Exergoeconomic and Exergetic Sustainability Analysis of a Combined Dual-Pressure Organic Rankine Cycle and Vapor Compression Refrigeration Cycle
Abstract
1. Introduction
2. Materials and Methods
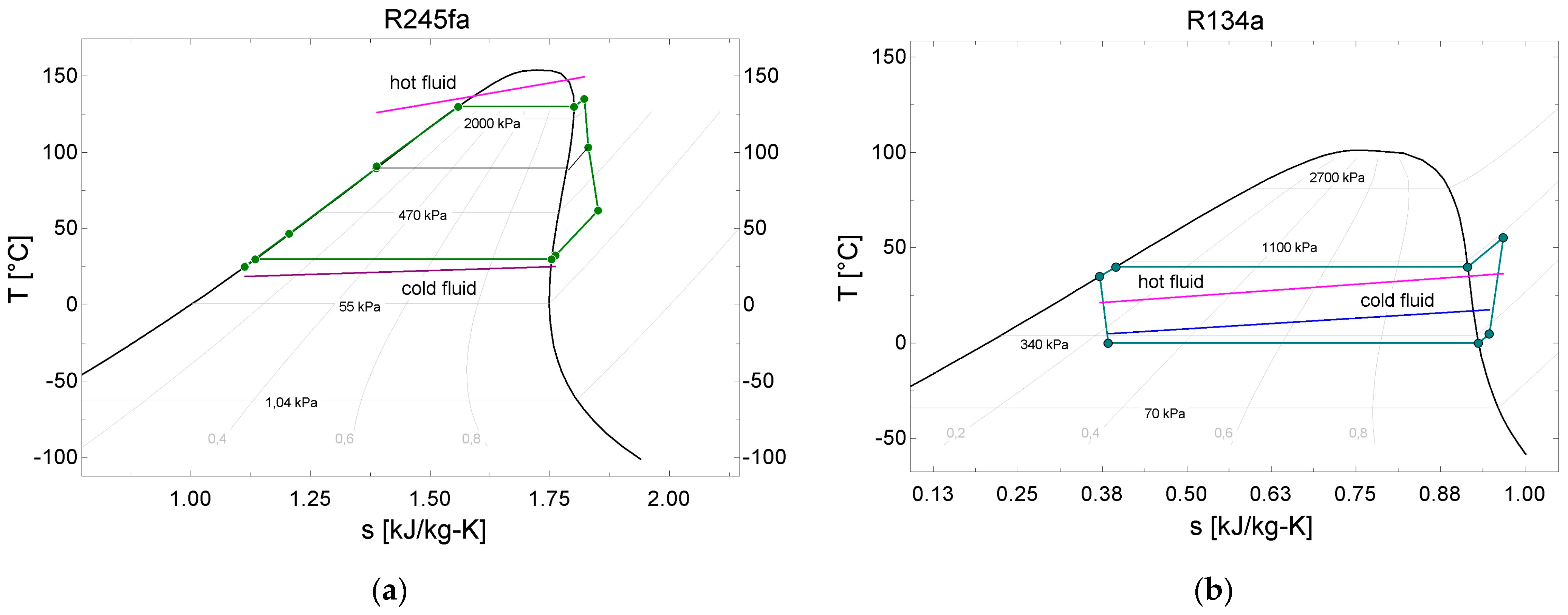
2.1. System Description and Assumptions
- The designed combined system works in a steady state.
- There are negligible kinetic and potential energy changes.
- Pressure losses in the heat exchangers are negligible.
- The dead state condition is taken as 101 kPa and 30 °C.
- Expansion and compression processes in the expanders, pumps, and compressor are adiabatic.
2.2. Thermodynamic Analysis
2.3. Exergetic Sustainability Indicators
2.4. Exergoceconomic Analysis
3. Results and Discussion
3.1. Validation of the Present Model
3.2. Evaulation of Energy and Exergy Analysis Results
3.3. Evaulation of Exergoeconomics and Exergy Sustainability Analysis Results
3.4. Parametric Analysis
4. Conclusions
- In the analysis, as the boiling temperature rises, generally , , , , , and increase.
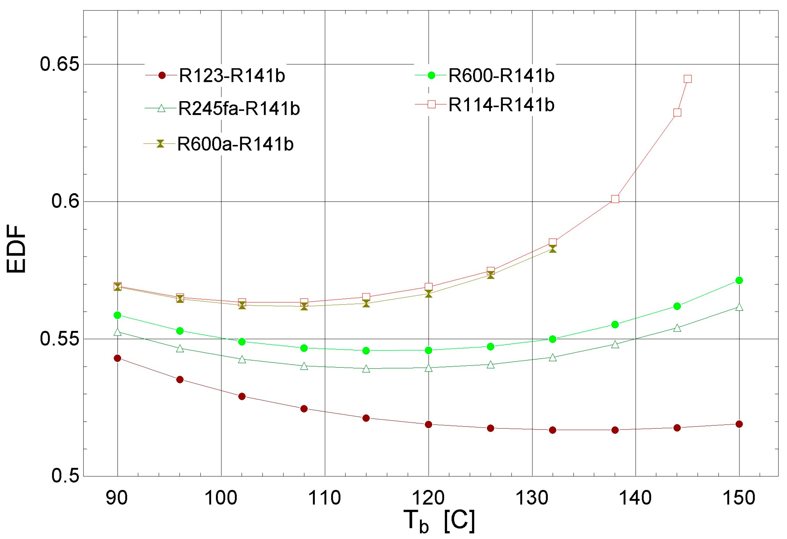
- With the increasing boiling temperature, , and decrease, while increases. Among the five fluid pairs evaluated, the fluid pair with the lowest, , and and the highest was R123-R141b.
