Assessment of Biostimulant Derived from Moringa Leaf Extract on Growth, Physiology, Yield, and Quality of Green Chili Pepper
Abstract
1. Introduction
2. Materials and Methods
2.1. Experimental Site
2.2. Experimental Design
2.3. MLE Preparation
2.4. Experimental Procedures
2.5. Measurement of Growth, Physiological, and Yield Traits
2.6. Determination of Fruit Physical Quality
2.7. Determination of Fruit Chemical Quality
2.8. Statistical Analysis
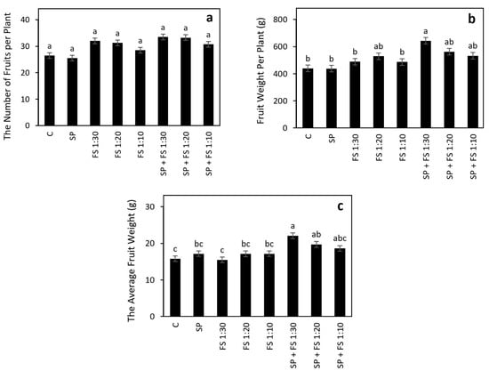
3. Results
4. Discussion
5. Conclusions
Author Contributions
Funding
Institutional Review Board Statement
Informed Consent Statement
Data Availability Statement
Acknowledgments
Conflicts of Interest
References
- Hassan, S.M.; Ashour, M.; Soliman, A.A.F.; Hassanien, H.A.; Alsanie, W.F.; Gaber, A.; Elshobary, M.E. The potential of a new commercial seaweed extract in stimulating morpho-agronomic and bioactive properties of Eruca vesicaria (L.) Cav. Sustainability 2021, 13, 4485. [Google Scholar] [CrossRef]
- Bakpa, E.P.; Zhang, J.; Xie, J.; Ma, Y.; Han, K.; Chang, Y. Storage stability of nutritional qualities, enzyme activities, and volatile compounds of “Hangjiao No. 2” chili pepper treated with different concentrations of 1-methyl cyclopropene. Front. Plant Sci. 2022, 13, 838916. [Google Scholar] [CrossRef] [PubMed]
- Romano, D.; La Fornara, G.; Tribulato, A.; Toscano, S. Can moringa leaf spray treatment increase the nutraceutical properties of radish baby leaf? Horticulturae 2022, 8, 671. [Google Scholar] [CrossRef]
- Szparaga, A.; Kuboń, M.; Kocira, S.; Czerwińska, E.; Pawłowska, A.; Hara, P.; Kobus, Z.; Kwaśniewski, D. Towards sustainable agriculture—Agronomic and economic effects of biostimulant use in common bean cultivation. Sustainability 2019, 11, 4575. [Google Scholar] [CrossRef]
- Soldi, A.; Aparicio Meza, M.J.; Guareschi, M.; Donati, M.; Insfrán Ortiz, A. Sustainability assessment of agricultural systems in Paraguay: A comparative study using fao’s safa framework. Sustainability 2019, 11, 3745. [Google Scholar] [CrossRef]
- Melo, P.; Abreu, C.; Bahcevandziev, K.; Araujo, G.; Pereira, L. Biostimulant effect of marine macroalgae bioextract on pepper grown in greenhouse. Appl. Sci. 2020, 10, 4052. [Google Scholar] [CrossRef]
- Findura, P.; Kocira, S.; Hara, P.; Pawłowska, A.; Szparaga, A.; Kangalov, P. Extracts from Artemisia vulgaris L. in potato cultivation—Preliminary research on biostimulating effect. Agriculture 2020, 10, 356. [Google Scholar] [CrossRef]
