A Numerical Study of Vapor–Liquid Equilibrium in Binary Refrigerant Mixtures Based on 2,3,3,3-Tetrafluoroprop-1-ene
Abstract
:1. Introduction
2. Thermodynamic Framework
3. Calculated Results and Discussion
3.1. Pure Component
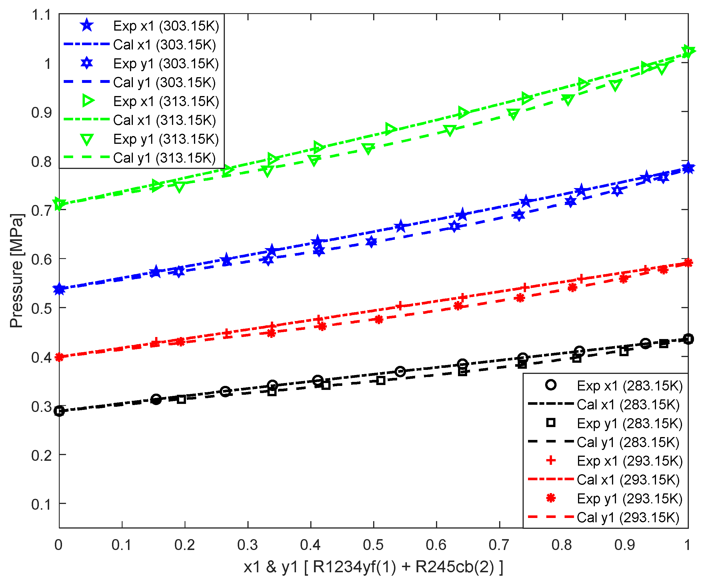
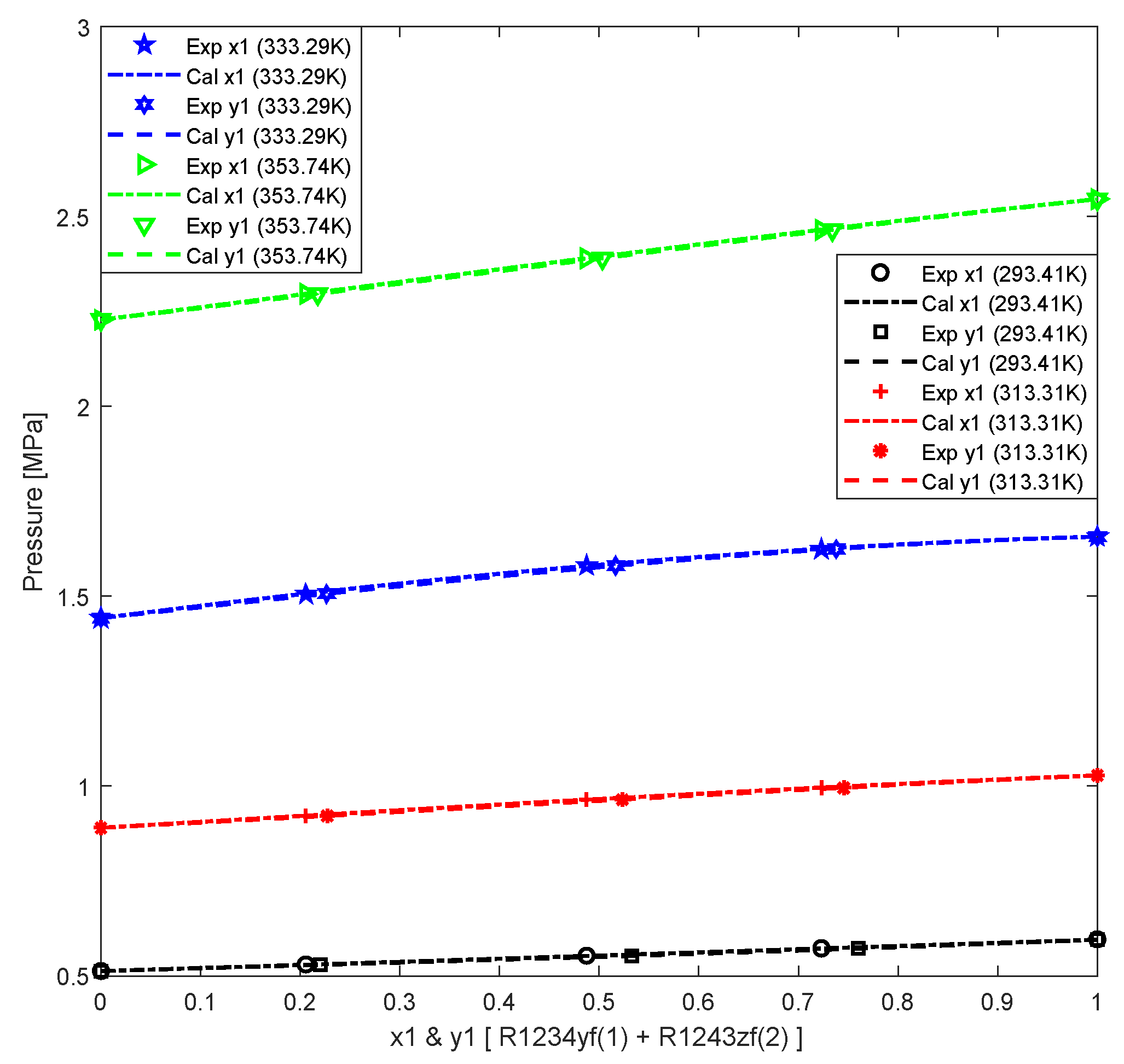
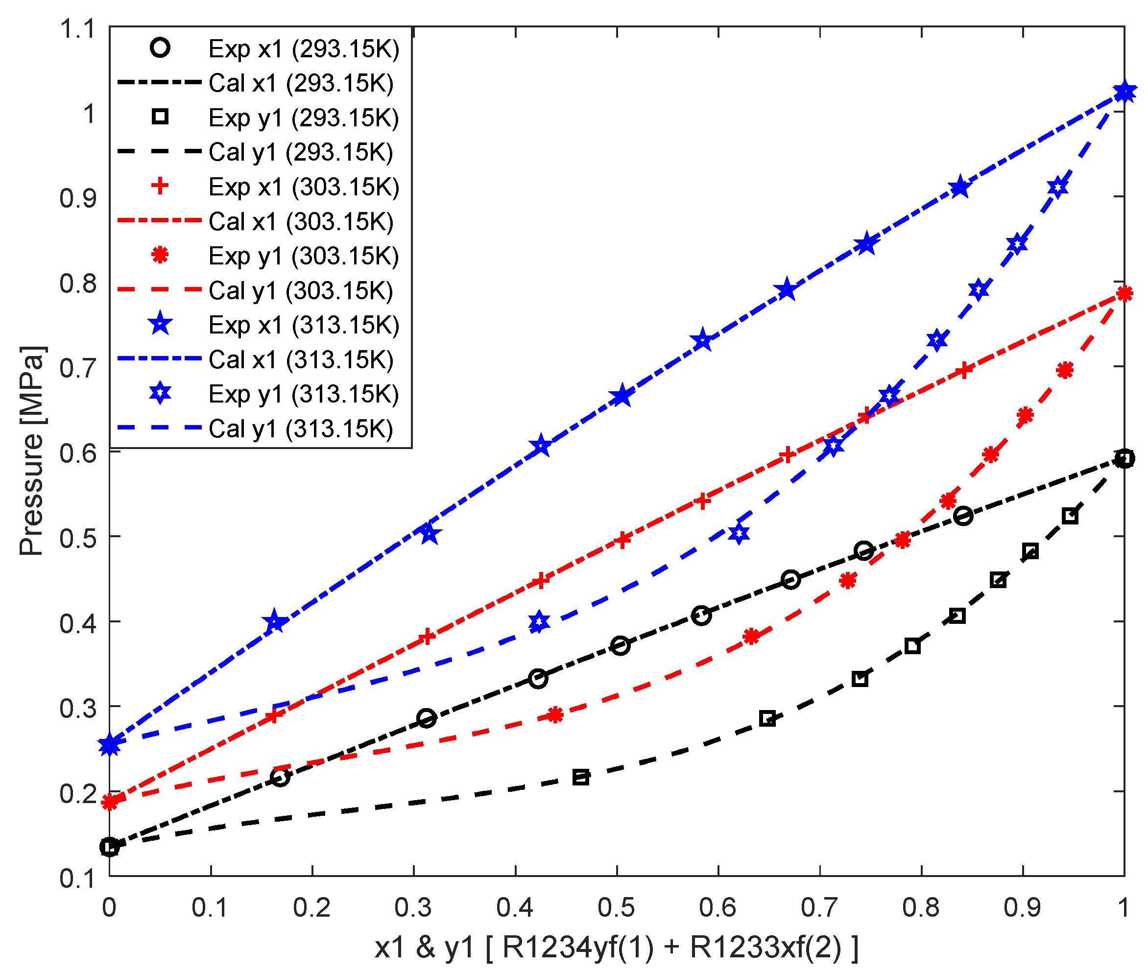
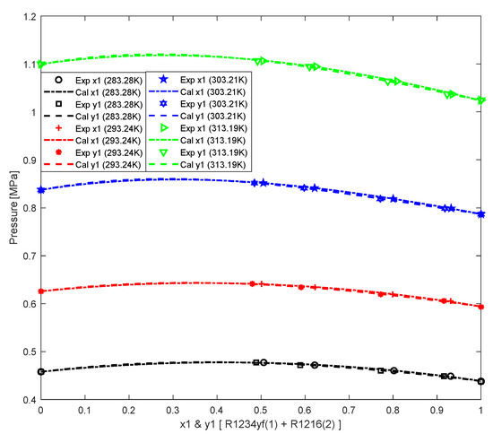
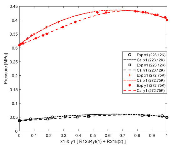
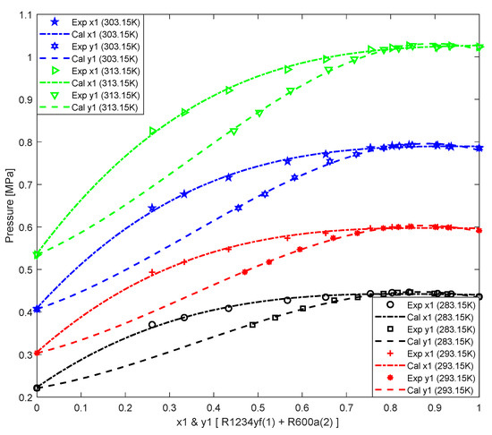
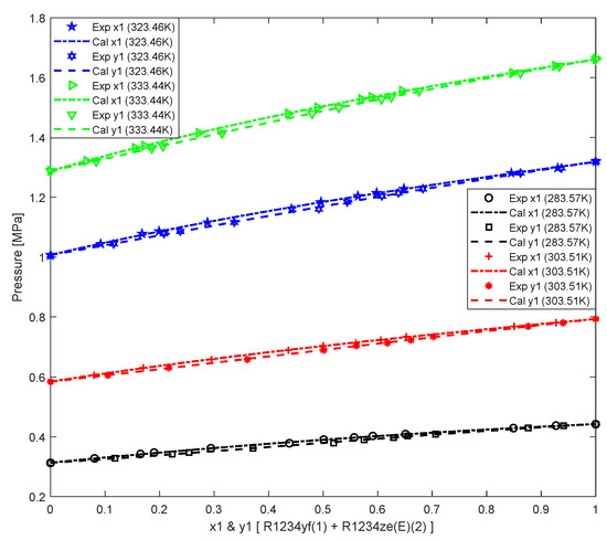
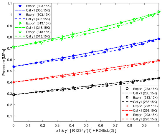
3.2. Binary Refrigerant Mixtures










4. Conclusions
Author Contributions
Funding
Institutional Review Board Statement
Informed Consent Statement
Data Availability Statement
Conflicts of Interest
Abbreviations
| List of Abbreviations | |
| HC | hydrocarbon |
| HFC | hydrofluorocarbon |
| HFO | hydrofluoroolefin |
| HCFO | hydrochlorofluoroolefin |
| PFC | perfluorocarbon |
| PFO | perfluoroolefin |
| R600 | n-Butane |
| R600a | iso-butane |
| R245cb | 1,1,1,2,2-pentafluoropropane |
| R1123 | Trifluoroethene |
| R1234ze(E) | trans-1,3,3,3-tetrafluoropropene |
| R1243zf | 3,3,3- Trifluoropropene |
| R1234yf | 2,3,3,3-tetrafluoroprop-1-ene |
| R1233zd(E) | trans-1-chloro-3,3,3-trifluoropropene |
| R1233xf | 2-chloro-3,3,3-trifluoropropene |
| R218 | Octafluoropropane |
| R1216 | 1,1,2,3,3,3-hexafluoro-1-propene |
| GWP | Global Warming Potential |
| ODP | Ozone Depletion Potential |
| VLE | Vapor–Liquid Equilibrium |
| EoS | Equation of State |
| PR | Peng–Robinson |
| SAFT | Statistical Associating Fluid Theory |
| SRK | Soave–Redlich–Kwong |
| CPA | Cubic-Plus-Association |
| ARD | Average Relative Deviations |
| List of Symbols | |