- When the boiling temperature increases, the increases, but and decrease. The minimum values for all three parameters are obtained with the combination of R123-R141b.
- Any improvement in efficiency enhances the sustainability of the energy system. However, any rise in the waste energy ratio and the energy destruction factor leads to a rise in the environmental effect factor, which lowers sustainability. These parameters should quantify how the combined ORC-VCRC system becomes more sustainable and environmentally friendly.
Author Contributions
Funding
Institutional Review Board Statement
Informed Consent Statement
Data Availability Statement
Conflicts of Interest
Nomenclature
| COP | cooling cycle coefficient of performance |
| COPs | overall system coefficient of performance |
| Ė | energy rate (kW) |
| EDF | exergy destruction factor |
| EEF | environmental effect factor |
| ESI | exergetic sustainability index |
| EUF | energy utilization factor |
| Ėx | exergy rate (kW) |
| h | specific enthalpy (kJ/kg) |
| mass flow rate (kg/s) | |
| s | specific entropy (kJ/kgK) |
| heat rate (kW) | |
| power (kW) | |
| WER | waste exergy ratio |
| T | temperature (K) |
| ƞ | efficiency |
| Subscripts | |
| b | boiler |
| c1 | condenser 1 |
| c2 | condenser 2 |
| comp | compressor |
| dest | destroyed |
| ev | evaporator |
| ex | exergetic |
| heat | heat |
| hpe | high-pressure expander |
| in | inlet |
| lpe | low-pressure expander |
| ORC | organic Rankine cycle |
| out | outlet |
| VCRC | vapor compression refrigeration cycle |
| p1 | pump 1 |
| p2 | pump 2 |
| rec | recuperator |
| reg | regenerator |
| tot | total |
| tv | throttling valve |
| o | dead state condition |
References
- Altun, A.F.; Kilic, M. Thermodynamic Performance Evaluation of a Geothermal ORC Power Plant. Renew. Energy 2020, 148, 261–274. [Google Scholar] [CrossRef]
- Pei, G.; Li, J.; Ji, J. Analysis of Low Temperature Solar Thermal Electric Generation Using Regenerative Organic Rankine Cycle. Appl. Therm. Eng. 2010, 30, 998–1004. [Google Scholar] [CrossRef]
- Drescher, U.; Brüggemann, D. Fluid Selection for the Organic Rankine Cycle (ORC) in Biomass Power and Heat Plants. Appl. Therm. Eng. 2007, 27, 223–228. [Google Scholar] [CrossRef]
- Hung, T.C.; Shai, T.Y.; Wang, S.K. A Review of Organic Rankine Cycles (ORCs) for the Recovery of Low-Grade Waste Heat. Energy 1997, 22, 661–667. [Google Scholar] [CrossRef]
- Braimakis, K.; Karellas, S. Energetic Optimization of Regenerative Organic Rankine Cycle (ORC) Configurations. Energy Convers. Manag. 2018, 159, 353–370. [Google Scholar] [CrossRef]
- Delgado-Torres, A.M.; García-Rodríguez, L. Analysis and Optimization of the Low-Temperature Solar Organic Rankine Cycle (ORC). Energy Convers. Manag. 2010, 51, 2846–2856. [Google Scholar] [CrossRef]
- Quoilin, S.; Declaye, S.; Tchanche, B.F.; Lemort, V. Thermo-Economic Optimization of Waste Heat Recovery Organic Rankine Cycles. Appl. Therm. Eng. 2011, 31, 2885–2893. [Google Scholar] [CrossRef]
- Maraver, D.; Royo, J.; Lemort, V.; Quoilin, S. Systematic Optimization of Subcritical and Transcritical Organic Rankine Cycles (ORCs) Constrained by Technical Parameters in Multiple Applications. Appl. Energy 2014, 117, 11–29. [Google Scholar] [CrossRef]
- Shokati, N.; Ranjbar, F.; Yari, M. Exergoeconomic Analysis and Optimization of Basic, Dual-Pressure and Dual-Fluid ORCs and Kalina Geothermal Power Plants: A Comparative Study. Renew. Energy 2015, 83, 527–542. [Google Scholar] [CrossRef]
- Ayachi, F.; Boulawz Ksayer, E.; Zoughaib, A.; Neveu, P. ORC Optimization for Medium Grade Heat Recovery. Energy 2014, 68, 47–56. [Google Scholar] [CrossRef]
