Sign in to use this feature.

Years

Between: -

Subjects

remove_circle_outline
remove_circle_outline
remove_circle_outline
remove_circle_outline
remove_circle_outline
remove_circle_outline
remove_circle_outline
remove_circle_outline
remove_circle_outline

Journals

remove_circle_outline
remove_circle_outline
remove_circle_outline
remove_circle_outline
remove_circle_outline
remove_circle_outline
remove_circle_outline
remove_circle_outline
remove_circle_outline
remove_circle_outline
remove_circle_outline
remove_circle_outline

Article Types

Countries / Regions

remove_circle_outline
remove_circle_outline
remove_circle_outline
remove_circle_outline
remove_circle_outline

Search Results (1,584)

Search Parameters:
Keywords = thermal curing

Order results
Result details
Results per page
Select all
Export citation of selected articles as:
17 pages, 7001 KB  
Article
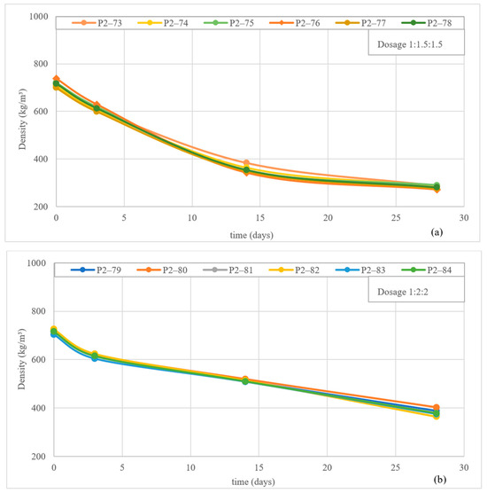
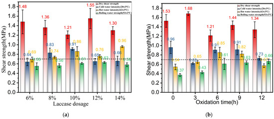
Green, Formaldehyde-Free Bio-Adhesive from Soybean Meal and Laccase-Oxidized Tannin via Quinone–Amine Crosslinking
by Shichao Zhang, Chengyuan Liu, Ya Ding, Yuan Yao, Hisham Essway, Xinyi Chen, Xiaojian Zhou, Hui Wang and Ming Cao
Polymers 2026, 18(8), 954; https://doi.org/10.3390/polym18080954 - 14 Apr 2026
Abstract
To develop a fully green and non-toxic wood adhesive with improved water resistance and bonding performance for soybean meal (Glycine max (L.) Merr.)-based adhesives, oxidized tannin (OTN) was obtained by the laccase treatment of waxberry tannin (TN), a natural polyphenolic polymer, and [...] Read more.
To develop a fully green and non-toxic wood adhesive with improved water resistance and bonding performance for soybean meal (Glycine max (L.) Merr.)-based adhesives, oxidized tannin (OTN) was obtained by the laccase treatment of waxberry tannin (TN), a natural polyphenolic polymer, and then blended with soybean meal (SM) to prepare an oxidized tannin–soybean meal adhesive (OTS). Laccase-mediated oxidation converted the tannin polymer into quinone-rich oxidized polymeric structures, which reacted with amino groups in soybean meal proteins through Michael addition and Schiff base reactions to form a covalently crosslinked polymeric network. Under the optimal conditions of a laccase dosage of 10%, an oxidation time of 6 h, an OTN:SM mass ratio of 0.5:1, and a hot-pressing temperature of 160 °C, plywood bonded with OTS exhibited a wet shear strength of 0.85 MPa at 63 °C, representing a 136% increase over that of the neat soybean meal adhesive, and showed slightly higher bonding performance than the commercial urea-formaldehyde (UF) resin under boiling-water conditions. Structural analyses (FT-IR and XPS) verified quinone formation and carbon–nitrogen single and double bonds. Thermal analyses (DSC and TGA) revealed improved curing reactivity and significantly enhanced thermal stability compared with the neat soybean meal adhesive. Full article
(This article belongs to the Section Biobased and Biodegradable Polymers)
Show Figures

