Next Article in Journal
Thermodynamic Studies of the Micellar Properties of a Surfactant Used for Membrane Protein Solubilization and Stabilization
Next Article in Special Issue
Serial Dynamics, Spatial Spillover and Common Factors of Carbon Emission Intensity in China’s Bohai Economic Rim
Previous Article in Journal
Physical and Technological Capital Efficiency for Profit Growth in Small and Medium Enterprises in Gauteng, South Africa: A Descriptive Qualitative Study
Previous Article in Special Issue
A Study on the Visual Communication and Development of Green Design: A Cross-Database Prediction Analysis from 1972 to 2022
 
 
Font Type:
Arial Georgia Verdana
Font Size:
Aa Aa Aa
Line Spacing:
Column Width:
Background:
Article

Research on Wind Power Project Risk Management Based on Structural Equation and Catastrophe Theory

1
School of Management, Hebei GEO University, Shijiazhuang 050031, China
2
Natural Resource Asset Capital Research Center, Hebei GEO University, Shijiazhuang 050031, China
3
School of Urban Geology and Engineering, Hebei GEO University, Shijiazhuang 050031, China
*
Author to whom correspondence should be addressed.
Sustainability 2023, 15(8), 6622; https://doi.org/10.3390/su15086622
Submission received: 26 February 2023 / Revised: 7 April 2023 / Accepted: 11 April 2023 / Published: 13 April 2023

Abstract

Wind power projects are a crucial step towards achieving the objectives of “carbon neutrality” and “carbon peak” because they can improve the energy crisis and contribute towards environmental pollution reduction. However, the risks of wind power projects cannot be ignored, and the success of the design phase can affect the risks and benefits of wind power projects throughout their life cycle. This paper first proposes causality hypotheses for four types of risk factors in wind power projects: policy, economy, technology, and construction. It constructs a structural equation model for wind power project risk factors and then tests and modifies the model. Then, based on the latent variables of policy, economy, technology, and construction, and the relevant explicit variables, the risk index evaluation system of the wind power project design phase is constructed. The risk assessment catastrophe model of wind power projects is further established, and it is used to evaluate the risk of the K wind power project in the design phase. The risk assessment can identify the overall risk and main risk sources in wind power projects in the design phase and provide countermeasures for effectively controlling risks in wind power projects in China.

1. Introduction

Wind energy is a kind of green and clean energy [1,2]. Wind power projects can effectively alleviate energy shortages and reduce carbon emissions, which helps to achieve the goals of “carbon neutrality” and “carbon peak”. In recent years, with the rapid growth of installed wind power capacity [3,4], the risk control of wind power projects has become the focus of many scholars.
Turner et al. [5] studied risk management methods for wind and solar energy projects and found that managing these risks is becoming increasingly important, as market risks, construction risks, and operation risks increase. Han Sun [6] analyzed the influencing factors in the processes of wind power projects and tried to find the factor with the highest probability value, which is obtained by simulating the probability distribution of different influencing factors using the Monte Carlo analysis method. Anyou Dong et al. [7] identified the source, process, and endpoint risk factors of renewable energy generation in China by examining the risk factors of renewable energy generation projects in detail using an explanatory structural model approach, starting from the life cycle of renewable energy generation. Fengyun Ma et al. [8] analyzed risk factors by studying the whole process of large wind power engineering construction projects and proposed measures for effective prevention and control of project risks. Yunna Wu et al. [9] established an investment risk decision model for the investment planning stage of wind power projects based on interval type II fuzzy numbers and the VIKOR method from the decision perspective. Le Du [10] used the coefficient of variation method and an interpretive structure model to establish the impact model of risk factors at each phase of the whole life period on kilowatt cost. Ye Tian [11] combined the analytic hierarchy process (AHP) and the fuzzy comprehensive evaluation method to calculate the risk scores of wind power projects during construction and operation and established a decision tree model for risk evaluation of wind power construction projects. Xuemin Zhang et al. [12] identified hidden risks in the design, manufacturing, transportation, construction, operation, and maintenance phases of wind power industry products from the perspective of the industry chain and introduced corresponding risk management insurance strategies. Jui-Sheng Chou et al. [13] identified risk factors in the construction and operation of offshore wind farms in Taiwan. The risk rankings and preventive measures can serve as references for relevant industry personnel in island cities and nearby Asian countries to reduce risk in the management of OWP projects.
As mentioned above, scholars mainly study the risk of investment, operation, or whole periods [4,13,14,15], and little research has been conducted on the risk of the wind power project design phase. Wind power project construction is often a huge investment, and if problems occur, the resulting losses are often tragic. According to relevant analytical studies, in addition to the impact of decision making on investment, the greatest impact on investment is in the design phase, where the likelihood of achieving savings is 80% [16]. It is therefore particularly important to identify and reduce risk in the design phase of wind power projects. The success of the design phase of a wind power project can not only affect investment decisions but may also reduce construction difficulty during the construction period and increase income during the operation period. As the development of China’s wind power market is still immature at this stage, technical services are not yet complete and there are still many shortcomings in the research and development of wind energy technologies, project consultation before wind farm construction, measurement and assessment of wind energy resources, and the selection, planning, and design of wind farms. The perennial operation of wind farms under low power generation conditions results in a huge waste of wind energy resources, which leads to huge economic losses. It is necessary to identify and assess the risks of wind farm projects during the design phase to ensure that good economic benefits can be obtained once the wind farm is in operation [17,18].
Wind power projects are characterized by short, frequent, and fast meetings [19]. Moreover, the work of investors, designers, builders, construction teams, and other participants is influenced by each other. Therefore, the risks generated by any party can have a marked impact on the whole project. The correlation between risk factors in wind power projects makes the application of existing common risk evaluation methods very limited, as the Monte Carlo numerical simulation or hierarchical analysis, for example, have high requirements for the independence of risk factors. The obvious disadvantage of the probabilistic method is that it is too mechanical, many risk factors cannot be quantified or obey unknown distribution functions, and mandatory application of some distribution functions will cause a large deviation between the evaluation results and the actual situation. For this reason, this paper must find a new risk evaluation method. The structural equation model can solve the problem of data information processing among various variables and factors and is suitable for the analysis of risk factors in wind power projects [20,21]. In this paper, the causality hypothesis of wind power project risk factors is first proposed and found to be suitable for analysis using structural equation modeling. Therefore, the structural equation model of wind power project risk factors was established, tested, and modified. At the same time, the fuzzy mathematics theory and catastrophe theory [22,23,24,25], taking the sudden occurrence of risks and the fuzziness of risk evaluation features into account, were used to construct the risk index evaluation system in the design phase of wind power projects based on the latent variables and related explicit variables determined by the structural equation model, and establishes the risk evaluation catastrophe model of wind power projects. Finally, the model is used to carry on the empirical research on the K wind power project for evaluating the risk of wind power projects. The overall risk and main risk sources can be found in the design phase, which provides countermeasures for effectively controlling risk in wind power projects in China.

