit, F. Impact of a low thermal conductive lightweight concrete in building: Energy and fuel performance evaluation for different climate region. J. Environ. Manag. 2020, 268, 110732. [Google Scholar] [CrossRef] [PubMed]
- Sezer, A.; Boz, A.; Tanrınıan, N. An Investigation into Strength and Permittivity of Compacted Sand-Clay Mixtures by Partial Replacement of Water with Lignosulfonate; Polish Academy of Sciences, Institute of Physics: Warsaw, Poland, 2016. [Google Scholar]
- Özen, S.; Altun, M.G.; Mardani-Aghabaglou, A.; Ramyar, K. Effect of main and side chain length change of polycarboxylate-ether-based water-reducing admixtures on the fresh state and mechanical properties of cementitious systems. Struct. Concr. 2020, 22, E607–E618. [Google Scholar] [CrossRef]
- Bayqra, S.H.; Mardani-Aghabaglou, A.; Ramyar, K. Physical and mechanical properties of high volume fly ash roller compacted concrete pavement (A laboratory and case study). Constr. Build. Mater. 2021, 314, 125664. [Google Scholar] [CrossRef]
- Spaeth, V.; Tegguer, A.D. Improvement of recycled concrete aggregate properties by polymer treatments. Int. J. Sustain. Built Environ. 2013, 2, 143–152. [Google Scholar] [CrossRef]
- Şahin, H.G.; Biricik, Ö.; Mardani-Aghabaglou, A. Polycarboxylate-based water reducing admixture—Clay compatibility; literature review. J. Polym. Res. 2022, 29, 33. [Google Scholar] [CrossRef]
- Xiao, J.; Hao, L.; Cao, W.; Ye, T. Influence of recycled powder derived from waste concrete on mechanical and thermal properties of foam concrete. J. Build. Eng. 2022, 61, 105203. [Google Scholar] [CrossRef]
- Yang, X.; Jin, C.; Liu, T.; Jiang, J.; Mao, N.; Huang, J.; Wu, Y.; Lu, Z.; Li, J. Effect of brick-based construction and demolition waste on the performance and microstructure of lightweight aggregate concrete. J. Build. Eng. 2023, 78, 107665. [Google Scholar] [CrossRef]
- akıroğlu, E. Titanyum Dioksit Esaslı Fotokatalizör Kullanılarak Toksik Madde Içerikli Atık Suların Detoksifikasyonu. Ph.D. Dissertation, Dokuz Eylül University, İzmir, Turkey, 2011. [Google Scholar]
- Spiesz, P.; Rouvas, S.; Brouwers, H. Utilization of waste glass in translucent and photocatalytic concrete. Constr. Build. Mater. 2016, 128, 436–448. [Google Scholar] [CrossRef]
- Pettmann, M.; Beaucour, A.-L.; Eslami, J.; Tysmans, T.; Aggelis, D.G.; Noumowe, A. A comprehensive study of damage mechanisms in very lightweight aggregates concretes submitted to high temperatures. Constr. Build. Mater. 2023, 404, 133251. [Google Scholar] [CrossRef]
- Dener, M.; Karatas, M.; Mohabbi, M. High temperature resistance of self compacting alkali activated slag/portland cement composite using lightweight aggregate. Constr. Build. Mater. 2021, 290, 123250. [Google Scholar] [CrossRef]
- Guo, Y.; Liu, Y.; Wang, W.; Zhang, Y.; Wang, Z.; Jiang, L. A study on heat transfer performance of recycled aggregate thermal insulation concrete. J. Build. Eng. 2020, 32, 101797. [Google Scholar] [CrossRef]
- Thomas, J.; Thaickavil, N.N.; Wilson, P. Strength and durability of concrete containing recycled concrete aggregates. J. Build. Eng. 2018, 19, 349–365. [Google Scholar] [CrossRef]
- Karaki, A.; Mohammad, M.; Masad, E.; Khraisheh, M. Theoretical and computational modeling of thermal properties of lightweight concrete. Case Stud. Therm. Eng. 2021, 28, 101683. [Google Scholar] [CrossRef]
- Becchio, C.; Corgnati, S.P.; Kindinis, A.; Pagliolico, S. Improving environmental sustainability of concrete products: Investigation on MWC thermal and mechanical properties. Energy Build. 2009, 41, 1127–1134. [Google Scholar] [CrossRef]
- EN 197-1; Cement—Part 1: Composition, Specifications and Conformity Criteria for Common Cements. Europe Standard: Brussels, Belgium, 2011.