Figure 1

12 pages, 874 KB  
Article
Temperature-Responsive Adsorption and Hydration Control of a Wide-Gradient Retarder in Oilwell Cementing (40 °C–120 °C)
by Chong Wang, Jinlong Peng and Chunyu Wang
Materials 2026, 19(8), 1555; https://doi.org/10.3390/ma19081555 - 13 Apr 2026
Abstract
The robustness of cement slurry performance under extreme vertical temperature gradients is critical for ensuring cementing operation safety in ultra-deep wells. This study systematically investigates the interfacial behavior and hydration control mechanisms of a temperature-sensitive composite retarder, TL-2. Adsorption analysis via Total Organic [...] Read more.
The robustness of cement slurry performance under extreme vertical temperature gradients is critical for ensuring cementing operation safety in ultra-deep wells. This study systematically investigates the interfacial behavior and hydration control mechanisms of a temperature-sensitive composite retarder, TL-2. Adsorption analysis via Total Organic Carbon (TOC) reveals that TL-2 exhibits unique non-isothermal adsorption characteristics, where its adsorption capacity slightly increases with temperature (40 °C–90 °C). This behavior overcomes the conventional limitation of drastic adsorption decline at elevated temperatures and serves as the physicochemical foundation for its wide-temperature adaptability. Performance evaluations simulated wide-temperature gradient conditions: TL-2 provided stable thickening times at 120 °C, and samples developed adequate compressive strength after 3 days of curing at lower temperatures (40 °C and 60 °C) following an initial 120 °C thickening simulation. Microstructural characterization (XRD, MIP) further elucidates the strength evolution logic across the gradient: in the lower temperature zone (40 °C–60 °C), adequate strength is established within 3 days through precise induction period control; meanwhile, at 120 °C, matrix densification is enhanced by promoting the well-crystallized tobermorite formation. The results demonstrate that TL-2 achieves a refined “buffering” effect on the liquid-to-solid transition through dynamic interfacial regulation, exhibiting superior wide-temperature adaptability across extreme thermal gradients (40 °C–120 °C) and providing essential technical support for the operational safety of ultra-deep well cementing. Full article
(This article belongs to the Section Construction and Building Materials)
Show Figures

Figure 1

23 pages, 4728 KB  
Article
Hydration Behavior and Environmental–Economic Performance of Portland Cement Incorporating Particle Board Waste Sludge
by Şükrü Özkan
Buildings 2026, 16(8), 1496; https://doi.org/10.3390/buildings16081496 - 10 Apr 2026
Viewed by 264
Abstract
This study presents a source-specific experimental evaluation of particle board waste sludge (PBWS), a sludge-type industrial by-product from the wood-based panel industry, as a partial cement replacement in Portland cement paste systems. The hydration-related behavior of cement pastes containing 0%, 5%, 10%, and [...] Read more.
This study presents a source-specific experimental evaluation of particle board waste sludge (PBWS), a sludge-type industrial by-product from the wood-based panel industry, as a partial cement replacement in Portland cement paste systems. The hydration-related behavior of cement pastes containing 0%, 5%, 10%, and 20% PBWS at 7, 28, and 90 days was investigated using Fourier Transform Infrared Spectroscopy (FT-IR), X-Ray Diffraction (XRD), and Thermogravimetry/Derivative Thermogravimetry (TG/DTG). The results showed that PBWS affected phase development and thermal decomposition behavior depending on replacement level and curing age. In the TG/DTG analysis, mass losses in the 30–230 °C region were generally higher in the PBWS-containing mixtures than in the reference paste, particularly at 28 and 90 days, suggesting differences in dehydration-related phase development. FT-IR and XRD results further showed that PBWS modified the evolution of hydration-related phases in the blended systems. From an environmental perspective, increasing PBWS replacement reduced the calculated energy intensity, CO2 emissions, and production cost; at 20% replacement, these values decreased from 3300 to 2654 MJ/t, from 830 to 706.77 kg/t, and from 3400 to 2867.16 TL/t, respectively. Overall, the results indicate that PBWS has the potential to improve the environmental profile of cement-based production while influencing hydration-related phase evolution in blended paste systems. Full article
Show Figures

