Geotechnical Investigation of Gelatin Biopolymer on Cohesive Soils
Abstract
1. Introduction
2. Materials and Methods
3. Results
3.1. Liquid and Plastic Limits
3.2. Compaction Characteristics
3.3. UCS
3.4. CBR
3.5. Durability
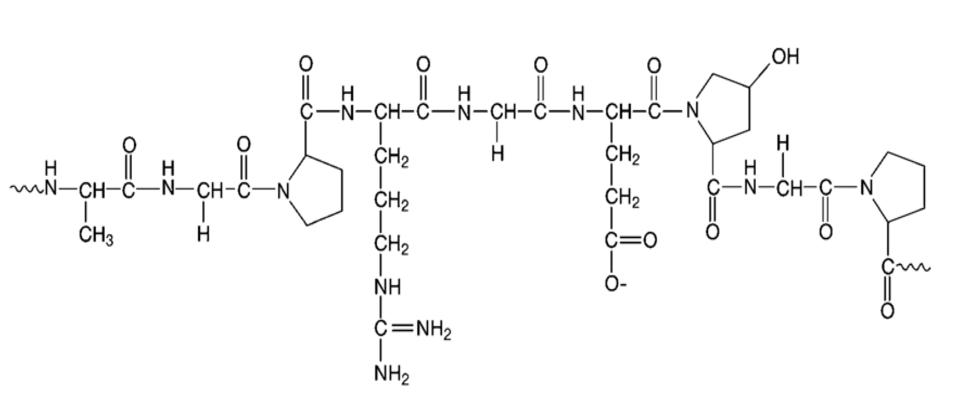
3.6. Gelatin-Soil Mechanism
3.6.1. FTIR
3.6.2. SEM
3.6.3. Average Particle Size Determination
3.6.4. Permeability
3.6.5. pH
3.6.6. Viscosity
3.6.7. Future Perspectives
4. Conclusions
Author Contributions
Funding
Institutional Review Board Statement
Informed Consent Statement
Data Availability Statement
Acknowledgments
Conflicts of Interest
References
- Latifi, N.; Horpibulsuk, S.; Meehan, C.L.; Abd Majid, M.Z.; Tahir, M.M.; Mohamad, E.T. Improvement of Problematic Soils with Biopolymer—An Environmentally Friendly Soil Stabilizer. J. Mater. Civ. Eng. 2017, 29, 04016204. [Google Scholar] [CrossRef]
- Ijaz, N.; Ye, W.; ur Rehman, Z.; Ijaz, Z. Novel Application of Low Carbon Limestone Calcined Clay Cement (LC3) in Expansive Soil Stabilization: An Eco-Efficient Approach. J. Clean Prod. 2022, 371, 133492. [Google Scholar] [CrossRef]
- Ijaz, N.; Dai, F.; ur Rehman, Z. Paper and Wood Industry Waste as a Sustainable Solution for Environmental Vulnerabilities of Expansive Soil: A Novel Approach. J. Env. Manag. 2020, 262, 110285. [Google Scholar] [CrossRef]
- Ijaz, N.; Ye, W.; ur Rehman, Z.; Dai, F.; Ijaz, Z. Numerical Study on Stability of Lignosulphonate-Based Stabilized Surficial Layer of Unsaturated Expansive Soil Slope Considering Hydro-Mechanical Effect. Transp. Geotech. 2022, 32, 100697. [Google Scholar] [CrossRef]
- Ijaz, N.; ur Rehman, Z.; Ijaz, Z. Recycling of Paper/Wood Industry Waste for Hydromechanical Stability of Expansive Soils: A Novel Approach. J. Clean Prod. 2022, 348, 131345. [Google Scholar] [CrossRef]
- Mujtaba, H.; Khalid, U.; ur Rehman, Z.; Farooq, K. Recycling of Reclaimed Subbase Materials in Flexible Pavement Design. Road Mater. Pavement Des. 2022, 23, 2713–2732. [Google Scholar] [CrossRef]
- Ijaz, N.; Ye, W.; ur Rehman, Z.; Ijaz, Z.; Junaid, M.F. New Binary Paper/Wood Industry Waste Blend for Solidification/Stabilisation of Problematic Soil Subgrade: Macro-Micro Study. Road Mater. Pavement Des. 2022, 1–17. [Google Scholar] [CrossRef]
- Cortés-Morales, E.A.; Mendez-Montealvo, G.; Velazquez, G. Interactions of the Molecular Assembly of Polysaccharide-Protein Systems as Encapsulation Materials. A Review. Adv. Colloid. Interface Sci. 2021, 295, 102398. [Google Scholar] [CrossRef]
- Ham, S.-M.; Chang, I.; Noh, D.-H.; Kwon, T.-H.; Muhunthan, B. Improvement of Surface Erosion Resistance of Sand by Microbial Biopolymer Formation. J. Geotech. Geoenvironmental Eng. 2018, 144, 06018004. [Google Scholar] [CrossRef]
- Im, J.; Chang, I.; Cho, G.-C. Small Strain Stiffness and Elastic Behavior of Gellan Treated Soils with Confinement. In Geotechnical Frontiers 2017; American Society of Civil Engineers: Orlando, FL, USA, 2017; pp. 834–841. [Google Scholar]
