Optimisation of Building Green Performances Using Vertical Greening Systems: A Case Study in Changzhou, China
Abstract
1. Introduction
1.1. Improving Indoor Thermal Comfort
1.2. Promoting Air Purification and Removal of Pollutants
1.3. Enabling Energy Savings in the Cooling and Heating of Buildings
1.4. Research Gaps and the Aim of the Study
- (1)
- What are the differences in the indoor thermal environment and the air quality between a room with VGSs and a room without VGSs?
- (2)
- Do VGSs contribute to energy conservation in actual building operations?
2. Materials and Methods
2.1. Project Information
2.2. Experimental Description
2.3. Data Processing
2.3.1. Measuring Indicators
2.3.2. IoT-Based Environmental Monitoring Platform
2.4. Data Analysis
2.4.1. Statistical Analysis
2.4.2. Thermal Comfort
2.4.3. Thermal Inertia
3. Results
3.1. Thermal Environment
3.1.1. Outdoor Weather
3.1.2. Indoor Air Temperature
3.1.3. Indoor Relative Humidity
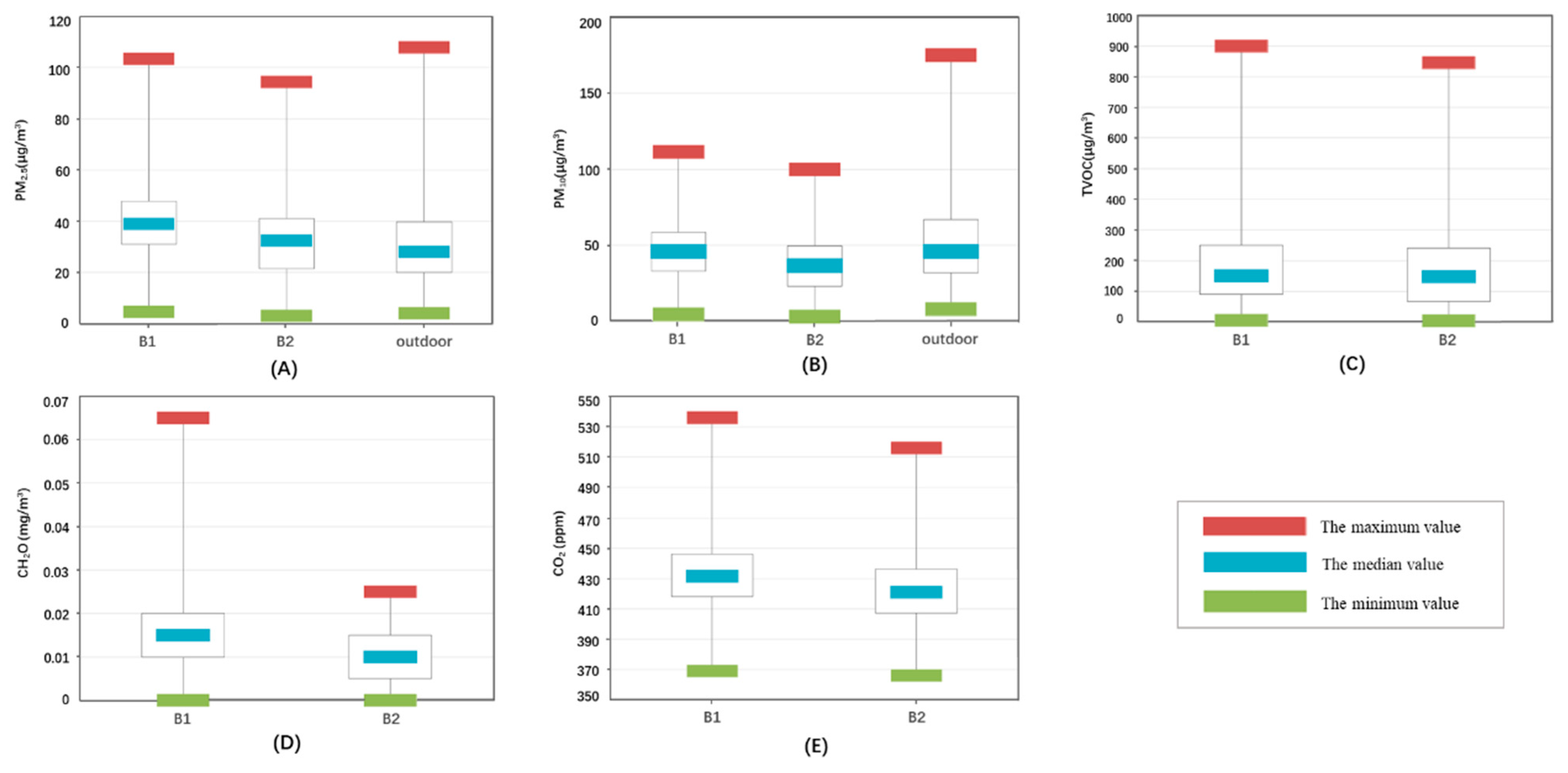
3.2. Indoor Air Quality
3.2.1. Particulate Matter
3.2.2. Carbon Dioxide
3.2.3. Organic Pollutants
4. Discussion
4.1. Impacts of VGSs on Indoor Thermal Comfort
4.2. Impacts of VGSs on Thermal Inertia
4.3. Impacts of VGSs on Indoor Air Quality
4.4. Energy Consumption
5. Conclusions
- (1)