Graphical abstract

30 pages, 5259 KB  
Article
Influence of Curing Profile on Residual Stress Distribution and Fracture Toughness in Carbon-Fiber/Epoxy Composites
by Arash Ramian, Ahmad Amer and Rani Elhajjar
J. Compos. Sci. 2026, 10(4), 206; https://doi.org/10.3390/jcs10040206 - 10 Apr 2026
Viewed by 121
Abstract
This study investigates the residual stresses developed during the curing process of polymer fiber-reinforced composites and their influence on fracture behavior, particularly the initiation and propagation of interlaminar cracks. The main objective is to quantify how different curing histories, including incomplete cure, alter [...] Read more.
This study investigates the residual stresses developed during the curing process of polymer fiber-reinforced composites and their influence on fracture behavior, particularly the initiation and propagation of interlaminar cracks. The main objective is to quantify how different curing histories, including incomplete cure, alter the spatial distribution of residual stresses and, in turn, affect the mode-I fracture response of carbon-fiber/epoxy laminates. A transient thermal–structural finite element framework incorporating an autocatalytic cure kinetics model was used to simulate the curing process and predict residual stress development in a unidirectional carbon-fiber/epoxy laminate with an edge crack, considering thermal, chemical, and geometric effects. The cure model was calibrated using isothermal differential scanning calorimetry data to determine the degree of cure under different thermal conditions. The key novelty of this work is the integration of a validated cure-kinetics-based curing simulation with fracture analysis, enabling direct correlation of thermal history and degree of cure with spatially varying residual stresses at the crack front and their effect on fracture toughness. Numerical load–displacement predictions were compared with double cantilever beam experimental results and showed good agreement for the curing profiles examined. The results demonstrate that residual stresses generated by different cure cycles, including hold conditions and incomplete curing, significantly influence fracture toughness. In particular, the incomplete-cure profile produced an approximately 40% reduction in toughness compared with profiles that achieved complete cure, highlighting the importance of cure history in determining final structural performance. Full article
25 pages, 2710 KB  
Article
Effect of Temperature and Binder Composition on Rheological and Mechanical Properties of Fiber-Reinforced Cemented Tailings Backfill: Insights from THMC Multi-Field Coupling
by Yiqiang Li, Shuaigang Liu, Zizheng Zhang, Jianbiao Bai and Xupeng Sun
Buildings 2026, 16(8), 1473; https://doi.org/10.3390/buildings16081473 - 8 Apr 2026
Viewed by 175
Abstract
Fiber-reinforced cemented tailings backfill (FTB) has been widely adopted in underground mining operations as an effective solution for mitigating the brittleness of cemented tailings backfill (CTB) and ensuring compatibility with deep mining environments. Understanding the coupled effects of temperature and binder composition on [...] Read more.
Fiber-reinforced cemented tailings backfill (FTB) has been widely adopted in underground mining operations as an effective solution for mitigating the brittleness of cemented tailings backfill (CTB) and ensuring compatibility with deep mining environments. Understanding the coupled effects of temperature and binder composition on the thermal–hydro–mechanical–chemical (THMC) behavior of FTB is essential for low-carbon mix design and practical application. To address this knowledge gap, this work presents a systematic investigation into the influences of curing temperature, binder type, and cement content on the rheological properties, compressive strength, and THMC-related parameters of FTB. The results demonstrate that elevated temperatures accelerate hydration, reducing flowability while significantly enhancing strength and pore structure refinement. Conversely, low temperatures preserve flowability but impede strength development. The incorporation of slag or fly ash as partial cement substitutes reduces rheological parameters; however, fly ash substitution tends to compromise ultimate strength. Multi-field performance monitoring further reveals the underlying coupling mechanisms among temperature evolution, hydration kinetics, matric suction, and mechanical strength development. Based on these insights, a low-carbon design strategy is proposed, emphasizing dynamic optimization of cement content according to ambient temperature. These findings offer a theoretical foundation for the sustainable proportioning and performance control of mine backfill materials. Full article
Show Figures