- Raza, Q.-U.-A.; Bashir, M.A.; Rehim, A.; Ejaz, R.; Raza, H.M.A.; Shahzad, U.; Ahmed, F.; Geng, Y. Biostimulants induce positive changes in the radish morpho-physiology and yield. Front. Plant Sci. 2022, 13, 950393. [Google Scholar] [CrossRef]
- Basra, S.M.A.; Lovatt, C.J. Exogenous applications of moringa leaf extract and cytokinins improve plant growth, yield, and fruit quality of cherry tomato. HortTechnology 2016, 26, 327–337. [Google Scholar] [CrossRef]
- Yakhin, O.I.; Lubyanov, A.A.; Yakhin, I.A.; Brown, P.H. Biostimulants in plant science: A global perspective. Front. Plant Sci. 2017, 7, 2049. [Google Scholar] [CrossRef]
- Abd El-Mageed, T.A.; Semida, W.M.; Rady, M.M. Moringa leaf extract as biostimulant improves water use efficiency, physio-biochemical attributes of squash plants under deficit irrigation. Agric. Water Manag. 2017, 193, 46–54. [Google Scholar] [CrossRef]
- Mashamaite, C.V.; Ngcobo, B.L.; Manyevere, A.; Bertling, I.; Fawole, O.A. Assessing the usefulness of Moringa oleifera leaf extract as a biostimulant to supplement synthetic fertilizers: A review. Plants 2022, 11, 2214. [Google Scholar] [CrossRef] [PubMed]
- Bhattacharjee, M. Assessment of growth stimulating property of moringa leaf extract (MLE) using Vicia faba as test plant. Eco. Env. Cons. 2021, 27, S232–S236. [Google Scholar]
- Tahir, N.A.-r.; Lateef, D.D.; Mustafa, K.M.; Rasul, K.S. Under natural field conditions, exogenous application of moringa organ water extract enhanced the growth- and yield-related traits of barley accessions. Agriculture 2022, 12, 1502. [Google Scholar] [CrossRef]
- Afzal, I.; Imran, S.; Javed, T.; Basra, S.M.A. Evaluating the integrative response of moringa leaf extract with synthetic growth promoting substances in maize under early spring conditions. S. Afr. J. Bot. 2020, 132, 378–387. [Google Scholar] [CrossRef]
- Hala, H.A.E.-N.; Nabila, A.E. Effect of Moringa oleifera leaf extract (MLE) on pepper seed germination, seedlings improvement, growth, fruit yield and its quality. Middle East J. Agric. Res. 2017, 6, 448–463. [Google Scholar]
- García-Gaytán, V.; Gómez-Merino, F.C.; Trejo-Téllez, L.I.; Baca-Castillo, G.A.; García-Morales, S. The chilhuacle chili (Capsicum annuum L.) in Mexico: Description of the variety, its cultivation, and uses. Int. J. Agron. 2017, 2017, 5641680. [Google Scholar] [CrossRef]
- FAOSTAT. Food and Agriculture Data. Available online: http://www.fao.org/faostat (accessed on 20 December 2022).
