Abstract
The effect of temperature on the micellar properties of the alkylglucoside surfactant n-octyl-β-D-thioglucopyranoside (OTG) used for membrane protein solubilization has been investigated. Critical micelle concentration (CMC), apparent () and partial () molar volume changes of the studied surfactant, as well as thermodynamic functions (the standard Gibbs free energy (), the standard enthalpy () and entropy ()) of the OTG micellization process were determined. The above-mentioned parameters were calculated on the basis of the results obtained from measurements of surface tension, density and viscosity of the aqueous solutions of n-octyl-β-D-thioglucopyranoside, as well as pyrene (Py) and 8-anilinonaphthalene-1-sulfonic acid (ANS) fluorescence intensity in aqueous solutions of OTG and dynamic light scattering of aqueous solutions of OTG. Basing on the obtained results it is stated that critical micelle concentration of OTG is much lower compared to that of the earlier studied n-octyl-β-D-glucopyranoside (OGP). The standard Gibbs free energy changes indicate that the tendency of OTG molecules to form aggregates increases with temperature increase. However, this increase is not so evident as in the case of some other sugar-based surfactants. The small temperature effect on the aggregation properties of OTG in water is probably connected with the presence and strength of the hydrogen bonds between the water molecules and sugar units, or the type of linkage between the hydrophobic and hydrophilic parts of the studied surfactant. In addition, the presence of S-linkage in the OTG molecule despite its high enzymatic stability also causes the hydrophobicity increase of the studied surfactant (compared to OGP), which directly influences its micellization process.
1. Introduction
Surfactants are compounds with very wide practical applications which result from the amphiphilic structure of their molecules. Because of their structure, they are able to adsorb at different interfaces and form micelles at certain concentrations characteristic for a given compound (called critical micelle concentration (CMC)) and conditions. Due to their adsorption capacity, they can change the interfacial tension in different systems and can influence the direction of many processes of practical significance. The amount of adsorbed surfactant at a given interface and in a given system is, inter alia, affected by micelle formation in the bulk phase of the solution. Thus, surfactant micelle formation influences the direction of many interfacial phenomena. On the other hand, the aggregation properties of surfactants determine their practical application; for example in dispersion, emulsification, protein solubilization, detergency as well as drug transport and their release. Due to the wide application of surfactants, their consumption is enormous and has become a more and more serious environmental problem [1,2,3,4,5]. Therefore, current scientific research on systems including surfactants is focused on the analysis of compounds of natural origin.
A relatively new class of nonionic surfactants produced from renewable materials are alkylglucosides [2,3,4,5]. They can be obtained from biorefinery or can be built from renewable blocks [6]. Due to the good dermatological and ecological properties of alkylglucosides, as well as their beneficial physicochemical properties (that is high surface activity, insensitivity to temperature changes and good electrolyte tolerance), they have found very wide application in different personal care products, pharmacy, food additives, agrochemicals and household and industrial cleaning agents [1,2,3,4,5]. It has also been shown that they have little to no toxicity, and in some cases possess bacteriostatic or antimicrobial properties [2,3,4,5,6,7,8,9,10,11,12,13,14]. Alkylglucosides are a very abundant group of compounds which are closely connected with the possibility of the formation of numerous combinations of carbohydrate hydrophilic groups with alkyl hydrophobic chains. These numerous possibilities of modifying the structure of carbohydrate surfactant molecules are responsible for their unique aggregation and surface properties, substantially different from those of common nonionic ethoxylated surfactants [1,2,3,4,5]. In addition, because of the fact that sugar-based surfactant micelles provide very similar hydrophobic/hydrophilic interface properties to those of the sugar residues on biological membranes, they are treated as an ideal model in different biological systems [2,9,10,11,12,13,14,15,16,17,18,19,20,21,22,23,24,25,26,27,28,29]. Both the combination and mutual participation of polar and apolar groups in sugar-based surfactant molecules, and the type of linkage between these groups, can be different [2,3,4,5]. In addition, the hydrocarbon chain can be attached to the sugar unit by an oxygen-linkage (for example OGP) or via a sulphur-linkage (for example OTG). This difference influences the biological stability of a given surfactant as well as its aggregation and adsorption properties [1,3,15,16,17,20].
Among alkylglucoside surfactants OGP has been the most widely investigated [2,3,4,5,8,11,21,22,23,25,26,30,31]. OGP is used especially in solubilization of proteins, due to its high CMC value (20–25 mM) [2,3,4,5] and no-denaturation properties [5,21,22]. Because of this, it has been widely used to solubilize, reconstitute, purify and crystalize membrane proteins and to study the properties of systems including membrane peptides [5,21,23]. In addition, OGP is a common cleaning and emulsifying agent, as well as drug carrier [5,21,22,23,24]. In the case of OGP, despite many papers dealing with its volume and interfacial properties, experimental results appear to conflict with one another [2,24,25,26]. In the literature, we can find not only different values of aggregation number of OGP micelles [2,22,28,32,33,34], the degree of hydration [2,35,36,37,38] or minimal area at the water-air interface [2,25,39], but also information related to the shape of micelles [2,30,33,38,40,41,42] and direction of adsorption, or the micellization process of OGP as a function of temperature [2,5,25,26] is contradictory.
OTG differs from OGP mainly in the type of linkage between the hydrophobic and sugar part of the surfactant. A linker is generally used to bond the alkyl chain to the polar head during surfactant synthesis [3]. In the case of OTG, the oxygen atom (ether linkage) in the OGP molecule has been replaced by a sulphur one (thioether linkage). This change causes an increase in the lipophilic character of the OTG molecule compared to that of OGP. Because of this, the CMC value observed for OTG is lower than that of OGP and is close to 9 mM [1,2,3,4,5]. It is therefore expected that this change will make OTG molecules more resistant to the influence of different factors compared to those of OGP. This resistance determines the potential use of a given sugar surfactant not only in industry or everyday life (as cleaning agents, ingredients of cosmetics as well as food additives), but also similarly to OGP, in biochemical applications (especially biomembrane systems). According to biochemical applications, surfactants produced from renewable materials play a very significant role. They are used especially to isolate, solubilize and enable biochemical and physical analysis of membrane proteins [1,2,3,4,5,25,26,31]. Although many natural surfactants are now available for use in membrane proteins, application can be limited by their behavior in a given system, as well as the types of interactions with proteins [18,19,20,27,28].
Research studies involving OTG are quite rare. In the literature it is difficult to find much information on the parameters of OTG micellization (such as CMC or other thermodynamic parameters of the aggregation of OTG) to compare. There are only a few items concerning the aggregation or surface properties of the surfactant. Due to the fact that even a slight change in the structure of a surfactant molecule translates into their volume and interfacial properties, as well as that the aggregation properties influence strongly the interfacial behavior of OTG, it was expedient to study the aggregation, as well as the interfacial properties, of OTG in different systems. In particular, research which refers to the adsorption properties of OTG at the water-air interface, and those including the solid-liquid interface, are practically absent in the literature.
Therefore, firstly, the purpose of this study was to determine the aggregation properties of OTG in water at different temperatures and by using different methods. For this purpose, measurements of surface tension, density and viscosity of aqueous solutions of OTG (n-octyl-β-D-thioglucopyranoside) through a temperature range from 293 K to 313 K were made. In addition, fluorescence intensity measurements of chosen probes (Pyrene (Py) and 8-anilinonaphthalene-1-sulfonic acid (ANS)) were also made. On the basis of the obtained results, OTG’s tendency to form micelles, as well as their properties at different temperatures, were studied. For this purpose, inter alia, the thermodynamic parameters of the OTG micellization process were determined. The obtained results were compared with those previously determined for OGP, as well as with some other sugar-based surfactants whose lipophilic and hydrophilic parts are connected by an O-linkage.