- Through the use of the external VGS, optimisation of the indoor thermal environment was observed in the comparison groups. In the presence of the VGS, the average indoor air temperatures decreased by up to 0.7 °C in the transition season and by up to 0.6 °C in summer. Calculations further revealed that the external VGS could prolong the period of indoor thermal comfort by 6.6%, mitigate thermal dissatisfaction by 2.0% in the transition season, and shorten the operation time of air conditioning by up to 11.8%. Additionally, the room with a greening facade registered a greater thermal inertia, and the increases in both the thermal attenuation coefficient (by 19.5%) and the delay time (by 41.0%) demonstrated that the VGS could effectively improve the thermal inertia of the building envelope;
- (2)
- Analysis of the effects of the indoor VGS on the IAQ indicators revealed that lower air-pollutant concentrations were obtained in the presence of the VGS. Improvements were most pronounced for PM and CH2O. In the presence of the indoor VGS, the median PM2.5 and PM10 concentrations declined by 16.7% and 20.7%, respectively, while the median CH2O concentrations declined by 33.3%. Such findings attest to the positive effects of indoor greening in absorbing and reducing air pollutants;
- (3)
- Statistical analysis of the annual power consumption of the project revealed energy savings of up to 25% for the building with the VGSs compared to similar buildings without any VGSs. Moreover, the VGSs enabled a reduction in energy consumption for air conditioning during the transition season and summer, underlining its role in energy conservation.