- ASTM C131; Standard Test Method for Resistance to Degradation of Small-Size Coarse Aggregate by Abrasion and Impact in the Los Angeles Machine. ASTM International: West Conshohocken, PA, USA, 2006.
- EN 1097-6:2013; Tests for Mechanical and Physical Properties of Aggregates—Part 6: Determination of Particle Density and Water Absorption. BSI Standards Ltd.: Brussels, Belgium, 2013.
- ACI 211.2; Standard Practice for Selecting Proportions for Structural Lightweight Concrete. American Concrete Institute (ACI): Detroit, MI, USA, 2004.
- EN T12350-5; Testing Fresh Concrete-Part 5, Flow Table Test. EN: Brussels, Belgium, 2010.
- EN 12350-6; Testing Fresh Concrete—Part 6: Density. CEN: Brussels, Belgium, 2009.
- EN 12390-7; Testing Hardened Concrete–Part 7: Density of Hardened Concrete. British Standard Institution: London, UK, 2009.
- EN 12390-3; Testing Hardened Concrete–Part 3: Compressive Strength of Test Specimens. British Standard Institution: London, UK, 2009.
- ASTM C518; Standard Test Method for Steady-State Thermal Transmission Properties by Means of the Heat Flow Meter Apparatus. ASTM International: West Conshohocken, PA, USA, 2017.
- ISO 8301; Thermal Insulation-Determination of Steady-State Thermal Resistance and Related Properties-Heat Flow Meter Apparatus. ISO (International Organization for Standardization): Geneva, Switzerland, 1991.
- Semiha, E.R.E.N.; Özenç, A.A.; Atlas, Z.; Salih, C.İ. A Study on the Investigation of Mechanical and Structural Properties of Fabrics Containing PET, Recyclable PET [R-Pet] and Biodegradable PET [Bio-Pet]. Uludağ Univ. Fac. Eng. J. 2023, 28, 835–846. [Google Scholar]
- Remesar, J.C.; Vera, S.; Lopez, M. Assessing and understanding the interaction between mechanical and thermal properties in concrete for developing a structural and insulating material. Constr. Build. Mater. 2017, 132, 353–364. [Google Scholar] [CrossRef]
- Amel, C.L.; Kadri, E.-H.; Sebaibi, Y.; Soualhi, H. Dune sand and pumice impact on mechanical and thermal lightweight concrete properties. Constr. Build. Mater. 2017, 133, 209–218. [Google Scholar] [CrossRef]
- Libre, N.A.; Shekarchi, M.; Mahoutian, M.; Soroushian, P. Mechanical properties of hybrid fiber reinforced lightweight aggregate concrete made with natural pumice. Constr. Build. Mater. 2010, 25, 2458–2464. [Google Scholar] [CrossRef]
- Mohamed, M.R.; Mohamed, H.A. Mechanical strength and corrosion detection of pozzolanic cement. HBRC J. 2013, 9, 103–108. [Google Scholar] [CrossRef]
- Şahin, H.G.; Mardani, A. How does rheological behaviour affect the interlayer-bonding strength of 3DPC mixtures? J. Adhes. Sci. Technol. 2024, 38, 1353–1377. [Google Scholar] [CrossRef]
- El-Diadamony, H.; Amer, A.A.; Sokkary, T.M.; El-Hoseny, S. Hydration and characteristics of metakaolin pozzolanic cement pastes. HBRC J. 2018, 14, 150–158. [Google Scholar] [CrossRef]
- Krishna, A.; Sreekumaran, S.; Kaliyaperumal, S.R.M.; Dixit, S.; Shahare, P.; Bansal, S.; Memoria, M.; Mohan, B.K. Mechanical properties of high-strength micro steel fibre reinforced concrete subjected to high temperatures. Mater. Today Proc. 2023. [Google Scholar] [CrossRef]