2. Introduction to Structural Equation Model Method

An SEM (structural equation model) is also known as a latent variable or linear structural model. An SEM is a statistical model for quantifying variables and testing hypothetical relationships and is widely used in scientific research [26], as it can solve problems with variables that are not directly observable by studying both observed and potential variables [27]. It has been promoted in many scientific fields of study and has brought convenience to scientific research. An SEM bridges the gap between theory and practice and allows for the existence of elastic variable errors. It can analyze and verify the relationship between multiple variables at the same time.
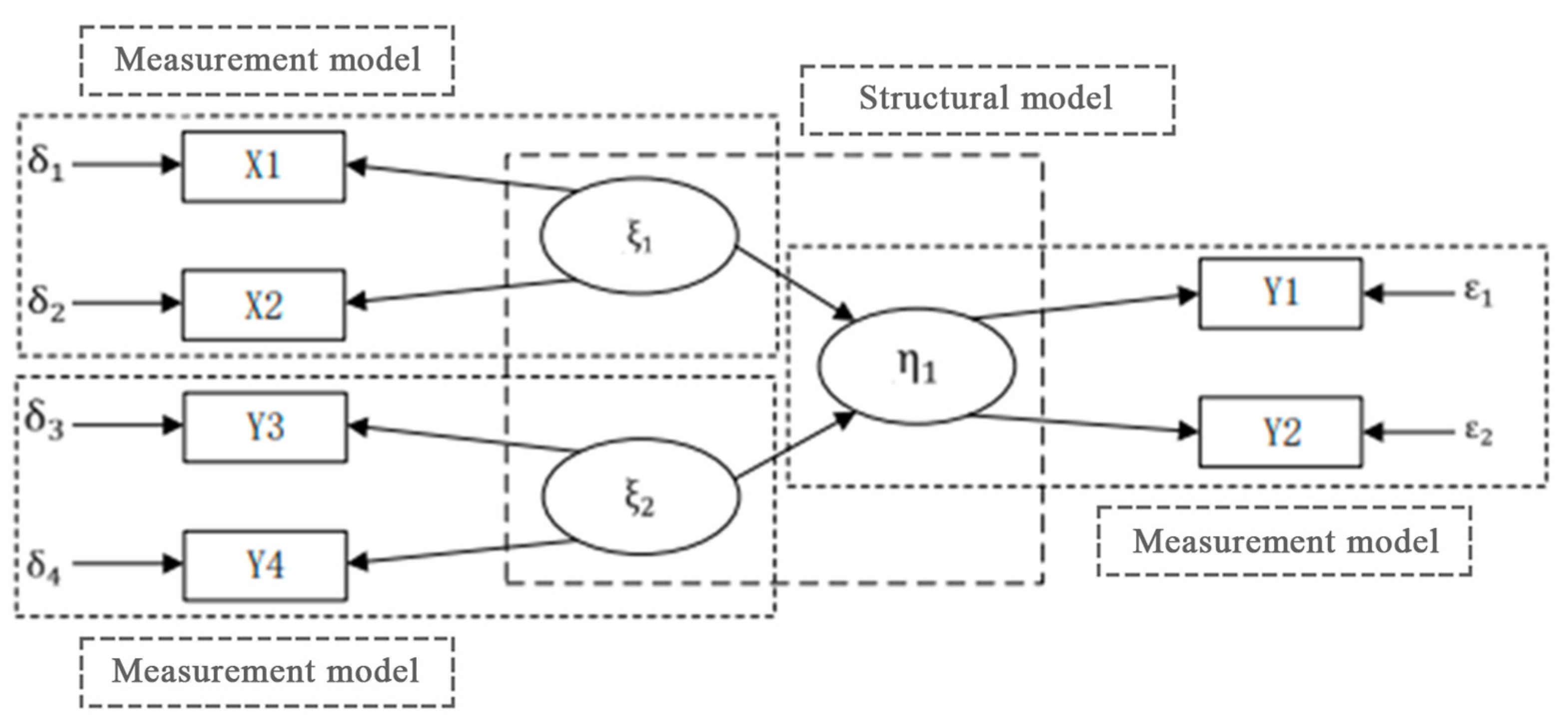
Generally, an SEM consists of 2 parts: the measurement model and structural model, as shown in Figure 1. The measurement model is used to study the relationship between measurable variables and unmeasurable variables, and the structural model is used to study the relationship between unmeasurable variables.
Measurement model:
{ x = Λ x ξ + δ y = Λ y η + ε  
Structural model:
η = β η + Γ ξ + ζ  
where x represents a vector composed of exogenous variables and y represents a vector composed of endogenous variables. ΛX represents the factor loading matrix between exogenous indicators and exogenous variables and ΛY represents the loading matrix between variables (endogenous). η is a vector composed of endogenous latent variables. δ and ε are the measurement errors of explicit variables. β is the coefficient matrix of endogenous latent variables. Γ denotes the coefficient matrix of ξ and η. ξ represents a vector composed of exogenous latent variables. ζ represents the error term of the structural equation.
The application process of structural equation modeling is usually divided into 5 steps: model construction, model fitting, model evaluation, model modification, and model analysis.

3. Construction of Structural Equation Model for Risk Factors in Wind Power Projects

This paper examines risk management in wind power projects during the design phase. The risk factors in the design phase of a wind power project were first identified and then a structural equation model of the risk factors was developed. The paper begins by combing through the relevant literature (see Table 1). The risk factors that appear in Table 1 include six categories: policy, economic, technical, construction, environmental, and social, and the risk factors that appear more than four times include policy, economic, technical, and construction factors. Based on the frequency of risk factors in the literature, this paper summarizes the risk factors in the design phase of wind power projects, which include four main categories: policy, economic, technical, and construction.
Based on the literature review of risk factors in the design phase of wind power projects, this paper consults experts in the field of wind power and concludes that environmental factors mainly refer to environmental policies. Further, the author’s experience in the field led to the identification of four risk factors in the design phase of wind power projects: policy, economics, technology, and construction.
Policy factors: Wind power is a renewable and clean energy source, and under the dual pressure of energy shortage and climate change, it depends to a certain extent on the strength of national policy support, which directly affects whether wind power projects and the wind power industry can develop smoothly. As the unit cost of wind power is relatively high, without considerable policy support in terms of price, the development of wind power projects and the wind power industry will face huge difficulties. Therefore, policy factors are screened as one of the risk factors in the design phase of a wind power project.
Economic factors: The ultimate goal of a wind farm construction project is to make a profit, so the economic risk is a risk that wind power companies need to care about as well as consider. As the wind power industry is characterized by large investments and long capital recovery cycles, it requires a larger loan ratio to be used in the project investment process and therefore requires investors to take on risks such as inflation, currency devaluation, and interest rate changes. Although the current price of wind power equipment has been reduced, it is still high overall and there is still a large capital outlay when purchasing equipment. The risk of equipment cost should be considered when evaluating the risk of wind farm construction projects. At the same time, whether the electricity sent out by the wind farm can be consumed promptly will also directly affect the benefits of wind farm production.
Technical factors: In the design phase of a wind power project, the overall construction organization design will affect the overall quality of the project implementation. Usually, the overall construction organization design is completed by a professionally qualified design unit, which completes a feasibility study and prepares a general plan based on the specific characteristics of the project and project information before the project is implemented. Therefore, the level of technical competence of the design unit has an important influence on the implementation of the wind power project.
Construction factors: Wind power projects require the participation of the designer, the builder, the wind power equipment manufacturer, and the owner, who needs to manage and coordinate the work of the other three parties in the wind power project. A strong management capability on the part of the owner in the wind power project will ensure that the construction of the project proceeds smoothly. In the face of the difficulty of constructing a wind power construction project, the construction side must be able to complete the construction project with qualified quality and within the scheduled time. Therefore, construction factors are used as one of the risk factors in the design phase of a wind power project.