Author Contributions
Funding
Institutional Review Board Statement
Informed Consent Statement
Data Availability Statement
Acknowledgments
Conflicts of Interest
Nomenclature
| Abbreviations | PM2.5 | particulate matter 2.5 | |
| IEQ | indoor environmental quality | PM10 | particulate matter 10 |
| VGS | vertical greening system | CO2 | carbon dioxide |
| GW | green wall | MQTT | message queuing telemetry transport |
| GF | green facade | ||
| LWS | living wall system | Parameters | |
| IAQ | indoor air quality | the maximum delay time, H | |
| IoT | Internet of Things | the minimum delay time, H | |
| RH | relative humidity | the time with the maximum indoor air temperature, H | |
| TVOC | total volatile organic compounds | the time with the maximum outdoor air temperature, H | |
| CH2O | formaldehyde | the time with the minimum indoor air temperature, H | |
| PMV | predicted mean vote | the time with the minimum outdoor air temperature | |
| PPD | predicted percentage of dissatisfaction | the maximum indoor air temperature, ℃ | |
| EPS | expanded polystyrene | the minimum indoor air temperature, °C | |
| VRV | variable refrigerant volume | the maximum outdoor air temperature, °C | |
| IPLV | integrated part load value | the minimum outdoor air temperature, °C | |
References
- Rowe, T.; Poppe, J.; Buyle, M.; Belmans, B.; Audenaert, A. Is the sustainability potential of vertical greening systems deeply rooted? Establishing uniform outlines for environmental impact assessment of VGS. Renew. Sustain. Energy Rev. 2022, 162, 112414. [Google Scholar] [CrossRef]
- Du, H.; Cai, W.; Xu, Y.; Wang, Z.; Wang, Y.; Cai, Y. Quantifying the cool island effects of urban green spaces using remote sensing Data. Urban For. Urban Green 2017, 27, 24–31. [Google Scholar] [CrossRef]
- Yang, L.; Zhang, L.; Li, Y.; Wu, S. Water-related ecosystem services provided by urban green space: A case study in yixing city (China). Landsc. Urban Plann. 2015, 136, 40–51. [Google Scholar] [CrossRef]
- Pugh, T.; MacKenzie, A.; Whyatt, J.; Hewitt, N.C. Effectiveness of green infrastructure for improvement of air quality in urban street canyons. Environ. Sci. Technol. 2012, 46, 7692–7699. [Google Scholar] [CrossRef] [PubMed]
- Manso, M.; Teot´onio, I.; Silva, C.M.; Cruz, C.O. Green roof and green wall benefits and costs: A review of the quantitative evidence. Renew. Sustain. Energy Rev. 2020, 135, 110111. [Google Scholar] [CrossRef]
- Ascione, F.; De Masi, R.F.; Mastellone, M.; Ruggiero, S.; Vanoli, G.P. Green walls, a critical review: Knowledge gaps, design parameters thermal performances and multicriteria design approaches. Energies 2020, 13, 2296. [Google Scholar] [CrossRef]
- Yang, F.; Yuan, F.; Qian, F.; Zhuang, Z.; Yao, J. Summertime thermal and energy performance of a double-skin green facade: A case study in Shanghai. Sustain. Cities Soc. 2018, 39, 43–51. [Google Scholar] [CrossRef]
- Raji, B.; Tenpierik, M.J.; van den Dobblesteen, A. The impact of greening systems on building energy performance. Renew. Sustain. Energy Rev. 2015, 45, 610–623. [Google Scholar] [CrossRef]
- Coma, J.; Perez, G.; de Gracia, A.; Bures, S.; Urrestarazu, M.; Cabezza, L.F. Vertical greenery systems for energy savings in buildings: A comparative study between green walls and green facades. Build. Environ. 2017, 111, 228–237. [Google Scholar] [CrossRef]
- Thomsit, F.; Essah, E.A.; Hadley, P.; Blanusa, T. The impact of green facades and vegetative cover on the temperature and relative humidity within model buildings. Build. Environ. 2020, 181, 107009. [Google Scholar] [CrossRef]
- Dahanayake, K.W.D.K.C.; Chow, C.L. Studying the potential of energy saving through vertical greenery systems. Energy Build. 2017, 138, 47–59. [Google Scholar] [CrossRef]
- Olivieri, F.; Olivieri, L.; Neila, J. Experimental study of the thermal-energy performance of an insulated vegetal facade under summer conditions in a continental mediterranean climate. Build. Environ. 2014, 77, 61–76. [Google Scholar] [CrossRef]
- Chen, Q.; Li, B.; Liu, X. An experimental evaluation of the living wall system in hot and humid climate. Energy Build. 2013, 61, 298–307. [Google Scholar] [CrossRef]
- Haggag, M.; Hassan, A.; Elmasry, S. Experimental study on reduced heat gain through green façades in a high heat load climate. Energy Build. 2014, 82, 668–674. [Google Scholar] [CrossRef]
- Pichlhfer, A.; Sesto, E.; Hollands, J.; Korjenic, A. Health-Related Benefits of Different Indoor Plant Species in a School Setting. Sustainability 2021, 13, 9566. [Google Scholar] [CrossRef]
