Numerical Analysis of Sulfamerazine Solubility in Acetonitrile + 1-Propanol Cosolvent Mixtures at Different Temperatures
Abstract
1. Introduction
2. Materials and Methods
2.1. Reagents
2.2. Solubility Determination
2.3. Mathematical Processing of Data
3. Results
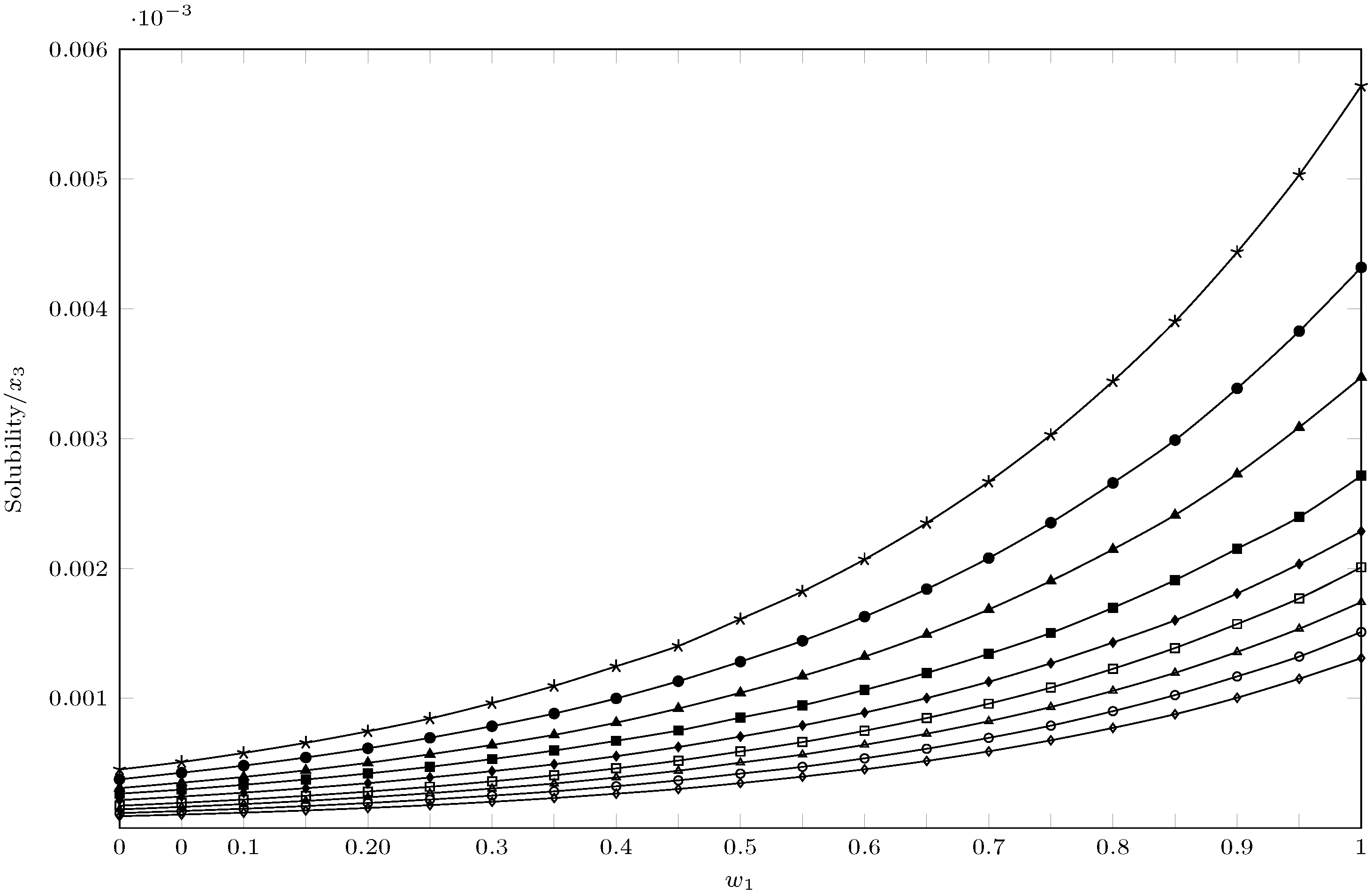
3.1. Solubility (x3) of Sulfamerazine (3) in Some Cosolvent Mixtures {MeCN (1) + n-PrOH (2)}
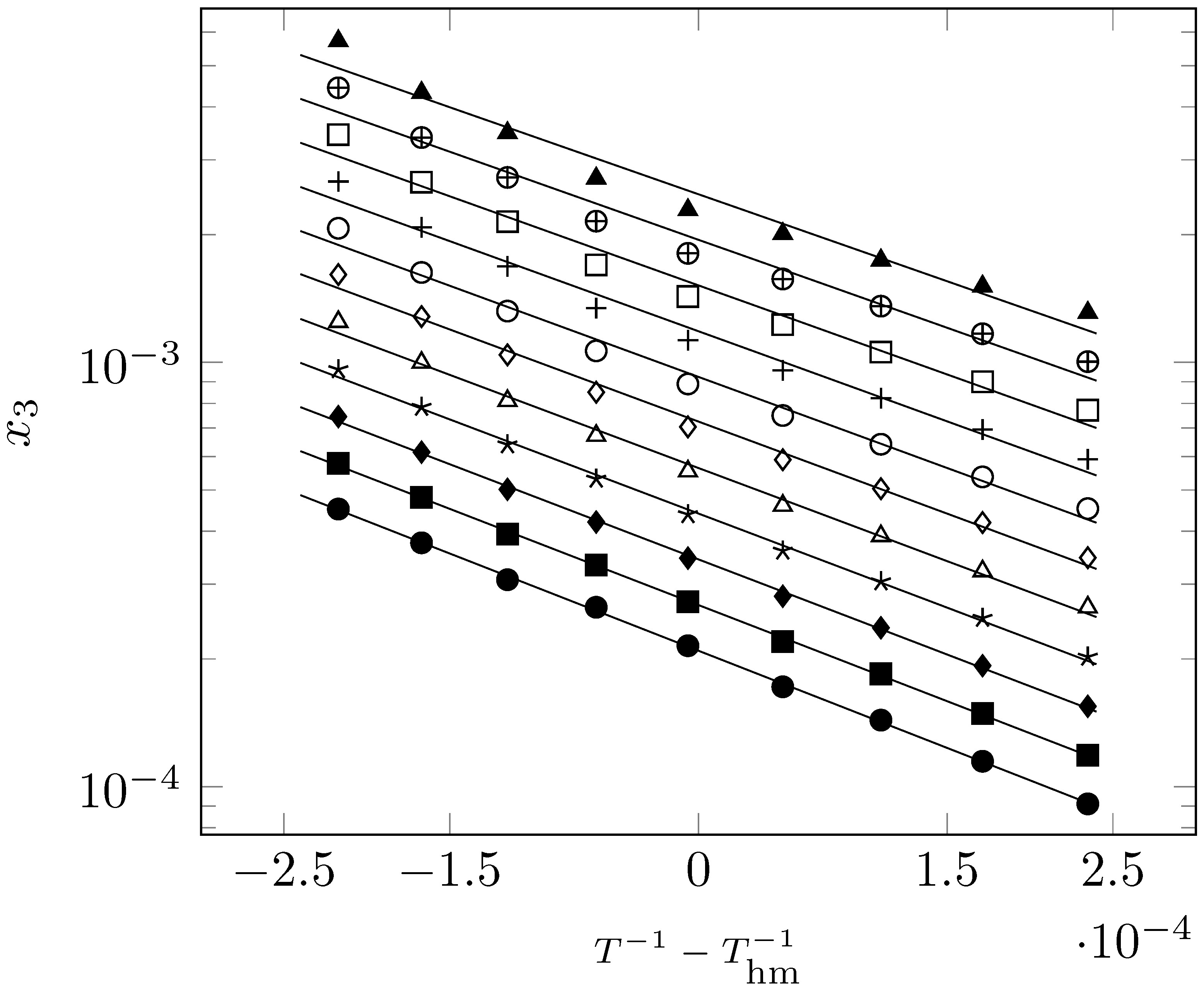
3.2. Thermodynamic Functions of Solution
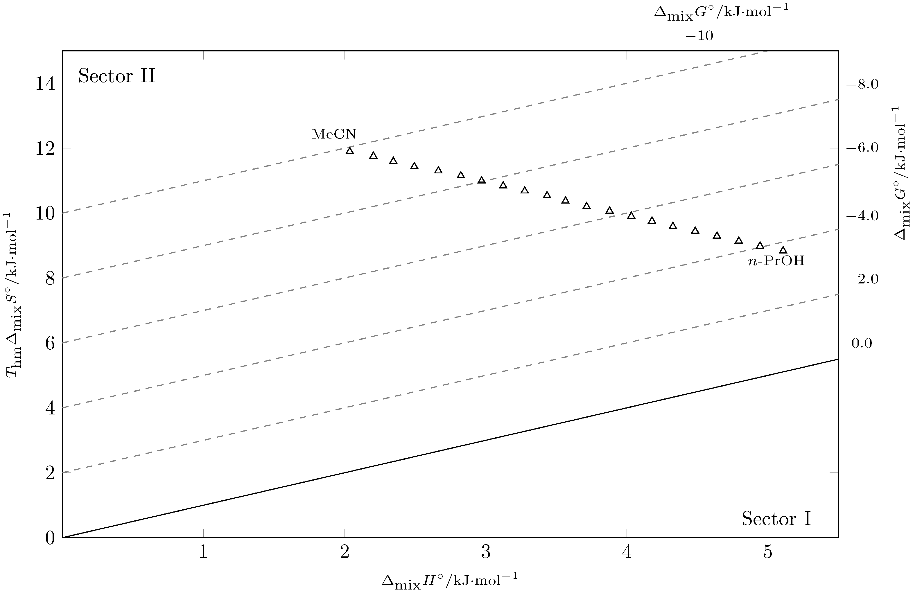
3.3. Thermodynamic Functions of Mixing
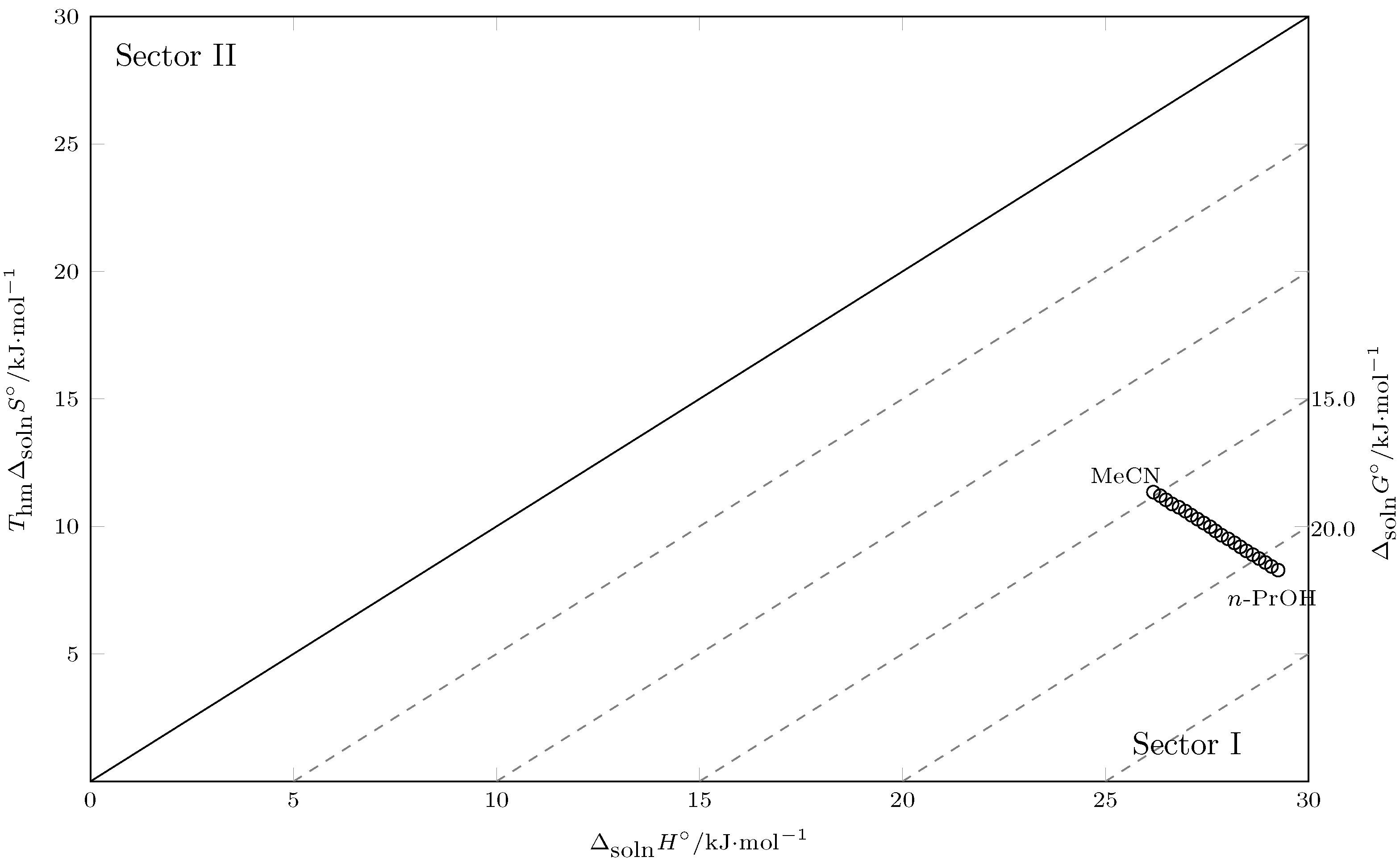
3.4. Enthalpy–Entropy Compensation Analysis
3.5. Mathematical Assessment of Solubility
4. Conclusions
Supplementary Materials
Author Contributions
Funding
Institutional Review Board Statement
Informed Consent Statement
Data Availability Statement
Acknowledgments
Conflicts of Interest
Abbreviations
| 1-PrOH | 1-Propanol |
| Molar heat capacity | |
| CAS | Chemical Abstracts Service Registry Number |
| DSC | Differential scanning calorimetry |
| g | Grams |
| G | Gibbs Energy |
| GC | Gas chromatography |
| H | Enthalpy |
| hm | Harmonic mean |
| HPLC | High-performance liquid chromatography |
| id | Ideal |
| J | Joule |
| K | Kelvin |
| k | Kilo |
| m | Melting |
| MeCN | Acetonitrile |
| mix | Mixing |
| R | Gas constant |
| S | Entropy |
| sol | Solution |
| SMR | Sulfamerazine |
| T | Temperature |
| Harmonic temperature | |
| UV | Ultraviolet |
| w | Mass fraction |
| x | Mole fraction |
| Solubility parameter |
References
- Stokstad, E.L.R.; Jukes, T.H. Sulfonamides and Folic Acid Antagonists: A Historical Review. J. Nutr. 1987, 117, 1335–1341. [Google Scholar] [CrossRef]
- Beale, J.M.J. Anti-infective Agents. In Organic Medicinal and Pharmaceutical Chemistry; Lippincott Williams & Wilkins: Philadelphia, PA, USA, 2011; Chapter 6; pp. 228–238. [Google Scholar]
- Forgacs, P.; Wengenack, N.L.; Hall, L.; Zimmerman, S.K.; Silverman, M.L.; Roberts, G.D. Tuberculosis and Trimethoprim-Sulfamethoxazole. Antimicrob. Agents Chemother. 2009, 53, 4789–4793. [Google Scholar] [CrossRef] [PubMed]
- Harrower, J.; McNaughtan, M.; Hunter, C.; Hough, R.; Zhang, Z.; Helwig, K. Chemical Fate and Partitioning Behavior of Antibiotics in the Aquatic Environment—A Review. Environ. Toxicol. Chem. 2021, 40, 3275–3298. [Google Scholar] [CrossRef] [PubMed]
- Hruska, K.; Franek, M. Sulfonamides in the environment: A review and a case report. Vet. Med. 2012, 57, 1–35. [Google Scholar] [CrossRef]
- Gao, Q.; Deng, W.; Gao, Z.; Li, M.; Liu, W.; Wang, X.; Zhu, F. Effect of sulfonamide pollution on the growth of manure management candidate Hermetia illucens. PLoS ONE 2019, 14, 1–12. [Google Scholar] [CrossRef] [PubMed]