- Funk, P.A.; Walker, S.J. Evaluation of five green chile cultivars utilizing five different harvest mechanisms. Appl. Eng. Agric. 2010, 26, 955–964. [Google Scholar] [CrossRef]
- Panigrahi, J.; Gheewala, B.; Patel, M.; Patel, N.; Gantait, S. Gibberellic acid coating: A novel approach to expand the shelf-life in green chilli (Capsicum annuum L.). Sci. Hortic. 2017, 225, 581–588. [Google Scholar] [CrossRef]
- Yasmeen, A.; Nouman, W.; Basra, S.M.A.; Wahid, A.; Hafeez-ur-Rehman; Hussain, N.; Afzal, I. Morphological and physiological response of tomato (Solanum lycopersicum L.) to natural and synthetic cytokinin sources: A comparative study. Acta Physiol. Plant. 2014, 36, 3147–3155. [Google Scholar] [CrossRef]
- Yuniati, N.; Kusumiyati; Mubarok, S.; Nurhadi, B. Germination performance and seedling characteristics of chili pepper after seed priming with leaf extract of Moringa oleifera. Agron. Res. 2023, 21. [Google Scholar] [CrossRef]
- Rehman, H.U.; Iqbal, H.; Basra, S.M.A.; Afzal, I.; Farooq, M.; Wakeel, A.; Wang, N. Seed priming improves early seedling vigor, growth and productivity of spring maize. J. Integr. Agric. 2015, 14, 1745–1754. [Google Scholar] [CrossRef]
- Toscano, S.; Ferrante, A.; Branca, F.; Romano, D. Enhancing the quality of two species of baby leaves sprayed with moringa leaf extract as biostimulant. Agronomy 2021, 11, 1399. [Google Scholar] [CrossRef]
- Sardar, H.; Nisar, A.; Anjum, M.A.; Naz, S.; Ejaz, S.; Ali, S.; Javed, M.S.; Ahmad, R. Foliar spray of moringa leaf extract improves growth and concentration of pigment, minerals and stevioside in stevia (Stevia rebaudiana Bertoni). Ind. Crops Prod. 2021, 166, 113485. [Google Scholar] [CrossRef]
- Nasir, M.; Khan, A.S.; Basra, S.M.A.; Malik, A.U. Foliar application of moringa leaf extract, potassium and zinc influence yield and fruit quality of ‘Kinnow’ mandarin. Sci. Hortic. 2016, 210, 227–235. [Google Scholar] [CrossRef]
- Khan, S.; Basra, S.M.A.; Nawaz, M.; Hussain, I.; Foidl, N. Combined application of moringa leaf extract and chemical growth-promoters enhances the plant growth and productivity of wheat crop (Triticum aestivum L.). S. Afr. J. Bot. 2020, 129, 74–81. [Google Scholar] [CrossRef]
- Mahmoud, S.H.; Salama, D.M.; El-Tanahy, A.M.M.; El-Samad, E.H.A. Utilization of seaweed (Sargassum vulgare) extract to enhance growth, yield and nutritional quality of red radish plants. Ann. Agric. Sci. 2019, 64, 167–175. [Google Scholar] [CrossRef]
- Bakhtavar, M.A.; Afzal, I.; Basra, S.M.A.; Ahmad, A.-u.-H.; Noor, M.A. Physiological strategies to improve the performance of spring maize (Zea mays L.) planted under early and optimum sowing conditions. PLoS ONE 2015, 10, e0124441. [Google Scholar] [CrossRef]
- Rehman, H.U.; Basra, S.M.A.; Rady, M.M.; Ghoneim, A.M.; Wang, Q. Moringa leaf extract improves wheat growth and productivity by delaying senescence and source-sink relationship. Int. J. Agric. Biol. 2017, 19, 479–484. [Google Scholar] [CrossRef]
- El Sheikha, A.F.; Allam, A.Y.; Taha, M.; Varzakas, T. How does the addition of biostimulants affect the growth, yield, and quality parameters of the snap bean (Phaseolus vulgaris L.)? how is this reflected in its nutritional value? Appl. Sci. 2022, 12, 776. [Google Scholar] [CrossRef]
- Indonesia Ministry of Agriculture. Deskripsi Cabai Besar Varietas Tanjung-2. Available online: http://horti.pertanian.go.id (accessed on 11 April 2023).