2. Experimental Procedure
2.1. Materials
The studied surfactant, n-octyl-β-D-thioglucopyranoside (OTG), with purity > 98%, as well as fluorescence probes 8-anilinonaphthalene-1-sulfonic acid (ANS) (purity > 97%) and pyrene (Py) (purity > 99%) were purchased from SIGMA-ALDRICH (Poznań, Poland) and used in the presented research without any further purification. Ethanol (EtOH) used for the ANS and Py stock solution preparation was purchased from Avantor Performance Materials Poland S.A. All studied surfactant solutions were prepared by using deionized and doubly distilled water (Destamat Bi18E). The stock solutions of ANS, pyrene and OTG with the proper concentration were prepared by weighing (Mettler-Toledo, XA105). The series of the aqueous solutions with OTG concentrations lower than that of the stock solution were prepared by dilution from the stock surfactant solution. The ANS and Py concentrations in the stock solution were equal to 1 × 10−2 mol/dm3, and that in the studied surfactant solutions was equal to 1 × 10−5 mol/dm3 and 2 × 10−6 mol/dm3, respectively.
2.2. Measurements
2.2.1. Surface Tension
The surface tension value of the aqueous solutions of OTG was measured at temperature ranges from 293 to 313 K according to the platinum ring tensiometer method (du Nouy’s method), using a Krüss KC100 tensiometer calibrated before the measurements. The calibration was made at 293 K using water and methanol whose surface tension at this temperature was equal to 72.8 and 22.5 mN/m, respectively. Before each measurement the platinum ring was cleaned with distilled water and heated to red color with a Bunsen burner. For further calculations, the average value from at least 10 measurements of the surface tension for a given surfactant concentration solution were considered. The absolute uncertainty of the surface tension measurements was ±0.1 to ±0.2 mN/m depending on the range of surfactant concentration. Additionally, the measured solution temperature was thermostatically controlled with an accuracy ± 0.01 K.
2.2.2. Density and Viscosity
The density and viscosity measurements of aqueous solutions of OTG were made by using a coupled system consisting of a density meter and viscometer. The U-tube density meter (DMA 5000, Anton Paar) worked at a temperature range from 273 to 373 K. The density measurements of the aqueous solutions of OTG were made at constant temperatures equal to 293, 303 and 313 K. The precision of temperature and density measurements was ±0.001 K and ±0.001 kg/m3, respectively. The measurements of the viscosity of the aqueous solutions of OTG were made by using an Anton Paar viscometer (AMVn) at the same temperature range as in the case of surface tension, with an accuracy of 0.05 K. The determination of viscosity depends on the accuracy of the density measurement (±0.001 kg/m3), and the uncertainty of the measured values was equal to ±0.014% and ±0.1% for dynamic and kinematic viscosity, respectively. The measuring system was calibrated for a given capillary by using a ball with a given diameter, and for an angle used in the measurement. For the calibration procedure, the calibration standard was used.
2.2.3. Dynamic Light Scattering
The size of aggregates of OTG at 293, 303 and 313 K was measured by using the Zetasizer Nano ZS (Malvern Instruments, UK). The precision of temperature was ±0.1 K. Dynamic light scattering was used to measure particle and molecule size. This technique measures the diffusion of particles moving under Brownian motion, and converts this to size and a size distribution using the Stokes-Einstein relationship. The concentration of the studied OTG solution was equal to 2 × 10−2 mol/dm3. All measurements were made using a detection angle of 173°. Each value is the average of three successive instrument runs. The diameter polydispersity index (PDI) was in the range from 0.02 to 0.07.
2.2.4. Fluorescence Emission
The fluorescence emission intensities (I) of ANS and Py in the aqueous solutions of OTG were measured at 293, 303 and 313 K. For this purpose, a Hitachi F-2700 fluorimeter was used. The measured solution temperature was thermostatically controlled with an accuracy ±0.01 K. The measurements were made with a 300 nm/min scan speed. In the case of ANS, the emission spectra were monitored with an excitation wavelength equal to 350 nm. The excitation and emission slits were set at 5 nm. The maximum fluorescence emission intensity of ANS in a given aqueous OTG solution, and at a given temperature, at about 480 nm were considered. In the case of Py the fluorescence emission spectra were monitored with an excitation wavelength at 335 nm. The excitation and emission slits were set at 2.5 nm. The maximum pyrene fluorescence emission intensity was read at the wavelength corresponding to the first and third vibrionic bands located near 372 and 384 nm, respectively (Scheme 1).
Scheme 1.
OTG micelle formation and CMC determination from the pyrene fluorescence measurements.
3. Results and Discussion
3.1. Critical Micelle Concentration
In the literature on carbohydrate surfactants there is a lot of information but also many discrepancies relating to values of different parameters of the micellization process [25,26,32,33,34,35,36,37,38,39,40,41,42]. In the case of OTG, there is some data in the literature to compare, which are mainly based on surface tension measurements [1,2,3,4,5,20,27,28,31,33,43,44,45,46,47]. In addition, the mechanism of the temperature effect on the interactions between OTG monomers in the solution and the mechanism of its aggregation are still not clear [2]. Thus, at the beginning, the CMC value of OTG was determined by using different methods in the temperature range from 293 K to 313 K with increments of 5 K. For this purpose the measurements of surface tension (), density () and viscosity () of the aqueous solutions of OTG as a function of surfactant concentration, as well as pyrene (Py) and ANS fluorescence emission intensity () in the surfactant solution, were made. In the case of , and , a sharp change in the properties of the surfactant solution was used to determine the CMC values. The fluorescence method of CMC determination with pyrene used as a fluorescence probe are presented in Scheme 1. All of the obtained experimental results are presented in Figure 1, Figure 2, Figure 3, Figure 4, Figure 5, Figure S1 and Figure S2.
The CMC values of OTG determined on the basis of the results presented in Figure 1, Figure 2, Figure 3, Figure 4, Figure 5, Figure S1 and Figure S2 are presented in Table 1.