3.1. Preliminary Path Assumptions

Risk factors in the design phase of wind power projects include policy factors, economic factors, technical factors, and construction factors. Policy factors include wind power industry policy, electrovalence policy, and ecological environment policy. Currently, China is encouraging the development of the wind power industry and has introduced a series of financial and fiscal policies to support it. Fiscal and financial policies can reduce the financing costs of wind power projects to a certain extent. The green energy produced by wind power projects will eventually be transmitted through the grid, and the electrovalence policy will affect the grid’s ability to consume and thus affect the grid-connected transmission of wind power projects. Based on the above considerations, this paper argues that the policy aspects of wind power projects have a direct impact on the economic aspects of risk. The design phase of a wind power project takes into account economic factors such as financing capacity, absorption capacity of the power grid, and the cost of wind power equipment. The economic status of a project affects its construction methods, schedule, and safety requirements, and thus the construction factors of the project. The thesis therefore assumes that economic risk has a significant impact on construction risk. Wind power projects must use scientific, reasonable, and feasible technical solutions, deepening designs, and construction organization designs to ensure the economics of the project, not necessarily the leading domestic- or world-advanced design and construction technologies, and therefore the paper assumes that technical risk has a significant impact on economic risk. The technical aspects of a wind power project are the basis and foundation for the development of a construction program and are the guarantee that the construction program is scientific and feasible. The paper hypothesizes that the technical aspects of risk have a significant impact on the construction aspects of risk. Therefore, the paper proposes the following preliminary path assumptions for the four latent variables: policy factors, economic factors, technical factors, and construction factors:
H1. 
Policy risks have a significant impact on economic risks.
H2. 
Economic risks have a significant impact on construction risks.
H3. 
Technical risks have a significant impact on economic risks.
H4. 
Technical risks have a significant impact on construction risks.
The structural equation model of the preliminary hypothesis is shown in Figure 2.
Since the above four types of risks cannot be directly measured and evaluated, it is necessary to determine the observed variables of each risk element. In this paper, a wind power project risk factor table is established (see Table 2) based on expert suggestions and relevant theoretical research.

3.2. Sending and Collecting Questionnaires

The questionnaires were distributed to wind power industry experts and practitioners. The questionnaire was adopted in the form of a Likert five-level scale, and the set of comments was V = {V1, V2, V3, V4, V5} = {very small, small, average, large, very large} = {1, 2, 3, 4, 5}. A total of 300 questionnaires were collected from relevant personnel in the field of wind power and the statistical results are shown in Table 3.

4. Structural Equation Model Test of Wind Power Project Risk Factors

A structural equation model (SEM) is a method to verify the causal relationship among latent variables that allows some errors between variables, and the established model has a high degree of fitting. In this paper, the structural equation model was used to analyze the causal relationship between risk factors in wind power projects.

4.1. Reliability Test of Sample Data

A reliability test was used to verify the consistency and stability of sample data, which are usually verified by Cronbach’s Alpha method. In this paper, the reliability of each latent variable in the questionnaire and the total reliability of the questionnaire, as shown in Table 4, was tested by SPSS 25, respectively.
The reliabilities of the four latent variables A, B, C, and D were 0.769, 0.779, 0.796, and 0.706, respectively. Moreover, the reliability of the total volume table reached 0.815. High reliability was indicated in this scale.

4.2. Validity Test of Sample Data

A validity test was used to measure whether the design of question type was reasonable and whether it could reflect the problem to be studied. KMO value and Bartlett sphericity are usually used to test the validity of sample data. In this paper, the validity of the questionnaire, as shown in Table 5, was tested by SPSS 25.
It can be seen from Table 5 that the whole KMO value of the sample data was 0.820, and the KMO values of the four latent variables were also greater than 0.5, while the significance level of p = 0.000 for the Bartlett’s sphericity test for the whole and each latent variable meets the criterion of p < 0.01, indicating that the questionnaire data have high validity.
In conclusion, the questionnaire data have good reliability and validity and meet the construction requirements of the structural equation model, which can be used to verify the preliminary theoretical hypotheses.

4.3. Preliminary Verification of Structural Equation Model

Using AMO 23.0 software, a preliminary structural equation model was constructed, and the questionnaire data were imported into the software. The model was fitted using the maximum likelihood estimation method and standardized for the structure of each path run of the model. The results of the runs and the calculation of each indicator are shown in Figure 3.
The estimated values of each parameter were obtained, as shown in Table 6, through the validation analysis of potential variables. The conclusion is as follows: the path coefficients of the four preliminary hypotheses are significant and the hypothesis is valid.
According to the fitting degree index analysis results of the model in Table 7, it can be seen that the fitting degree of the model cannot reach the optimal standard for several indexes, so it is necessary to revise the model.