- Kumar, H.M.V.; Salakinkop, S.R. Growth analysis in groundnut (Arachis hypogea L.) as influenced by foliar nutrition. Legume Res. 2017, 40, 1072–1077. [Google Scholar] [CrossRef]
- Wang, J.; Fang, X.-M.; Mujumdar, A.S.; Qian, J.-Y.; Zhang, Q.; Yang, X.-H.; Liu, Y.-H.; Gao, Z.-J.; Xiao, H.-W. Effect of high-humidity hot air impingement blanching (HHAIB) on drying and quality of red pepper (Capsicum annuum L.). Food Chem. 2017, 220, 145–152. [Google Scholar] [CrossRef] [PubMed]
- Chebrolu, K.K.; Jayaprakasha, G.K.; Yoo, K.S.; Jifon, J.L.; Patil, B.S. An improved sample preparation method for quantification of ascorbic acid and dehydroascorbic acid by HPLC. LWT Food Sci. Technol. 2012, 47, 443–449. [Google Scholar] [CrossRef]
- Thapa, B.; Skalko-Basnet, N.; Takano, A.; Masuda, K.; Basnet, P. High-performance liquid chromatography analysis of capsaicin content in 16 capsicum fruits from Nepal. J. Med. Food 2009, 12, 908–913. [Google Scholar] [CrossRef] [PubMed]
- Hamed, M.; Kalita, D.; Bartolo, M.E.; Jayanty, S.S. Capsaicinoids, polyphenols and antioxidant activities of capsicum annuum: Comparative study of the effect of ripening stage and cooking methods. Antioxidants 2019, 8, 364. [Google Scholar] [CrossRef]
- Latif, H.H.; Mohamed, H.I. Exogenous applications of moringa leaf extract effect on retrotransposon, ultrastructural and biochemical contents of common bean plants under environmental stresses. S. Afr. J. Bot. 2016, 106, 221–231. [Google Scholar] [CrossRef]
- Rady, M.M.; Mohamed, G.F. Modulation of salt stress effects on the growth, physio-chemical attributes and yields of Phaseolus vulgaris L. plants by the combined application of salicylic acid and Moringa oleifera leaf extract. Sci. Hortic. 2015, 193, 105–113. [Google Scholar] [CrossRef]
- Hafeez, A.; Tipu, M.I.; Saleem, M.H.; Al-Ashkar, I.; Saneoka, H.; Sabagh, A.E. Foliar application of moringa leaf extract (MLE) enhanced antioxidant system, growth, and biomass related attributes in safflower plants. S. Afr. J. Bot. 2022, 150, 1087–1095. [Google Scholar] [CrossRef]
- Wen, S.; Shi, N.; Lu, J.; Gao, Q.; Hu, W.; Cao, Z.; Lu, J.; Yang, H.; Gao, Z. Continuous wavelet transform and back propagation neural network for condition monitoring chlorophyll fluorescence parameters Fv/Fm of rice leaves. Agriculture 2022, 12, 1197. [Google Scholar] [CrossRef]
- Campbell, S.; Miller, C.; Steven, A.; Stephens, A. Photosynthetic responses of two temperate seagrasses across a water quality gradient using chlorophyll fluorescence. J. Exp. Mar. Biol. Ecol. 2003, 291, 57–78. [Google Scholar] [CrossRef]
- Kusumi, K.; Hirotsuka, S.; Kumamaru, T.; Iba, K. Increased leaf photosynthesis caused by elevated stomatal conductance in a rice mutant deficient in SLAC1, a guard cell anion channel protein. J. Exp. Bot. 2012, 63, 5635–5644. [Google Scholar] [CrossRef] [PubMed]
