Post-Fire Mechanical Degradation of Lightweight Concretes and Maintenance Strategies with Steel Fibers and Nano-Silica
Abstract
1. Introduction
2. Experimental Test and Methods
2.1. Raw Material Specifications
2.2. Preparation of Test Samples
2.3. Heat Treatment
3. Results and Discussion
3.1. Compressive Strength
3.2. Tensile Strength
3.3. Modulus of Elasticity
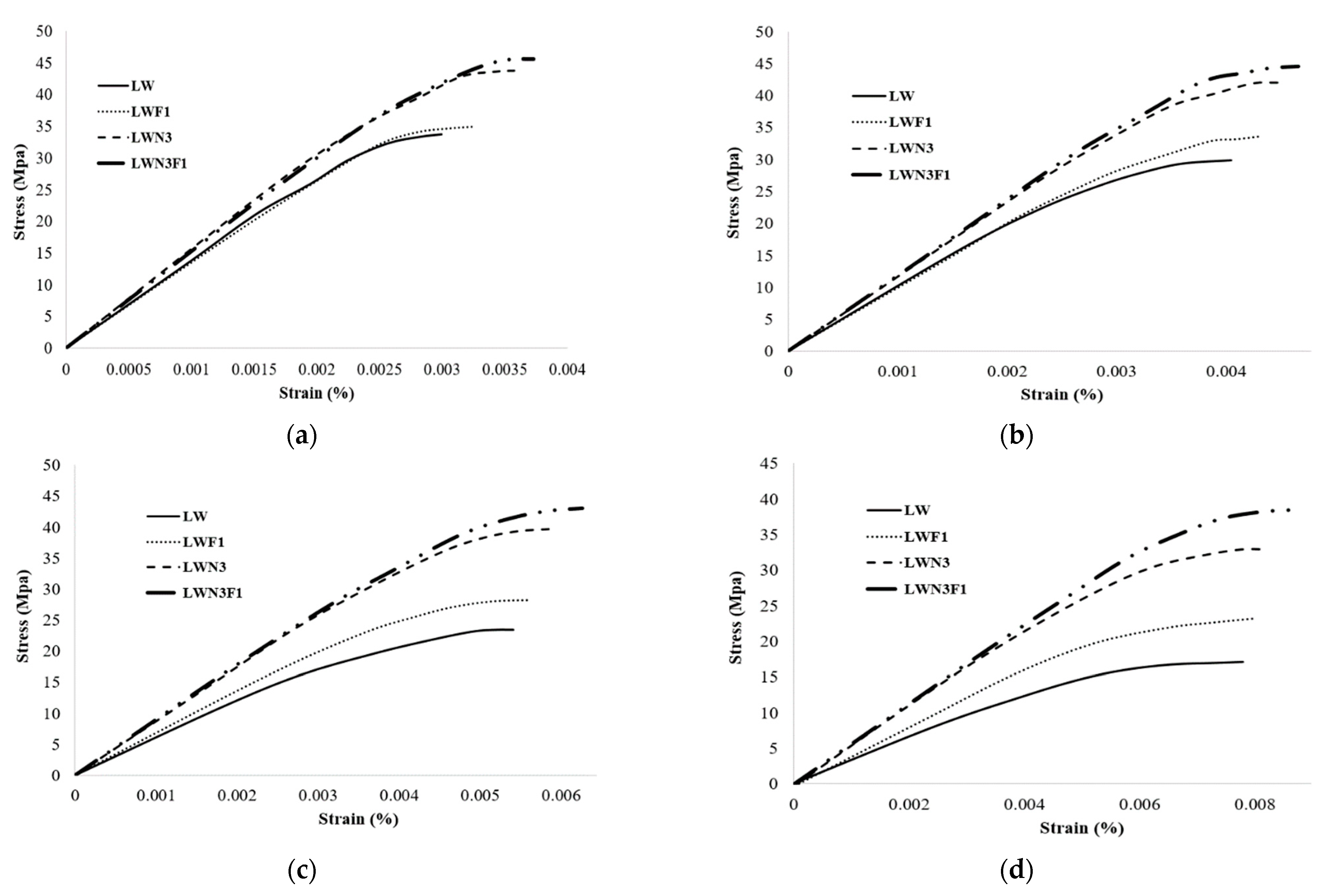
3.4. Stress–Strain Curves
4. Conclusions
- 1
- As the temperature was elevated, both the compressive and tensile strengths decreased in a nonlinear manner for all of the samples. However, a much greater strength loss was observed for LWC, which is not preferable in the construction industry despite the advantages that smaller self-weight can gift to structures. The strength reduction was slower in SFRLWC and NSLWC due to the contribution of nano-silica and steel fiber to the strength of the samples at high temperatures.