- Barani, O.R.; Barfar, P. Effect of Xanthan Gum Biopolymer on Fracture Properties of Clay. J. Mater. Civ. Eng. 2021, 33, 04020426. [Google Scholar] [CrossRef]
- Soldo, A.; Aguilar, V.; Miletić, M. Macroscopic Stress-Strain Response and Strain-Localization Behavior of Biopolymer-Treated Soil. Polymers 2022, 14, 997. [Google Scholar] [CrossRef]
- Zhang, T.; Yang, Y.-L.; Liu, S.-Y. Application of Biomass By-Product Lignin Stabilized Soils as Sustainable Geomaterials: A Review. Sci. Total Environ. 2020, 728, 138830. [Google Scholar] [CrossRef]
- Lemboye, K.; Almajed, A.; Hamid, W.; Arab, M. Permeability Investigation on Sand Treated Using Enzyme-Induced Carbonate Precipitation and Biopolymers. Innov. Infrastruct. Solut. 2021, 6, 1–8. [Google Scholar] [CrossRef]
- Lim, A.; Iskandar, M.R.; Albrecht, Y. Improvement of Soil Shear Strength Using Glucomannan Biopolymer for Loose Sand. In IOP Conference Series: Earth and Environmental Science; IOP Publishing Ltd.: Bristol, UK, 2021; Volume 871. [Google Scholar]
- Soldo, A.; Miletić, M.; Auad, M.L. Biopolymers as a Sustainable Solution for the Enhancement of Soil Mechanical Properties. Sci. Rep. 2020, 10, 1–13. [Google Scholar] [CrossRef]
- Armistead, S.J.; Smith, C.C.; Staniland, S.S. Sustainable Biopolymer Soil Stabilization in Saline Rich, Arid Conditions: A ‘Micro to Macro’ Approach. Sci. Rep. 2022, 12, 1–11. [Google Scholar] [CrossRef]
- Ni, J.; Li, S.-S.; Geng, X.-Y. Mechanical and Biodeterioration Behaviours of a Clayey Soil Strengthened with Combined Carrageenan and Casein. Acta Geotech 2022, 17, 5411–5427. [Google Scholar] [CrossRef]
- Muguda, S.; Hughes, P.N.; Augarde, C.E.; Perlot, C.; Walter Bruno, A.; Gallipoli, D. Cross-Linking of Biopolymers for Stabilizing Earthen Construction Materials. Build. Res. Inf. 2022, 50, 502–514. [Google Scholar] [CrossRef]
- Nouri, H.; Ghadir, P.; Fatehi, H.; Shariatmadari, N.; Saberian, M. Effects of Protein-Based Biopolymer on Geotechnical Properties of Salt-Affected Sandy Soil. Geotech. Geol. Eng. 2022, 40, 5739–5753. [Google Scholar] [CrossRef]
- Kasapis, S.; Norton, I.T.; Johan, B. Modern Biopolymer Science: Bridging the Divide between Fundamental Treatise and Industrial Application; Academic Press: Cambridge, MA, USA, 2009; ISBN 0080921140. [Google Scholar]
- Chang, I.; Prasidhi, A.K.; Im, J.; Cho, G.-C. Soil Strengthening Using Thermo-Gelation Biopolymers. Constr. Build. Mater. 2015, 77, 430–438. [Google Scholar] [CrossRef]
- Kommareddy, S.; Shenoy, D.B.; Amiji, M.M. Gelatin Nanoparticles and Their Biofunctionalization. In Nanotechnologies for the Life Sciences; Wiley-VCH Verlag GmbH & Co. KGaA: Weinheim, Germany, 2007. [Google Scholar]
- Rezaeimalek, S.; Nasouri, N.; Huang, J.; Shafique, S.B.; Gilazghi, S.T. Comparison of Short-Term and Long-Term Performances for Polymer-Stabilized Sand and Clay. J. TrafficTransp. Eng. 2017, 4, 145–155. [Google Scholar] [CrossRef]
- IS 2720-5; Methods of Test for Soils, Part 5: Determination of Liquid and Plastic Limit. Indian Standards Institution: New Delhi, India, 1985.