- Lalarukh, I.; Al-Dhumri, S.A.; Al-Ani, L.K.T.; Hussain, R.; Al Mutairi, K.A.; Mansoora, N.; Amjad, S.F.; Abbas, M.H.H.; Abdelhafez, A.A.; Poczai, P.; et al. A combined use of rhizobacteria and moringa leaf extract mitigates the adverse effects of drought stress in wheat (Triticum aestivum L.). Front. Microbiol. 2022, 13, 813415. [Google Scholar] [CrossRef] [PubMed]
- Khan, S.; Ibrar, D.; Bashir, S.; Rashid, N.; Hasnain, Z.; Nawaz, M.; Al-Ghamdi, A.A.; Elshikh, M.S.; Dvořáčková, H.; Dvořáček, J. Application of moringa leaf extract as a seed priming agent enhances growth and physiological attributes of rice seedlings cultivated under water deficit regime. Plants 2022, 11, 261. [Google Scholar] [CrossRef] [PubMed]
- Khan, A.U.; Ullah, F.; Zafar, S.; Khattak, A.; Irshad, M.; Hussain, I.; Hussain, M. The effect of Moringa oleifera Lam. leaf aqueous extract on seed yield and fibre quality of linseed under water deficit stress. Sains Malays. 2022, 51, 1027–1044. [Google Scholar] [CrossRef]
- Matthew, A. Moringa leaf extract on the growth and yield of pepper (Capsicum annuum L.). ARPN J. Agric. Biol. Sci. 2016, 11, 107–109. [Google Scholar]
- Nwonuala, A.I.; Christo, I.E. Effect of seed priming on seedling emergence and growth of bitter kola (Garcinia kola) in Owerri, Nigeria. Afr. J. Agric. Res. 2021, 17, 365–370. [Google Scholar] [CrossRef]
- Ahmad, W.; Noor, M.A.; Afzal, I.; Bakhtavar, M.A.; Nawaz, M.M.; Sun, X.; Zhou, B.; Ma, W.; Zhao, M. Improvement of sorghum crop through exogenous application of natural growth-promoting substances under a changing climate. Sustainability 2016, 8, 1330. [Google Scholar] [CrossRef]
- El-Serafy, R.S.; El-Sheshtawy, A.A. Effect of nitrogen fixing bacteria and moringa leaf extract on fruit yield, estragole content and total phenols of organic fennel. Sci. Hortic. 2020, 265, 109209. [Google Scholar] [CrossRef]
- Francis, P.B.; Stark Jr, C.R. Response of tomato to transplant drench, foliar organic-complex Ca, B, K and yield enhancement amendments. J. Appl. Hortic. 2007, 9, 81–83. [Google Scholar] [CrossRef]
- Kanchani, A.M.K.D.M.; Harris, K.D. Effect of foliar application of moringa (Moringa oleifera) leaf extract with recommended fertilizer on growth and yield of okra (Abelmoschus esculentus). Agrieast 2019, 13, 38–54. [Google Scholar] [CrossRef]
- Akpor, O.B.; Maxwell, M.-M.; Evbuomwan, I.O.; Olaolu, T.D.; Adeyonu, A.G.; Osemwegie, O. Growth promotion and protective potentials of leaf infusions of Parkia biglobosa, Moringa oleifera and Vernonia amygdalina on Abelmoschus esculentus seeds. Sci. Rep. 2022, 12, 14106. [Google Scholar] [CrossRef] [PubMed]
- Elzaawely, A.A.; Ahmed, M.E.; Maswada, H.F.; Xuan, T.D. Enhancing growth, yield, biochemical, and hormonal contents of snap bean (Phaseolus vulgaris L.) sprayed with moringa leaf extract. Arch. Agron. Soil Sci. 2016, 63, 687–699. [Google Scholar] [CrossRef]
- Arthur, J.D.; Li, T.; Bi, G. Plant growth, yield, and quality of containerized heirloom chile pepper cultivars affected by three types of biostimulants. Horticulturae 2023, 9, 12. [Google Scholar] [CrossRef]