- 2
- Results indicate that additives such as steel fiber and nano-silica can enhance the strength of LWC while it is subjected to higher temperatures. The effectiveness of this improved performance in the tensile capacity can be attributed to the steel fibers because of their ability to bridge between cracks and reduce crack propagation. Meanwhile, nano-silica affects the compressive strength and the modulus of elasticity considerably better, due to its effect on the hydration process and the concrete microstructure. When using both steel fiber and nano-silica, results indicate that all the mechanical properties studied here were improved significantly.
- 3
- In the samples with fibers or nano-silica, cracking, crack propagation and local damage were smaller than in the other samples. At the same time, crack dispersion and uniformity improved. The steel fibers successfully prevented crack growth in the concrete samples subjected to high heat and performed better than nano-silica in this regard.
- 4
- According to the stress–strain curves obtained for the samples, the peak strain increased with an increase in the steel fibers. Moreover, the replacement of steel fibers with nano-silica further increased peak stress and strain. The best condition corresponded to 1% fibers and 3% nano-silica. In all the samples, the rise in temperature flattened the stress–strain curve. It is assumed that, since the modulus of elasticity was calculated at one-fourth of the peak stress, the micro-cracks were not yet developed and, consequently, the steel fiber effect was relatively small. Therefore, the elevated temperature has a significant effect on SFLWC, even in larger amount of steel fiber volume fraction.
Author Contributions
Funding
Institutional Review Board Statement
Informed Consent Statement
Data Availability Statement
Acknowledgments
Conflicts of Interest
References
- ACI213R-14: Guide for Structural Lightweight-Aggregate Concrete; ACI: Miami, FL, USA, 2014.
- Zhou, J.; Wang, L. Repair of Fire-Damaged Reinforced Concrete Members with Axial Load: A Review. Sustainability 2019, 11, 963. [Google Scholar] [CrossRef]
- Szép, J.; Habashneh, M.; Lógó, J.; Rad, M.M. Reliability Assessment of Reinforced Concrete Beams under Elevated Temperatures: A Probabilistic Approach Using Finite Element and Physical Models. Sustainability 2023, 15, 6077. [Google Scholar] [CrossRef]
- Ganesan, H.; Sachdeva, A.; Petrounias, P.; Lampropoulou, P.; Sharma, P.K.; Kumar, A. Impact of Fine Slag Aggregates on the Final Durability of Coal Bottom Ash to Produce Sustainable Concrete. Sustainability 2023, 15, 6076. [Google Scholar] [CrossRef]
- Bideci, S.; Yılmaz, H.; Gencel, O.; Bideci, A.; Çomak, B.; Nodehi, M.; Ozbakkaloglu, T. Fiber-Reinforced Lightweight Calcium Aluminate Cement-Based Concrete: Effect of Exposure to Elevated Temperatures. Sustainability 2023, 15, 4722. [Google Scholar] [CrossRef]
- Dabbaghi, F.; Dehestani, M.; Yousefpour, H.; Rasekh, H.; Navaratnam, S. Residual compressive stress–strain relationship of lightweight aggregate concrete after exposure to elevated temperatures. Constr. Build. Mater. 2021, 298, 123890. [Google Scholar] [CrossRef]
- Tanyildizi, H.; Coşkun, A. Performance of lightweight concrete with silica fume after high temperature. Constr. Build. Mater. 2008, 22, 2124–2129. [Google Scholar] [CrossRef]
- Wang, H.; Wei, M.; Wu, Y.; Huang, J.; Chen, H.; Cheng, B. Mechanical Behavior of Steel Fiber-Reinforced Lightweight Concrete Exposed to High Temperatures. Appl. Sci. 2020, 11, 116. [Google Scholar] [CrossRef]
- Ismail, K.M.; Fathi, M.S.; Manaf, N. Study of Lightweight Concrete Behaviour; Universiti Teknologi Malaysia: Johor Bahru, Malaysia, 2004. [Google Scholar]
- Van Chanh, N. Steel Fiber Reinforced Concrete. In Faculty of Civil Engineering Ho Chi Minh City University of Technology; Seminar Materi-al. 2004. Available online: https://www.jsce.or.jp/committee/concrete/e/newsletter/newsletter05/8-Vietnam%20Joint%20Seminar(CHANH).pdf (accessed on 29 March 2022).