| Mole fraction of component i in liquid phase | |
| Mole fraction of component i in vapor phase | |
| Mole fraction of component i | |
| total number of moles | |
| R | universal gas constant |
| molar volume | |
| Soave–Redlich–Kwong temperature-dependent energy parameter | |
| CPA co-volume | |
| pure component temperature dependence parameter | |
| binary interaction parameter | |
| the number of data points | |
| pressure | |
| critical pressure | |
| saturated pressure | |
| temperature | |
| critical temperature | |
| reduced temperature | |
| saturated temperature | |
| density | |
| range of temperature | |
| range of pressure | |
| acentric factor | |
| residual Helmholtz energy contribution for the cubic Soave–Redlich–Kwong EoS | |
| residual Helmholtz energy contribution for association | |
| association volume between site A on molecule i and site B on molecule j | |
| association strength (equilibrium constant) betweensite A on molecule i and site B on molecule j | |
| association energy between site A on molecule i and site B on molecule j | |
| radial distribution | |
| packing fraction | |
| Boltzmann constant | |
References
- Mota-Babiloni, A.; Navarro-Esbrí, J.; Barragán, Á.; Molés, F.; Peris, B. Drop-in energy performance evaluation of R1234yf and R1234ze(E) in a vapor compression system as R134a replacements. Appl. Therm. Eng. 2014, 71, 259–265. [Google Scholar] [CrossRef]
- Schilling, J.; Eichler, K.; Pischinger, S.; Bardow, A. Integrated design of ORC process and working fluid for transient waste-heat recovery from heavy-duty vehicles. Comput. Aided Chem. Eng. 2018, 44, 2443–2448. [Google Scholar]
- Gautam, K.R.; Andresen, G.B.; Victoria, M. Review and techno-economic analysis of emerging thermo-mechanical energy storage technologies. Energies 2022, 15, 6328. [Google Scholar] [CrossRef]