- IS 2720-7; Methods of Test for Soils, Part 7: Determination of Water Content-Dry Density Relation Using Light Compaction. Indian Standards Institution: New Delhi, India, 1980.
- IS 2720-10; Methods of Test for Soils, Part 10: Determination of Unconfined Compressive Strength. Indian Standards Institution: New Delhi, India, 1991.
- IS 2720-16; Methods of Test for Soils, Part 16: Laboratory Determination of CBR. Indian Standards Institution: New Delhi, India, 1987.
- IS 2720-26; Method of Test for Soils, Part 26: Determination of PH Value. Indian Standards Institution: New Delhi, India, 1987.
- IS 4332-4; Methods of Test for Stabilized Soils, Part 4: Wetting and Drying, and Freezing and Thawing Tests for Compacted Soil-Cement Mixtures. Indian Standards Institution: New Delhi, India, 1968.
- Noolu, V.; Mallikarjuna Rao, G.; Sudheer kumar reddy, B.; Chavali, R.V.P. Strength and Durability Characteristics of GGBS Geopolymer Stabilized Black Cotton Soil. Mater. Today Proc. 2021, 43, 2373–2376. [Google Scholar] [CrossRef]
- Joga, J.R.; Varaprasad, B.J.S. Sustainable Improvement of Expansive Clays Using Xanthan Gum as a Biopolymer. Civ. Eng. J. 2019, 5, 1893–1903. [Google Scholar] [CrossRef]
- Ramachandran, A.L.; Dubey, A.A.; Dhami, N.K.; Mukherjee, A. Multiscale Study of Soil Stabilization Using Bacterial Biopolymers. J. Geotech. Geoenvironmental Eng. 2021, 147, 04021074. [Google Scholar] [CrossRef]
- Shariatmadari, N.; Reza, M.; Tasuji, A.; Ghadir, P.; Javadi, A.A. Experimental Study on the Effect of Chitosan Biopolymer on Sandy Soil Stabilization. In Proceedings of 4th European Conference on Unsaturated Soils (E-UNSAT 2020), Lisboa, Portugal, 19–21 October 2020; EDP Sciences: Les Ulis, Fance, 2020; Volume 195. [Google Scholar]
- Bocheńska, M.; Bujko, M.; Dyka, I.; Srokosz, P.; Ossowski, R. Effect of Chitosan Solution on Low-Cohesive Soil’s Shear Modulus G Determined through Resonant Column and Torsional Shearing Tests. Appl. Sci. 2022, 12, 5332. [Google Scholar] [CrossRef]
- Nugent, R.; Zhang, G.; Gambrell, R. Effect of Exopolymers on the Liquid Limit of Clays and Its Engineering Implications. Transp. Res. Rec. 2010, 2101, 34–43. [Google Scholar] [CrossRef]
- Chen, C.; Wu, L.; Harbottle, M. Exploring the Effect of Biopolymers in Near-Surface Soils Using Xanthan Gum–Modified Sand under Shear. Can. Geotech. J. 2020, 57, 1109–1118. [Google Scholar] [CrossRef]
- Seo, S.; Lee, M.; Im, J.; Kwon, Y.-M.; Chung, M.-K.; Cho, G.-C.; Chang, I. Site Application of Biopolymer-Based Soil Treatment (BPST) for Slope Surface Protection: In-Situ Wet-Spraying Method and Strengthening Effect Verification. Constr. Build. Mater. 2021, 307, 124983. [Google Scholar] [CrossRef]
- Adabi, M.; Darvishan, E.; Eyvazi, G.; Jahanbaksh Motlagh, H. Geoenvironmental Application of Novel Persian Gum Biopolymer in Sandy Soil Stabilization. Arab J. Sci. Eng. 2022, 47, 12915–12929. [Google Scholar] [CrossRef]
- Anandha Kumar, S.; Sujatha, E.R.; Pugazhendi, A.; Jamal, M.T. Guar Gum-Stabilized Soil: A Clean, Sustainable and Economic Alternative Liner Material for Landfills. Clean Technol. Env. Policy 2021. [Google Scholar] [CrossRef]
- Reddy, N.G.; Nongmaithem, R.S.; Basu, D.; Rao, B.H. Application of Biopolymers for Improving the Strength Characteristics of Red Mud Waste. Environ. Geotech. 2020, 40, 1–20. [Google Scholar] [CrossRef]