Figure 1

15 pages, 3368 KB  
Article
Silver Conductive Adhesives with Long Pot Life and Stable Electrical–Thermal Performance
by Wilson Hou-Sheng Huang, Jyh-Ferng Yang, Yi-Cang Lai and Jem-Kun Chen
Polymers 2026, 18(8), 899; https://doi.org/10.3390/polym18080899 - 8 Apr 2026
Viewed by 275
Abstract
This study systematically investigates the formulation–property relationships of epoxy-based silver conductive adhesives by varying silver filler architecture, total filler loading, and organic carrier design. Rotational viscometry, four-point probe measurements, thermal conductivity analysis, and scanning electron microscopy (SEM) were employed to elucidate the correlations [...] Read more.
This study systematically investigates the formulation–property relationships of epoxy-based silver conductive adhesives by varying silver filler architecture, total filler loading, and organic carrier design. Rotational viscometry, four-point probe measurements, thermal conductivity analysis, and scanning electron microscopy (SEM) were employed to elucidate the correlations among rheological behavior, conductive network formation, and electrical–thermal transport properties. All formulations incorporate dicyandiamide (DICY) as a latent curing agent, in combination with a thermally activated accelerator and silane coupling agents, to stabilize filler–matrix interfaces and suppress moisture-assisted side reactions. This latent curing chemistry enables effective low temperature curing at approximately 155 °C, providing compatibility with temperature-sensitive flexible polymer substrates. After sealed storage at 25 °C and 60% relative humidity for two weeks, all formulations exhibited viscosity variations within ≤16%, demonstrating extended pot life and good storage stability under ambient conditions. Meanwhile, the normalized volume resistivity and thermal conductivity remained close to their initial values, with maximum relative deviations of approximately 12% and 7%, respectively, from the initial (Day 0) values across all formulations, indicating stable electrical and thermal transport properties during storage. Differences in conductive network formation and filler packing characteristics were reflected in the observed electrical and thermal transport behaviors. Balanced electrical–thermal performance was achieved without the need for high-temperature sintering or post-annealing, underscoring the effectiveness of the low temperature curing strategy. Overall, this work defines a practical formulation design window that simultaneously achieves low temperature curability, long pot life, stable rheology, and robust electrical–thermal performance. The results provide useful material-level guidelines for the development of epoxy-based silver conductive adhesives intended for conductive interconnects on flexible polymer substrates and related flexible electronic applications. Full article
(This article belongs to the Section Polymer Fibers)
Show Figures

Figure 1

24 pages, 11340 KB  
Article
Influence of Concrete Waste and Fly Ash Additions on the Mechanical and Antimicrobial Properties of Portland Cement Mortars
by Cosmin-Ion Anechitei, Alina-Ioana Badanoiu, Georgeta Voicu, Cornelia-Ioana Ilie and Adrian-Ionut Nicoara
Buildings 2026, 16(7), 1453; https://doi.org/10.3390/buildings16071453 - 7 Apr 2026
Viewed by 229
Abstract
Construction and demolition activities generate over one-third of all waste produced within the European Union, with the largest fraction being mineral materials, and concrete representing up to 90% of this volume. In this context, the recycling of this type of waste is an [...] Read more.
Construction and demolition activities generate over one-third of all waste produced within the European Union, with the largest fraction being mineral materials, and concrete representing up to 90% of this volume. In this context, the recycling of this type of waste is an important research topic with growing scientific and industrial relevance. While numerous studies have examined the influence of recycled concrete and other industrial waste on the technical performance of Portland cement-based composites, the antimicrobial resistance of these composites remains largely unexplored. Therefore, in this study we evaluate the effects of three different waste materials on the key properties of Portland cement mortar, as well as on its antimicrobial resistance; the investigated waste materials were fly ash (produced in thermal power plants), recycled concrete fines resulted from the mechanical processing of concrete waste generated in construction and demolition activities, as well as dried concrete slurry (a byproduct of concrete batching plants). The partial replacement of Portland cement with these concrete wastes slightly increased the mortar’s workability (up to 4.6%). However, it also led to an 11–12% reduction in compressive strength after 28 days of hardening. After 60 days of curing, the antimicrobial properties of these mortars were evaluated by assessing their effect on planktonic microbial growth and their anti-adherent capacity against the most common pathogenic strains (S. aureus, E. coli, P. aeruginosa, C. albicans, and C. parapsilosis). Antimicrobial assays were performed at two different concentrations of microbial suspensions, and the mortars exhibited significant antibiofilm properties against all strains, especially against E. coli. The study identified mortar formulations in which partial replacement of cement with construction, demolition, and industrial waste materials resulted in compressive strength and antimicrobial resistance comparable to those of conventional reference mortars. These findings highlight the potential to integrate recycled waste into Portland cement-based materials, supporting both structural integrity and microbial resistance and advancing sustainable construction practices. Full article
Show Figures