- Song, P.S.; Hwang, S. Mechanical properties of high-strength steel fiber-reinforced concrete. Constr. Build. Mater. 2004, 18, 669–673. [Google Scholar] [CrossRef]
- Dvorkin, L.; Zhitkovsky, V.; Ribakov, Y. A method for optimal design of steel fiber reinforced concrete composition. Mater. Des. 2011, 32, 3254–3262. [Google Scholar] [CrossRef]
- Abbass, W.; Khan, M.I.; Mourad, S. Evaluation of mechanical properties of steel fiber reinforced concrete with different strengths of concrete. Constr. Build. Mater. 2018, 168, 556–569. [Google Scholar] [CrossRef]
- Guler, S.; Akbulut, Z.F. Residual strength and toughness properties of 3D, 4D and 5D steel fiber-reinforced concrete exposed to high temperatures. Constr. Build. Mater. 2022, 327, 126945. [Google Scholar] [CrossRef]
- Wang, H.; Wang, L. Experimental study on static and dynamic mechanical properties of steel fiber reinforced lightweight aggregate concrete. Constr. Build. Mater. 2013, 38, 1146–1151. [Google Scholar] [CrossRef]
- Grabois, T.M.; Cordeiro, G.C.; Filho, R.D.T. Fresh and hardened-state properties of self-compacting lightweight concrete reinforced with steel fibers. Constr. Build. Mater. 2016, 104, 284–292. [Google Scholar] [CrossRef]
- Balendran, R.; Zhou, F.; Nadeem, A.; Leung, A. Influence of steel fibres on strength and ductility of normal and lightweight high strength concrete. Build. Environ. 2002, 37, 1361–1367. [Google Scholar] [CrossRef]
- Almasabha, G.; Murad, Y.; Alghossoon, A.; Saleh, E.; Tarawneh, A. Sustainability of Using Steel Fibers in Reinforced Concrete Deep Beams without Stirrups. Sustainability 2023, 15, 4721. [Google Scholar] [CrossRef]
- Huang, R.; Li, S.; Meng, L.; Jiang, D.; Li, P. Coupled Effect of Temperature and Strain Rate on Mechanical Properties of Steel Fiber-Reinforced Concrete. Int. J. Concr. Struct. Mater. 2020, 14, 48. [Google Scholar] [CrossRef]
- Kalpana, M.; Tayu, A. Light weight steel fibre reinforced concrete: A review. Mater. Today Proc. 2020, 22, 884–886. [Google Scholar] [CrossRef]
- Balapour, M.; Joshaghani, A.; Althoey, F. Nano-SiO2 contribution to mechanical, durability, fresh and microstructural characteristics of concrete: A review. Constr. Build. Mater. 2018, 181, 27–41. [Google Scholar] [CrossRef]
- Nazari, A.; Riahi, S. Microstructural, thermal, physical and mechanical behavior of the self compacting concrete containing SiO2 nanoparticles. Mater. Sci. Eng. A 2010, 527, 7663–7672. [Google Scholar] [CrossRef]
- Beigi, M.H.; Berenjian, J.; Omran, O.L.; Nik, A.S.; Nikbin, I.M. An experimental survey on combined effects of fibers and nanosilica on the mechanical, rheological, and durability properties of self-compacting concrete. Mater. Des. 2013, 50, 1019–1029. [Google Scholar] [CrossRef]