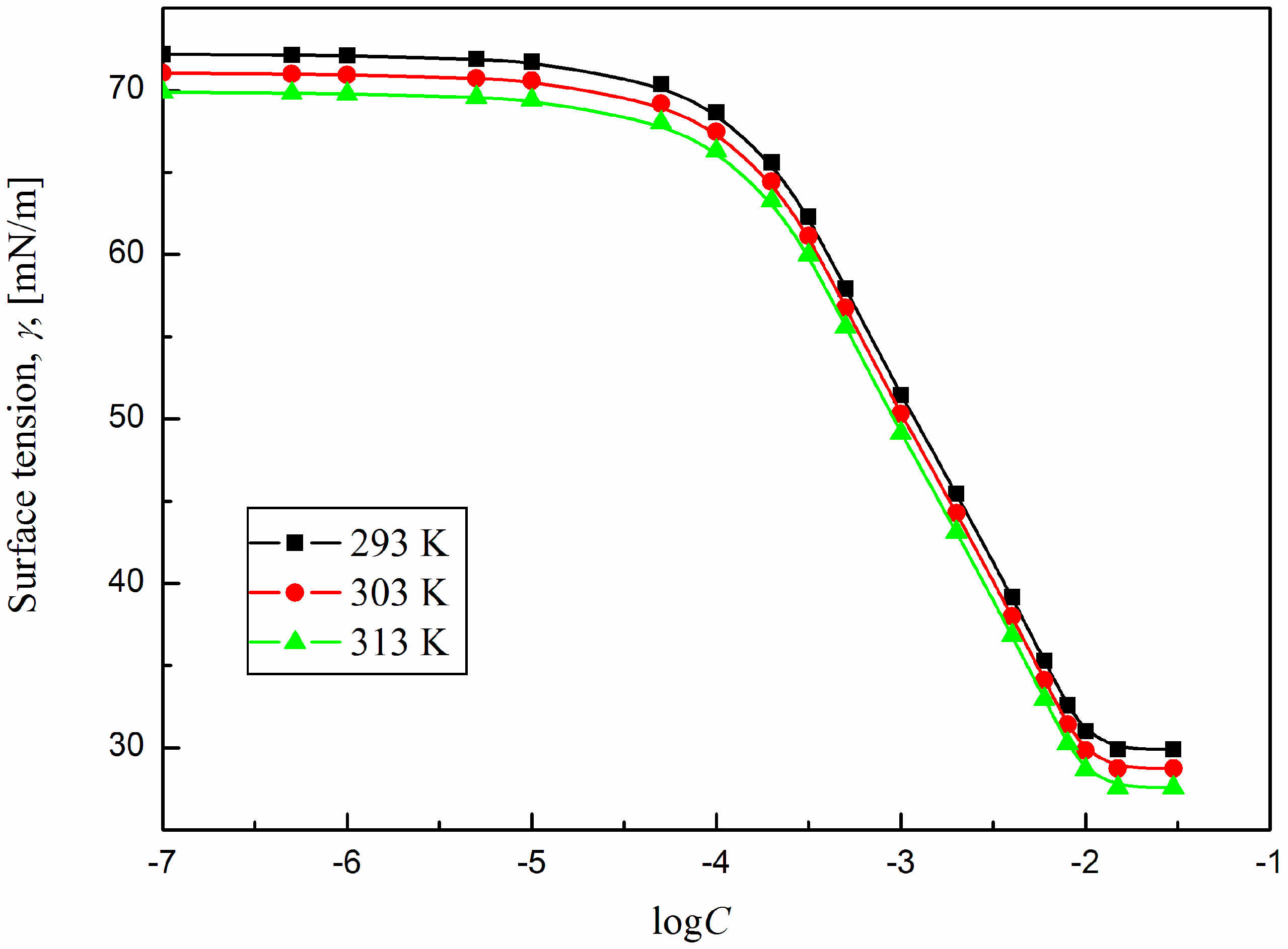
Figure 1.
A plot of the surface tension () of aqueous solutions of OTG vs. the logarithm of its concentration (logC) at 293, 303 and 313 K.
Figure 1.
A plot of the surface tension () of aqueous solutions of OTG vs. the logarithm of its concentration (logC) at 293, 303 and 313 K.

Figure 2.
A plot of the surface tension () of aqueous solutions of OTG vs. the logarithm of its concentration (logC) at 293, 303 and 313 K.
Figure 2.
A plot of the surface tension () of aqueous solutions of OTG vs. the logarithm of its concentration (logC) at 293, 303 and 313 K.

Figure 3.
A plot of the dynamic viscosity () of aqueous solutions of OTG vs. the logarithm of its concentration (logC) at 293, 303 and 313 K.
Figure 3.
A plot of the dynamic viscosity () of aqueous solutions of OTG vs. the logarithm of its concentration (logC) at 293, 303 and 313 K.

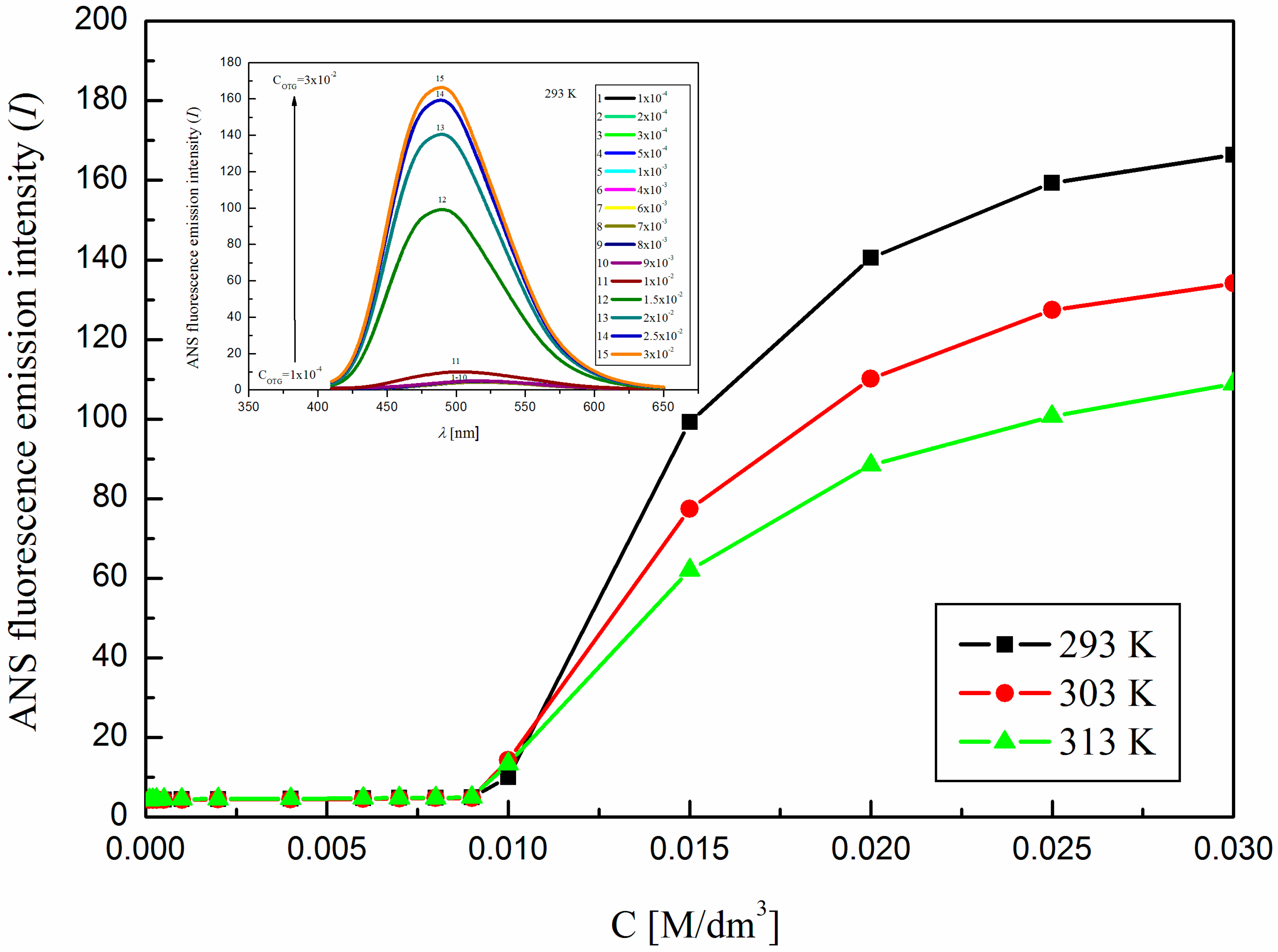
Figure 4.
A plot of the ANS fluorescence intensity in the aqueous solution of OTG vs. its concentration (C) at 293 K, 303 K and 313 K, as well as a plot of the ANS fluorescence intensity in the aqueous solution of OTG with different concentrations of the surfactant (from 1 × 10−4 M to 3 × 10−2 M) at 293 K (included as an example).
Figure 4.
A plot of the ANS fluorescence intensity in the aqueous solution of OTG vs. its concentration (C) at 293 K, 303 K and 313 K, as well as a plot of the ANS fluorescence intensity in the aqueous solution of OTG with different concentrations of the surfactant (from 1 × 10−4 M to 3 × 10−2 M) at 293 K (included as an example).