- Kergoat, L.; Besse-Hoggan, P.; Leremboure, M.; Beguet, J.; Devers, M.; Martin-Laurent, F.; Masson, M.; Morin, S.; Roinat, A.; Pesce, S.; et al. Environmental Concentrations of Sulfonamides Can Alter Bacterial Structure and Induce Diatom Deformities in Freshwater Biofilm Communities. Front. Microbiol. 2021, 12, 1–12. [Google Scholar] [CrossRef] [PubMed]
- Chen, J.; Tong, T.; Jiang, X.; Xie, S. Biodegradation of sulfonamides in both oxic and anoxic zones of vertical flow constructed wetland and the potential degraders. Environ. Pollut. 2020, 265, 115040. [Google Scholar] [CrossRef] [PubMed]
- Sarkar, D. Sulfonamides: An Overview; Chemistry Research and Applications Series; Nova Science Publishers, Incorporated: Hauppauge, NY, USA, 2021. [Google Scholar]
- Farrukh, M.; Ahmad, S. Synthesis, Characterization and Applications of Sulfonamides; Lap Lambert Academic Publishing GmbH KG: Saarbruecken, Germany, 2011. [Google Scholar]
- Cárdenas-Torres, R.E.; Ortiz, C.P.; Acree, W.E.; Jouyban, A.; Martínez, F.; Delgado, D.R. Thermodynamic study and preferential solvation of sulfamerazine in acetonitrile + methanol cosolvent mixtures at different temperatures. J. Mol. Liq. 2022, 349, 118172. [Google Scholar] [CrossRef]
- Blanco-Márquez, J.H.; Ortiz, C.P.; Cerquera, N.E.; Martínez, F.; Jouyban, A.; Delgado, D.R. Thermodynamic analysis of the solubility and preferential solvation of sulfamerazine in (acetonitrile + water) cosolvent mixtures at different temperatures. J. Mol. Liq. 2019, 293, 111507. [Google Scholar] [CrossRef]
- Rubino, J.T. Cosolvents and Cosolvency. In Encyclopedia of Pharmaceutical Science and Technology, 4th ed.; CRC Press: Boca Raton, FL, USA, 2015; Volume 6, pp. 375–398. [Google Scholar]
- Jouyban, A. Review of the cosolvency models for predicting solubility of drugs in water-cosolvent mixtures. J. Pharm. Pharm. Sci. 2008, 11, 32–58. [Google Scholar] [CrossRef]
- Delgado, D.R.; Martínez, F. Solution thermodynamics and preferential solvation of sulfamerazine in methanol + water mixtures. J. Solut. Chem. 2015, 44, 360–377. [Google Scholar] [CrossRef]
- Delgado, D.R.; Martínez, F. Solubility and solution thermodynamics of sulfamerazine and sulfamethazine in some ethanol + water mixtures. Fluid Phase Equilib. 2013, 360, 88–96. [Google Scholar] [CrossRef]
- Delgado, D.R.; Martínez, F. Solubility and solution thermodynamics of some sulfonamides in 1-propanol + water mixtures. J. Solut. Chem. 2014, 43, 836–885. [Google Scholar] [CrossRef]