- Wang, M.; Wang, J.; Zhao, Y.; Zhao, P.; Dai, Y. Thermodynamic Analysis and Optimization of a Solar-Driven Regenerative Organic Rankine Cycle (ORC) Based on Flat-Plate Solar Collectors. Appl. Therm. Eng. 2013, 50, 816–825. [Google Scholar] [CrossRef]
- Liu, X.; Wei, M.; Yang, L.; Wang, X. Thermo-Economic Analysis and Optimization Selection of ORC System Configurations for Low Temperature Binary-Cycle Geothermal Plant. Appl. Therm. Eng. 2017, 125, 153–164. [Google Scholar] [CrossRef]
- Safarian, S.; Aramoun, F. Energy and Exergy Assessments of Modified Organic Rankine Cycles (ORCs). Energy Rep. 2015, 1, 1–7. [Google Scholar] [CrossRef]
- Li, H.; Bu, X.; Wang, L.; Long, Z.; Lian, Y. Hydrocarbon Working Fluids for a Rankine Cycle Powered Vapor Compression Refrigeration System Using Low-Grade Thermal Energy. Energy Build. 2013, 65, 167–172. [Google Scholar] [CrossRef]
- Saleh, B.; Aly, A.A. Screening of Organic Working Fluids for a Combined Rankine-Refrigeration Cycle Driven by Renewable Energy. Int. J. Appl. Eng. Res. 2017, 12, 9575–9586. [Google Scholar]
- Méndez-Cruz, L.E.; Gutiérrez-Limón, M.Á.; Lugo-Méndez, H.; Lugo-Leyte, R.; Lopez-Arenas, T.; Sales-Cruz, M. Comparative Thermodynamic Analysis of the Performance of an Organic Rankine Cycle Using Different Working Fluids. Energies 2022, 15, 2588. [Google Scholar] [CrossRef]
- Khosla, R.; Miranda, N.D.; Trotter, P.A.; Mazzone, A.; Renaldi, R.; McElroy, C.; Cohen, F.; Jani, A.; Perera-Salazar, R.; McCulloch, M. Cooling for Sustainable Development. Nat. Sustain. 2021, 4, 201–208. [Google Scholar] [CrossRef]
- Kılıç, M. Evaluation of Combined Thermal–Mechanical Compression Systems: A Review for Energy Efficient Sustainable Cooling. Sustainability 2022, 14, 13724. [Google Scholar] [CrossRef]
- Al-Sayyab, A.K.S.; Mota-Babiloni, A.; Navarro-Esbrí, J. Performance Evaluation of Modified Compound Organic Rankine-Vapour Compression Cycle with Two Cooling Levels, Heating, and Power Generation. Appl. Energy 2023, 334, 120651. [Google Scholar] [CrossRef]
- Bu, X.; Wang, L.; Li, H. Performance Analysis and Working Fluid Selection for Geothermal Energy-Powered Organic Rankine-Vapor Compression Air Conditioning. Geotherm. Energy 2013, 1, 1–14. [Google Scholar] [CrossRef]
- Aphornratana, S.; Sriveerakul, T. Analysis of a Combined Rankine-Vapour-Compression Refrigeration Cycle. Energy Convers. Manag. 2010, 51, 2557–2564. [Google Scholar] [CrossRef]
- Cihan, E.; Kavasogullari, B. Energy and Exergy Analysis of a Combined Refrigeration and Waste Heat Driven Organic Rankine Cycle System. Therm. Sci. 2017, 21, 2621–2631. [Google Scholar] [CrossRef]
- Jeong, J.; Kang, Y.T. Cycle of a Refrigeration Cycle Driven by Refrigerant Steam Turbine. Int. J. Refrig. 2004, 27, 33–41. [Google Scholar] [CrossRef]
- Kim, K.H.; Perez-Blanco, H. Performance Analysis of a Combined Organic Rankine Cycle and Vapor Compression Cycle for Power and Refrigeration Cogeneration. Appl. Therm. Eng. 2015, 91, 964–974. [Google Scholar] [CrossRef]
- Pektezel, O.; Acar, H.I. Energy and Exergy Analysis of Combined Organic Rankine Cycle-Single and Dual Evaporator Vapor Compression Refrigeration Cycle. Appl. Sci. 2019, 9, 5028. [Google Scholar] [CrossRef]
- Grauberger, A.; Young, D.; Bandhauer, T. Experimental Validation of an Organic Rankine-Vapor Compression Cooling Cycle Using Low GWP Refrigerant R1234ze(E). Appl. Energy 2022, 307, 118242. [Google Scholar] [CrossRef]
- Grauberger, A.; Young, D.; Bandhauer, T. Off-Design Performance of an Organic Rankine-Vapor Compression Cooling Cycle Using R1234ze(E). Appl. Energy 2022, 321, 119421. [Google Scholar] [CrossRef]
- Xia, X.; Liu, Z.; Wang, Z.; Zuo, Q.; Sun, T. Energy, Conventional and Advanced Exergy Analysis for the Organic Rankine Cycle-Vapor Compression Refrigeration Combined System Driven by Low-Grade Waste Heat. Appl. Therm. Eng. 2023, 220, 119650. [Google Scholar] [CrossRef]