Figure 5.
A plot of the ratio of pyrene fluorescence emission intensity vs. the logarithm of OTG concentration (logC) at 293 K, 303 K and 313 K.
Figure 5.
A plot of the ratio of pyrene fluorescence emission intensity vs. the logarithm of OTG concentration (logC) at 293 K, 303 K and 313 K.

Table 1.
The polarity index (), as well as CMC values, of OTG determined from surface tension (), density (), viscosity (), ANS and pyrene (Py) fluorescence emission intensity measurements.
Table 1.
The polarity index (), as well as CMC values, of OTG determined from surface tension (), density (), viscosity (), ANS and pyrene (Py) fluorescence emission intensity measurements.
| Surfactant | T [K] | CMC [mM] | Monomer OTG Solution | Micellar OTG Solution | |||||
|---|---|---|---|---|---|---|---|---|---|
| OTG | 293 | 10.89 | 8.50 | 12.30 | 15.0 | 7.20 | 9.70 | 0.54 | 0.88 |
| 303 | 10.65 | 7.60 | 12.00 | 14.0 | 6.90 | 9.20 | 0.55 | 0.90 | |
| 313 | 10.63 | 7.20 | 11.60 | 13.0 | 6.50 | 9.00 | 0.56 | 0.91 | |
Uncertainty of CMC determination was between 0.9% and 2%.
At the beginning, the CMC of OTG was determined from the dependence between the first () and third (), as well as third () and first (), vibrionic bands ratio on the pyrene fluorescence spectra with the surfactant concentration in the solution (Scheme 1 and Figure 5 and Figure S1). In the case of ANS, the CMC values of OTG refer to the concentration at which a significant fluorescence intensity increase is observed (Figure 4). This results from the fact that fluorescence probing of the surfactant micelles is strictly connected with the hydrophobic microenvironment formation in the OTG micelles’ interior and changes of the solvent polarity surrounding the fluorescence probe (Py or ANS). Thus, in the fluorescence method, the surfactant CMC is determined on the basis of the first point of concentration at which a significant fluorescence emission intensity change is observed (Figure 4, Figure 5 and Figure S1).
From Table 1 it can be seen that, in general, the CMC of OTG decreases with temperature increase; however, this decrease is less significant compared to that determined previously for other sugar-based surfactants [2,25,26,30]. This relation could be connected with the reduction in polarity of the hydrophilic head group of OTG, which favors micelle formation. This reduction probably results from the smaller probability of hydrogen bond formation at higher temperatures [2]. It also appears that the CMC of OTG determined from the pyrene fluorescence measurements increases with the temperature decrease, similarly to other sugar-based surfactants, as well as classical nonionic ones, in such a temperature range [2,25,26,28,30]. In addition, the CMC value changes slightly with the change of method used for its determination. It was observed that the changes of the CMC of OTG with temperature were highest when they were determined from the density and Py fluorescence emission measurements (Table 1). As seen in Table 1, the CMC value for OTG is within a certain concentration range rather than taking on one specific value. The obtained CMC values at different temperatures are consistent with whose present in the literature [2,3,4,5,17,20,27,31,43,44,45,46,47].
Considering the fact that the length of the hydrophobic part of OTG is the same as that of OGP, it is evident that the thioether linkage between the polar and apolar parts of the studied surfactant is responsible for the difference between the CMC value of OGP and OTG [2]. The type of linkage influences the CMC of OTG in a similar way as the addition of one -CH2 group [1,2]. Due to this, it seems that the thioether linkage causes the OTG molecule to be more hydrophobic, and because of that its CMC is much lower than that of OGP. In addition, the change of the linkage has less effect on the CMC value than the addition of the sugar unit to the polar part of the surfactant or change in the type of sugar moiety (from glucose to sucrose, for example) [2,25,26,30].
3.2. Apparent and Partial Molar Volume of OTG
Surfactant micelles formation in the bulk phase of its solution and the micellization process at defined conditions are reflected by the changes of the apparent and partial molar volume of surfactant. It also results from the changes of the average distance between the surfactant molecules and water in the monomeric phase, as well as between surfactant molecules in the surfactant micelle. The molar volume of the studied surfactant (OTG) can be calculated theoretically as well as from the experimental results. For the above-mentioned parameter calculations, different distances (minimal (1.56 Å), and maximal (2 Å)) between the surfactant molecules and between the surfactant and water were considered. In addition, the distance between the hydrophobic parts of the surfactant molecules in the micelle was assumed to be similar to those in the liquid hydrocarbon [30]. From these calculations, the results are that the Vmin is equal to 258.37 cm3/mol and Vmax is equal to 278.90 cm3/mol. The obtained results of surfactant volumes were then compared to OTG apparent () and partial () molar volumes.
The for OTG was determined basing on the following equation [1,30,48]:
where MS is the molecular weight of OTG, CS is its concentration in mol/cm3 and and are the density of a “pure” solvent and the solution, respectively. In the calculations, a molecular weight of OTG equal to 308.40 g/mol was used.
On the other hand, OTG’s partial molar volume was calculated from [49]:
where Cp is the percentage weight of the solute.
The values can be calculated by using two different methods. The first method is based on two linear dependences between the surfactant solution density and its percentage weight. The first one is related to the dependence between the density and surfactant concentration lower than its CMC (monomer surfactant solution), and the second one is related to the dependence between the density and surfactant concentration higher than its CMC (micellar surfactant solution). The second method is based on the fit of the relation between the ρ data and surfactant concentration to the polynomial equation of the second order (in the whole studied surfactant concentration range). On the basis of the above-mentioned calculations, we can state that only small changes of and of OTG with temperature are observed (Table 2 and Figure 6, Figure S3 and Figure S4), both in the monomer and micellar surfactant solution. This small increase probably results from the increase of the average distance between water and surfactant molecules (in the monomer surfactant solution) and between the surfactant molecules in the OTG micelles (in the micellar surfactant solution). The values increase considerably when surfactant concentration is higher than its CMC (Table 2, column C and C’).
Table 2.
The values of partial () and apparent () molar volumes of OTG calculated from the density (ρ) measurements as well as the values calculated theoretically at 293 K.
Figure 6.
A plot of the partial molar volume () of OTG vs. the logarithm of its concentration (logC) at 293 K, determined from the linear (curve 1) and polynomial of the second order (curve 2) equations expressing the dependence between the density (ρ) and the percentage weight of the solute (Cp) of the studied surfactant, respectively.
From the values for OTG presented in Table 2, it can be seen that it increases slightly with temperature increase. However, this change is less significant from that of OGP [30]. It should also be remembered that only two values of at a given temperature can be calculated by using the linear dependence between the surfactant solution density and Cp. On the other hand, the values obtained by using , determined on the basis of polynomial equations of the second order, also confirmed the above-mentioned suggestion.
It is worth noting that the values (254.63 and 256.57 cm3/mol, respectively) for OTG in the monomer surfactant solution at 293 K and determined by using the linear and polynomial fitting of ρ changes with Cp, are very close to those calculated theoretically (258.37 cm3/mol), taking into account the minimal average distance between surfactants and water molecules (Table 2), if the maximal average distance between surfactants and water molecules was taken into account when the volume of the OTG was equal to 278.91 cm3/mol.
It is worth noting that the values for OTG in the monomer surfactant solution at 293 K and determined by using the linear and polynomial fitting of ρ changes with Cp (254.63 and 256.57 cm3/mol, respectively), are very close to those calculated theoretically (258.37 cm3/mol) taking into account the minimal average distance between surfactants and water molecules (Table 2). If the maximal average distance between surfactants and water molecules was taken into account for the calculations when the volume of the OTG was equal to 278.91 cm3/mol. The calculated values of and are close to those present in the literature [33]. However, there is very little information corresponding to the parameter’s values, especially in different temperatures.