- Weerakkody, U.; Dover, J.W.; Mitchell, P.; Reiling, K. Evaluating the impact of individual leaf traits on atmospheric particulate matter accumulation using natural and synthetic leaves. Urban For. Urban Green. 2008, 30, 98–107. [Google Scholar] [CrossRef]
- Przybysz, A.; Sæbø, A.; Hanslin, H.M.; Gawronski, S.W. Accumulation of particulate matter and trace elements on vegetation as affected by pollution level, rainfall and the passage of time. Sci. Total Environ. 2010, 481, 360–369. [Google Scholar] [CrossRef]
- Ottele, M.; van Bohemen, H.D.; Fraaji, A.L.A. Quantifying the deposition of particulate matter on climber vegetation on living walls. Ecol. Eng. 2010, 36, 154–162. [Google Scholar] [CrossRef]
- Ysebaert, T.; Koch, K.; Samson, R.; Denys, S. Green walls for urban particulate matter pollution—A review. Urban For. Urban Green. 2021, 59, 127014. (In Chinese) [Google Scholar] [CrossRef]
- Feng, H.; Hewage, K. Lifecycle assessment of living walls: Air purification and energy performance. J. Clean. Prod. 2014, 69, 91–99. [Google Scholar] [CrossRef]
- Yang, J.; Yu, Q.; Gong, P. Quantifying air pollution removal by green roofs in Chicago. Atmos. Environ. 2008, 42, 7266–7273. [Google Scholar] [CrossRef]
- Sternberg, T.; Viles, H. Dust particulate absorption by ivy (Hedera helix L.) on historic walls in urban environments. Sci. Total Environ. 2010, 409, 162–168. [Google Scholar] [CrossRef]
- He, C.; Qiu, K.; Alahmad, A.; Pott, R. Particulate matter capturing capacity of roadside evergreen vegetation during the winter season. Urban For. Urban Green 2020, 48, 126510. [Google Scholar] [CrossRef]
- Alexandri, E.; Jones, P. Temperature decreases in an urban canyon due to green walls and green roofs in diverse climates. Build Environ. 2008, 43, 480–493. [Google Scholar] [CrossRef]
- Mazzali, U.; Peron, F.; Romagnoni, P.; Pulselli, R.M.; Bastianoni, S. Experimental investigation on the energy performance of Living Walls in a temperate climate. Build Environ. 2013, 64, 57–66. [Google Scholar] [CrossRef]
- Sailor, D. A green roof model for building energy simulation programs. Energy Build. 2008, 40, 1466–1478. [Google Scholar] [CrossRef]
- Altan, H.; John, N.; Yoshimi, J. Comparative Life Cycle Analysis of Green Wall Systems in the UK. In Proceedings of the 2nd International Sustainable Buildings Symposium, Ankara, Turkey, 28–30 May 2015; p. 10. [Google Scholar]
- Magrassi, F.; Perini, K. Environmental and Energetic Assessment of a Vertical Greening System Installed in Genoa. In Proceedings of the International Conference Urban Comfort and Environmental Quality, Genoa, Italy, 28–29 September 2017; pp. 132–136. [Google Scholar]
- Ottele, M.; Perini, K.; Haas, E.M. 19—Life cycle assessment (LCA) of green façades and living wall systems. In Eco-Efficient Construction and Building Materials; Pacheco-Torgal, F., Cabeza, L.F., Labrincha, J., de Magalhaes, A., Eds.; Woodhead Publishing: Sawston, UK, 2014; pp. 457–483. [Google Scholar]
- Natarajan, M.; Rahimi, M.; Sen, S.; Mackenzie, N.; Imanbayev, Y. Living wall systems: Evaluating life-cycle energy, water and carbon impacts. Urban Ecosyst. 2015, 18, 1–11. [Google Scholar] [CrossRef]
- Pan, L.; Chu, L.M. Energy saving potential and life cycle environmental impacts of a vertical greenery system in Hong Kong: A case study. Build Environ. 2016, 96, 293–300. [Google Scholar] [CrossRef]
- Chafer, M.; Perez, G.; Coma, J.; Cabeza, L.F. A comparative life cycle assessment between green walls and green facades in the Mediterranean continental climate. Energy Build. 2021, 249, 111236. [Google Scholar] [CrossRef]
- Zhang, G.; He, B. Towards green roof implementation: Drivers, motivations, barriers and recommendations. Urban For. Urban Green. 2021, 58, 126992. [Google Scholar] [CrossRef]
- Cao, Y.; Xu, C.; Kamaruzzaman, S.N.; Aziz, N.M. A Systematic Review of Green Building Development in China: Advantages, Challenges and Future Directions. Sustainability 2022, 14, 12293. [Google Scholar] [CrossRef]
- Anand, P.; Sekhar, C.; Cheong, D.; Santamouris, M. Occupancy-based zone-level VAV system control implications on thermal comfort, ventilation, indoor air quality and building energy efficiency. Energy Build. 2019, 204, 109473. [Google Scholar] [CrossRef]
- ISO 7730:2005; Ergonomics of the Thermal Environment—Analytical Determination and Interpretation of Thermal Comfort Using Calculation of the PMV and PPD Indices and Local Thermal Comfort Criteria. ISO: Geneva, Switzerland, 2005.