Figure 1

54 pages, 3065 KB  
Review
Low-Temperature Sintering Inks for Printed Bioelectronics: Materials, Mechanisms, and Emerging Ideas
by Abhijit Bera, Fei Liu, Matthew R. Marander, Ricardo Ortega, Ahmad Mustafa Ahmad Malkawi, Utsav Kumar Dey, Ritinder Sandhu, Tyler P. Collins and Shan Jiang
Biosensors 2026, 16(4), 206; https://doi.org/10.3390/bios16040206 - 3 Apr 2026
Viewed by 520
Abstract
Printed electronics have emerged as a versatile manufacturing platform for next-generation biosensors, enabling on-demand and low-cost fabrication of functional devices on flexible, stretchable, and unconventional substrates. One major challenge in this field lies in the sintering of printed features, as conventional high-temperature processing [...] Read more.
Printed electronics have emerged as a versatile manufacturing platform for next-generation biosensors, enabling on-demand and low-cost fabrication of functional devices on flexible, stretchable, and unconventional substrates. One major challenge in this field lies in the sintering of printed features, as conventional high-temperature processing is incompatible with polymeric substrates and thermally sensitive biological components. Low-temperature sintering inks, typically processed below 200 °C or even at room temperature, have become a critical enabling technology for bio-integrated electronics. This review provides an overview of the current state-of-the-art and key challenges associated with low-temperature sintering inks for printed bioelectronics. We discuss inks based on metal nanoparticles, metal–organic decomposition precursors, metal oxides, chalcogenides, and hybrid material systems. The emphasis is on how ink chemistry, ligand selection, and precursor structure govern rheology, stability, and sintering behavior. In addition, key low-temperature sintering and curing strategies, including thermal, photonic, laser, plasma, microwave, and chemical sintering, are compared in terms of energy delivery, densification mechanisms, and substrate compatibility. Finally, we outline emerging directions towards low temperature and room-temperature sintering inks, and sustainable biobased ink formulations, and discuss their applications for wearable, implantable, and soft biosensing platforms. Full article
Show Figures

Figure 1

12 pages, 3127 KB  
Article
Stabilizing the Sealing Performance of EPDM by the Incorporation of a ZIF-8 Network
by Jiahui Chen, Qian Peng, Huadong Liu, Xingtao Xiao, Xiaotao Fu, Hanlin Wen, Zhicheng Huang, Fangqiang Wang and Xiaoliang Zeng
Polymers 2026, 18(7), 874; https://doi.org/10.3390/polym18070874 - 2 Apr 2026
Viewed by 321
Abstract
Ethylene–propylene–diene monomer rubber (EPDM) is commonly used as a gas-tight sealing material in electrical equipment. Factors such as media exposure, thermal oxidative stress, and abrasion frequently cause deterioration of EPDM’s mechanical properties, significantly compromising the reliability of electrical equipment. Traditional activator ZnO provides [...] Read more.
Ethylene–propylene–diene monomer rubber (EPDM) is commonly used as a gas-tight sealing material in electrical equipment. Factors such as media exposure, thermal oxidative stress, and abrasion frequently cause deterioration of EPDM’s mechanical properties, significantly compromising the reliability of electrical equipment. Traditional activator ZnO provides limited enhancement to the properties of EPDM. The reaction between Zn2+ on the surface of zinc oxide interacts with the accelerator during curing of rubber, forming zinc chelates, which interact with sulfur to form zinc polysulfide complexes. But the release of zinc complexes has adverse effects on humans and ecosystems. To reduce ZnO usage and further improve the performance of EPDM in terms of mechanical properties and aging resistance, zeolitic imidazolate framework-8 (ZIF-8) is developed as a multifunctional additive in this work. Mechanical testing demonstrates that the incorporation of ZIF-8 enhances the mechanical performance and resistance to thermal oxidative aging of EPDM. Crosslink density testing, FTIR, and XPS show that ZIF-8 promotes the crosslinking reaction during rubber curing, resulting in improved mechanical performance for EPDM. Analysis of crosslinking density testing and SEM images shows that EPDM-ZIF-8 composite exhibits a slower increase in crosslinking density during thermal oxidative aging. TGA results indicate that ZIF-8 enhances the thermal stability of EPDM, which leads to improved aging resistance properties. This study provides new insights for the design and development of rubber composite materials, offering a reliable solution to the challenge of seal failure in electrical equipment. Full article
Show Figures