3.3. Size and Shape of OTG Micelles
It is highly probable that the type of linkage will also influence the surfactant micelles’ properties (shape, size, aggregation number, etc.) as well as surfactant molecules’ behavior at different interfaces. The shape of the surfactant micelles which are formed in a given environment influences the different properties of its solution, such as viscosity, solubilization capacity and cloud point. This can be predicted on the basis of a packing parameter, value [50,51]:
where is the volume of hydrophobic groups in the micellar core, is the length of the hydrophobic group in the core and is the cross-section area occupied by the hydrophilic group at the micelle-solution interface. In addition, the is the minimal area occupied by the surfactant molecule at the water-air interface in the saturated monolayer and can be calculated from the surface tension measurements. According to Tanford, the can be expressed by the following relation [52]:
where n is the number of carbon atoms of the chain embedded in the micellar core (the total number of carbon atoms in the chain, or one less).
and values (in the case of a hydrocarbon straight chain in the surfactant molecule) can be also calculated in a different way. If we establish that the length of the n-alkane (l) at 293 K fulfils the following relation [53]:
Then the n-alkane molecule volume (V) can be calculated from [53]:
where is the width of a hydrophobic part of the surfactant. For the calculations, the minimal (4.16 Å) and maximal (4.6 Å) values of were taken into account. Using the above-mentioned method, it was stated that in the case of OTG (similar to OGP) = 12.08 Å and is equal to 221.51 Å3 and 256.61 Å3 for the minimal and maximal intermolecular distance, respectively. The minimal area occupied by the surfactant molecule at the water-air interface in the saturated monolayer was determined from the relation presented in Figure 1. It was shown that for OTG at 293 K is equal to 45.61 Å2. Taking into account the values of , and the packing parameter for OTG was calculated and it is equal to 0.40 and 0.47 for the minimal and maximal intermolecular distance, respectively. This means that during the micellization process OTG should form cylindrical micelles. This is in accordance with previous results observed for OGP and some other sugar-based surfactants using polarization microscopy [30].
Another parameter describing the properties of OTG micelles is an average aggregation number of micelles . The aggregation number of OTG micelles were calculated based on density and dynamic light scattering measurements, as well as taking into account the and values for OTG for the minimal (1.56 Å) or maximal (2 Å) intermolecular distance at 293 K. The obtained results are presented in Table 3. Based on the data presented in Table 3 it can be also stated that the values calculated from the density and dynamic light scattering measurements are higher than those determined from the surfactant tail length and the volume of the hydrophobic part of surfactant (both for the minimum as well as maximum intermolecular distance), and close to those from the literature data [2,44]. This proves the above-mentioned statement that OTG micelles are not spherical. From Table 3 it is also seen that the values of OTG micelles, as well as their size, practically does not change with temperature. In addition, the diameter polydispersity index (PDI) values determined from the light scattering measurements are low, and range from 0.02 to 0.007. Thus, it can be stated that the OTG micelles are mono-dispersed in aqueous solution. From the table it can also be observed that the changes with temperature are much smaller than those for OGP [30]. This proves that the shape of OTG micelles do not change in the studied temperature range. However, it should be remembered that the shape of micelles probably changes with surfactant concentration in the solution [2].
Table 3.
The values of the length of OTG molecule () and its micelles’ radius (r), as well as the aggregation number () of OTG determined by light scattering (A) and density (B–C) measurements as well as calculated theoretically (1–3).
3.4. Microenvironmental Properties of OTG Micelles and Their Changes with Temperature
As was stated earlier, micelles are very simple membrane models. They have attracted attention for the delivery of drugs (both hydrophilic and hydrophobic agents). Micelles are formed by self-assembly of surfactant molecules and can be formed in polar as well as non-polar environments. Those which are formed in polar solutions are characterized by the outside polar region (shell) and the nonpolar region which forms the core of the micelle [1]. Micelles of classical surfactants are mainly spherical, however other shapes are also possible. The shape and size of micelles depends mainly on the geometry of the surfactant molecule, composition and concentration of the solution as well as such parameters as temperature, pH and ionic strength [1,2,54]. These parameters also influence the microenvironmental properties of the micelles formed by the surfactant molecules. Taking this fact into account, the temperature impact on the polarity of the OTG micelles’ interior in aqueous environments was deduced. For this purpose, the measurements of pyrene fluorescence emission intensity in aqueous solutions of OTG were performed. Next, the relation between the ratio of the maximal intensity of the third and first peak () on the emissions spectra of pyrene and OTG concentrations was determined (Figure S1).
It is known that the pyrene fluorescence probe is a strongly hydrophobic compound [30,55,56]. Its solubility in water is in the range from 2 to 3 μM. In addition, its fluorescence is highly sensitive, so only a small amount of the probe in the solution is required (2 × 10−6 M). The monomer emission spectra are characterized by five sharp peaks [55,56] and the change in the intensities of the first (about 371 nm) and third (about 380 nm) peaks, i.e., the (or ) ratio depends on the polarity of the solvent used. The ratio is found to decrease with an increase in the polarity of the solvent or the micelles’ presence. Thus, it is used to monitor the polarity of the pyrene’s surrounding environment and it is called the polarity parameter. The parameter for pyrene in water is equal to 0.595 and that of is equal to 1.85 [56]. When the micelles are present in the solution, then pyrene is solubilized mainly in the hydrophobic interior regions of these micelles. The presence of surfactant micelles in aqueous solution causes character changes in the pyrene’s surrounding microenvironment. The analysis of the fluorescence emission parameters of the solubilized probe allows investigation of the formation and organization of surfactant micelles. In addition, the changes of the ratio (or ) as a function of the logarithm of OTG concentration (Figure S1 and Figure 5) can be described by the decreasing sigmoid Boltzmann type function: [57]:
where corresponds to the surfactant concentration in the solution, and are the sigmoid parameters, is the center of the sigmoid curve and is related to the independent variable range where the abrupt change of the dependent variable occurs.
As the results in Figure S1 and Figure 5 show, at low concentrations of OTG, the ratio is equal to 0.54 (at 293 K), which is close to that of pyrene in water. The ratio increases with an increase in the concentration of OTG, reaching a practically constant value equal to 0.88, 0.90 and 0.91 at 293 K, 303 K and 313 K, respectively (Table 1, Figure S1). The constant ratio value above a certain surfactant concentration suggests the constant polarity of the pyrene’s surroundings, and results from surfactant micelle formation (Figure S1). Based on the above-mentioned results, it can be stated that the OTG micelles’ interior polarity changes only slightly with temperature, and in general that it decreases with temperature increase (the ratio increases with the temperature increase). This proves that temperature causes the dehydration of the hydrophobic parts of the surfactant and thus the micellization process is more spontaneous at higher temperatures and takes place at smaller concentrations of OTG in the solution (Table 1). Comparing the obtained results with those for some other sugar-based surfactants [30], it can be noticed that the changes of the properties of the OTG micelles’ interior are quite different.
3.5. Standard Thermodynamic Functions of OTG Micellization
The standard Gibbs free energy (), enthalpy () and entropy () of micellization gives us some information concerning the spontaneity as well as the direction of the process and its changes by different factors. According to the exothermic and isobaric conditions, can be expressed as follows [1]:
where T is absolute temperature.