- Mardani-Aghabaglou, A.; İlhan, M.; Özen, S. The effect of shrinkage reducing admixture and polypropylene fibers on drying shrinkage behaviour of concrete. Cem.-Wapno-Beton = Cem. Lime Concr. 2019, 24, 227–237. [Google Scholar] [CrossRef]
- Al-Alusi, M.R.M.; Kurdi, N.H.; Al-Hadithi, A.I.; Hammad, A. An experimental investigation of the mechanical characteristics and drying shrinkage of a single-size expanded polystyrene lightweight concrete reinforced with waste plastic fibres. Constr. Build. Mater. 2024, 415, 135048. [Google Scholar] [CrossRef]
- Bao, J.; Zheng, R.; Sun, Y.; Zhang, P.; Cui, Y.; Xue, S.; Song, Q. A state-of-the-art review on high temperature resistance of lightweight aggregate high-strength concrete. J. Build. Eng. 2023, 69, 106267. [Google Scholar] [CrossRef]
- Al-Sibahy, A.; Edwards, R. Thermal behaviour of novel lightweight concrete at ambient and elevated temperatures: Experimental, modelling and parametric studies. Constr. Build. Mater. 2012, 31, 174–187. [Google Scholar] [CrossRef]
- Bakhshi, M.; Dalalbashi, A.; Soheili, H. Energy dissipation capacity of an optimized structural lightweight perlite concrete. Constr. Build. Mater. 2023, 389, 131765. [Google Scholar] [CrossRef]
- Sengul, O.; Azizi, S.; Karaosmanoglu, F.; Tasdemir, M.A. Effect of expanded perlite on the mechanical properties and thermal conductivity of lightweight concrete. Energy Build. 2011, 43, 671–676. [Google Scholar] [CrossRef]
- Kumar, A.; Somani, P.; Sain, A.; Gaur, A. Enhancing thermal behaviour of concrete pavement by incorporating vermiculite. Mater. Today Proc. 2023, 93, 346–356. [Google Scholar] [CrossRef]
- Sahin, H.G.; Akgumus, F.E.; Mardani, A. Effect of Using Nano-TiO2 on the Rheological Properties of Cementitious Systems. Eurasia Proc. Sci. Technol. Eng. Math. 2023, 26, 149–155. [Google Scholar] [CrossRef]
- Chen, J.; Kou, S.C.; Poon, C.S. Hydration and properties of nano-TiO2 blended cement composites. Cem. Concr. Compos. 2012, 34, 642–649. [Google Scholar] [CrossRef]
- Barnes, P.; Bensted, J. Structure and Performance of Cements; CRC Press: Boca Raton, FL, USA, 2002. [Google Scholar]
- Nazari, A.; Riahi, S. The effects of TiO2 nanoparticles on physical, thermal and mechanical properties of concrete using ground granulated blast furnace slag as binder. Mater. Sci. Eng. A 2011, 528, 2085–2092. [Google Scholar] [CrossRef]
- Hossain, K.M.A. Macro- and microstructural investigations on strength and durability of pumice concrete at high temperature. J. Mater. Civ. Eng. 2006, 18, 527–536. [Google Scholar] [CrossRef]
- Ashraf, M.; Khan, A.N.; Ali, Q.; Mirza, J.; Goyal, A.; Anwar, A. Physico-chemical, morphological and thermal analysis for the combined pozzolanic activities of minerals additives. Constr. Build. Mater. 2009, 23, 2207–2213. [Google Scholar] [CrossRef]
- Harmathy, T.Z.; Allen, L.W. Thermal properties of selected masonry unit concretes. ACI J. 1973, 70, 132–142. [Google Scholar]
- Uygunoğlu, T.; Topçu, I.B. Thermal expansion of self-consolidating normal and lightweight aggregate concrete at elevated temperature. Constr. Build. Mater. 2009, 23, 3063–3069. [Google Scholar] [CrossRef]