- Kuptsov, A.H.; Zhizhin, G.N. Handbook of Fourier Transform Raman and Infrared Spectra of Polymers; Elsevier: Amsterdam, The Netherlands, 1998; ISBN 0080531946. [Google Scholar]
- Bozyigit, I.; Javadi, A.; Altun, S. Strength Properties of Xanthan Gum and Guar Gum Treated Kaolin at Different Water Contents. J. Rock Mech. Geotech. Eng. 2021, 13, 1160–1172. [Google Scholar] [CrossRef]
- Skujins, J.J.; McLaren, A.D. Persistence of Enzymatic Activities in Stored and Geologically Preserved Soils. Enzymologia 1968, 34, 213–225. [Google Scholar]
- Arab, M.G.; Mousa, R.A.; Gabr, A.R.; Azam, A.M.; El-Badawy, S.M.; Hassan, A.F. Resilient Behavior of Sodium Alginate–Treated Cohesive Soils for Pavement Applications. J. Mater. Civ. Eng. 2019, 31, 04018361. [Google Scholar] [CrossRef]
- Chang, I.; Cho, G.-C. Strengthening of Korean Residual Soil with β-1,3/1,6-Glucan Biopolymer. Constr Build Mater 2012, 30, 30–35. [Google Scholar] [CrossRef]
- Mujtaba, H.; Khalid, U.; Farooq, K.; Elahi, M.; Rehman, Z.; Shahzad, H.M. Sustainable Utilization of Powdered Glass to Improve the Mechanical Behavior of Fat Clay. KSCE J. Civ. Eng. 2020, 24, 3628–3639. [Google Scholar] [CrossRef]
- Fatehi, H.; Ong, D.E.L.; Yu, J.; Chang, I. Biopolymers as Green Binders for Soil Improvement in Geotechnical Applications: A Review. Geosciences 2021, 11, 291. [Google Scholar] [CrossRef]
- Onah, H.N.; Nwonu, D.C.; Ikeagwuani, C.C. Feasibility of Lime and Biopolymer Treatment for Soft Clay Improvement: A Comparative and Complementary Approach. Arab. J. Geosci. 2022, 15, 337. [Google Scholar] [CrossRef]
- Singh, S.P.; Das, R. Geo-Engineering Properties of Expansive Soil Treated with Xanthan Gum Biopolymer. Geomech. Geoengin. 2020, 15, 107–122. [Google Scholar] [CrossRef]
- Elkafoury, A.; Azzam, W. Utilize Xanthan Gum for Enhancing CBR Value of Used Cooking Oil-Contaminated Fine Sand Subgrade Soil for Pavement Structures. Innov. Infrastruct. Solut. 2021, 6, 1–10. [Google Scholar] [CrossRef]
- Mohan, R.P.; Adarsh, P. Strength Characteristics of Kuttanad Soil Stabilized with a Biopolymer Guar Gum. In Ground Improvement and Reinforced Soil Structures. Lecture Notes in Civil Engineering; Springer: Singapore, 2022; pp. 423–431. [Google Scholar]
- Hamza, M.; Nie, Z.; Aziz, M.; Ijaz, N.; Ameer, M.F.; Ijaz, Z. Geotechnical Properties of Problematic Expansive Subgrade Stabilized with Xanthan Gum Biopolymer. Road Mater. Pavement Des. 2022, 1–15. [Google Scholar] [CrossRef]
- Hamza, M.; Nie, Z.; Aziz, M.; Ijaz, N.; Ijaz, Z.; ur Rehman, Z. Strengthening Potential of Xanthan Gum Biopolymer in Stabilizing Weak Subgrade Soil. Clean Technol. Env. Policy 2022, 24, 2719–2738. [Google Scholar] [CrossRef]
- Chang, I.; Lee, M.; Tran, A.T.P.; Lee, S.; Kwon, Y.-M.; Im, J.; Cho, G.-C. Review on Biopolymer-Based Soil Treatment (BPST) Technology in Geotechnical Engineering Practices. Transp. Geotech. 2020, 24, 100385. [Google Scholar] [CrossRef]
- Reddy, J.J.; Varaprasad, B.J.S. Long-Term and Durability Properties of Xanthan Gum Treated Dispersive Soils–An Eco-Friendly Material. Mater. Today Proc. 2021, 44, 309–314. [Google Scholar] [CrossRef]