There are different approaches for the determination of . One of the approaches treats micelles as a separate phase. In such a case, in the equilibrium state the chemical potential of surfactant in the micelle, , according to the symmetrical definition, fulfills the following condition [1,58,59,60]:
where is the standard chemical potential at symmetrical definition, is the surfactant activity in micelles and R is the gas constant. On the other hand, in a monomeric solution at the concentration of surfactant equal to the CMC, its chemical potential, , at the unsymmetrical definition, can be expressed as [58,59,60]:
where is the standard chemical potential at the unsymmetrical definition and is the surfactant activity in the monomeric solution at the CMC.
In the equilibrium state:
Thus:
Assuming that it can be written as:
The CMC for surfactants can be expressed as [60]:
where is the number of water moles in dm3 and is the mole fraction of surfactant at the CMC.
For the ionic surfactants of the 1:1 electrolyte type we obtain [1,60]:
and
where sa refers to surface active ion and c to counter ion.
Assuming that and we obtain [1,60]:
or
Equation (18) is frequently used for determination of for ionic surfactants 1:1 electrolyte type. Equation (18) has the form of a Philips equation if the ionic surfactant is quite dissociated in monomeric and micellar phases. If in micellar phase the dissociation degree of ionic surfactant does not equal unity then the Philips equation has the following form [1,60,61]:
where p is the number of counter ions binding with the micelle and n is the total number of counter ions. Next, knowing the values of the at different temperatures, it is possible to calculate the changes of the standard enthalpy and entropy of the micellization process.
If is constant in the studied temperature range, then [1,60,61]:
In the case when is constant in the studied temperature range, then it is possible to determine the values from the following relation [1,60,62]:
The values of calculated from Equation (18) in the form for the nonionic surfactants are presented in Table 4. From this table it can be seen that the values depend slightly on the method used for CMC determination. In addition, it appears that they are negative, and decrease with temperature, which is compatible with the literature data [2,43,44,45,46,47]. Such changes indicate also that the formation of OTG micelles becomes more spontaneous at higher temperature. As a result, OTG micelles’ formation occurs at lower surfactant concentration (Table 1).
Table 4.
The values of the standard Gibbs free energy (), enthalpy () and entropy () of the OTG micellization process determined from different physicochemical parameters (surface tension (), density (), viscosity (), ANS and pyrene (Py) fluorescence emission intensity (Py)) measurements at different temperatures.
Next, based on the dependence between the and T, the changes in the standard entropy and then the standard enthalpy of the micellization process were deduced. It occurred that the dependence between the for OTG and T is linear. In such a case the slope of the straight line describing the above-mentioned relation is equal to . Thus, the could be determined from Equation (21). The obtained values are presented in Table 4.
It is known that is affected by hydrogen bond formation between the water molecules which were contacted with the hydrophobic parts of surfactant molecules, formation of or broken hydrogen bonds between water molecules and hydrophilic parts of surfactants molecules as well as the changes of dissociation degree of ionic surfactants during their transfer from the monomer to micellar phase [1,30]. It is interesting that the changes in the standard enthalpy and entropy of micellization for OTG are positive. From this fact, it can be seen that during the OTG micellization process more hydrogen bonds are broken than formed. However, small values of for OTG compared to those for OGP [30] suggest that in the studied temperature range the dehydration of the polar head of OTG is very small. It could result from the fact that the hydration degree of alkylglucosides is very small [30,38], and/or the interactions between water and surfactant molecules are very strong [30,37]. On the other hand, entropy changes are the main driving force for nonionic surfactants’ micelle formation [1]. These changes result mainly from the fact that during the micellization process the hydration layer around the hydrophobic part of the surfactant is broken down and the solute entropy increases. However, it should be remembered that because of the micelle’s formation the entropy of the surfactant decreases. The final value results from both of the above-mentioned processes. The values of prove that the micellization process of OTG is more spontaneous at higher temperatures. The changes of and are closely correlated with the changes in the other micellization parameters determined in this paper.
4. Conclusions
In this paper the effect of temperature on the micellar properties of OTG was investigated. For this purpose, the CMC, packing parameter, aggregation number, apparent molar volume as well as partial molar volume changes were determined in the temperature range from 293 K to 313 K. In addition, the direction of the micellar process of OTG was deduced based on the values of the , and . From the above-mentioned considerations, it can be seen that the micellization of OTG is more spontaneous at higher temperatures and that the hydration of the polar part of OTG practically does occur in the studied temperature range. In addition, the hydrogen bonds between the water and surfactant molecules are quite strong. This is especially important from a practical point of view and because of the biological application of OTG. The properties of the surfactant used for membrane protein solubilization and stabilization should not change during its application nor under the influence of different conditions. Based on the obtained results, it can be stated that OTG has more favorable properties compared to those of the previously studied OGP. Further studies on the behaviour of OTG at the water-air and solid-water interfaces should be conducted. It would also be advisable to test the stability of the surface properties of the studied surfactant over time, or the properties of the surfactant micelles as a function of its concentration in the solution. This type of information would be useful, among others, in the application of OTG in the protein stabilization process.
Supplementary Materials
The following supporting information can be downloaded at https://www.mdpi.com/article/10.3390/su15086618/s1: Figure S1, A plot of the pyrene ratio vs. the logarithm of OTG concentration () at 293 K, 303 K and 313 K. Figure S2, A plot of the kinematic viscosity () of aqueous solutions of OTG vs. the logarithm of its concentration (logC) at 293, 303 and 313 K. Figure S3, A plot of the partial molar volume () of OTG vs. the logarithm of its concentration () at 303 K determined from the linear (curve 1) and polynomial of second order (curve 2) equations expressing the dependence between the density (ρ) and the percentage weight of the solute (Cp) of the studied surfactant, respectively. Figure S4, A plot of the partial molar volume () of OTG vs. the logarithm of its concentration () at 313 K determined from the linear (curve 1) and polynomial of second order (curve 2) equations expressing the dependence between the density (ρ) and the percentage weight of the solute (Cp) of the studied surfactant, respectively.
Funding
This research received no external funding.
Institutional Review Board Statement
Not applicable.
Informed Consent Statement
Not applicable.
Data Availability Statement
Data are contained within the article.
Conflicts of Interest
The authors declare no conflict of interest.