- Kong, F.; Evans, R.H. Handbook of Structural Concrete; McGraw-Hill Companies: New York, NY, USA, 1983. [Google Scholar]
- Abeles, P.W.; Bardhan-Roy, B.K. Prestressed Concrete Designer’s Handbook; CRC Press: Boca Raton, FL, USA, 2014. [Google Scholar]
- Sancak, E.; Sari, Y.D.; Simsek, O. Effects of elevated temperature on compressive strength and weight loss of the light-weight concrete with silica fume and superplasticizer. Cem. Concr. Compos. 2008, 30, 715–721. [Google Scholar] [CrossRef]
- Kumar, S.; Gupta, R.C.; Shrivastava, S. Effective utilisation of quartz sandstone mining wastes: A technical note on its thermal resistance. J. Clean. Prod. 2017, 140, 1129–1135. [Google Scholar] [CrossRef]
- Thevega, T.; Jayasinghe, J.; Robert, D.; Bandara, C.; Kandare, E.; Setunge, S. Fire compliance of construction materials for building claddings: A critical review. Constr. Build. Mater. 2022, 361, 129582. [Google Scholar] [CrossRef]
- Boesch, M.E.; Hellweg, S. Identifying improvement potentials in cement production with life cycle assessment. Environ. Sci. Technol. 2010, 44, 9143–9149. [Google Scholar] [CrossRef]
- Mendes, A.; Sanjayan, J.G.; Collins, F. Long-term progressive deterioration following fire exposure of OPC versus slag blended cement pastes. Mater. Struct. 2008, 42, 95–101. [Google Scholar] [CrossRef]
- Aydın, S. Development of a high-temperature-resistant mortar by using slag and pumice. Fire Saf. J. 2008, 43, 610–617. [Google Scholar] [CrossRef]
- Turker, P.; Erdogdu, K.; Erdogan, B. Investigation of fire-exposed mortars with different types of aggregates. Cem. Concr. World 2001, 6, 52–67. [Google Scholar]
- Chen, P.; Shi, Z.; Cao, S.; Liu, P.; Rong, X.; Wang, L. Mechanical properties of alkali-activated slag lightweight aggregate concrete. J. Clean. Prod. 2022, 359, 132136. [Google Scholar] [CrossRef]
- Bayraktar, O.Y.; Kaplan, G.; Gencel, O.; Benli, A.; Sutcu, M. Physico-mechanical, durability and thermal properties of basalt fiber reinforced foamed concrete containing waste marble powder and slag. Constr. Build. Mater. 2021, 288, 123128. [Google Scholar] [CrossRef]
- Beytekin, H.E.; Kaya, Y.; Mardani, A.; Sezer, F.Ş. Effect of fiber type, size, and utilization rate on mechanical and thermal properties of lightweight concrete facade panels. Struct. Concr. 2024. [Google Scholar] [CrossRef]
- Ren, Z.; Liu, Y.; Yuan, L.; Luan, C.; Wang, J.; Cheng, X.; Zhou, Z. Optimizing the content of nano-SiO2, nano-TiO2 and nano-CaCO3 in Portland cement paste by response surface methodology. J. Build. Eng. 2021, 35, 102073. [Google Scholar] [CrossRef]



















| Material | (%) | Physical | ||
|---|---|---|---|---|
| SiO2 | 18.86 | Specific gravity | 3.15 | |
| CaO | 62.70 | Mechanical | Day | |
| Fe2O3 | 3.09 | Compressive Strength (MPa) | 1 | 14.7 | 
| Al2O3 | 5.71 | 2 | 26.80 | |
| SO3 | 2.39 | 7 | 49.80 | |
| Na2O + 0.658 K2O | 0.92 | 28 | 58.5 | |
| Cl- | 0.01 | Fineness | ||
| MgO | 1.16 | Residual on 0.045 mm sieve (%) | 7.6 | |