- Wang, H.; Peterson, R.; Herron, T. Design Study of Configurations on System COP for a Combined ORC (Organic Rankine Cycle) and VCC (Vapor Compression Cycle). Energy 2011, 36, 4809–4820. [Google Scholar] [CrossRef]
- Toujeni, N.; Bouaziz, N.; Kairaouani, L. Energetic Investigation of a New Combined ORC-VCC System for Cogeneration. Energy Procedia 2017, 139, 670–675. [Google Scholar] [CrossRef]
- Wang, Z.; Zhou, Q.; Xia, X.; Liu, B.; Zhang, X. Performance Comparison and Analysis of a Combined Power and Cooling System Based on Organic Rankine Cycle. J. Cent. South Univ. 2017, 24, 353–359. [Google Scholar] [CrossRef]
- Molés, F.; Navarro-Esbrí, J.; Peris, B.; Mota-Babiloni, A.; Kontomaris, K. Thermodynamic Analysis of a Combined Organic Rankine Cycle and Vapor Compression Cycle System Activated with Low Temperature Heat Sources Using Low GWP Fluids. Appl. Therm. Eng. 2015, 87, 444–453. [Google Scholar] [CrossRef]
- Wang, H.; Peterson, R.; Harada, K.; Miller, E.; Ingram-Goble, R.; Fisher, L.; Yih, J.; Ward, C. Performance of a Combined Organic Rankine Cycle and Vapor Compression Cycle for Heat Activated Cooling. Energy 2011, 36, 447–458. [Google Scholar] [CrossRef]
- Özdemir Küçük, E.; Kılıç, M. Comparative Performance Analysis of ORC–VCRC Combined Systems Based on Refrigerant Selection. Sci. Technol. Built Environ. 2021, 27, 70–84. [Google Scholar] [CrossRef]
- Evans, A.; Strezov, V.; Evans, T.J. Assessment of Sustainability Indicators for Renewable Energy Technologies. Renew. Sustain. Energy Rev. 2009, 13, 1082–1088. [Google Scholar] [CrossRef]
- Ebadollahi, M.; Rostamzadeh, H.; Ghaebi, H.; Amidpour, M. Exergoeconomic Analysis and Optimization of Innovative Cascade Bi-Evaporator Electricity/Cooling Cycles with Two Adjustable Cooling Temperatures. Appl. Therm. Eng. 2019, 152, 890–906. [Google Scholar] [CrossRef]
- Aydin, H. Exergetic Sustainability Analysis of LM6000 Gas Turbine Power Plant with Steam Cycle. Energy 2013, 57, 766–774. [Google Scholar] [CrossRef]
- Paulus, D.; Zarraonandia, N.G. Specific Exergy Costs and Revenues in a Two-Pressure Combined Cycle Plant. Int. J. Thermodyn. 2006, 9, 65–72. [Google Scholar]
- Razi, F.; Dincer, I.; Gabriel, K. A Specific Exergy Costing Assessment of the Integrated Copper-Chlorine Cycle for Hydrogen Production. Int. J. Hydrogen Energy 2020, 45, 31425–31439. [Google Scholar] [CrossRef]
- Dincer, I.; Rosen, M.A. Exergy, 2nd ed.; Elsevier: Oxford, UK, 2013; ISBN 9780080970905. [Google Scholar]
- Midilli, A.; Dincer, I. Development of Some Exergetic Parameters for PEM Fuel Cells for Measuring Environmental Impact and Sustainability. Int. J. Hydrogen Energy 2009, 34, 3858–3872. [Google Scholar] [CrossRef]
- Midilli, A.; Kucuk, H.; Dincer, I. Effect of Hydrothermal Carbonization Reaction Parameters on. Environ. Prog. Sustain. Energy 2012, 31, 604–611. [Google Scholar] [CrossRef]
- Abam, F.I.; Ekwe, E.B.; Effiom, S.O.; Ndukwu, M.C. A Comparative Performance Analysis and Thermo-Sustainability Indicators of Modified Low-Heat Organic Rankine Cycles (ORCs): An Exergy-Based Procedure. Energy Rep. 2018, 4, 110–118. [Google Scholar] [CrossRef]
- Ozdemir Kucuk, E.; Kılıç, M. Simulation and Thermodynamic Analysis of a Regenerative and Recuperative Organic Rankine Cycle. Bulg. Chem. Commun. 2018, 50, 86–95. [Google Scholar]
- Yilmaz, A. Transcritical Organic Rankine Vapor Compression Refrigeration System for Intercity Bus Air-Conditioning Using Engine Exhaust Heat. Energy 2015, 82, 1047–1056. [Google Scholar] [CrossRef]
- Ahamed, J.U.; Saidur, R.; Masjuki, H.H.; Sattar, M.A. An Analysis of Energy, Exergy, and Sustainable Development of a Vapour Compression Refrigeration System Using Hydrocarbon. Int. J. Green Energy 2012, 9, 702–717. [Google Scholar] [CrossRef]