Figure 1

19 pages, 5573 KB  
Article
DOPO-Triazole Synergistic Epoxy Monomer: A Strategy to Overcome the Flame-Retardancy/Toughness Trade-Off
by Zankun Gong, Xiao He, Shuyue Gong, Haitao Lin and Yucai Lin
Coatings 2026, 16(4), 421; https://doi.org/10.3390/coatings16040421 - 1 Apr 2026
Viewed by 392
Abstract
Epoxy resins (EP) are widely used in aerospace, electronics, and coatings due to their excellent mechanical and thermal properties. However, their inherent flammability and brittleness limit high-end applications. In this work, a novel reactive flame retardant epoxy monomer (EP-DVGA) containing DOPO and triazole [...] Read more.
Epoxy resins (EP) are widely used in aerospace, electronics, and coatings due to their excellent mechanical and thermal properties. However, their inherent flammability and brittleness limit high-end applications. In this work, a novel reactive flame retardant epoxy monomer (EP-DVGA) containing DOPO and triazole units was designed and synthesized via a molecular engineering strategy. The chemical structure was confirmed by FTIR and NMR. A series of modified epoxy thermosets were prepared by co-curing EP-DVGA with bisphenol A epoxy resin (E51) using DDM as curing agent. The results showed that EP-DVGA significantly enhanced flame retardancy: At 16.31 wt% loading, the limiting oxygen index increased from 25.9% to 34.3% with UL-94 V-0 rating, and cone calorimetry revealed 73.2% and 69.2% reductions in peak heat release rate and total heat release, respectively. Mechanistic studies demonstrated a dual flame retardant effect involving phosphorus radical quenching in the gas phase and formation of a dense graphitized char layer in the condensed phase. Remarkably, EP-DVGA also improved mechanical properties—impact strength increased by 47% and tensile strength by 33.1% at optimal loadings—attributed to energy dissipation through reversible hydrogen bonding and π–π interactions. This molecular design successfully overcomes the traditional trade-off between flame retardancy and mechanical performance, offering a promising strategy for developing high-performance intrinsically flame retardant epoxy materials. Full article
(This article belongs to the Special Issue Innovative Flame-Retardant Coatings for High-Performance Materials)
Show Figures

Figure 1

18 pages, 3159 KB  
Article
Optimization of Processing Parameters and Application Performance Evaluation of a High Thermal Conductivity, Low Thermal Resistance Gel
by Yuwen Xu, Danni Hong, Liangjun Liu, Wenfei Wang, Minghua Jiang, Haibing Yang, Tingxin Chen and Kun Jia
Gels 2026, 12(4), 293; https://doi.org/10.3390/gels12040293 - 31 Mar 2026
Viewed by 260
Abstract
Thermal interface materials (TIMs) are essential for addressing heat dissipation challenges in high-performance electronic devices. Among various TIMs, thermal conductive gels exhibit significant potential in high heat flux applications due to their excellent flexibility and superior gap-filling capability. Current research primarily concentrates on [...] Read more.
Thermal interface materials (TIMs) are essential for addressing heat dissipation challenges in high-performance electronic devices. Among various TIMs, thermal conductive gels exhibit significant potential in high heat flux applications due to their excellent flexibility and superior gap-filling capability. Current research primarily concentrates on the fabrication and performance characterization of novel thermal conductive gels, while comparatively little attention has been devoted to the optimization of processing parameters. Furthermore, existing characterization methods often fail to accurately replicate real-world operating conditions, resulting in discrepancies between laboratory measurements and actual performance. An orthogonal experimental design was adopted to systematically elucidate the influence of filler ratio, wetting time, and silicone oil viscosity on the bonding strength of thermal conductive gels. The filler ratio exerts the most significant influence, followed by silicone oil viscosity and wetting time. Subsequently, the thermal conductivity and thermal resistance of both commercial thermal conductive gels and the as-prepared gels were characterized using the steady-state heat flow method and the double-interface method, respectively. Under the optimized preparation conditions (filler ratio of 88%, silicone oil viscosity of 600 cP, and wetting time of 14 h), the self-developed thermal conductive gel exhibits a thermal conductivity of 3.75 W·m−1·K−1 and a bonding strength of 0.248 MPa, outperforming commercial counterparts and demonstrating promising application potential. It was further concluded, through comparisons of curing rheology and long-term reliability evolution with commercial counterparts, that the self-developed thermal conductive gel possesses enhanced stability and reliability. This study provides a practical reference for the development and engineering application of high thermal conductivity, low thermal resistance gels. Full article
(This article belongs to the Special Issue Advanced Functional Gels: Design, Properties, and Applications)
Show Figures