- Vargas-Santana, M.S.; Cruz-González, A.M.; Ortiz, C.P.; Delgado, D.R.; Martínez, F.; Ángeles Peña, M.; Acree, W.E.; Jouyban, A. Solubility of sulfamerazine in (ethylene glycol + water) mixtures: Measurement, correlation, dissolution thermodynamics and preferential solvation. J. Mol. Liq. 2021, 337, 116330. [Google Scholar] [CrossRef]
- del Mar Muñoz, M.; Delgado, D.R.; Ángeles Peña, M.; Jouyban, A.; Martínez, F. Solubility and preferential solvation of sulfadiazine, sulfamerazine and sulfamethazine in propylene glycol + water mixtures at 298.15K. J. Mol. Liq. 2015, 204, 132–136. [Google Scholar] [CrossRef]
- Trujillo-Trujillo, C.F.; Angarita-Reina, F.; Herrera, M.; Ortiz, C.P.; Cardenas-Torres, R.E.; Martinez, F.; Delgado, D.R. Thermodynamic Analysis of the Solubility of Sulfadiazine in (Acetonitrile 1-Propanol) Cosolvent Mixtures from 278.15 K to 318.15 K. Liquids 2023, 3, 2. [Google Scholar] [CrossRef]
- Lin, A.Y.; Cheng, K.T.; Chen, S.C.; Tsui, H.W. Effect of solvent composition on the van’t Hoff enthalpic curve using amylose 3,5-dichlorophenylcarbamate–based sorbent. J. Chromatogr. A 2017, 1515, 179–186. [Google Scholar] [CrossRef]
- Apelblat, A.; Manzurola, E. Solubilities ofo-acetylsalicylic, 4-aminosalicylic, 3,5-dinitrosalicylic, andp-toluic acid, and magnesium-DL-aspartate in water from T = (278 to 348) K. J. Chem. Thermodyn. 1999, 31, 85–91. [Google Scholar] [CrossRef]
- Ksiazczak, A.; Kosinski, J.J. Vapour pressure of binary, three-phase (S-L-V) systems and solubility. Fluid Phase Equilib. 1988, 44, 211–236. [Google Scholar] [CrossRef]
- Tinoco, L.E.; Galindres, D.M.; Osorio, J.; Cárdenas, R.E. Predicción de la solubilidad de sulfamerazina y sulfametazina en algunas mezclas cosolventes utilizando modelos de solución no ideales. Rev. Colomb. Cienc. Químico-Farm. 2021, 50, 292–313. [Google Scholar]
- Vargas-Santana, M.S.; Cruz-González, A.M.; Cerquera, N.E.; Escobar Rodriguez, A.S.; Cardenas, R.E.; Calderón-Losada, O.; Ortiz, C.P.; Delgado, D.R. Método extendido de Hildebrand y modelo de Yalkowsky- Roseman en la estimación de la solubilidad de sulfadiazina y sulfametazina en algunas mezclas etilenglicol (1) + agua (2) a varias temperaturas. Rev. Colomb. Cienc. Químico-Farm. 2022, 50, 812–836. [Google Scholar]
- Jouyban-Gharamaleki, A. The Modified Wilson Model and Predicting Drug Solubility in Water-Cosolvent Mixtures. Chem. Pharm. Bull. 1998, 46, 1058–1061. [Google Scholar] [CrossRef]
- Wilson, G.M. Vapor-Liquid Equilibrium. XI. A New Expression for the Excess Free Energy of Mixing. J. Am. Chem. Soc. 1964, 86, 127–130. [Google Scholar] [CrossRef]