- Li, F.; Huang, X.; Li, Y.; Lu, L.; Meng, X.; Yang, X.; Sundén, B. Application and analysis of flip mechanism in the melting process of a triplex-tube latent heat energy storage unit. Energy Rep. 2023, 9, 3989–4004. [Google Scholar] [CrossRef]
- Zhang, G.; Xiao, H.; Zhang, P.; Wang, B.; Li, X.; Shi, W.; Cao, Y. Review on recent developments of variable refrigerant flow systems since 2015. Energy Build. 2019, 198, 444–466. [Google Scholar] [CrossRef]
- Mohanraj, M.; Abraham, J.A.P. Environment friendly refrigerant options for automobile air conditioners: A review. J. Therm. Anal. Calorim. 2020, 147, 47–72. [Google Scholar] [CrossRef]
- Calm, J.M. The next generation of refrigerants–Historical review, considerations, and outlook. Int. J. Refrig. 2008, 31, 1123–1133. [Google Scholar] [CrossRef]
- Shah, S.S.; Shaikh, M.N.; Khan, M.Y.; Alfasane, M.A.; Rahman, M.M.; Aziz, M.A. Present status and future prospects of jute in nanotechnology: A review. Chem. Rec. 2021, 21, 1631–1665. [Google Scholar] [CrossRef]
- Tanaka, K.; Higashi, Y. Thermodynamic properties of HFO-1234yf (2,3,3,3-tetrafluoropropene). Int. J. Refrig. 2010, 33, 474–479. [Google Scholar] [CrossRef]
- Li, Y.; Yang, J.; Wu, X.; Liu, Y.; Zhuang, Y.; Zhou, P.; Han, X.; Chen, G. Leakage, diffusion and distribution characteristics of refrigerant in a limited space: A comprehensive review. Therm. Sci. Eng. Prog. 2023, 40, 101731. [Google Scholar] [CrossRef]
- Valtz, A.; El Abbadi, J.; Coquelet, C.; Houriez, C. Experimental measurements and modelling of vapour-liquid equilibrium of 2,3,3,3-tetrafluoropropene (R1234yf)+1,1,1,2,2-pentafluoropropane (R245cb) system. Int. J. Refrig. 2019, 107, 315–325. [Google Scholar] [CrossRef]