4.4. Structural Equation Model Modification

The initial model was modified as per the software instructions according to the calculation results of “Modification Indices (M.I.)” of the option in AMOS23.0, and the covariance modification suggestions are shown in Table 8.
In the above table, M.I. indicates that if a correlation path is added between the explicit variables of electricity price policy and ecological environment policy, the Chi-square value of the model will decrease by 23.661. If a correlation path is added between the two explicit variables of wind power industrial policy and eco-environmental policy, the Chi-square value of the model will decrease by 10.702.
Depending on the actual situation, there is a relationship between the wind power industry policy and the electrovalence policy. The wind power industry is influenced by national preferential policies, for example, by granting some subsidies on electricity prices for wind power projects. There is also a relationship between wind power industry policy and ecological environment policy. To strictly protect forest land in areas with important ecological functions and sensitive ecological fragility, ecological environment policy strictly regulates the use of forest land for wind farm construction. It promotes the healthy development of the wind power industry and the harmonious coexistence of man and nature. Therefore, according to the model proposal, it is of practical significance to add correlation paths between the residual variables of the significant variables a1~a2 and a1~a3.
Compared with the initial model, the goodness of fit index of the revised model has been greatly improved, and the comparison results are shown in Table 9.
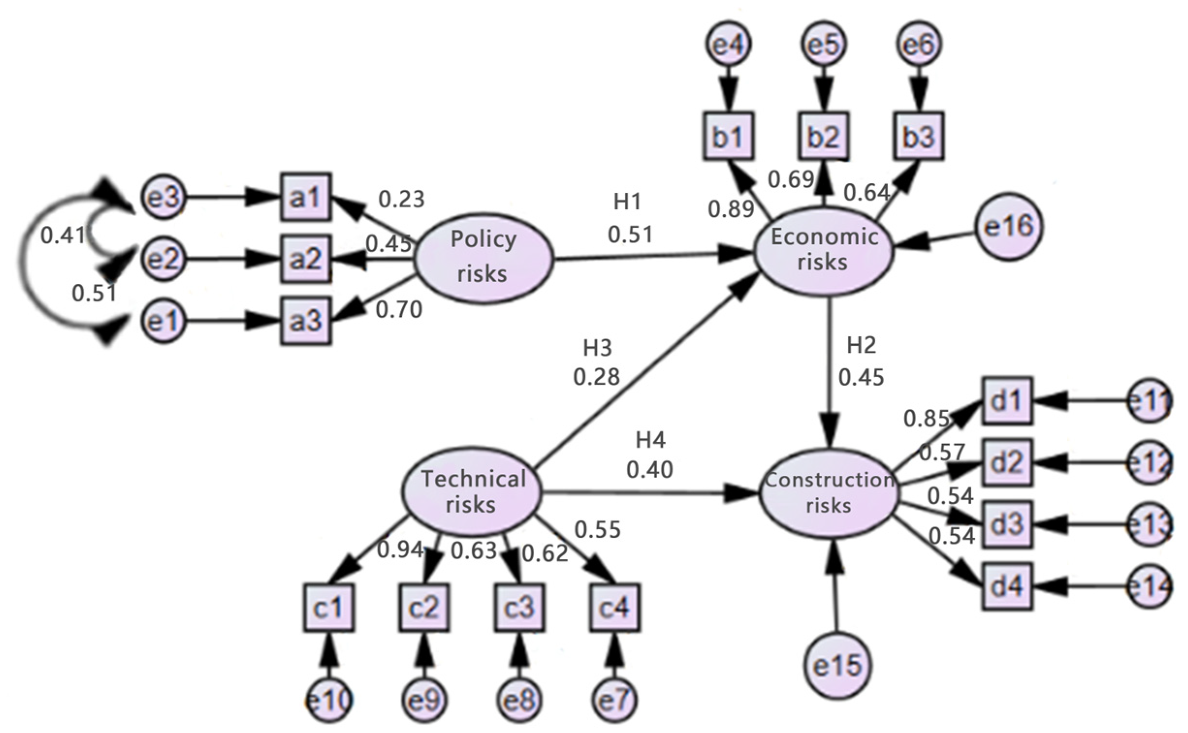
After the model was corrected, the program was re-run and the structure of each path run of the model was normalized. The final results are shown in Figure 4 and the results of the analysis of the revised latent and explicit variable parameter estimates are shown in Table 10.
According to the calculation results of the model, the effect coefficients among all latent variables are analyzed in Table 11.

4.5. Analysis of Model Results

The final standardized structural equation model operation results show:
For the H1 hypothesis, the standardized path coefficient of A → B is 0.513, and p < 0.05, which passes the test. That is, policy risks have a significant impact on economic risks. H1 is established.
For the H2 hypothesis, the standardized path coefficient of B → D is 0.445, and p < 0.05, which passes the test. In other words, economic risks have a significant impact on construction risks. H2 is established.
For the H3 hypothesis, the standardized path coefficient of C → B is 0.278 and p < 0.05, which passes the test. That is, technical risks have a significant impact on economic risks. H3 is established.
For the H4 hypothesis, the standardized path coefficient of C → D is 0.405, and p < 0.05, which passes the test. That is, technical risks have a significant impact on construction risks. H4 is established.
To sum up, all four hypotheses proposed are valid in this paper. Combined with reality, fiscal and financial policies can reduce the financing costs of wind power projects to a certain extent, while electrovalence policy can affect the grid’s capacity to consume. Therefore, policy-related risks have a significant impact on economic risks. The economic situation of a wind power project can affect its construction methods, schedule, and safety requirements, thus influencing the construction factors of the project. Therefore, economic risks have a significant impact on construction risks. For wind power projects, scientific, reasonable, and feasible technical solutions that deepen design and construction organization design can ensure the economy of the project. Therefore, the technical aspects of risk have a significant impact on the economic aspects of risk. The technical proposal of a wind power project is the basis for the construction plan and is the guarantee of a scientific and feasible construction plan. Therefore, the technical aspects of the risk have a significant impact on the construction aspect of the risk.

5. Risk Assessment of Wind Power Project Design Phase

5.1. Construction of Wind Power Project Risk Evaluation Index System

The structural equation model shows that the risk factors of wind power projects mainly include policy, economy, technology, and construction. On this basis, the risk evaluation index system was constructed in the wind power project design phase (see Table 12).

5.2. Basic Principle of Mutation Model and Construction of Risk Assessment Model in Wind Power Project Design Phase

(1)
Basic principle of mutation model
Abrupt change theory is a new branch of mathematics to study discontinuity. The common mutation models are divided into four types: folding mutation, pointy mutation, dovetail mutation, and butterfly mutation (as shown in Table 13). Usually, appropriate mutation models are selected according to the number of control parameters. Different mutation models have different mutation potential functions, and the normalization formula can transform control variables and state variables into the same qualitative state to meet the calculation requirements. When the normalization formula is used for calculation, each control variable has different degrees of influence on the state variable, so it is necessary to prioritize the importance of the control variable.
The control variables of the mutation function can be used as the mutation membership function of risk assessment in the design phase of wind power projects after normalization. When calculating the mutation membership function value step by step, the principle of “complementary” or “non-complementary” should be implemented according to whether each control variable of the index at the same level has an obvious interrelation (as shown in Figure 5).
(2)
Determine the risk level of evaluation indicators
In this paper, risk levels are divided into five levels and the set of comments is V = {low risk, low risk, medium risk, high risk, high risk}. Due to the fuzziness of risk levels, fuzzy numbers are used to describe semantic variables according to the fuzzy theory, V = {low risk, low risk, medium risk, high risk, high risk} = {1, 3, 5, 7, 9}.
The scoring results of experts were summarized and counted. The average scores of 10 experts were taken for each index. The difference method was adopted to conduct dimensionless processing for the scoring values of each evaluation index and the scoring results were normalized to the range [0–1]. Since risk is a negative indicator, the standardized formula of negative indicators should be adopted as Formula 3:
x i j = max x i j x i j max x i j min x i j
(3)
Mutation level was calculated by mutation theory
The standardized values of the evaluation index are substituted into the formula of the mutation model and the recursive operation is carried out step by step. Finally, the total mutation level value is obtained. When establishing the abrupt change model of risk indicators in the design phase of wind power projects, the appropriate abrupt change model should be selected according to the number of control variables and the calculation should be calculated step by step, according to the relationship between indicators (Table 14 is the summary table of abrupt change model of risk assessment at the design phase of wind power projects).
(4)
Classification of risk levels
The total mutation phase value can be obtained through the above calculation. The subordinate intervals of risk levels are then determined according to the classification of project risk levels and expert opinions, as shown in Table 15.
The wind power project design phase risk level was confirmed by comparing the total mutation phase value, which is calculated, with the corresponding risk belonging interval. Then, on this basis, reasonable suggestions for wind power project design were proposed to reduce the possibility of risk occurrence.