- Hoque, T.S.; Abedin, M.A.; Kibria, M.G.; Jahan, I.; Hossain, M.A. Application of moringa leaf extract improves growth and yield of tomato (Solanum lycopersicum) and Indian spinach (Basella alba). Plant Sci. Today 2021, 9, 137–143. [Google Scholar] [CrossRef]
- Ismail, S.A.; Ganzour, S.K. Efficiency of foliar spraying with moringa leaves extract and potassium nitrate on yield and quality of strawberry in sandy soil. Int. J. Agric. Stat. Sci. 2021, 17, 383–398. [Google Scholar]
- Bakhsh, A.; Javaad, H.W.; Hussain, F.; Akhtar, A.; Raza, M.K. Application of Moringa oleifera leaf extract improves quality and yield of peach (Prunus persica). J. Pure Appl. Agric. 2020, 5, 42–51. [Google Scholar]
- Ahmed, S.I.; Ezzat, A.S. Using some antioxidants and natural extracts as a substitutes or supplement for gibberellin for earliness induction in Globe artichoke. J. Appl. Hortic. 2021, 23, 65–69. [Google Scholar] [CrossRef]
- Srimathi, S.; Gokulakrishnan, J.; Prakash, M. Effect of seed priming with botanical leaf extracts on seed quality and yield of maize hybrid COH(M) 4. J. Res. ANGRAU 2021, 49, 37–44. [Google Scholar]
- Thanaa, S.h.M.; Kassim, N.E.; AbouRayya, M.S.; Abdalla, A.M. Influence of foliar application with moringa (Moringa oleifera L.) leaf extract on yield and fruit quality of Hollywood plum cultivar. J. Hortic. 2017, 4, 193. [Google Scholar]
- Mahmoud, T.S.M.; Shaaban, F.K.M.; El-Hadidy, G.A.E.-M. Enhancement of antioxidant and storability of Hollywood plum cultivar by preharvest treatments with moringa leaf extract and some nutrients. Bull. Natl. Res. Cent. 2020, 44, 166. [Google Scholar] [CrossRef]
- Godlewska, K.; Pacyga, P.; Michalak, I.; Biesiada, A.; Szumny, A.; Pachura, N.; Piszcz, U. Field-scale evaluation of botanical extracts effect on the yield, chemical composition and antioxidant activity of celeriac (Apium graveolens L. var. rapaceum). Molecules 2020, 25, 4212. [Google Scholar] [CrossRef] [PubMed]
- Ali, M.A.; Harhash, M.M.; Bassiony, S.S.; Felifal, M.M.S. Effect of foliar spray of sitofex, moringa leaves extract and some nutrients on productivity and fruit quality of “Thompson seedless” grapevine. J. Adv. Agric. Res. 2020, 25, 112–129. [Google Scholar]
- Nasir, M.; Khan, A.S.; Basra, S.M.A.; Malik, A.U. Improvement in growth, productivity and quality of ‘Kinnow’ mandarin fruit after exogenous application of Moringa olifera leaf extract. S. Afr. J. Bot. 2020, 129, 263–271. [Google Scholar] [CrossRef]
- Khan, A.S.; Ibrahim, M.; Basra, S.M.A.; Ali, S.; Almas, M.H.; Azam, M.; Anwar, R.; Hasan, M.U. Post-bloom applied moringa leaf extract improves growth, productivity and quality of early-season maturing grapes (Vitis vinifera). Intl. J. Agric. Biol. 2020, 24, 1217–1225. [Google Scholar]
- Sakr, M.T.; Ibrahim, H.M.; El-Awady, A.E.; El-Makarm, A.A.A. Growth, yield and biochemical constituents as well as post-harvest quality of water-stressed broccoli (Brassica oleraceae L. var. italica) as affected by certain biomodulators. Sci. Hortic. 2021, 275, 109605. [Google Scholar] [CrossRef]