- Ye, G.; Fang, Y.; Guo, Z.; Ni, H.; Zhuang, Y.; Han, X.; Chen, G. Experimental Investigation of Vapor–Liquid Equilibrium for 2,3,3,3-Tetrafluoropropene (HFO-1234yf) + trans-1,3,3,3-Tetrafluoropropene (HFO-1234ze(E)) at Temperatures from 284 to 334 K. J. Chem. Eng. Data 2021, 66, 1741–1753. [Google Scholar] [CrossRef]
- Zhong, Q.; Dong, X.; Zhang, H.; Li, H.; Gong, M.; Shen, J.; Wu, J. Experimental study on the gaseous pρTx properties for (HFO1234yf+HC290). J. Chem. Thermodyn. 2017, 107, 126–132. [Google Scholar] [CrossRef]
- Yao, X.; Ding, L.; Dong, X.; Zhao, Y.; Wang, X.; Shen, J.; Gong, M. Experimental measurement of vapor-liquid equilibrium for 3,3,3-trifluoropropene (R1243zf) + 1,1,1,2-tetrafluoroethane (R134a) at temperatures from 243.150 to 293.150 K. Int. J. Refrig. 2020, 120, 97–103. [Google Scholar] [CrossRef]
- Higashi, Y.; Akasaka, R. Measurements of thermodynamic properties for R1123 and R1123+R32 mixture. In Proceedings of the International Refrigeration and Air Conditioning Conference, West Lafayette, IN, USA, 11–14 July 2016; p. 1688. [Google Scholar]
- Miyamoto, H.; Nishida, M.; Saito, T. Measurement of the vapour–liquid equilibrium properties of binary mixtures of the low-GWP refrigerants R1123 and R1234yf. J. Chem. Thermodyn. 2021, 158, 106456. [Google Scholar] [CrossRef]
- Hu, P.; Chen, L.; Chen, Z. Vapor–liquid equilibria for binary system of 2,3,3,3-tetrafluoroprop-1-ene (HFO-1234yf) + isobutane (HC-600a). Fluid Phase Equilib. 2014, 365, 1–4. [Google Scholar] [CrossRef]
- Hu, X.; Yang, T.; Meng, X.; Bi, S.; Wu, J. Vapor liquid equilibrium measurements for difluoromethane (R32)+2,3,3,3-tetrafluoroprop-1-ene (R1234yf) and fluoroethane (R161)+2,3,3,3-tetrafluoroprop-1-ene (R1234yf). Fluid Phase Equilib. 2017, 438, 10–17. [Google Scholar] [CrossRef]