Figure 1

28 pages, 11451 KB  
Article
UV-Induced Self-Renewing Wear-Resistant Flexible Polymer from a Polyurethane/Thiol–Ene Hybrid System
by Wenhao Wang, Yanhui Niu, Jiuguang Geng, Yu Zeng, Peng Yang, Zewen He, Xu Li and Bin Luan
Materials 2026, 19(7), 1366; https://doi.org/10.3390/ma19071366 - 30 Mar 2026
Viewed by 348
Abstract
Developing materials that simultaneously exhibit bulk elasticity and a durable, self-renewing surface is a persistent challenge, as traditional fillers often impair flexibility and sacrificial coatings fail under repeated strain. This paper presents an innovative thiol–ene/polyurethane hybrid system, fabricated via a sequential thermal–UV curing [...] Read more.
Developing materials that simultaneously exhibit bulk elasticity and a durable, self-renewing surface is a persistent challenge, as traditional fillers often impair flexibility and sacrificial coatings fail under repeated strain. This paper presents an innovative thiol–ene/polyurethane hybrid system, fabricated via a sequential thermal–UV curing process, which decouples the properties of the highly elastic bulk from those of the robust surface layer. The resulting bulk elastomer achieves an outstanding combination of high strength (20.9 MPa) and exceptional extensibility (990% elongation at break). Crucially, the UV-crosslinked surface forms a dense, abrasion-resistant shield that reduces friction-induced mass loss by 81% compared to the bulk material. This surface layer also exhibits a unique self-renewing capability, effectively restoring its protective function over at least three abrasion cycles and reducing mass loss by 57% after the first recovery cycle relative to an unprotected control. Dynamic mechanical analysis validates the distinct dual-network structure, evidenced by two well-separated glass transition temperatures, which underpin the material’s pronounced shape memory effect. This work provides a design paradigm for creating flexible and durable polymer systems with independently tailored bulk and surface properties, offering significant potential for applications in artificial skin and demanding flexible components. Full article
(This article belongs to the Section Polymeric Materials)
Show Figures

Figure 1

18 pages, 5454 KB  
Article
Tuning the Elastic Properties of Polymer Networks Based on a Selected Biphenyl Epoxy Precursor by Altering the Hardener—Thermal and Dielectric Approach
by Magdalena Włodarska, Lidia Okrasa and Beata Mossety-Leszczak
Materials 2026, 19(7), 1358; https://doi.org/10.3390/ma19071358 - 29 Mar 2026
Viewed by 377
Abstract
Epoxy materials are an important class of thermosets whose properties strongly depend on the used formula, the curing parameters, and many available hardeners. Achieving desired properties such as enhanced thermal stability, extended lifetime, or self-regeneration requires selecting suitable precursors and carefully tuning curing [...] Read more.
Epoxy materials are an important class of thermosets whose properties strongly depend on the used formula, the curing parameters, and many available hardeners. Achieving desired properties such as enhanced thermal stability, extended lifetime, or self-regeneration requires selecting suitable precursors and carefully tuning curing conditions. In this work, a selected biphenyl epoxy precursor was used as a model compound to assess whether using different hardeners could be an effective factor in tailoring the elasticity of cured epoxy networks. We employed two chemically distinct hardeners—4,4′ diaminodiphenylmethane (DDM) and suberic acid—to generate materials with markedly different final properties. For instance, the glass transition temperature Tg varied within a range of over 35 °C. Two complementary experimental techniques were used in this paper to establish the optimal curing parameters: differential scanning calorimetry (DSC) and broadband dielectric spectroscopy (BDS). Both techniques supported tracking of changes in the mixture while curing and enabled determination of Tg in the obtained products. Dielectric relaxation spectroscopy revealed various molecular motions (α, β, and γ-processes) occurring in different phases, especially in glass-forming solids. BDS is therefore a good tool for testing new organic materials. The analytic route used in this work, based on a combination of calorimetric and electrical approaches, enables precise adjustment of the curing parameters to a specific hardener and helps verify the effects of using different hardeners on the elastic properties of the product. This allows the creation and modification of epoxy matrices towards modern materials, such as composites with self-healing properties or enhanced thermal stability. Full article
(This article belongs to the Section Advanced Composites)
Show Figures