- Kanoglu, M.; Dincer, I. Performance Assessment of Cogeneration Plants. Energy Convers. Manag. 2009, 50, 76–81. [Google Scholar] [CrossRef]
- Puig-Arnavat, M.; Bruno, J.C.; Coronas, A. Modeling of Trigeneration Configurations Based on Biomass Gasification and Comparison of Performance. Appl. Energy 2014, 114, 845–856. [Google Scholar] [CrossRef]
- Akbari Kordlar, M.; Mahmoudi, S.M.S. Exergeoconomic Analysis and Optimization of a Novel Cogeneration System Producing Power and Refrigeration. Energy Convers. Manag. 2017, 134, 208–220. [Google Scholar] [CrossRef]
- Mohammadkhani, F.; Shokati, N.; Mahmoudi, S.M.S.; Yari, M.; Rosen, M.A. Exergoeconomic assessment and parametric study of a Gas Turbine-Modular Helium Reactor combined with two Organic Rankine Cycles. Energy 2014, 65, 533–543. [Google Scholar] [CrossRef]
- Özahi, E.; Tozlu, A.; Abuşoğlu, A. Thermoeconomic Multi-Objective Optimization of an Organic Rankine Cycle (ORC) Adapted to an Existing Solid Waste Power Plant. Energy Convers. Manag. 2018, 168, 308–319. [Google Scholar] [CrossRef]
- Yağlı, H.; Koç, Y.; Kalay, H. Optimisation and Exergy Analysis of an Organic Rankine Cycle (ORC) Used as a Bottoming Cycle in a Cogeneration System Producing Steam and Power. Sustain. Energy Technol. Assess. 2021, 44, 100985. [Google Scholar] [CrossRef]
- Wang, D.; Ling, X.; Peng, H. Performance Analysis of Double Organic Rankine Cycle for Discontinuous Low Temperature Waste Heat Recovery. Appl. Therm. Eng. 2012, 48, 63–71. [Google Scholar] [CrossRef]
- Özdemir Küçük, E.; Kılıç, M. Exergoeconomic Analysis and Multi-Objective Optimization of ORC Configurations via Taguchi-Grey Relational Methods. Heliyon 2023, 9, e15007. [Google Scholar] [CrossRef] [PubMed]
- Li, T.; Meng, N.; Liu, J.; Zhu, J.; Kong, X. Thermodynamic and Economic Evaluation of the Organic Rankine Cycle (ORC) and Two-Stage Series Organic Rankine Cycle (TSORC) for Flue Gas Heat Recovery. Energy Convers. Manag. 2019, 183, 816–829. [Google Scholar] [CrossRef]
- Zhou, G.-Y.; Wu, E.; Tu, S.-T. Techno-Economic Study on Compact Heat Exchangers. Int. J. Energy Res. 2008, 32, 1119–1127. [Google Scholar] [CrossRef]
- Mosaffa, A.H.; Garousi Farshi, L. Exergoeconomic and Environmental Analyses of an Air Conditioning System Using Thermal Energy Storage. Appl. Energy 2016, 162, 515–526. [Google Scholar] [CrossRef]
- Javanshir, N.; Seyed Mahmoudi, S.M.; Rosen, M.A. Thermodynamic and Exergoeconomic Analyses of a Novel Combined Cycle Comprised of Vapor-Compression Refrigeration and Organic Rankine Cycles. Sustainbility 2019, 11, 3374. [Google Scholar] [CrossRef]
- Zare, V.; Mahmoudi, S.M.S.; Yari, M. An Exergoeconomic Investigation of Waste Heat Recovery from the Gas Turbine-Modular Helium Reactor (GT-MHR) Employing an Ammonia–Water Power/Cooling Cycle. Energy 2013, 61, 397–409. [Google Scholar] [CrossRef]
- Saleh, B. Energy and Exergy Analysis of an Integrated Organic Rankine Cycle-Vapor Compression Refrigeration System. Appl. Therm. Eng. 2018, 141, 697–710. [Google Scholar] [CrossRef]
- Tchanche, B.F.; Papadakis, G.; Lambrinos, G.; Frangoudakis, A. Fluid Selection for a Low-Temperature Solar Organic Rankine Cycle. Appl. Therm. Eng. 2009, 29, 2468–2476. [Google Scholar] [CrossRef]
















| Parameter | Value | Unit |
|---|---|---|
| The boiling temperature in the boiler | 130 | °C |
| Hot fluid heat rate | 200 | kW |
| The evaporation temperature in the VCRC evaporator | 0 | °C |
| The condensation temperature in ORC condenser | 40 | °C |
| The condensation temperature in VCRC condenser | 40 | °C |
| Hot source and cold sink pressures | 101 | kPa |
| The mass flow rate of hot fluid in the boiler | 20 | kg/s |
| Expanders isentropic efficiency | 0.8 | |
| Pumps isentropic efficiency | 0.8 | |
| Compressor isentropic efficiency | 0.8 | |