- Yang, Z.; Valtz, A.; Coquelet, C.; Wu, J.; Lu, J. Critical properties and vapor-liquid equilibrium of two near-azeotropic mixtures containing HFOs. Int. J. Refrig. 2022, 138, 133–147. [Google Scholar] [CrossRef]
- Peng, S.; Wang, E.; Yang, Z.; Duan, Y. Vapor-liquid equilibrium measurements for the binary mixtures of 1, 1-difluoroethane (R152a) with trans-1,3,3,3-tetrafluoropropene (R1234ze(E)) and 3,3,3-trifluoropropene (R1243zf). Fluid Phase Equilib. 2022, 558, 113470. [Google Scholar] [CrossRef]
- Llovell Ferret, F.L.; Albà, C.G.; Vega, L.F. A consistent thermodynamic molecular model of n-hydrofluoroolefins and blends for refrigeration applications. Int. J. Refrig. 2020, 113, 145–155. [Google Scholar]
- Chen, L.; Hu, P.; Zhu, W.; Jia, L.; Chen, Z. Vapor–liquid equilibria of fluoroethane (HFC-161)+2,3,3,3-tetrafluoroprop-1-ene (HFO-1234yf). Fluid Phase Equilib. 2015, 392, 19–23. [Google Scholar] [CrossRef]
- Li, X.; Pang, Q.; Liu, J.; Ning, Q.; He, G. Phase equilibrium for the binary mixture of 1,1,2,3,3,3-hexafluoro-1-propene (R1216)+propane (R290) at temperatures from 283.15 to 313.15 K. J. Chem. Thermodyn. 2022, 167, 106717. [Google Scholar] [CrossRef]
- Matsuda, H.; Suga, T.; Tsuji, T.; Tochigi, K.; Kurihara, K.; Nelson, A.K.; McCabe, C. Vapor-liquid equilibria for binary systems carbon dioxide + 1,1,1,2,3,3-hexafluoro-3-(2,2,2-trifluoroethoxy) propane or 1-ethoxy-1,1,2,2,3,3,4,4,4-nonafluorobutane at 303.15–323.15 K. Fluid Phase Equilib. 2020, 524, 112814. [Google Scholar] [CrossRef]