Figure 1

16 pages, 1392 KB  
Article
The Effect of PDMS Incorporation on the Physicochemical Properties of Acrylate-Based Resins for SLA-Based 3D Printing
by Yura Choi, Jayoung Hyeon, Jinyoung Kim, Eunsu Park and Namchul Cho
Polymers 2026, 18(7), 827; https://doi.org/10.3390/polym18070827 - 28 Mar 2026
Viewed by 374
Abstract
A photo-curable silicone-modified resin system based on polydimethylsiloxane (PDMS) was developed and systematically evaluated for stereolithography (SLA)-based 3D printing applications. The resin formulation consisted of bisphenol A ethoxylate dimethacrylate (Bis-EMA) and trimethylolpropane triacrylate (TMPTMA) as reactive monomers, with methacrylate-terminated PDMS (PDMS-MMA) incorporated at [...] Read more.
A photo-curable silicone-modified resin system based on polydimethylsiloxane (PDMS) was developed and systematically evaluated for stereolithography (SLA)-based 3D printing applications. The resin formulation consisted of bisphenol A ethoxylate dimethacrylate (Bis-EMA) and trimethylolpropane triacrylate (TMPTMA) as reactive monomers, with methacrylate-terminated PDMS (PDMS-MMA) incorporated at concentrations ranging from 0 to 15 wt%. The influence of PDMS-MMA content on key physicochemical properties relevant to SLA processing, including viscosity, mechanical performance, thermal stability, optical transmittance, and curing shrinkage, was systematically investigated. Moderate incorporation of PDMS-MMA improved the mechanical flexibility of the resin, with the tensile strength reaching a maximum value of 5.95 MPa at 5 wt% PDMS-MMA. However, further increases in PDMS-MMA content resulted in a gradual decrease in tensile strength and optical transmittance, indicating the importance of optimizing the formulation composition. Thermogravimetric analysis (TGA) indicated improved thermal stability with increasing PDMS-MMA content, while curing shrinkage decreased progressively as the PDMS fraction increased. Structural printing tests confirmed that the developed resin system exhibited stable layer adhesion and shape fidelity during SLA fabrication, enabling the successful printing of complex three-dimensional structures. These results demonstrate that PDMS-modified acrylate resins provide a promising strategy for balancing mechanical flexibility, dimensional stability, and printability in SLA-based additive manufacturing. Full article
Show Figures

Figure 1

2137 KB  
Proceeding Paper
Utilization of Brick and Ceramic Tile Waste in Geopolymers: A Preliminary Study of Physical and Mechanical Properties
by Jhojamn Franklin Arroyo Guzmán, Victor Hugo Miranda Challapa, Camila Andrea Ramos Lima, Americo Dustin Montaño Gonzales and Joaquin Humberto Aquino Rocha
Mater. Proc. 2025, 26(1), 19; https://doi.org/10.3390/materproc2025026019 - 27 Mar 2026
Abstract
This study investigates the feasibility of using brick and ceramic tile waste as aluminosilicate precursors for geopolymer synthesis by analyzing the influence of NaOH concentrations, the Na2SiO3/NaOH ratio, and curing methods on the physical and mechanical properties of the [...] Read more.
This study investigates the feasibility of using brick and ceramic tile waste as aluminosilicate precursors for geopolymer synthesis by analyzing the influence of NaOH concentrations, the Na2SiO3/NaOH ratio, and curing methods on the physical and mechanical properties of the resulting matrices. Geopolymer pastes were prepared using NaOH concentrations ranging from 5 to 12 mol/L and Na2SiO3/NaOH ratios of 2:1 and 2.5:1. Compressive strength, water absorption, density, and void ratio were evaluated. The results indicate that a combined curing method, consisting of initial curing under dry ambient conditions followed by thermal curing at 60 °C, significantly improved the development of mechanical strength. The brick-based geopolymers reached maximum compressive strengths exceeding 55 MPa at intermediate NaOH concentrations, whereas ceramic tile-based geopolymers required higher alkalinity levels and increased soluble silica content. Overall, the findings confirm that an appropriate combination of precursor type, alkaline activator dosage, and curing conditions enables the formation of geopolymers with denser matrices and enhanced mechanical and physical properties, thereby supporting their potential as a sustainable alternative for the construction industry. Full article
(This article belongs to the Proceedings of The 4th International Online Conference on Materials)
Show Figures

Figure 1

Back to TopTop