References
- Rosen, J.M. Surfactants and Interfacial Phenomena; John Wiley & Sons, Inc.: Hoboken, NJ, USA, 2004. [Google Scholar]
- Ruiz, C.C. Sugar-Based Surfactants: Fundamentals and Applications; Surfactant Science Series 143; CRC Press/Francis Group: Boca Raton, FL, USA, 2009. [Google Scholar]
- Gaudin, T.; Huiling, L.; Fayet, G.; Berthauld-Drelich, A.; Rotureau, P.; Pourceau, G.; Wadouachi, A.; Van Hecke, A.; Nesterenko, A.; Pezron, I. Impact of the chemical structure on amphiphilic properties of sugar-based surfactants: A literature overview. Adv. Colloid Int. Sci. 2019, 270, 87–100. [Google Scholar] [CrossRef] [PubMed]
- Hill, K.; Rhode, O. Sugar-based surfactants for consumer products and technical applications. Fett/Lipid 1999, 101, 25–33. [Google Scholar] [CrossRef]
- Stubenrauch, C. Sugar surfactants-aggregation, interfacial, and adsorption phenomena. Curr. Opin. Colloid Int. Sci. 2001, 6, 160–170. [Google Scholar] [CrossRef]
- Kjellin, M.; Johansson, I. Surfactants from Renewable Resources, 1st ed.; Wiley & Sons, Ltd.: Hoboken, NJ, USA, 2010. [Google Scholar]
- Matsumura, S.; Imai, K.; Yoshikawa, S.; Kawada, K.; Uchibori, T. Surface activities, biodegrability and antimicrobial properties of n-alkyl glucosides, mannosides and galactosides. J. Am. Chem. Soc. 1990, 67, 996–1001. [Google Scholar]
- Dong, J.; Eng, Y.L.; Mo, X. The study of a new detergent (octyl-glucopyranoside) for decellularizing porcine pericardium as tissue engineering scaffold. J. Surg. Res. 2013, 183, 56–67. [Google Scholar] [CrossRef]
- Muzzalupo, R.; Tavano, L.; La Mesa, C. Alkyl glucopyranoside-based niosomes containing mathotrexate for pharmaceutical applications: Evaluation of physico-chemical and biological properties. Int. J. Pharm. 2013, 458, 224–229. [Google Scholar] [CrossRef]
- Bercier, A.; Goncalves, S.; Autefage, H.; Briand-Mesange, F.; Lignon, O.; Fitremann, J. Calcium phosphate bone cements including sugar surfactants: Part two-injectability, adhesive properties and biocompatibility. Materials 2010, 3, 5111–5129. [Google Scholar] [CrossRef]
- Gavvala, K.; Koninti, R.K.; Sengupta, A.; Hazra, P. Excited state proton transfer dynamics of an eminent anticancer drug, ellipticine, in octyl glucoside micelle. Phys. Chem. Chem. Phys. 2014, 16, 14953–14960. [Google Scholar] [CrossRef]
- Uchegbu, I.F.; Vyas, S.P. Non-ionic surfactant based vesicles (niosomes) in drug delivery (review). Int. J. Pharm. 1998, 172, 33–70. [Google Scholar] [CrossRef]
- von Rybinski, W.; Hill, K. Alkyl polyglucosides-Properties and applications of a new class of surfactants. Angew. Chem. Int. Ed. 1998, 37, 1328–1345. [Google Scholar] [CrossRef]
- Holmberg, K. Natural surfactants. Curr. Opin. Colloid Int. Sci. 2001, 6, 148–159. [Google Scholar] [CrossRef]
- Wilson, J.C.; Milton, J.K.; Donald, I.A.; von Itzstein, M. Investigation of the stability of thiosilanosides toward hydrolysis by sialidases using NMR spectroscopy. Org. Lett. 1999, 1, 443–446. [Google Scholar] [CrossRef] [PubMed]
- Buckingham, J.; Brazier, J.A.; Fisher, J.; Cosstick, R. Incorporation of a S-glycosidic linkage into a glyconucleoside changes the conformational preference of both furanose sugars. Carbohydr. Res. 2007, 342, 16–22. [Google Scholar] [CrossRef] [PubMed]
- Wenk, R.; Seeling, J. Interaction of octyl-β-thioglucopyranoside with lipid membranes. Biophys. J. 1997, 73, 2565–2574. [Google Scholar] [CrossRef] [PubMed]
- Garavito, R.M.; Miller, S.F. Detergents as tool in membrane biochemistry. J. Biol. Chem. 2001, 276, 32403–32406. [Google Scholar] [CrossRef]
- Saito, S.; Tsuchiya, T. Characteristic of n-octyl-β-D-thioglucopyranoside, a new no-ionic detergent useful for membrane biochemistry. Biochem. J. 1984, 222, 829–832. [Google Scholar] [CrossRef]
- Ruiz, C.C.; Molina-Bolivar, J.A.; Aguiar, J.; Peula-Garcia, J.M. Aggregation behavior of octyl-β-thioglucopyranoside in the presence of glycine. Colloids Surf. A Physicochem. Eng. Asp. 2004, 249, 35–39. [Google Scholar] [CrossRef]
- López, O.; Cócera, M.; Parra, J.L.; de la Maza, A. Influence of the alkyl chain length of alkyl glucosides on their ability to solubilize phosphatidylcholine liposomes. Colloids Surf. A Physicochem. Eng. Asp. 2001, 193, 221–229. [Google Scholar] [CrossRef]
- Aoudia, M.; Zana, R. Aggregation behaviour of sugar surfactants in aqueous solutions: Effects of temperature and the addition of non-ionic polymers. J. Colloid Int. Sci. 1998, 206, 158–167. [Google Scholar] [CrossRef]
- Bogusz, S.; Venable, B.M.; Pastor, W. Molecular dynamics simulations of octyl glucoside micelles: Dynamic Properties. J. Phys. Chem. B 2001, 105, 8312–8321. [Google Scholar] [CrossRef]
- Bogusz, S.; Venable, B.M.; Pastor, W. Molecular dynamics simulations of octyl glucoside micelles: Structural Properties. J. Phys. Chem. B 2000, 104, 5462–5470. [Google Scholar] [CrossRef]
- Krawczyk, J. Temperature impact on the water-air interfacial activity of n-octyl and n- dodecyl-β-D-glucopyranosides. Colloids Surf. A Physicochem. Eng. Asp. 2017, 533, 61–67. [Google Scholar] [CrossRef]
- Krawczyk, J. Thermodynamic properties of disaccharide based surfactants adsorption at the water-air interface. Colloids Surf. A Physicochem. Eng. Asp. 2018, 551, 50–57. [Google Scholar] [CrossRef]
- Ruiz, C.C.; Hierrezuelo, J.M.; Garcia-Peula, J.M.; Aguiar, J. Interaction between N-octyl-β-D-thioglucopyranoside and Bovine Serum Albumin. Open Mol. J. 2008, 2, 6–18. [Google Scholar]
- Pastor, O.; Junquera, E.; Aircart, E. Hydration and micellization process of n-octyl-β-D-thioglucopyranoside in aqueous solution. A thermodynamic and fluorimetric study in the absence and presence of salts. Langmuir 1998, 14, 2950–2957. [Google Scholar] [CrossRef]
- Zdziennicka, A.; Szymczyk, K.; Krawczyk, J.; Jańczuk, B. Activity and thermodynamic parameters of some surfactants adsorption at the water-air interface. Fluid Phase Equilibria 2012, 318, 25–33. [Google Scholar] [CrossRef]
- Krawczyk, J. Aggregation properties of sucrose fatty acid esters and some other sugar-based surfactants at different temperatures. J. Mol. Liq. 2018, 271, 610–620. [Google Scholar] [CrossRef]
- Hierrezuelo, J.M.; Aguiar, J.; Ruiz, C.C. Micellar properties of a mixed surfactant system constituted by n-octyl-β-D-thioglucopyranoside and sodium dodecyl sulphate. Colloids Surf. A Physicochem. Eng. Asp. 2005, 264, 29–36. [Google Scholar] [CrossRef]
- Frindi, M.; Michels, B. Ultrasonic absorption studies of surfactant exchange between micelles and bulk phase in aqueous micellar solutions of nonionic surfactants with a short alkyl chain. 3. Surfactants with a sugar head group. J. Phys. Chem. B 1992, 96, 8137–8141. [Google Scholar] [CrossRef]
- Capalbi, A.; Gente, G.; La Mesa, C. Solution properties of alkyl glucosides, alkyl thioglucosides and alkyl maltosides. Colloids Surf. A Physicochem. Eng. Asp. 2004, 246, 99–108. [Google Scholar] [CrossRef]