- Paricaud, P. Multipolar SAFT-VR Mie Equation of State: Predictions of Phase Equilibria in Refrigerant Systems with No Binary Interaction Parameter. J. Phys. Chem. B 2023, 127, 3052–3070. [Google Scholar] [CrossRef]
- Tapiero, D.; Tzabar, N. Vapor-liquid equilibrium of light hydrocarbon multicomponent systems by solving the Rachford-Rice equation. Cryogenics 2023, 129, 103600. [Google Scholar] [CrossRef]
- Di Nicola, G.; Di Nicola, C.; Arteconi, A.; Stryjek, R. PVTx measurements of the carbon dioxide + 2,3,3,3-Tetrafluoroprop-1-ene binary system. J. Chem. Eng. Data 2012, 57, 450–455. [Google Scholar] [CrossRef]
- Yang, F.; Chu, Q.; Liu, Q.; Duan, Y.; Yang, Z. The cubic-plus-association equation of state for hydrofluorocarbons, hydrofluoroolefins, and their binary mixtures. Chem. Eng. Sci. 2019, 209, 115182. [Google Scholar] [CrossRef]
- Saha, S.; Rajput, L.; Joseph, S.; Mishra, M.K.; Ganguly, S.; Desiraju, G.R. IR spectroscopy as a probe for C–H⋯ X hydrogen bonded supramolecular synthons. CrystEngComm 2015, 17, 1273–1290. [Google Scholar] [CrossRef]
- Martín Pendás, A.; Blanco, M.; Francisco, E. The nature of the hydrogen bond: A synthesis from the interacting quantum atoms picture. J. Chem. Phys. 2006, 125, 184112. [Google Scholar] [CrossRef]
- Kontogeorgis, G.M.; Voutsas, E.C.; Yakoumis, I.V.; Tassios, D.P. An Equation of State for Associating Fluids. Ind. Eng. Chem. Res. 1996, 35, 4310–4318. [Google Scholar] [CrossRef]
- Kontogeorgis, G.M.; Michelsen, M.L.; Folas, G.K.; Derawi, S.; Von Solms, N.; Stenby, E.H. Ten years with the CPA (Cubic-Plus-Association) equation of state. Part 1. Pure compounds and self-associating systems. Ind. Eng. Chem. Res. 2006, 45, 4855–4868. [Google Scholar] [CrossRef]