- Baglivo, C.; Congedo, P.; Fazio, A.; Laforgia, D. Multi-objective optimization analysis for high efficiency external walls of zero energy buildings (ZEB) in the Mediterranean climate. Energy Build. 2014, 84, 483–492. [Google Scholar] [CrossRef]
- QX/T 152-2012; China Meteorological Administration. Division of Climatic Season. Meteorological Press: Beijing, China, 2012.
- ASHRAE Standard 55:2017; Thermal Environmental Conditions for Human Occupancy. ASHRAE: Atlanta, GA, USA, 2017.
- Hao, X.; Liu, L.; Tan, H.; Lin, Y.; Hu, J.; Yin, W. The Impacts of Greenery Systems on Indoor Thermal Environments in Transition Seasons: An Experimental Investigation. Buildings 2022, 12, 506. [Google Scholar] [CrossRef]
- Nawalany, G.; Sokolowski, P. Numerical Analysis of the Effect of Ground Dampness on Heat Transfer between Greenhouse and Ground. Sustainability 2021, 13, 3084. [Google Scholar] [CrossRef]
- Sokolowski, P.; Nawalany, G. Experimental study of the impact of the vegetable cold store floor location on heat exchange with the soil. Appl. Ecol. Environ. Res. 2019, 17, 8179–8189. [Google Scholar] [CrossRef]
- Du, L.; Leivo, V.; Prasauskas, T.; Taubel, M.; Martuzevicius, D.; Haverinen-Shaughnessy, U. Effects of Energy Retrofits on Indoor Air Quality in Multifamily Buildings. Indoor Air 2019, 29, 686–697. [Google Scholar] [CrossRef]


















| Group ID | Point ID | Point Location | Functional Area | External VGS | Indoor VGS | Evaluation Aspect |
|---|---|---|---|---|---|---|
| Group A | A1 | Meeting room 210, 2nd floor | Office zone | × | × | Thermal properties |
| A2 | Meeting room 212, 2nd floor | ○ | × | |||
| Group B | B1 | Exhibition hall, 1st floor | Exhibition zone | ○ | × | IAQ and thermal properties |
| B2 | Atrium | × | ○ |
| Parameter | Measurement Range | Resolution | Accuracy | Indoor Monitor | Outdoor Monitor |
|---|---|---|---|---|---|
| Air temperature (TEMP) | −40 °C~+120 °C | 0.1 °C | ±0.5 °C (25 °C) | ○ | ○ |
| Relative humidity (RH) | 0% RH–100% RH | 0.1% RH | ±3% RH (60% RH, 25 °C) | ○ | ○ |
| Particulate matter 2.5 (PM2.5) | 0–1000 μg/m³ | 1 μg/m³ | ±10% | ○ | ○ |
| Particulate matter 10 (PM10) | 0–1000 μg/m³ | 1 μg/m³ | ±10% | ○ | ○ |
| Total volatile organic compounds (TVOC) | 0–60,000 μg/m³ | 1 μg/m³ | ±8% FS ± 125 μg/m³ | ○ | × |
| Formaldehyde (CH2O) | 0–1.50 mg/m³ | 0.01 mg/m³ | ±5% FS | ○ | × |
| Carbon dioxide (CO2) | 0–5000 ppm | 1 ppm | ±40 ppm ± 3% FS | ○ | × |
| Point ID | Spring Average RH (%) | Summer Average RH (%) | ΔRH (%) |