- Yu, R.; Spiesz, P.; Brouwers, H.J.H. Effect of nano-silica on the hydration and microstructure development of Ultra-High Performance Concrete (UHPC) with a low binder amount. Constr. Build. Mater. 2014, 65, 140–150. [Google Scholar] [CrossRef]
- Mohamed, A.M. Influence of nano materials on flexural behavior and compressive strength of concrete. HBRC J. 2016, 12, 212–225. [Google Scholar] [CrossRef]
- Wang, X.; Huang, Y.; Wu, G.; Fang, C.; Li, D.; Han, N.; Xing, F. Effect of nano-SiO2 on strength, shrinkage and cracking sensitivity of lightweight aggregate concrete. Constr. Build. Mater. 2018, 175, 115–125. [Google Scholar] [CrossRef]
- Tobbala, D.E.; Rashed, A.S.; Tayeh, B.A.; Ahmed, T.I. Performance and microstructure analysis of high-strength concrete incorporated with nanoparticles subjected to high temperatures and actual fires. Arch. Civ. Mech. Eng. 2022, 22, 1–15. [Google Scholar] [CrossRef]
- Leca Provider Company. Available online: https://leca.asia/ (accessed on 29 March 2022).
- ASTMC330/C330M; Standard Specification for Lightweight Aggregates for Structural Concrete. ASTM International: West Conshohocken, PA, USA, 2014.
- ASTMC33; Standard Specification for Concrete Aggregates. ASTM International: West Conshohocken, PA, USA, 2018.
- ASTMC469; Standard Test Method for Static Modulus of Elasticity and Poisson’s Ratio of Concrete in Compression. ASTM International: West Conshohocken, PA, USA, 2014.
- Zeng, J.-J.; Wang, J.-S.; Ouyang, Y.; Zhuge, Y.; Liao, J.; Long, Y.-L.; Zhou, J.-K. Tri-axial compressive behavior of expansive concrete and steel fiber-reinforced expansive concrete. J. Build. Eng. 2023, 68, 106026. [Google Scholar] [CrossRef]
- Voutetaki, M.E.; Naoum, M.C.; Papadopoulos, N.A.; Chalioris, C.E. Cracking Diagnosis in Fiber-Reinforced Concrete with Synthetic Fibers Using Piezoelectric Transducers. Fibers 2022, 10, 5. [Google Scholar] [CrossRef]
- Smarzewski, P. Study of Toughness and Macro/Micro-Crack Development of Fibre-Reinforced Ultra-High Performance Concrete After Exposure to Elevated Temperature. Materials 2019, 12, 1210. [Google Scholar] [CrossRef]

















| Material Type | Maximum Size mm | Density (Compact) kg/m3 | Density (Loose) kg/m3 | Water Absorption % |
|---|---|---|---|---|
| LECA | 12 | 700 | 650 | 6.9 |
| Sand | 4.75 | 2630 | - | 1.3 |
| Shape | Cross-Sectional shape | Length (mm) | Diameter (mm) | L/D | Tensile Strength (MPa) | Density (Kg/m3) |
|---|---|---|---|---|---|---|
| Hooked | Circular | 50 | 0.8 | 62.5 | 1200 | 7850 |
| Concrete Type | Cement (kg/m3) | Coarse Aggregate (kg/m3) | Fine Aggregate (kg/m3) | W/C % | Super Plasticizer |
Target (MPa) | Specific Weight (kg/m3) |
|---|---|---|---|---|---|---|---|
| LWC | 450 | 350 | 850 | 0.38 | 2% | 32 | 1910 |
| Design Group | Specimen | Steel Fibers (%) (Volumetric Fraction) | Nano-Silica (%) (of Cement Weight) |