- Yaseen, A.A.; Takacs-Hajos, M. Evaluation of moringa (Moringa oleifera L.) leaf extract on bioactive compounds of lettuce (Lactuca sativa L.) grown under glasshouse environment. J. King Saud Univ. Sci. 2022, 34, 101916. [Google Scholar] [CrossRef]
- Garcés-Claver, A.; Arnedo-Andrés, M.S.; Abadía, J.; Gil-Ortega, R.; Álvarez-Fernández, A. determination of capsaicin and dihydrocapsaicin in capsicum fruits by liquid chromatography−electrospray/time-of-flight mass spectrometry. J. Agric. Food Chem. 2006, 54, 9303–9311. [Google Scholar] [CrossRef]
- Al Othman, Z.A.; Ahmed, Y.B.; Habila, M.A.; Ghafar, A.A. Determination of capsaicin and dihydrocapsaicin in capsicum fruit samples using high performance liquid chromatography. Molecules 2011, 16, 8919–8929. [Google Scholar] [CrossRef]
- Abou-Sreea, A.I.B.; Azzam, C.R.; Al-Taweel, S.K.; Abdel-Aziz, R.M.; Belal, H.E.E.; Rady, M.M.; Abdel-Kader, A.A.S.; Majrashi, A.; Khaled, K.A.M. Natural biostimulant attenuates salinity stress effects in chili pepper by remodeling antioxidant, ion, and phytohormone balances, and augments gene expression. Plants 2021, 10, 2316. [Google Scholar] [CrossRef]
- Ertani, A.; Pizzeghello, D.; Francioso, O.; Sambo, P.; Sanchez-Cortes, S.; Nardi, S. Capsicum chinensis L. growth and nutraceutical properties are enhanced by biostimulants in a long-term period: Chemical and metabolomic approaches. Front. Plant Sci. 2014, 5, 375. [Google Scholar] [CrossRef]

| Month | Air Temperature (°C) | Relative Humidity (%) |
|---|---|---|
| August | 22.00 | 86.67 |
| September | 22.36 | 87.07 |
| October | 22.67 | 90.71 |
| November | 22.74 | 91.07 |
| Mean | 22.44 | 88.88 |
| Treatments | Chlorophyll Content Index | Fv/Fm | Stomatal Conductance (mmol m−2 s−1) |
|---|---|---|---|
| Control | 70.55 d | 0.77 b | 133.68 c |
| MLE priming | 75.75 cd | 0.80 ab | 184.43 abc |
| Foliar MLE 1:30 | 77.15 cd | 0.81 a | 137.55 c |
| Foliar MLE 1:20 | 76.93 cd | 0.82 a | 150.03 bc |
| Foliar MLE 1:10 | 76.55 cd | 0.82 a | 192.63 abc |
| MLE priming + foliar MLE 1:30 | 85.15 b | 0.82 a | 210.13 a |
| MLE priming + foliar MLE 1:20 | 94.50 a | 0.82 a | 188.48 abc |
| MLE priming + foliar MLE 1:10 | 80.05 bc | 0.82 a | 196.98 ab |
| Treatments | Plant Height (cm) | Number of Leaves | LAI | Fruit Set (%) |
|---|---|---|---|---|
| Control | 49.73 b | 38.25 b | 0.48 d | 85.03 a |
| MLE priming | 63.80 a | 64.75 a | 1.20 abc | 85.44 a |
| Foliar MLE 1:30 | 59.83 ab | 67.75 a | 0.86 abcd | 84.53 a |
| Foliar MLE 1:20 | 57.05 ab | 61.00 a | 0.81 bcd | 84.49 a |
| Foliar MLE 1:10 | 60.90 a | 63.00 a | 0.54 cd | 85.58 a |
| MLE priming + foliar MLE 1:30 | 64.93 a | 72.25 a | 1.04 abc | 82.50 a |
| MLE priming + foliar MLE 1:20 | 64.13 a | 65.75 a | 0.98 abcd | 80.21 a |
| MLE priming + foliar MLE 1:10 | 64.95 a | 66.25 a | 1.33 a | 80.66 a |
| Treatments | Fruit Length (cm) | Fruit Diameter (cm) | L* | a* | b* | Firmness (N) |
|---|---|---|---|---|---|---|
| Control | 12.33 c | 1.72 d | 35.71 bc | −9.64 a | 19.78 a | 4.43 b |