| Loss on ignition (LOI) | 3.20 | Blaine-specific surface (cm2/g) | 3530 | |
| Free CaO | 1.26 | |||
| Insoluble residue | 0.32 | |||
| Type | Specific Weight | Water Absorption Capacity (%) | Los Angeles Attrition Loss (%) | 
|---|---|---|---|
| 0–2 mm Pumice | 1.1 | 44 | 36 | 
| 0–2 mm RCA | 2.4 | 12 | 26 | 
| Value | Units | 28 nm nT | 
|---|---|---|
| Purity | % | >99 | 
| Size | nm | 28 | 
| Specific Surface Area | m2/g | >60 | 
| Loss of Weight in Drying | % | 2 max. | 
| Loss of Weight in Ignition | % | 5 max. | 
| pH | - | 5.5–7.0 | 
| Color | - | White | 
| Density (g/cm3) | Solids Content (%) | pH Value | Chloride Content (%) | Alkaline Ratio, Na2O (%) | 
|---|---|---|---|---|
| 1.023–1.063 | 32 | 5.8 | <0.1 | <10 | 
| Mixtures | Cement (kg/m3) | Aggregate (kg/m3) | nT | WRA (kg/m3) | UW | |
|---|---|---|---|---|---|---|
| Pumice | RCA | |||||
| 100 P | 545 | 605 | - | 5.45 | 5.50 | 1420 | 
| 85 P-15 RCA | 515 | 224 | 5.20 | 1488 | ||
| 75 P-25 RCA | 454 | 374 | 5.01 | 1568 | ||
| 65 P-35 RCA | 394 | 523 | 4.95 | 1648 | ||
| 50 P-50 RCA | 303 | 748 | 4.90 | 1763 | ||
| Mixtures | TCC (W/Mk) | 
|---|---|
| 100 P | 0.39 | 
| 85 P-15RCA | 0.41 | 
| 75 P-25RCA | 0.47 | 
| 65 P-35RCA | 0.50 | 
| 50 P-50RCA | 0.53 | 
| Sample | DL* | Da* | Db* | ∆E | 
|---|---|---|---|---|
| 100 P | 23.282 | −16.741 | 9.108 | 30.088 | 
| 75 P-15 RCA | 16.046 | −9.256 | 12.817 | 22.526 | 
| 50 P-50 RCA | 22.463 | −14.504 | 19.539 | 33.116 | 
| Disclaimer/Publisher’s Note: The statements, opinions and data contained in all publications are solely those of the individual author(s) and contributor(s) and not of MDPI and/or the editor(s). MDPI and/or the editor(s) disclaim responsibility for any injury to people or property resulting from any ideas, methods, instructions or products referred to in the content. | 
© 2024 by the authors. Licensee MDPI, Basel, Switzerland. This article is an open access article distributed under the terms and conditions of the Creative Commons Attribution (CC BY) license (https://creativecommons.org/licenses/by/4.0/).
Share and Cite
Beytekin, H.E.; Şahin, H.G.; Mardani, A. Effect of Recycled Concrete Aggregate Utilization Ratio on Thermal Properties of Self-Cleaning Lightweight Concrete Facades. Sustainability 2024, 16, 6056. https://doi.org/10.3390/su16146056
Beytekin HE, Şahin HG, Mardani A. Effect of Recycled Concrete Aggregate Utilization Ratio on Thermal Properties of Self-Cleaning Lightweight Concrete Facades. Sustainability. 2024; 16(14):6056. https://doi.org/10.3390/su16146056
Chicago/Turabian StyleBeytekin, Hatice Elif, Hatice Gizem Şahin, and Ali Mardani. 2024. "Effect of Recycled Concrete Aggregate Utilization Ratio on Thermal Properties of Self-Cleaning Lightweight Concrete Facades" Sustainability 16, no. 14: 6056. https://doi.org/10.3390/su16146056
APA StyleBeytekin, H. E., Şahin, H. G., & Mardani, A. (2024). Effect of Recycled Concrete Aggregate Utilization Ratio on Thermal Properties of Self-Cleaning Lightweight Concrete Facades. Sustainability, 16(14), 6056. https://doi.org/10.3390/su16146056
 
        


 
       