6. K Project Design Phase Risk Assessment

6.1. Project Overview

The K wind farm project is located in Kangbao County, Hebei Province. The wind power density level of the wind farm is level 4 and the wind energy resources are rich, which is very suitable for the development of large-scale wind farms. The regional geomorphic unit belongs to the tectonic denudation hill subregion of the tectonic denudation plateau region and the massive-dominated hill subregion with no quaternary active faults. According to the data mastered in the design phase, the wind turbine location layout has avoided basic farmland, nature reserves, tourist areas, etc., there are no military facilities and there is no mining problem involved. To the south of the K wind farm, there is the Huade–Kangbao highway, which reaches the county town in the east with convenient transportation.

6.2. K Wind Power Project Design Phase Risk Assessment

The risk evaluation index system constructed above was applied to the K wind power project. Ten experts in the wind power field were invited to score the indexes of the index layer of the project according to their theoretical knowledge and experience combined with the project data, and the score of the risk evaluation index of the design phase of the K wind power project was obtained. Then, according to the index standardization formula, the expert scores were normalized to the range [0–1] and the standardized scores of each index were calculated. Then, according to the number of control variables and the importance of variables of the evaluation index, the corresponding mutation model type was selected to establish the mutation model of risk in the design phase of the K wind power project. The standardized scores were substituted into the corresponding mutation function normalization formula and the mutation level value was obtained through calculation. The mutation level value (MLV) of the upper-level index was calculated through step-by-step recursive calculation according to the principle of “complementary” and “non-complementary” and the total mutation level value was finally obtained (as shown in Table 16).
The calculated risk mutation level value of the K wind power project in the design phase is 0.8632. Compared with the risk subordination interval, it can be seen that the risk level of this wind power project in the design phase is IV (acceptable risk). In addition, among the first-level indicators, “construction risk D” is graded V (negligible risk), while “policy risk A”, “economic risk B”, and “technical risk C” are graded IV (acceptable risk).

7. Conclusions and Suggestions

In this paper, a structural equation model of wind power project risk factors is constructed. Based on the latent variables of policy, economy, technology, and construction, as well as the relevant explicit variables, the risk index evaluation system of wind power project design phase was constructed. Fuzzy mathematics theory and catastrophe theory were used to establish a wind power project risk factor evaluation model, and the model was used to evaluate the risk in the design phase of the K wind power project. It is concluded that the risk mutation level value of the K wind power project design phase is 0.8632 and the risk level of this wind power project design phase is IV (acceptable risk), which is consistent with the actual situation of the project. It can be seen that the risk assessment model of wind power project design phase based on structural equation and catastrophe theory is effective, scientific, and feasible.
Based on the results of the structural equation model of risk factors in the design phase of wind power projects and the empirical analysis of risk evaluation in the design phase of the K wind power project, the following recommendations are made for effective control of risks in the design phase of wind power projects in China:
(1)
For “policy risks”: In view of China’s “dual carbon” strategic objectives, this study will encourage high-quality development. The country will continue to increase its support for green energy projects for a considerable period; however, at the same time, the impact of ecological and environmental policies on wind power projects should be considered. The design, construction, and operation of wind power projects should ensure that no damage is caused to the local ecological environment, or appropriate technical and organizational measures should be taken to restore the environmental damage caused by the projects.
(2)
For “economic risks”: The policy risk of wind power projects can have a direct impact on the economic risk. Projects should pay close attention to national wind power industrial policies and electrovalence policies during the planning and design stages and should make corresponding adjustments to the proposed project’s investment based on the power restrictions of the surrounding wind farms. Adequate funding should be ensured before the construction of the project, grid connection-related procedures should be obtained, and wind power equipment supply contracts should be signed in advance in order to reduce the economic risk of the project. The technical risks of wind power projects have a significant impact on the economic risks. Projects should be fully justified, and scientific and feasible technical solutions, deepening design and construction organization design, should be adopted to reduce the impact of technical risk on economic risk.
(3)
About “technical risk”: Due to “wind energy resource risk”, more attention should be paid to this at the beginning of the design. Data from the wind towers and weather stations around the wind farm should be collected and professional fluid dynamics software should be used to simulate the wind farm flow field. Microsite selection, selection of the appropriate fan position, and detailed energy generation estimations should be continued. Future studies might consider a detailed feasibility study on the technical scheme which deepens the design level and formulates a sound construction organization scheme.
(4)
For “construction risk”: The economic risks of wind power projects have a significant impact on construction risks. The impact of economic factors, such as financing capacity, the absorption capacity of power grids, and the cost of wind power equipment on construction risk should be considered during the design phase. At the same time, project technical risks also have a significant impact on construction risks. Detailed geological surveys are carried out during the design phase and a comprehensive and in-depth understanding of the geological conditions of the project area is required to reduce or avoid accidents caused by improper construction methods. A reasonable and sound construction organization design should be adopted, and a reasonable schedule should be created for the climatic conditions of the project site to ensure the construction progress of the project.

Author Contributions

The paper was written by S.Z. and X.S. and was revised and checked by X.M., J.L. and G.S. All authors have read and agreed to the published version of the manuscript.

Funding

This research was supported by the Youth Program of Hebei GEO University (Fund number: QN202116), the Science Foundation of Ministry of Education of China (No. 21YJC630072) and Hebei Social Science Foundation Project (project number HB20GL044).

Institutional Review Board Statement

The study was conducted in accordance with the Declaration of Helsinki and approved by the Institutional Review Board of School of Management, Hebei GEO University (protocol code 2023-02 and date of approval 16 February 2023) for studies involving humans.

Informed Consent Statement

Informed consent was obtained from all subjects involved in the study.

Data Availability Statement

The data presented in this study are available on request from the corresponding author. The data are not publicly available due to the data in this article come from questionnaires, which involve the privacy of the subjects.

Conflicts of Interest

The authors declare no conflict of interest.