- Cardoso, M.V.C.; Sabadini, E. Before and beyond the micellization of n-alkyl glycosides. A water-1H NMR relaxation study. Langmuir 1998, 14, 2950–2957. [Google Scholar] [CrossRef] [PubMed]
- Claesson, P.M.; Kjellin, M.; Rojas, J.; Stubenrauch, C. Short-range interactions between non-ionic surfactant layers. Phys. Chem. Chem. Phys. 2006, 8, 5501–5514. [Google Scholar] [CrossRef] [PubMed]
- Arlt, B.; Datta, S.; Sottmann, T.; Wiegand, S. Soret effect on n-octyl-β-D-glucopyranoside (C8G1) in water around the critical micelle concentration. J. Phys. Chem. B 2010, 114, 2118–2123. [Google Scholar] [CrossRef] [PubMed]
- Suzuki, T. The hydration of glucose: The local configurations in sugar-water hydrogen bonds. Phys. Chem. Chem. Phys. 2008, 10, 96–105. [Google Scholar] [CrossRef]
- Bauer, C.; Bauduin, P.; Girard, L.; Diat, O.; Zemb, T. Hydration of sugar based surfactants under osmotic stress: A SAXS study. Colloids Surf. A Physicochem. Eng. Asp. 2012, 413, 92–100. [Google Scholar] [CrossRef]
- Orlando, J.; Rojas, O.J.; Neuman, R.D.; Claesson, P.M. Viscoelastic properties of isomeric alkylglucoside surfactants studied by surface light scattering. J. Phys. Chem. B 2005, 109, 22440–22448. [Google Scholar]
- Bergström, L.M.; Bastardo, L.A.; Garamus, V.M. A small-angle neutron and static light scattering study of micelles formed in aqueous mixtures of a nonionic alkylglucoside and an anionic surfactant. J. Phys. Chem. B 2005, 109, 12387–12393. [Google Scholar] [CrossRef] [PubMed]
- Zhang, R.; Marone, P.A.; Thiyagarajan, P.; Tiede, D.M. Structure and molecular fluctuations of n-alkyl-β-D-glucopyranoside micelles determined by X-ray and neutron scattering. Langmuir 1999, 15, 7510–7519. [Google Scholar] [CrossRef]
- Ericsson, C.A.; Söderman, O.; Garamus, V.M.; Bergström, L.M.; Ulvenlund, S. Effects of temperature, salt and deuterium oxide on the self-aggregation of alkylglycosides in dilute solution. 1. n-nonyl-β-D-glucoside. Langmuir 2004, 20, 1401–1408. [Google Scholar] [CrossRef]
- Wu, X.; Chen, L.; Fu, F.; Luo, Z. Synthesis and surface properties of alkyl-β-D-thioglucopyranoside. J. Mol. Liq. 2019, 276, 282–289. [Google Scholar] [CrossRef]
- Molina-Bolivar, J.A.; Aguiar, J.; Peula-Garcia, J.M.; Ruiz, C.C. Surface activity, micelle formation and growth of n-octyl-β-D-thioglucopyranoside in aqueous solutions at different temperatures. J. Phys. Chem. B. 2004, 108, 12813–12820. [Google Scholar] [CrossRef]
- Molina-Bolivar, J.A.; Ruiz, C.C.; Hierrezuelo, J.M. Effect of NaCl on the self-aggregation of n-octyl-β-D-thioglucopyranoside in aqueous medium. Phys. Chem. B 2006, 110, 12089–12095. [Google Scholar] [CrossRef] [PubMed]
- Ruiz, C.C.; Molina-Bolivar, J.A.; Hierrezuelo, J.M.; Liger, E. Self-Assembly, Surface Activity and Structure of n-octyl-β-D-thioglucopyranoside in Ethylene Glycol-Water Mixtures. Int. J. Mol. Sci. 2013, 14, 3228–3253. [Google Scholar] [CrossRef]
- Molina-Bolivar, J.A.; Ruiz, C.C. Micellar size and phase behavior in n-octyl-β-D-thioglucopyranoside/Triton X-100 mixtures: The effect of NaCl addition. Fluid Phase Equilibria 2012, 327, 58–64. [Google Scholar] [CrossRef]
- Kale, K.M.; Zana, R. Effect of the nature of the counterion on the volume change upon micellization of ionic detergents in aqueous solutions. J. Colloid Int. Sci. 1997, 61, 312–322. [Google Scholar] [CrossRef]
- Benjamin, L. Partial molar volume changes during micellization and solution of nonionic surfactants and perfluorocarboxylates using a magnetic density balance. J. Phys. Chem. 1966, 70, 3790–3797. [Google Scholar] [CrossRef]
- Israelachvili, J.N.; Mitchell, D.J.; Ninham, B.W. Theory of self-assembly of hydrocarbon amphiphiles into micelles and bilayers. J. Chem. Soc. Faraday Trans. 1975, 272, 1525–1568. [Google Scholar] [CrossRef]
- Israelachvili, J.N.; Mitchell, D.J.; Ninham, B.W. Theory of self-assembly of lipid bilayers and vesicles. Biochem. Biophys. Acta 1977, 470, 185–201. [Google Scholar] [CrossRef]
- Tanford, C. The Hydrophobic Effect, 2nd ed.; Wiley: New York, NY, USA, 1980. [Google Scholar]
- Jańczuk, B.; Méndez-Sierra, J.A.; González-Martίn, M.L.; Bruque, J.M.; Wójcik, W. Properties of decylammonium chloride and cesium perfluorooctanoate at interfaces and standard free energy of their adsorption. J. Colloid Int. Sci. 1997, 192, 408–414. [Google Scholar] [CrossRef]
- Wiśniewska-Becker, A.; Gruszecki, W.I. Biomembrane Models in Drug-Biomembrane Interaction Studies. The Application of Calorimetric Techniques; Pignatello, R., Ed.; Woodhead Publishing Limited: Cambridge, UK, 2013; pp. 46–95. [Google Scholar]
- Ray, G.B.; Chakraborty, I.; Moulik, S. Pyrene absorption can be convinient method for probing critical micellar concentration (cmc) and indexing micellar polarity. J. Colloid Int. Sci. 2006, 294, 248–254. [Google Scholar]
- Misra, P.K.; Somasundaran, P. Fluorescence probing of the surfactant assemblies in solutions and at solid-liquid interfaces. In Interfacial Processes and Molecular Aggregation of Surfactants; Narayanan, R., Ed.; Springer: Berlin, Germany, 2008. [Google Scholar]
- Aquiar, J.; Carpena, P.; Molina-Bolivar, J.A.; Ruiz, C.C. On the determination of the critical micelle concentration by the pyrene 1:3 ratio method. J. Colloid Int. Sci. 2003, 258, 116–122. [Google Scholar] [CrossRef]
- Zdziennicka, A.; Szymczyk, K.; Krawczyk, J.; Jańczuk, B. Critical micelle concentration of some surfactants and thermodynamic parameters of their micellization. Fluid Phase Equilibria 2012, 322–323, 26–134. [Google Scholar] [CrossRef]
- Butler, V. The thermodynamics of the surfaces of solutions. Proc. R. Soc. A 1932, 138, 348–375. [Google Scholar]
- Zdziennicka, A.; Krawczyk, J.; Jańczuk, B. Volumetric properties of rhamnolipid and surfactin at different temperatures. J. Mol. Liq. 2018, 255, 562–571. [Google Scholar] [CrossRef]
- Philips, J.N. Energetics of micelle formation. Trans. Faraday Soc. 1955, 51, 561–569. [Google Scholar] [CrossRef]
- Adamson, A.W.; Gast, A.P. Physical Chemistry of Surfaces, 6th ed.; Wiley-Interscience: New York, NY, USA, 1997. [Google Scholar]
Disclaimer/Publisher’s Note: The statements, opinions and data contained in all publications are solely those of the individual author(s) and contributor(s) and not of MDPI and/or the editor(s). MDPI and/or the editor(s) disclaim responsibility for any injury to people or property resulting from any ideas, methods, instructions or products referred to in the content. |
© 2023 by the author. Licensee MDPI, Basel, Switzerland. This article is an open access article distributed under the terms and conditions of the Creative Commons Attribution (CC BY) license (https://creativecommons.org/licenses/by/4.0/).