| Recuperator effectiveness | 0.8 | |
| Pinch-point temperature difference in heat exchangers | 5 | °C |
| Overheating in the boiler and evaporator | 5 | °C |
| Sub-cooling of the condensers | 5 | °C |
| Fluids | Molecular Mass | Formula | Boiling Temperature | Critical Temperature | Critical Pressure | Critical Density | ODP | GWP 100 yr |
|---|---|---|---|---|---|---|---|---|
| g/mol | °C | °C | MPa | kg/m3 | ||||
| R245fa | 134.05 | C3F5H3 | 15.18 | 154.05 | 3.65 | 519.43 | 0.00 | 1030.0 |
| R600 | 58.12 | C4H10 | −0.52 | 152.01 | 3.80 | 228.00 | 0.00 | 4.0 |
| R114 | 170.92 | C2Cl2F4 | 3.79 | 145.68 | 3.26 | 579.97 | 1.00 | 3.9 |
| R600a | 58.12 | C4H10 | −11.85 | 134.70 | 3.63 | 225.50 | 0.00 | 3.0 |
| R141b | 116.95 | C2Cl2FH3 | 32.06 | 204.35 | 4.21 | 458.56 | 0.00 | 713.0 |
| R290 | 44.09 | C3H8 | −42.10 | 96.70 | 4.25 | 220.48 | 0.00 | 3.3 |
| R123 | 152.93 | C2Cl2F3H | 27.78 | 183.68 | 3.66 | 550.00 | 0.02 | 77.0 |
| R134a | 102.03 | C2F4H2 | −26.09 | 101.06 | 4.06 | 511.90 | 0.00 | 1430.0 |
| R143a | 84.04 | C3F3H3 | −47.24 | 72.71 | 3.76 | 431.00 | 0.00 | 4300.0 |
| Component | Energy Analysis | Exergy Analysis |
|---|---|---|
| Pump 1 | ||
| Recuperator | ||
| Regenerator | ||
| Pump 2 | ||
| Boiler | ||
| High-pressure expander | ||
| Low-pressure expander | ||
| Condenser 1 | ||
| Compressor | ||
| Condenser 2 | ||
| Throttling valve | ||
| Evaporator |
| Component | Cost Balance Equation | Auxiliary Equation |
|---|---|---|
| Pump 1 | ||
| Recuperator | ||
| Regenerator | ||
| Pump 2 | ||
| Boiler | ||
| High-pressure expander | ||
| Low-pressure expander | ||
| Condenser 1 | ||
| Compressor | ||
| Condenser 2 | ||
| Throttling valve | ||
| Evaporator |
| Component | Purchased Equipment Cost | Reference |
|---|---|---|
| Pump | [51] | |
| Evaporator | [51] | |
| Expander | [51] | |
| Condenser 1 | [56] | |
| Recuperator | [56] | |
| Regenerator | [36] | |
| Compressor | [57] | |
| Condenser 2 | [57] | |
| Throttling valve | [57] | |
| Evaporator | [57] |
| Component | U (kW/m2K) | Reference |
|---|---|---|
| Boiler | 0.9 | [49,58] |
| Condensers | 1.1 | [49,58] |
| IHE | 0.7 | [59] |
| Evaporator | 1.5 | [58] |
| Parameter | Grauberger et al. [26] | Present Model | Difference (%) | Saleh [60] | Present Model | Difference (%) |
|---|---|---|---|---|---|---|
| VCRC Cooling Rate | 300 kW | 300 kW | 0 | 136.3 kW | 300 kW | 0 |
| ORC Efficiency | 0.81 | 0.82 | 1.2 | 0.11 | 0.11 | 0 |
| VCRC COP | 6.32 | 6.31 | 0.002 | 4.84 | 4.84 | 0 |
| Turbine Power | 50.34 kW | 50.84 kW | 0.01 | 28.17 kW | 28.17 kW | 0 |
| Compressor Power | 47.47 kW | 47.52 kW | 0.001 | 28.17 kW | 28.17 kW | 0 |
| Boiler heat rate | 458.8 kW | 461.3 kW | 0.005 | 245.15 kW | 245.15 kW | 0 |
| Fluid in ORC | Fluid in VCRC | (%) | (%) | (kW) | (kW) | (kW) | (kg/s) | (kg/s) | |
|---|---|---|---|---|---|---|---|---|---|
| R245fa | R141b | 0.7702 | 46.89 | 45.96 | 15.13 | 35.73 | 78.65 | 1.064 | 0.390 |
| R600a | 0.7313 | 44.91 | 45.1 | 15.13 | 35.78 | 74.68 | 1.064 | 0.268 | |
| R290 | 0.7047 | 43.54 | 44.53 | 15.13 | 35.76 | 71.96 | 1.064 | 0.248 | |
| R134a | 0.7165 | 44.15 | 44.77 | 15.13 | 35.76 | 73.16 | 1.064 | 0.475 | |
| R143a | 0.6659 | 41.57 | 43.67 | 15.13 | 35.76 | 68.00 | 1.064 | 0.495 | |
| R123 | 0.7563 | 46.18 | 45.58 | 15.13 | 35.75 | 77.24 | 1.064 | 0.517 | |
| R245fa | 0.7470 | 45.70 | 45.44 | 15.13 | 35.77 | 76.28 | 1.064 | 0.468 | |
| R600 | R141b | 0.7679 | 47.75 | 45.39 | 14.59 | 36.24 | 80.91 | 0.557 | 0.401 |
| R600a | 0.7291 | 45.70 | 44.51 | 14.59 | 36.30 | 76.82 | 0.557 | 0.278 | |
| R290 | 0.7026 | 44.30 | 43.92 | 14.59 | 36.28 | 74.02 | 0.557 | 0.255 | |
| R134a | 0.7143 | 44.92 | 44.17 | 14.59 | 36.27 | 75.26 | 0.557 | 0.489 | |
| R143a | 0.6639 | 42.27 | 43.04 | 14.59 | 36.27 | 69.95 | 0.557 | 0.509 | |