References

  1. Hou, G.; Xu, K.; Lian, J. A review on recent risk assessment methodologies of offshore wind turbine foundations. Ocean. Eng. 2022, 264, 112469. [Google Scholar] [CrossRef]
  2. Wu, Y.; Zhang, T. Risk assessment of offshore wave-wind-solar-compressed air energy storage power plant through fuzzy comprehensive evaluation model. Energy 2021, 223, 120057. [Google Scholar] [CrossRef]
  3. Wu, Y.; Chu, H.; Xu, C. Risk assessment of wind-photovoltaic-hydrogen storage projects using an improved fuzzy synthetic evaluation approach based on cloud model: A case study in China. J. Energy Storage 2021, 38, 102580. [Google Scholar] [CrossRef]
  4. Gatzert, N.; Kosub, T. Risks and risk management of renewable energy projects: The case of onshore and offshore wind parks. Renew. Sustain. Energy Rev. 2016, 60, 982–998. [Google Scholar] [CrossRef]
  5. Turner, G.; Roots, S.; Wiltshire, M.; Trueb, J.; Brown, S.; Benz, G. Profiling the Risks in Solar and Wind, Bloomberg and Swiss Re. 2013. Available online: http://about.bnef.com/ (accessed on 30 June 2014).
  6. Sun, H. Risk Evaluation Analysis of Wind power projects based on Monte Carlo. Theor. Mon. 2011, 166–169. [Google Scholar] [CrossRef]
  7. Dong, A.; Song, Y.; Zhang, J.; Ju, L.; Tan, Z.; Liu, K. Common risk analysis model of renewable energy power generation based on the whole life cycle. East China Electr. Power 2013, 41, 1424–1430. [Google Scholar]
  8. Ma, F. Risk Management of Large-Scale Wind Power Construction Projects. Low Carbon World 2017, 127–128. [Google Scholar] [CrossRef]
  9. Wu, Y.; Sun, X.; Lu, Z.; Li, X.; Xu, C. Research on investment risk decision model of wind power construction project based on interval type II fuzzy AHP-VIKOR. Sci. Technol. Manag. Res. 2019, 39, 236–245. [Google Scholar]
  10. Du, L. Research on Kilowatt-Hour Cost Risk Management of Onshore Wind Power Projects. Ph.D. Thesis, North China Electric Power University, Beijing, China, 2021. [Google Scholar]
  11. Tian, Y. Risk Assessment and Application of Wind Power Project Based on Improved Multi-Level Fuzzy Comprehensive Evaluation. Ph.D. Thesis, Sichuan Normal University, Chengdu, China, 2021. [Google Scholar]
  12. Zhang, X.; Liang, Z. Research on Risk Management and Insurance Optimization Strategy of Wind Power Industry Based on Industry integration perspective. Shanghai Insur. 2021, 430, 48–52. [Google Scholar]
  13. Chou, J.S.; Liao, P.C.; Yeh, C.D. Risk analysis and management of construction and operations in offshore wind power project. Sustainability 2021, 13, 7473. [Google Scholar] [CrossRef]
  14. Jami, A.A.; Walsh, P.R. Wind power deployment: The role of public participation in the decision-making process in Ontario, Canada. Sustainability 2016, 8, 713. [Google Scholar] [CrossRef]
  15. Rabbani, R.; Zeeshan, M. Impact of policy changes on financial viability of wind power plants in Pakistan. Renew. Energy 2022, 193, 789–806. [Google Scholar] [CrossRef]
  16. Jie, Z.; Souma, C.; Messac, A.; Castillo, L. A Response Surface-Based Cost Model for Wind Farm Design. Energy Policy 2012, 42, 538–550. [Google Scholar]
  17. Zhu, X. Current situation and countermeasures of wind power curtailment in China. Energy Conserv. 2012, 30, 67. [Google Scholar]
  18. Bai, J.; Xin, S.; Jia, D.; Cheng, L. Research on major issues related to wind power development, consumption, and transmission in China. Power Grid Clean Energy 2010, 26, 14–17. [Google Scholar]
  19. Wizelius, T. Developing Wind Power Projects: Theory and Practice; Routledge: Abingdon, UK, 2015. [Google Scholar]
  20. Hox, J.J.; Bechger, T.M. An Introduction to Structural Equation Modeling; Springer: Cham, Switzerland, 1998. [Google Scholar]
  21. Kline, R.B. Principles and Practice of Structural Equation Modeling; Guilford Publications: New York, NY, USA, 2015. [Google Scholar]
  22. Poston, T.; Stewart, I. Catastrophe Theory and Its Applications; Courier Corporation: Chelmsford, MA, USA, 2014. [Google Scholar]
  23. Qiu, X.; Cao, Q.; Wang, Y.; Liu, Q. Risk assessment method of coal spontaneous combustion based on catastrophe theory. IOP Conf. Ser. Earth Environ. Sci. 2020, 603, 012017. [Google Scholar] [CrossRef]
  24. Chen, Y.; Song, G.; Yang, F.; Zhang, S.; Zhang, Y.; Liu, Z. Risk assessment and hierarchical risk management of enterprises in chemical industrial parks based on catastrophe theory. Int. J. Environ. Res. Public Health 2012, 9, 4386–4402. [Google Scholar] [CrossRef]
  25. Li, B.; Li, J.; Lu, J. Research on the Coupled Risk of Key Nodes in Maritime Transport Based on Improved Catastrophe Theory. Sustainability 2019, 11, 4640. [Google Scholar] [CrossRef]
  26. Liang, C.; Dai, J.; Zhu, L. Research on Evaluation Model of Public Service Satisfaction Based on SEM. East China Econ. Manag. 2015, 29, 123–129. [Google Scholar]
  27. Xin, S.; Chen, Y.; Zhang, C. Summary of Application Research Achievements of Structural Equation Modeling Theory. Ind. Technol. Econ. 2014, 33, 61–71. [Google Scholar]
  28. Mei, C. Research on Risk Assessment of K Wind Farm Construction Project. Master’s Thesis, North China Electric Power University, Beijing, China, 2021. [Google Scholar] [CrossRef]
  29. Shen, L. Analysis of risk management and control in the construction of large-scale wind power projects. Eng. Constr. Design 2022, 239–241. [Google Scholar] [CrossRef]
  30. Li, K. Research on Fuzzy Comprehensive Evaluation of Wind Power Project risk. Ph.D. Thesis, North China Electric Power University, Beijing, China, 2017. [Google Scholar]
  31. Peng, X. Risk management and risk countermeasures research on wind power project construction period. Yunnan Hydropower 2016, 32, 15–16, 27. [Google Scholar]
Figure 1. Structural equation model.
Figure 1. Structural equation model.
Sustainability 15 06622 g001
Figure 2. Structural equation model diagram of preliminary hypothesis.
Figure 2. Structural equation model diagram of preliminary hypothesis.
Sustainability 15 06622 g002
Figure 3. Normalized structural equation model diagram.
Figure 3. Normalized structural equation model diagram.
Sustainability 15 06622 g003
Figure 4. Final standardized structural equation model diagram.
Figure 4. Final standardized structural equation model diagram.
Sustainability 15 06622 g004
Figure 5. Flow chart of application principle to calculate mutation function value of superior index.
Figure 5. Flow chart of application principle to calculate mutation function value of superior index.