|---|---|---|---|
| A1 | 60.1 | 69.0 | 8.9 |
| A2 | 63.1 | 69.5 | 6.4 |
| B1 | 62.0 | 67.0 | 5.0 |
| B2 | 61.8 | 65.1 | 4.3 |
| Outdoor | 54.0 | 71.1 | 16.9 |
| Group ID | Point ID | Average f | Average φ_max/H | Average φ_min/H |
|---|---|---|---|---|
| Group A | A1 | 0.87 | 1.66 | 1.56 |
| A2 | 0.70 | 2.95 | 2.20 |
| Index | Point ID | Minima | Median | Maxima |
|---|---|---|---|---|
| PM2.5 (μg/m3) | B1 | 4.50 | 39.00 | 103.50 |
| B2 | 3.00 | 32.50 | 94.50 | |
| Outdoor | 4.00 | 28.00 | 108.00 | |
| PM10 (μg/m3) | B1 | 4.50 | 46.00 | 111.50 |
| B2 | 3.00 | 36.50 | 100.00 | |
| Outdoor | 8.00 | 46.00 | 211.00 | |
| CO2 (ppm) | B1 | 369.00 | 431.50 | 536.00 |
| B2 | 366.00 | 421.00 | 516.00 | |
| TVOC (μg/m3) | B1 | 5.00 | 150.50 | 900.00 |
| B2 | 3.00 | 148.00 | 846.00 | |
| CH2O (mg/m3) | B1 | 0.00 | 0.02 | 0.07 |
| B2 | 0.00 | 0.01 | 0.03 |
Disclaimer/Publisher’s Note: The statements, opinions and data contained in all publications are solely those of the individual author(s) and contributor(s) and not of MDPI and/or the editor(s). MDPI and/or the editor(s) disclaim responsibility for any injury to people or property resulting from any ideas, methods, instructions or products referred to in the content. |
© 2023 by the authors. Licensee MDPI, Basel, Switzerland. This article is an open access article distributed under the terms and conditions of the Creative Commons Attribution (CC BY) license (https://creativecommons.org/licenses/by/4.0/).
Share and Cite
Yang, Y.; Hu, K.; Liu, Y.; Wang, Z.; Dong, K.; Lv, P.; Shi, X. Optimisation of Building Green Performances Using Vertical Greening Systems: A Case Study in Changzhou, China. Sustainability 2023, 15, 4494. https://doi.org/10.3390/su15054494
Yang Y, Hu K, Liu Y, Wang Z, Dong K, Lv P, Shi X. Optimisation of Building Green Performances Using Vertical Greening Systems: A Case Study in Changzhou, China. Sustainability. 2023; 15(5):4494. https://doi.org/10.3390/su15054494
Chicago/Turabian StyleYang, Yue, Kai Hu, Yibiao Liu, Zhihuang Wang, Kaihong Dong, Peijuan Lv, and Xing Shi. 2023. "Optimisation of Building Green Performances Using Vertical Greening Systems: A Case Study in Changzhou, China" Sustainability 15, no. 5: 4494. https://doi.org/10.3390/su15054494
APA StyleYang, Y., Hu, K., Liu, Y., Wang, Z., Dong, K., Lv, P., & Shi, X. (2023). Optimisation of Building Green Performances Using Vertical Greening Systems: A Case Study in Changzhou, China. Sustainability, 15(5), 4494. https://doi.org/10.3390/su15054494