| R123 | 0.7541 | 47.02 | 45.00 | 14.59 | 36.26 | 79.45 | 0.557 | 0.532 | |
| R245fa | 0.7447 | 46.53 | 44.85 | 14.59 | 36.28 | 78.47 | 0.557 | 0.481 | |
| R600a | R141b | 0.7303 | 46.97 | 42.33 | 13.09 | 37.92 | 80.85 | 0.666 | 0.401 |
| R600a | 0.6933 | 44.93 | 41.45 | 13.08 | 37.98 | 76.77 | 0.666 | 0.275 | |
| R290 | 0.6681 | 43.53 | 40.86 | 13.08 | 37.96 | 73.97 | 0.666 | 0.255 | |
| R134a | 0.6793 | 44.15 | 41.11 | 13.08 | 37.95 | 75.21 | 0.666 | 0.488 | |
| R143a | 0.6313 | 41.49 | 39.98 | 13.08 | 37.96 | 69.9 | 0.666 | 0.509 | |
| R123 | 0.7171 | 46.24 | 41.94 | 13.08 | 37.95 | 79.4 | 0.666 | 0.532 | |
| R245fa | 0.7082 | 45.75 | 41.79 | 13.08 | 37.96 | 78.41 | 0.666 | 0.481 | |
| R123 | R141b | 0.8088 | 47.90 | 48.53 | 16.56 | 34.63 | 79.24 | 1.125 | 0.393 |
| R600a | 0.7679 | 45.90 | 47.67 | 16.56 | 34.69 | 75.24 | 1.125 | 0.270 | |
| R290 | 0.7400 | 44.53 | 47.10 | 16.56 | 34.67 | 72.50 | 1.125 | 0.250 | |
| R134a | 0.7524 | 45.14 | 47.34 | 16.56 | 34.66 | 73.71 | 1.125 | 0.478 | |
| R143a | 0.6993 | 42.54 | 46.24 | 16.56 | 34.67 | 68.51 | 1.125 | 0.499 | |
| R123 | 0.7326 | 43.45 | 47.7 | 16.56 | 32.43 | 71.58 | 1.125 | 0.479 | |
| R245fa | 0.7844 | 46.71 | 48.01 | 16.56 | 34.67 | 79.24 | 1.125 | 0.393 | |
| R114 | R141b | 0.7254 | 46.91 | 42.10 | 12.87 | 37.94 | 80.96 | 1.576 | 0.402 |
| R600a | 0.6888 | 44.87 | 41.21 | 12.87 | 38.00 | 76.87 | 1.576 | 0.276 | |
| R290 | 0.6637 | 43.47 | 40.62 | 12.87 | 37.98 | 74.07 | 1.576 | 0.255 | |
| R134a | 0.6748 | 44.09 | 40.87 | 12.87 | 37.97 | 75.31 | 1.576 | 0.489 | |
| R143a | 0.6272 | 41.43 | 39.74 | 12.87 | 37.97 | 70.00 | 1.576 | 0.510 | |
| R123 | 0.7124 | 46.19 | 41.71 | 12.87 | 37.96 | 79.50 | 1.576 | 0.533 | |
| R245fa | 0.7035 | 45.69 | 41.56 | 12.87 | 37.98 | 78.52 | 1.576 | 0.482 |
| State | Fluid | (kg/s) | (°C) | (kPa) | (kJ/kg) | (kJ/kgK) | (kW) |
|---|---|---|---|---|---|---|---|
| 0 | Air | 30.0 | 101.0 | 401.2 | 1.673 | 0.00 | |
| 0′ | R123 | 30.0 | 101.0 | 303.4 | 6.876 | 0.00 | |
| 0″ | R141b | 30.0 | 101.0 | 303.4 | 0.273 | 0.00 | |
| 1 | R123 | 1.03 | 35.0 | 154.7 | 236.6 | 1.126 | 1.42 |
| 2 | R123 | 1.03 | 35.1 | 348.8 | 236.8 | 1.126 | 1.56 |
| 3 | R123 | 1.03 | 50.9 | 348.8 | 253.5 | 1.178 | 2.33 |
| 4 | R123 | 1.14 | 67.1 | 348.8 | 271.1 | 1.231 | 4.41 |
| 5 | R123 | 1.14 | 67.1 | 786.8 | 271.5 | 1.231 | 4.79 |
| 6 | R123 | 1.14 | 105.0 | 786.8 | 447.0 | 1.706 | 40.95 |
| 7 | R123 | 1.14 | 82.0 | 348.8 | 435.6 | 1.714 | 25.15 |
| 8 | R123 | 1.03 | 82.0 | 348.8 | 435.6 | 1.714 | 22.71 |
| 9 | R123 | 0.11 | 82.0 | 348.8 | 435.6 | 1.714 | 2.43 |
| 10 | R123 | 1.14 | 62.6 | 154.7 | 424.1 | 1.722 | 8.25 |
| 11 | R123 | 1.14 | 40.3 | 154.7 | 407.4 | 1.671 | 7.02 |
| 12 | Air | 20.00 | 112.8 | 101.0 | 387.0 | 7.120 | 193.80 |
| 13 | Air | 20.00 | 102.9 | 101.0 | 377.0 | 7.094 | 153.00 |
| 14 | Air | 34.89 | 30.0 | 101.0 | 303.4 | 6.876 | 0.00 |
| 15 | Air | 34.89 | 35.0 | 101.0 | 308.4 | 6.893 | 1.44 |
| 16 | R141b | 0.29 | 5.0 | 28.1 | 280.8 | 1.039 | −7.22 |
| 17 | R141b | 0.29 | 60.4 | 132.9 | 321.3 | 1.064 | 2.41 |
| 18 | R141b | 0.29 | 35.0 | 132.9 | 79.2 | 0.292 | 0.02 |
| 19 | R141b | 0.29 | 0.0 | 28.1 | 79.2 | 0.301 | −0.77 |
| 20 | Air | 11.70 | 10.0 | 101.0 | 283.3 | 6.808 | 8.12 |
| 21 | Air | 11.70 | 5.0 | 101.0 | 278.3 | 6.790 | 12.84 |
| 22 | Air | 13.07 | 30.0 | 101.0 | 303.4 | 6.876 | 0.00 |
| 23 | Air | 13.07 | 35.4 | 101.0 | 308.8 | 6.894 | 0.62 |
| Fluid in ORC | Fluid in VCRC | WER | EDF | EEF | ESI | $/h | $/kWh | PB Year |
|---|---|---|---|---|---|---|---|---|
| R245fa | R141b | 0.691 | 0.542 | 1.504 | 0.665 | 2.014 | 0.0705 | 2.67 |
| R600a | 0.692 | 0.550 | 1.535 | 0.651 | 2.001 | 0.0698 | 2.63 | |
| R290 | 0.692 | 0.553 | 1.554 | 0.644 | 1.998 | 0.0697 | 2.62 | |
| R134a | 0.692 | 0.551 | 1.545 | 0.647 | 2.008 | 0.0702 | 2.65 | |