- Nikolic, G. Fourier Transforms: New Analytical Approaches and FTIR Strategies; BoD–Books on Demand: Rijeka, Croatia, 2011; ISBN 9533072326. [Google Scholar]
- Abidi, N. FTIR Microspectroscopy; Springer International Publishing: Cham, Switzerland, 2021; ISBN 978-3-030-84424-0. [Google Scholar]
- Cole, D.M.; Ringelberg, D.B.; Reynolds, C.M. Small-Scale Mechanical Properties of Biopolymers. J. Geotech. Geoenviron. Eng. 2012, 138, 1063–1074. [Google Scholar] [CrossRef]
- Ghasemzadeh, H.; Modiri, F. Application of Novel Persian Gum Hydrocolloid in Soil Stabilization. Carbohydr. Polym. 2020, 246, 116639. [Google Scholar] [CrossRef]
- Theng, B.K.G. Clay-Polymer Interactions: Summary and Perspectives. Clays Clay Min. 1982, 30, 1–10. [Google Scholar] [CrossRef]
- Indian Roads Congress Guidelines for the Design of Flexible Pavements. 2001. Available online: http://sscnagpur.ac.in/Department/Civil%20Engineering/IRC-37-2001.pdf (accessed on 13 January 2023).
- Chang, I.; Im, J.; Prasidhi, A.K.; Cho, G.C. Effects of Xanthan Gum Biopolymer on Soil Strengthening. Constr. Build Mater. 2015, 74, 65–72. [Google Scholar] [CrossRef]













| Properties | High Compressible Clay | Low Compressible Clay | Low Compressible Silt |
|---|---|---|---|
| Collection of Soil | Astraa Chemicals, Chennai, TN, India | Srirangam, Trichy, TN, India | Srirangam, Trichy, TN, India |
| Sand (%) | - | 13 | 17 |
| Clay (%) | 100 | 54 | 36 |
| Silt (%) | - | 33 | 47 |
| Liquid limit (%) | 58.4 | 34 | 29 |
| Plasticity index (%) | 34.1 | 14.8 | 7.7 |
| Classification | CH | CL | ML |
| Specific Gravity | 2.72 | 2.74 | 2.71 |
| % of Gelatin | CBR of CL Soils (%) | Cost of Bituminous Surfacing (INR) | Cost of the Granular Layer (INR) | Transportation Cost of the Granular Layer (INR 50/m3) | Total Cost (INR) |
|---|---|---|---|---|---|
| 0 | 3.37 | 10,125,000 | 2,492,674 | 118,125 | 31,963,780 |
| 1 | 6.21 | 7,802,183 | 2,017,879 | 95,625 | 28,266,877 |
Disclaimer/Publisher’s Note: The statements, opinions and data contained in all publications are solely those of the individual author(s) and contributor(s) and not of MDPI and/or the editor(s). MDPI and/or the editor(s) disclaim responsibility for any injury to people or property resulting from any ideas, methods, instructions or products referred to in the content. |
© 2023 by the authors. Licensee MDPI, Basel, Switzerland. This article is an open access article distributed under the terms and conditions of the Creative Commons Attribution (CC BY) license (https://creativecommons.org/licenses/by/4.0/).
Share and Cite
Vishweshwaran, M.; Sujatha, E.R. Geotechnical Investigation of Gelatin Biopolymer on Cohesive Soils. Sustainability 2023, 15, 2041. https://doi.org/10.3390/su15032041
Vishweshwaran M, Sujatha ER. Geotechnical Investigation of Gelatin Biopolymer on Cohesive Soils. Sustainability. 2023; 15(3):2041. https://doi.org/10.3390/su15032041
Chicago/Turabian StyleVishweshwaran, Muralidaran, and Evangelin Ramani Sujatha. 2023. "Geotechnical Investigation of Gelatin Biopolymer on Cohesive Soils" Sustainability 15, no. 3: 2041. https://doi.org/10.3390/su15032041
APA StyleVishweshwaran, M., & Sujatha, E. R. (2023). Geotechnical Investigation of Gelatin Biopolymer on Cohesive Soils. Sustainability, 15(3), 2041. https://doi.org/10.3390/su15032041