Sustainability 15 06622 g005
Table 1. Preliminary screening of literature and display of risk factors in wind power projects.
Table 1. Preliminary screening of literature and display of risk factors in wind power projects.
AuthorArticle TitleRisk Factors
Ye Tian [11]Risk assessment and application of wind power project based on improved multi-level fuzzy comprehensive evaluationNatural environment risk
Economic risk
National policy risk
Construction risk
Mei Chao [28]Research on risk assessment of K wind farm
construction project
Policy risk
Environmental and ecological risks
Technical risk
Economic risk
Social risk
Manage risk
Shen Lei [29]Analysis of risk control in large-scale wind power project constructionNatural disaster risk
Resource allocation risk
Technology implementation risk
Construction management risk
Li Kai [30]Research on fuzzy comprehensive evaluation of wind power project riskPolicy risk
Economic risk
Technical risk
Personnel risk
Peng Xiaodong [31]Risk management and risk countermeasures research on wind power project construction periodTechnical risk
Policy risk
Financing risk
Organizational management risk
Table 2. Risk factors of wind power projects.
Table 2. Risk factors of wind power projects.
Latent VariableExplicit Variable
Policy factor AWind power industry policy a1
Electrovalence policy a2
Ecological environment policy a3
Economic factor BFinancing capacity b1
Absorption capacity of power grid b2
Wind power equipment cost b3
Technical factor CWind energy resource conditions c1
Feasibility of technical solution c2
Deepen the level of design c3
Construction organization design c4
Construction factor DManagement risk d1
Construction risk d2
Security risk d3
Schedule risk d4
Table 3. Sample distribution of questionnaire for risk assessment of wind power projects.
Table 3. Sample distribution of questionnaire for risk assessment of wind power projects.
Personal InformationClassificationQuantityPercentageCumulative Percentage
GenderMale18662.00%62.00%
Female11438.00%100.00%
Educational levelJunior college and below5819.33%19.33%
Undergraduate14749.00%68.33%
Masters degree or above9531.67%100.00%
Work unitGovernment department5719.00%19.00%
University scientific research4314.33%33.33%
Project company8227.33%60.67%
Design consulting unit217.00%67.67%
Construction unit6923.00%90.67%
Other units289.33%100.00%
Understanding of the projectDo not understand3812.67%12.67%
Understand15351.00%63.67%
Know well10936.33%100.00%
Working years1–35418.00%18.00%
4–58729.00%47.00%
6–1010334.33%81.33%
105618.67%100.00%
Table 4. Statistical table of reliability test of sample data.
Table 4. Statistical table of reliability test of sample data.
Latent VariableExplicit VariableReliability (Klombach Coefficient)
Policy factor AWind power industry policy a10.769
Electrovalence policy a2
Ecological environment policy a3
Economic factor BFinancing capacity b10.779
Absorption capacity of power grid b2
Wind power equipment cost b3
Technical factor CWind energy resource conditions c10.796
Feasibility of design scheme c2
Deepen the level of design c3
Construction organization ability c4
Construction factor DManagement risk d10.706
Construction risk d2
Security risk d3
Schedule risk d4
whole 0.815
Table 5. Statistical table of validity test of sample data.
Table 5. Statistical table of validity test of sample data.
KMO and Bartlett’s Test
WholeABCD
KMO sample appropriateness measure0.8200.6550.6890.7670.723
Bartlett’s sphericity testApproximate Chi-square1344.672251.824251.855366.281215.465
Degree of freedom913366
Significance0.0000.0000.0000.0000.000
Note: “A” indicates policy factor, “B” indicates economic factor, “C” indicates technical factor, and “D” indicates construction factor.
Table 6. Parameter estimates of confirmatory factor analysis of potential variables.
Table 6. Parameter estimates of confirmatory factor analysis of potential variables.
Latent VariableEstimateS.E.C.R.pRemarks
Non-StandardizationStandardization
B <--- A0.6030.5840.05710.631***H1 establishment
B <--- C0.5920.2870.05011.897***H3 establishment
D <--- B0.6040.5750.04912.239***H2 establishment
D <--- C0.6990.3230.05512.674***H4 establishment
Note: “***” corresponds to a significant level of 0.1%.
Table 7. Analysis results of model fit index.
Table 7. Analysis results of model fit index.
Exponential Name Evaluation CriteriaMeasured Value
Absolute fit indexCMIN/DF1 < CMIN/DF < 3, the smaller the better2.860
GFIGreater than 0.90.901
RMRLess than 0.05, the smaller the better0.128
SRMRLess than 0.05, the smaller the better/
RMSEALess than 0.05, the smaller the better0.079
Relative fit indexNFIGreater than 0.9, the closer to 1 the better0.835
TLIGreater than 0.9, the closer to 1 the better0.868
CFIGreater than 0.9, the closer to 1 the better0.885
Information indexAICThe smaller the better277.952
CAICThe smaller the better280.699
Note: “CMIN/DF” indicates Chi-square/degrees of freedom, “GFI” indicates goodness-of-fit index, “RMR” indicates root of mean square residual, “SRMR” indicates standardized root-mean-square residual, “RMSEA” indicates root-mean-square error of approximation, “NFI” indicates normed fit index, “TLI” indicates Tucker–Lewis index, “CFI” indicates comparative fit index, “AIC” indicates Akaike information criterion, and “CAIC” indicates consistent Akaike’s information criterion.
Table 8. Covariance modification suggestions.
Table 8. Covariance modification suggestions.
RelationshipM.I.Par Change
e2 <--> e323.6610.271
e1 <--> e310.7020.158
Table 9. Analysis results of fitting degree index of modified model.
Table 9. Analysis results of fitting degree index of modified model.
Exponential Name Evaluation CriteriaMeasured ValueCorrected Measured Value
Absolute fit indexCMIN/DF1 < CMIN/DF < 3, the smaller the better2.8601.986
GFIGreater than 0.90.9010.937
RMRLess than 0.05, the smaller the better0.1280.110
SRMRLess than 0.05, the smaller the better//
RMSEALess than 0.05, the smaller the better0.0790.057
Relative fit indexNFIGreater than 0.9, the closer to 1 the better0.8350.888
TLIGreater than 0.9, the closer to 1 the better0.8680.930
CFIGreater than 0.9, the closer to 1 the better0.8850.940
Information indexAICThe smaller the better277.952208.920
CAICThe smaller the better280.699211.878