| R143a | 0.692 | 0.560 | 1.585 | 0.631 | 2.004 | 0.0700 | 2.64 | |
| R123 | 0.692 | 0.545 | 1.518 | 0.659 | 2.020 | 0.0709 | 2.68 | |
| R245fa | 0.692 | 0.547 | 1.523 | 0.657 | 2.017 | 0.0707 | 2.68 | |
| R600 | R141b | 0.701 | 0.549 | 1.545 | 0.647 | 2.094 | 0.0722 | 2.71 |
| R600a | 0.702 | 0.556 | 1.578 | 0.634 | 2.082 | 0.0715 | 2.68 | |
| R290 | 0.702 | 0.560 | 1.599 | 0.626 | 2.079 | 0.0713 | 2.67 | |
| R134a | 0.702 | 0.558 | 1.589 | 0.629 | 2.088 | 0.0718 | 2.70 | |
| R143a | 0.702 | 0.567 | 1.631 | 0.613 | 2.084 | 0.0716 | 2.69 | |
| R123 | 0.702 | 0.552 | 1.559 | 0.641 | 2.101 | 0.0726 | 2.73 | |
| R245fa | 0.702 | 0.553 | 1.565 | 0.639 | 2.098 | 0.0724 | 2.72 | |
| R600a | R141b | 0.731 | 0.579 | 1.727 | 0.579 | 2.338 | 0.0749 | 2.86 |
| R600a | 0.732 | 0.587 | 1.767 | 0.566 | 2.326 | 0.0741 | 2.83 | |
| R290 | 0.732 | 0.591 | 1.792 | 0.558 | 2.323 | 0.0740 | 2.82 | |
| R134a | 0.732 | 0.589 | 1.780 | 0.562 | 2.333 | 0.0745 | 2.84 | |
| R143a | 0.732 | 0.597 | 1.831 | 0.546 | 2.329 | 0.0743 | 2.83 | |
| R123 | 0.732 | 0.582 | 1.745 | 0.573 | 2.345 | 0.0752 | 2.88 | |
| R245fa | 0.732 | 0.584 | 1.752 | 0.571 | 2.342 | 0.0751 | 2.87 | |
| R123 | R141b | 0.666 | 0.517 | 1.372 | 0.729 | 1.887 | 0.0672 | 2.54 |
| R600a | 0.667 | 0.524 | 1.399 | 0.715 | 1.874 | 0.0665 | 2.51 | |
| R290 | 0.666 | 0.528 | 1.415 | 0.707 | 1.872 | 0.0664 | 2.50 | |
| R134a | 0.666 | 0.526 | 1.407 | 0.711 | 1.881 | 0.0669 | 2.53 | |
| R143a | 0.666 | 0.534 | 1.441 | 0.694 | 1.877 | 0.0667 | 2.52 | |
| R123 | 0.669 | 0.522 | 1.402 | 0.713 | 1.767 | 0.0691 | 2.63 | |
| R245fa | 0.667 | 0.522 | 1.388 | 0.720 | 1.890 | 0.0674 | 2.55 | |
| R114 | R141b | 0.734 | 0.581 | 1.745 | 0.573 | 2.599 | 0.0758 | 2.86 |
| R600a | 0.736 | 0.589 | 1.785 | 0.560 | 2.586 | 0.0751 | 2.83 | |
| R290 | 0.735 | 0.593 | 1.810 | 0.553 | 2.583 | 0.0749 | 2.82 | |
| R134a | 0.735 | 0.591 | 1.798 | 0.556 | 2.592 | 0.0755 | 2.85 | |
| R143a | 0.735 | 0.599 | 1.850 | 0.541 | 2.589 | 0.0752 | 2.84 | |
| R123 | 0.735 | 0.584 | 1.762 | 0.568 | 2.605 | 0.0762 | 2.88 | |
| R245fa | 0.735 | 0.586 | 1.769 | 0.565 | 2.602 | 0.0760 | 2.87 |
Disclaimer/Publisher’s Note: The statements, opinions and data contained in all publications are solely those of the individual author(s) and contributor(s) and not of MDPI and/or the editor(s). MDPI and/or the editor(s) disclaim responsibility for any injury to people or property resulting from any ideas, methods, instructions or products referred to in the content. |
© 2023 by the authors. Licensee MDPI, Basel, Switzerland. This article is an open access article distributed under the terms and conditions of the Creative Commons Attribution (CC BY) license (https://creativecommons.org/licenses/by/4.0/).
Share and Cite
Özdemir Küçük, E.; Kılıç, M. Exergoeconomic and Exergetic Sustainability Analysis of a Combined Dual-Pressure Organic Rankine Cycle and Vapor Compression Refrigeration Cycle. Sustainability 2023, 15, 6987. https://doi.org/10.3390/su15086987
Özdemir Küçük E, Kılıç M. Exergoeconomic and Exergetic Sustainability Analysis of a Combined Dual-Pressure Organic Rankine Cycle and Vapor Compression Refrigeration Cycle. Sustainability. 2023; 15(8):6987. https://doi.org/10.3390/su15086987
Chicago/Turabian StyleÖzdemir Küçük, Esra, and Muhsin Kılıç. 2023. "Exergoeconomic and Exergetic Sustainability Analysis of a Combined Dual-Pressure Organic Rankine Cycle and Vapor Compression Refrigeration Cycle" Sustainability 15, no. 8: 6987. https://doi.org/10.3390/su15086987
APA StyleÖzdemir Küçük, E., & Kılıç, M. (2023). Exergoeconomic and Exergetic Sustainability Analysis of a Combined Dual-Pressure Organic Rankine Cycle and Vapor Compression Refrigeration Cycle. Sustainability, 15(8), 6987. https://doi.org/10.3390/su15086987