- Prausnitz, J.M.; Lichtenthaler, R.N.; Edmundo, G. Molecular Thermodynamics of Fluid-Phase Equilibria; Prentice Hall PTR: Upper Saddle River, NJ, USA, 1999. [Google Scholar]
- Dittert, L.W.; Higuchi, T.; Reese, D.R. Phase solubility technique in studying the formation of complex salts of triamterene. J. Pharm. Sci. 1964, 53, 1325–1328. [Google Scholar] [CrossRef]
- Torres-Cardozo, A.; Cerquera, N.E.; Ortiz, C.P.; Osorio-Gallego, J.; Cardenas-Torres, R.E.; Angarita-Reina, F.; Martinez, F.; Delgado, D.R. Thermodynamic analysis of the solubility of progesterone in 1-octanol + ethanol cosolvent mixtures at different temperatures. Alex. Eng. J. 2023, 64, 219–235. [Google Scholar] [CrossRef]
- Shoemaker, D.; Garland, C.; Steinfeld, J. Experiments in Physical Chemistry; McGraw-Hill: New York, NY, USA, 1974. [Google Scholar]
- Barton, A.F.M. Solubility parameters. Chem. Rev. 1975, 75, 731–753. [Google Scholar] [CrossRef]
- Barton, A. CRC Handbook of Solubility Parameters and Other Cohesion Parameters, 2nd ed.; CRC Press: Boca Raton, FL, USA, 2017. [Google Scholar]
- Taft, R.W.; Kamlet, M.J. The solvatochromic comparison method. 2. The .alpha.-scale of solvent hydrogen-bond donor (HBD) acidities. J. Am. Chem. Soc. 1976, 98, 2886–2894. [Google Scholar] [CrossRef]
- Remko, M.; von der Lieth, C.W. Theoretical study of gas-phase acidity, pKa, lipophilicity, and solubility of some biologically active sulfonamides. Bioorganic Med. Chem. 2004, 12, 5395–5403. [Google Scholar] [CrossRef]
- Sunwoo, C.; Eisen, H. Solubility Parameter of Selected Sulfonamides. J. Pharm. Sci. 1971, 60, 238–244. [Google Scholar] [CrossRef]
- Lee, M.J.; Seo, D.Y.; Wang, I.C.; Chun, N.H.; Lee, H.E.; Jeong, M.Y.; Kim, W.S.; Choi, G.J. Quantitative In-Line Monitoring of Solvent-Mediated Polymorphic Transformation of Sulfamerazine by Near-Infrared Spectroscopy. J. Pharm. Sci. 2012, 101, 1578–1586. [Google Scholar] [CrossRef]
- Martínez, F.; Gómez, A. Estimation of the Solubility of Sulfonamides in Aqueous Media from Partition Coefficients and Entropies of Fusion. Phys. Chem. Liq. 2002, 40, 411–420. [Google Scholar] [CrossRef]
- Khattab, F.I. Thermal analysis of pharmaceutical compounds. V. The use of differential scanning calorimetry in the analysis of certain pharmaceuticals. Thermochim. Acta 1983, 61, 253–268. [Google Scholar] [CrossRef]
- Delombaerde, D. Co-Amorphous Drug Formulations: Carbamazepine, Mefenamic Acid and Sulfamerazine. Master’s Thesis, Ghent University, Ghent, Belgium, 2021. [Google Scholar]
- Aloisio, C.; de Oliveira, A.G.; Longhi, M. Solubility and release modulation effect of sulfamerazine ternary complexes with cyclodextrins and meglumine. J. Pharm. Biomed. Anal. 2014, 100, 64–73. [Google Scholar] [CrossRef] [PubMed]