Note: “CMIN/DF” indicates Chi-square/degrees of freedom, “GFI” indicates goodness-of-fit index, “RMR” indicates root of mean square residual, “SRMR” indicates standardized root-mean-square residual, “RMSEA” indicates root-mean-square error of approximation, “NFI” indicates normed fit index, “TLI” indicates Tucker–Lewis index, “CFI” indicates comparative fit index, “AIC” indicates Akaike information criterion, and “CAIC” indicates consistent Akaike’s information criterion.
Table 10. Analysis results of latent variable and explicit variable parameter estimation after modification.
Table 10. Analysis results of latent variable and explicit variable parameter estimation after modification.
Latent VariableEstimateS.E.C.R.pLabel
Non-StandardizationStandardization
B <--- A0.6540.5130.0748.851***W1
B <--- C0.5660.2780.04712.076***W4
D <--- B0.3640.4450.0487.533***W2
D <--- C0.6740.4050.05113.327***W3
a3 <--- A10.695
a2 <--- A0.6540.4480.0748.851***W1
a1 <--- A0.3640.2270.0487.533***W2
b1 <--- B10.887
b2 <--- B0.6740.6910.05113.327***W3
b3 <--- B0.5660.6360.04712.076***W4
c4 <--- C10.551
c3 <--- C1.1710.6190.1299.105***W5
c2 <--- C1.1140.6260.1219.185***W6
c1 <--- C1.8890.9370.17710.684***W7
d1 <--- D10.849
d2 <--- D0.6630.5690.0749.01***W8
d3 <--- D0.5960.5440.0698.589***W9
d4 <--- D0.6150.5360.0738.463***W10
Note: “***” corresponds to a significant level of 0.1%.
Table 11. Calculation table of total effect between latent variables.
Table 11. Calculation table of total effect between latent variables.
Latent VariableDirect EffectIndirect EffectTotal Effect
B <--- A0.58400.584
B <--- C0.28700.287
D <--- B0.57500.575
D <--- C0.3230.1650.488
D <--- A00.3360.336
Table 12. Risk evaluation index system of wind power project design phase.
Table 12. Risk evaluation index system of wind power project design phase.
Global LayerSystem LayerIndex Layer
Risk in the design phase of wind power projectsPolicy risk AWind power industry policy a1
Electrovalence policy a2
Ecological environment policy a3
Economic risk BFinancing capacity b1
Absorption capacity of power grid b2
Wind power equipment cost b3
Technical risk CWind energy resource conditions c1
Feasibility of design scheme c2
Deepen the level of design c3
Construction organization ability c4
Construction risk DManagement risk d1
Construction risk d2
Security risk d3
Schedule risk d4
Table 13. Four common mutation models.
Table 13. Four common mutation models.
Mutation TypeControl ParameterMutation Potential FunctionNormalized FormulaControl Variable Importance Ranking
Folding mutation1 f x = x 3 + u x x u = u 1 2 /
Cusp mutation2 f x = x 4 + u x 2 + v x x u = u 1 / 2 , x ν = ν 1 / 3 u > v
Dovetail mutation3 f x = x 5 + u x 3 + ν x 2 + w x x u = u 1 / 2 , x ν = ν 1 / 3 ,  
x w = w 1 4
u > ν > w
Butterfly mutation4 f x = x 6 + t x 4 + u x 3 + v x 2 + w x x t = t 1 / 2 , x u = u 1 / 3 ,  
x ν = ν 1 / 4 , x w = w 1 5
t > u > ν > w
Table 14. Summary of risk assessment mutation models in the design phase of wind power projects.
Table 14. Summary of risk assessment mutation models in the design phase of wind power projects.
Global LayerSystem LayerIndex Layer a1Mutation Type
Risk in wind power project design phase (complementary butterfly mutation)Policy risk AWind power industry policy a1Non-complementary dovetail mutation
Electrovalence policy a2
Ecological environment policy a3
Economic risk BFinancing capacity b1Complementary dovetail mutation
Absorption capacity of power grid b2
Wind power equipment cost b3
Technical risk CWind energy resource conditions c1Complementary butterfly mutation
Feasibility of design scheme c2
Deepen the level of design c3
Construction organization ability c4
Construction risk DManage risk d1Complementary butterfly mutation
Construction risk d2
Security risk d3
Schedule risk d4
Table 15. The risk level belongs to the criteria for dividing the interval.
Table 15. The risk level belongs to the criteria for dividing the interval.
Risk LevelRisk DescriptionMutation Level Value
IImpermissible risk[0–0.1)
IIMajor risk[0.1–0.3)
IIIGeneral risk[0.3–0.6)
IVAdmissible risk[0.6–0.9)
VNegligible risk[0.9–1]
Table 16. Summary of numerical calculation results of mutation phase of K project.
Table 16. Summary of numerical calculation results of mutation phase of K project.
Global LayerMLVSystem LayerMLVMutation TypeMutation TypeMLV
Overall risk in wind power project design phase0.8362Policy risk A0.8116Non-complementary dovetail mutationWind power industry policy a10.8116
Electrovalence policy a20.8649
Ecological environment policy a30.8244
Economic risk B0.7256Complementary dovetail mutationFinancing capacity b10.8150
Absorption capacity of power grid b20.4369
Wind power equipment cost b30.9248
Technical risk C0.8963Complementary butterfly mutationWind energy resource conditions c10.8237
Feasibility of design scheme c20.8516
Deepen the level of design c30.9772
Construction organization ability c40.9327
Construction risk D0.9137Complementary butterfly mutationManagement risk d10.9373
Construction risk d20.8516
Security risk d30.9701
Schedule risk d40.8865
Disclaimer/Publisher’s Note: The statements, opinions and data contained in all publications are solely those of the individual author(s) and contributor(s) and not of MDPI and/or the editor(s). MDPI and/or the editor(s) disclaim responsibility for any injury to people or property resulting from any ideas, methods, instructions or products referred to in the content.

Share and Cite

MDPI and ACS Style

Zhao, S.; Su, X.; Li, J.; Suo, G.; Meng, X. Research on Wind Power Project Risk Management Based on Structural Equation and Catastrophe Theory. Sustainability 2023, 15, 6622. https://doi.org/10.3390/su15086622

AMA Style

Zhao S, Su X, Li J, Suo G, Meng X. Research on Wind Power Project Risk Management Based on Structural Equation and Catastrophe Theory. Sustainability. 2023; 15(8):6622. https://doi.org/10.3390/su15086622

Chicago/Turabian Style

Zhao, Suyan, Xiaopai Su, Jiahui Li, Guibin Suo, and Xiaoxuan Meng. 2023. "Research on Wind Power Project Risk Management Based on Structural Equation and Catastrophe Theory" Sustainability 15, no. 8: 6622. https://doi.org/10.3390/su15086622

APA Style

Zhao, S., Su, X., Li, J., Suo, G., & Meng, X. (2023). Research on Wind Power Project Risk Management Based on Structural Equation and Catastrophe Theory. Sustainability, 15(8), 6622. https://doi.org/10.3390/su15086622

Note that from the first issue of 2016, this journal uses article numbers instead of page numbers. See further details here.

Article Metrics

Back to TopTop