|---|---|---|---|
| First group (LWC) | LWC | - | - |
| Second group (SFRLWC) | LWF1 | 1 | - |
| LWF1.5 | 1.5 | - | |
| LWF2 | 2 | - | |
| Third group (NSLWC) | LWN1 | - | 1 |
| LWN3 | - | 3 | |
| LWN5 | - | 5 | |
| Fourth group (ComboSFNSLWC) | LWN3F1 | 1 | 3 |
| Specimen | 25 °C | 200 °C | 400 °C | 600 °C |
|---|---|---|---|---|
| LWC | 33.1 | 30.0 | 22.8 | 17.6 |
| LWF1 | 34.9 | 33.0 | 28.5 | 22.0 |
| LWF1.5 | 34.1 | 32.4 | 28.0 | 22.7 |
| LWF2 | 33.8 | 32.2 | 27.8 | 22.5 |
| LWN1 | 36.6 | 34.3 | 32.4 | 24.4 |
| LWN3 | 43.8 | 42.2 | 40.1 | 32.4 |
| LWN5 | 41.2 | 39.1 | 34.7 | 28.3 |
| LWN3F1 | 46.0 | 44.4 | 43.1 | 37.9 |
| Specimen | 25 °C | 200 °C | 400 °C | 600 °C |
|---|---|---|---|---|
| LWC | 3.0 | 2.6 | 2.3 | 1.4 |
| LWF1 | 4.5 | 4.2 | 3.4 | 3.2 |
| LWF1.5 | 5.3 | 5.5 | 4.6 | 3.8 |
| LWF2 | 5.9 | 5.7 | 5.4 | 4.5 |
| LWN1 | 3.4 | 3.2 | 2.7 | 2.4 |
| LWN3 | 4.0 | 3.8 | 3.4 | 2.7 |
| LWN5 | 3.8 | 3. 6 | 3.2 | 2.4 |
| LWN3F1 | 5.1 | 4.9 | 4.6 | 4.0 |
| Specimen | 25 °C | 200 °C | 400 °C | 600 °C |
|---|---|---|---|---|
| LWC | 14.7 | 10.0 | 6.1 | 3.5 |
| LWF1 | 15.1 | 11.1 | 7.1 | 4.0 |
| LWN3 | 15.5 | 12.0 | 8.9 | 5.4 |
| LWN3F1 | 16.3 | 12.7 | 9.1 | 5.7 |
Disclaimer/Publisher’s Note: The statements, opinions and data contained in all publications are solely those of the individual author(s) and contributor(s) and not of MDPI and/or the editor(s). MDPI and/or the editor(s) disclaim responsibility for any injury to people or property resulting from any ideas, methods, instructions or products referred to in the content. |
© 2023 by the authors. Licensee MDPI, Basel, Switzerland. This article is an open access article distributed under the terms and conditions of the Creative Commons Attribution (CC BY) license (https://creativecommons.org/licenses/by/4.0/).
Share and Cite
Mashshay, A.F.; Hashemi, S.K.; Tavakoli, H. Post-Fire Mechanical Degradation of Lightweight Concretes and Maintenance Strategies with Steel Fibers and Nano-Silica. Sustainability 2023, 15, 7463. https://doi.org/10.3390/su15097463
Mashshay AF, Hashemi SK, Tavakoli H. Post-Fire Mechanical Degradation of Lightweight Concretes and Maintenance Strategies with Steel Fibers and Nano-Silica. Sustainability. 2023; 15(9):7463. https://doi.org/10.3390/su15097463
Chicago/Turabian StyleMashshay, Alaa Fahad, S. Komeil Hashemi, and Hamidreza Tavakoli. 2023. "Post-Fire Mechanical Degradation of Lightweight Concretes and Maintenance Strategies with Steel Fibers and Nano-Silica" Sustainability 15, no. 9: 7463. https://doi.org/10.3390/su15097463
APA StyleMashshay, A. F., Hashemi, S. K., & Tavakoli, H. (2023). Post-Fire Mechanical Degradation of Lightweight Concretes and Maintenance Strategies with Steel Fibers and Nano-Silica. Sustainability, 15(9), 7463. https://doi.org/10.3390/su15097463