- Krug, R.R.; Hunter, W.G.; Grieger, R.A. Enthalpy-entropy compensation. 1. Some fundamental statistical problems associated with the analysis of van’t Hoff and Arrhenius data. J. Phys. Chem. 1976, 80, 2335–2341. [Google Scholar] [CrossRef]
- Krug, R.R.; Hunter, W.G.; Grieger, R.A. Enthalpy-entropy compensation. 2. Separation of the chemical from the statistical effect. J. Phys. Chem. 1976, 80, 2341–2351. [Google Scholar] [CrossRef]
- Perlovich, G.L.; Tkachev, V.V.; Strakhova, N.N.; Kazachenko, V.P.; Volkova, T.V.; Surov, O.V.; Schaper, K.; Raevsky, O.A. Thermodynamic and structural aspects of sulfonamide crystals and solutions. J. Pharm. Sci. 2009, 98, 4738–4755. [Google Scholar] [CrossRef]
- Perlovich, G.L.; Strakhova, N.N.; Kazachenko, V.P.; Volkova, T.V.; Tkachev, V.V.; Schaper, K.J.; Raevsky, O.A. Sulfonamides as a subject to study molecular interactions in crystals and solutions: Sublimation, solubility, solvation, distribution and crystal structure. Int. J. Pharm. 2008, 349, 300–313. [Google Scholar] [CrossRef]
- Mora, C.P.; Martínez, F. Thermodynamic quantities relative to solution processes of Naproxen in aqueous media at pH 1.2 and 7.4. Phys. Chem. Liq. 2006, 44, 585–596. [Google Scholar] [CrossRef]
- Ryde, U. A fundamental view of enthalpy–entropy compensation. Med. Chem. Commun. 2014, 5, 1324–1336. [Google Scholar] [CrossRef]
- Sharp, K. Entropy—Enthalpy compensation: Fact or artifact? Protein Sci. 2001, 10, 661–667. [Google Scholar] [CrossRef]
- Chodera, J.D.; Mobley, D.L. Entropy-Enthalpy Compensation: Role and Ramifications in Biomolecular Ligand Recognition and Design. Annu. Rev. Biophys. 2013, 42, 121–142. [Google Scholar] [CrossRef] [PubMed]
- Tomlinson, E. Enthalpy-entropy compensation analysis of pharmaceutical, biochemical and biological systems. Int. J. Pharm. 1983, 13, 115–144. [Google Scholar] [CrossRef]
- Bustamante, P.; Escalera, B. Enthalpy and Entropy Contributions to the Solubility of Sulphamethoxypyridazine in Solvent Mixtures Showing Two Solubility Maxima. J. Pharm. Pharmacol. 2011, 47, 550–555. [Google Scholar] [CrossRef]
- Reillo, A.; Bustamante, P.; Escalera, B.; Jiménez, M.M.; Sellés, E. Solubility Parameter-Based Methods for Predicting the Solubility of Sulfapyridine in Solvent Mixtures. Drug Dev. Ind. Pharm. 1995, 21, 2073–2084. [Google Scholar] [CrossRef]
- Beerbower, A.; Wu, P.; Martin, A. Expanded Solubility Parameter Approach I: Naphthalene and Benzoic Acid in Individual Solvents. J. Pharm. Sci. 1984, 73, 179–188. [Google Scholar] [CrossRef]