| MLE priming | 12.85 abc | 1.79 cd | 36.45 ab | −9.95 a | 20.04 a | 5.24 ab |
| Foliar MLE 1:30 | 13.68 a | 1.94 cd | 36.18 abc | −9.90 a | 19.80 a | 5.24 ab |
| Foliar MLE 1:20 | 12.62 bc | 1.82 cd | 37.54 a | −10.05 a | 20.95 a | 5.16 ab |
| Foliar MLE 1:10 | 13.15 abc | 1.99 bc | 36.49 ab | −9.85 a | 20.04 a | 5.59 a |
| MLE priming + foliar MLE 1:30 | 13.55 ab | 2.23 a | 34.58 c | −9.11 a | 17.39 a | 5.66 a |
| MLE priming + foliar MLE 1:20 | 13.78 a | 2.05 ab | 35.77 bc | −9.81 a | 19.36 a | 5.89 a |
| MLE priming + foliar MLE 1:10 | 13.51 ab | 2.00 ab | 35.01 bc | −9.55 a | 18.00 a | 5.13 ab |
| Treatments | TSS (°Brix) | Vitamin C (mg 100 g−1 FW) | Capsaicin (mg 100 g−1 DW) | Dihydrocapsaicin (mg 100 g−1 DW) | SHU |
|---|---|---|---|---|---|
| Control | 4.43 a | 1.72 c | 23.74 a | 6.97 a | 4945.39 a |
| MLE priming | 4.63 a | 2.24 ab | 28.92 a | 9.80 a | 6233.12 a |
| Foliar MLE 1:30 | 4.62 a | 2.18 b | 26.27 a | 9.21 a | 5711.44 a |
| Foliar MLE 1:20 | 4.32 a | 2.58 a | 24.30 a | 7.28 a | 5084.88 a |
| Foliar MLE 1:10 | 4.21 a | 2.49 ab | 30.27 a | 9.62 a | 6423.18 a |
| MLE priming + foliar MLE 1:30 | 4.60 a | 2.22 ab | 30.25 a | 10.00 a | 6479.43 a |
| MLE priming + foliar MLE 1:20 | 4.78 a | 2.11 b | 26.87 a | 8.15 a | 5636.89 a |
| MLE priming + foliar MLE 1:10 | 4.75 a | 2.13 b | 22.47 a | 7.04 a | 4751.37 a |
Disclaimer/Publisher’s Note: The statements, opinions and data contained in all publications are solely those of the individual author(s) and contributor(s) and not of MDPI and/or the editor(s). MDPI and/or the editor(s) disclaim responsibility for any injury to people or property resulting from any ideas, methods, instructions or products referred to in the content. |
© 2023 by the authors. Licensee MDPI, Basel, Switzerland. This article is an open access article distributed under the terms and conditions of the Creative Commons Attribution (CC BY) license (https://creativecommons.org/licenses/by/4.0/).
Share and Cite
Yuniati, N.; Kusumiyati, K.; Mubarok, S.; Nurhadi, B. Assessment of Biostimulant Derived from Moringa Leaf Extract on Growth, Physiology, Yield, and Quality of Green Chili Pepper. Sustainability 2023, 15, 7113. https://doi.org/10.3390/su15097113
Yuniati N, Kusumiyati K, Mubarok S, Nurhadi B. Assessment of Biostimulant Derived from Moringa Leaf Extract on Growth, Physiology, Yield, and Quality of Green Chili Pepper. Sustainability. 2023; 15(9):7113. https://doi.org/10.3390/su15097113
Chicago/Turabian StyleYuniati, Nita, Kusumiyati Kusumiyati, Syariful Mubarok, and Bambang Nurhadi. 2023. "Assessment of Biostimulant Derived from Moringa Leaf Extract on Growth, Physiology, Yield, and Quality of Green Chili Pepper" Sustainability 15, no. 9: 7113. https://doi.org/10.3390/su15097113
APA StyleYuniati, N., Kusumiyati, K., Mubarok, S., & Nurhadi, B. (2023). Assessment of Biostimulant Derived from Moringa Leaf Extract on Growth, Physiology, Yield, and Quality of Green Chili Pepper. Sustainability, 15(9), 7113. https://doi.org/10.3390/su15097113