- Zou, Z.; Sun, X.; Yu, Y.; Fang, X.; Xu, L. Determination and correlation of solubility and solution thermodynamics of musk ketone in twelve pure solvents. J. Mol. Liq. 2019, 293, 111437. [Google Scholar] [CrossRef]
- Cheng, K.; Wang, L.; Yu, Y.; Xiang, Y.; Bai, W.; Xu, L.; Li, H. Solubility and thermodynamic analysis of 1-(4-tert-butyl-2,6-dimethylphenyl)ethenone in different pure and binary solvents. J. Chem. Thermodyn. 2023, 180, 107019. [Google Scholar] [CrossRef]
- Bowden, N.A.; Sevillano, D.M.; Sanders, J.P.; Bruins, M.E. Modelling the effects of ethanol on the solubility of the proteinogenic amino acids with the NRTL, Gude and Jouyban-Acree models. Fluid Phase Equilib. 2018, 459, 158–169. [Google Scholar] [CrossRef]









| Chemical Name | CAS a | Chemical Formula | Purity b | Analy. Tech. c |
|---|---|---|---|---|
| Sulfamerazine d | 127-79-7 | C11H12N4O2S | >0.990 | HPLC |
| Acetonitrile d | 75-05-8 | C2H3N | 0.998 | GC |
| 1-PrOH d | 71-23-8 | C3H8O | 0.998 | GC |
| Sodium hydroxide d | 1310-73-2 | NaOH | ≥97.0 |
| w1 b | Temperatures | ||||||||
|---|---|---|---|---|---|---|---|---|---|
| 278.15 K | 283.15 K | 288.15 K | 293.15 K | 298.15 K | 303.15 K | 308.15 K | 313.15 K | 318.15 K | |
| 0.00 | 0.911 | 1.148 | 1.435 | 1.779 | 2.148 | 2.647 | 3.074 | 3.755 | 4.511 |
| 0.05 | 1.036 | 1.311 | 1.629 | 1.943 | 2.425 | 2.963 | 3.493 | 4.261 | 5.084 |
| 0.10 | 1.185 | 1.489 | 1.844 | 2.198 | 2.727 | 3.332 | 3.936 | 4.809 | 5.785 |
| 0.15 | 1.354 | 1.694 | 2.090 | 2.485 | 3.070 | 3.742 | 4.446 | 5.436 | 6.564 |
| 0.20 | 1.546 | 1.928 | 2.368 | 2.810 | 3.456 | 4.203 | 5.020 | 6.143 | 7.45 |
| 0.25 | 1.764 | 2.196 | 2.685 | 3.178 | 3.894 | 4.715 | 5.681 | 6.952 | 8.434 |
| 0.30 | 2.022 | 2.496 | 3.043 | 3.596 | 4.381 | 5.313 | 6.400 | 7.846 | 9.625 |
| 0.35 | 2.311 | 2.825 | 3.430 | 4.060 | 4.911 | 5.968 | 7.176 | 8.821 | 10.95 |
| 0.40 | 2.646 | 3.221 | 3.898 | 4.597 | 5.536 | 6.719 | 8.117 | 9.985 | 12.46 |
| 0.45 | 3.007 | 3.672 | 4.417 | 5.194 | 6.241 | 7.513 | 9.206 | 11.31 | 14.03 |
| 0.50 | 3.464 | 4.191 | 5.037 | 5.894 | 7.046 | 8.503 | 10.42 | 12.82 | 16.10 |
| 0.55 | 3.962 | 4.715 | 5.660 | 6.620 | 7.907 | 9.453 | 11.71 | 14.43 | 18.23 |
| 0.60 | 4.521 | 5.371 | 6.412 | 7.495 | 8.892 | 10.64 | 13.21 | 16.29 | 20.70 |
| 0.65 | 5.168 | 6.107 | 7.264 | 8.472 | 10.01 | 11.95 | 14.91 | 18.41 | 23.50 |
| 0.70 | 5.906 | 6.945 | 8.229 | 9.578 | 11.27 | 13.42 | 16.84 | 20.80 | 26.69 |
| 0.75 | 6.759 | 7.887 | 9.323 | 10.82 | 12.69 | 15.03 | 19.04 | 23.52 | 30.30 |
| 0.80 | 7.714 | 9.002 | 10.57 | 12.27 | 14.29 | 16.97 | 21.47 | 26.59 | 34.43 |
| 0.85 | 8.770 | 10.24 | 11.96 | 13.87 | 16.00 | 19.10 | 24.12 | 29.89 | 39.03 |
| 0.90 | 10.04 | 11.68 | 13.56 | 15.72 | 18.07 | 21.51 | 27.27 | 33.87 | 44.37 |
| 0.95 | 11.50 | 13.21 | 15.35 | 17.69 | 20.34 | 23.97 | 30.87 | 38.28 | 50.33 |
| 1.00 | 13.09 | 15.10 | 17.40 | 20.09 | 22.86 | 27.14 | 34.73 | 43.19 | 57.18 |
| Sample | Enthalpy of Melting, /kJ·mol−1 | Melting Point /K |
|---|---|---|
| Original sample a | 41.3 ± 0.5 | 508.5 ± 0.5 |
| 31.6 b | 515.2 b | |
| 24.75 c | 509.3–510.3 c | |
| 41.3 d | 508.5 d | |
| 41.3 ± 1.0 e | 508.5 e | |
| 508.9 f | ||
| 506.4 g | ||
| 508.95 h | ||
| 510.66 i | ||
| 508.5 j | ||
| 508.5 k | ||
| 1-PrOH | 41.2 ± 0.5 | 508.4 ± 0.5 |
| 41.31 ± 0.5 | 510.2 ± 0.5 | |
| Acetonitrile | 40.9 ± 0.5 | 509.1 ± 0.5 |
| b | / (kJ·mol−1) | (kJ·mol−1) | (J·mol−1·K−1) | (kJ·mol−1) | c | c |
|---|---|---|---|---|---|---|
| 0.00 | 20.96 | 29.25 | 27.85 | 8.29 | 0.779 | 0.221 |
| 0.05 | 20.66 | 29.09 | 28.33 | 8.43 | 0.775 | 0.225 |
| 0.10 | 20.35 | 28.94 | 28.86 | 8.59 | 0.771 | 0.229 |
| 0.15 | 20.04 | 28.78 | 29.37 | 8.74 | 0.767 | 0.233 |
| 0.20 | 19.74 | 28.63 | 29.88 | 8.89 | 0.763 | 0.237 |
| 0.25 | 19.43 | 28.47 | 30.38 | 9.04 | 0.759 | 0.241 |
| 0.30 | 19.12 | 28.32 | 30.92 | 9.20 | 0.755 | 0.245 |
| 0.35 | 18.82 | 28.18 | 31.43 | 9.35 | 0.751 | 0.249 |
| 0.40 | 18.51 | 28.02 | 31.96 | 9.51 | 0.747 | 0.253 |
| 0.45 | 18.21 | 27.86 | 32.44 | 9.65 | 0.743 | 0.257 |
| 0.50 | 17.89 | 27.71 | 33.01 | 9.82 | 0.738 | 0.262 |
| 0.55 | 17.59 | 27.58 | 33.55 | 9.99 | 0.734 | 0.266 |
| 0.60 | 17.29 | 27.42 | 34.05 | 10.13 | 0.730 | 0.270 |
| 0.65 | 16.98 | 27.27 | 34.57 | 10.29 | 0.726 | 0.274 |
| 0.70 | 16.67 | 27.12 | 35.09 | 10.44 | 0.722 | 0.278 |
| 0.75 | 16.37 | 26.97 | 35.62 | 10.6 | 0.718 | 0.282 |
| 0.80 | 16.06 | 26.81 | 36.13 | 10.75 | 0.714 | 0.286 |
| 0.85 | 15.76 | 26.64 | 36.56 | 10.88 | 0.710 | 0.290 |
| 0.90 | 15.45 | 26.49 | 37.11 | 11.04 | 0.706 | 0.294 |
| 0.95 | 15.14 | 26.35 | 37.65 | 11.2 | 0.702 | 0.298 |
| 1.0 | 14.83 | 26.18 | 38.13 | 11.35 | 0.698 | 0.302 |
| b | (kJ·mol−1) | (kJ·mol−1) | (J·mol−1·K−1) | (kJ·mol−1) |
|---|---|---|---|---|
| 0.00 | −3.730 | 5.107 | 29.696 | 8.837 |
| 0.05 | −4.038 | 4.944 | 30.180 | 8.981 |
| 0.10 | −4.344 | 4.793 | 30.703 | 9.137 |
| 0.15 | −4.650 | 4.639 | 31.214 | 9.289 |
| 0.20 | −4.957 | 4.485 | 31.726 | 9.441 |
| 0.25 | −5.264 | 4.327 | 32.227 | 9.590 |
| 0.30 | −5.572 | 4.178 | 32.765 | 9.750 |
| 0.35 | −5.872 | 4.032 | 33.280 | 9.904 |
| 0.40 | −6.184 | 3.878 | 33.809 | 10.061 |
| 0.45 | −6.488 | 3.715 | 34.284 | 10.203 |
| 0.50 | −6.807 | 3.565 | 34.856 | 10.373 |
| 0.55 | −7.100 | 3.434 | 35.401 | 10.535 |
| 0.60 | −7.407 | 3.276 | 35.898 | 10.683 |
| 0.65 | −7.714 | 3.124 | 36.417 | 10.837 |
| 0.70 | −8.020 | 2.971 | 36.933 | 10.991 |
| 0.75 | −8.326 | 2.824 | 37.468 | 11.150 |
| 0.80 | −8.636 | 2.664 | 37.972 | 11.300 |
| 0.85 | −8.937 | 2.494 | 38.410 | 11.430 |
| 0.90 | −9.248 | 2.345 | 38.957 | 11.593 |
| 0.95 | −9.551 | 2.203 | 39.498 | 11.754 |
| 1.00 | −9.860 | 2.036 | 39.973 | 11.896 |
| Model | Correlation Coefficient | F | F Critic | p |
|---|---|---|---|---|
| van’t Hoff | 0.987 | 4727.9 | 1.33 | ≪0.001 |
| Yalkowsky–Roseman–van’t Hoff | 0.994 | 14,801.7 | 5.63 | ≪0.001 |
| Apelblat | 0.995 | 9753.9 | 5.08 | ≪0.001 |
| Buchowski–Ksiazczak | 0.998 | 23,781.1 | 8.39 | ≪0.001 |
| Yaws | 0.999 | 100,234.7 | 2.25 | ≪0.001 |
| NRTL | 1.000 | 438,496.5 | 8.73 | ≪0.001 |
| Wilson | 1.000 | 6,076,060.4 | 9.01 | ≪0.001 |
| modified Wilson | 1.000 | 16,746,788.2 | 9.65 | ≪0.001 |
Disclaimer/Publisher’s Note: The statements, opinions and data contained in all publications are solely those of the individual author(s) and contributor(s) and not of MDPI and/or the editor(s). MDPI and/or the editor(s) disclaim responsibility for any injury to people or property resulting from any ideas, methods, instructions or products referred to in the content. |
© 2023 by the authors. Licensee MDPI, Basel, Switzerland. This article is an open access article distributed under the terms and conditions of the Creative Commons Attribution (CC BY) license (https://creativecommons.org/licenses/by/4.0/).
Share and Cite
Ortiz, C.P.; Cardenas-Torres, R.E.; Herrera, M.; Delgado, D.R. Numerical Analysis of Sulfamerazine Solubility in Acetonitrile + 1-Propanol Cosolvent Mixtures at Different Temperatures. Sustainability 2023, 15, 6596. https://doi.org/10.3390/su15086596
Ortiz CP, Cardenas-Torres RE, Herrera M, Delgado DR. Numerical Analysis of Sulfamerazine Solubility in Acetonitrile + 1-Propanol Cosolvent Mixtures at Different Temperatures. Sustainability. 2023; 15(8):6596. https://doi.org/10.3390/su15086596
Chicago/Turabian StyleOrtiz, Claudia Patricia, Rossember Edén Cardenas-Torres, Mauricio Herrera, and Daniel Ricardo Delgado. 2023. "Numerical Analysis of Sulfamerazine Solubility in Acetonitrile + 1-Propanol Cosolvent Mixtures at Different Temperatures" Sustainability 15, no. 8: 6596. https://doi.org/10.3390/su15086596
APA StyleOrtiz, C. P., Cardenas-Torres, R. E., Herrera, M., & Delgado, D. R. (2023). Numerical Analysis of Sulfamerazine Solubility in Acetonitrile + 1-Propanol Cosolvent Mixtures at Different Temperatures. Sustainability, 15(8), 6596. https://doi.org/10.3390/su15086596