- Tsivintzelis, I.; Kontogeorgis, G.M.; Michelsen, M.L.; Stenby, E.H. Modeling phase equilibria for acid gas mixtures using the CPA equation of state. Part II: Binary mixtures with CO2. Fluid Phase Equilib. 2011, 306, 38–56. [Google Scholar] [CrossRef]
- Kang, K.; Wang, X.; Kontogeorgis, G.M.; Liang, X. Modeling hydrofluoroolefins with the cubic plus association and Perturbed-Chain Statistical Associating Fluid Theory equations of state. Ind. Eng. Chem. Res. 2018, 57, 17289–17300. [Google Scholar] [CrossRef]
- Lemmon, E.W.; Bell, I.H.; Huber, M.; McLinden, M. NIST Standard Reference Database 23: Reference Fluid Thermodynamic and Transport Properties-REFPROP, Version 10.0; National Institute of Standards and Technology, Standard Reference Data Program: Gaithersburg, MD, USA, 2018. [Google Scholar]
- El Abbadi, J. Thermodynamic Properties of New Refrigerants. Ph.D. Thesis, Mines ParisTech, Paris, France, 2016. [Google Scholar]
- Jiang, S. Measurements of PVT and Vapor-Liquid Equilibrium Properties of Low Global-Warming-Potential Refrigerants. Doctoral Dissertation, Kyushu University, Fukuoka, Japan, 2018. [Google Scholar]
- Hulse, R.J.; Basu, R.S.; Singh, R.R.; Thomas, R.H. Physical properties of HCFO-1233zd(E). J. Chem. Eng. Data 2012, 57, 3581–3586. [Google Scholar] [CrossRef]
- Shank, R. Thermodynamic properties of 1,1,1,2,2-pentafluoropropane (refrigerant 245). J. Chem. Eng. Data 1967, 12, 474–480. [Google Scholar] [CrossRef]
- Soave, G. Equilibrium constants from a modified Redlich-Kwong equation of state. Chem. Eng. Sci. 1972, 27, 1197–1203. [Google Scholar] [CrossRef]
- Chapman, W.G.; Gubbins, K.E.; Jackson, G.; Radosz, M. SAFT: Equation-of-state solution model for associating fluids. Fluid Phase Equilib. 1989, 52, 31–38. [Google Scholar] [CrossRef]
- Wertheim, M.S. Fluids with highly directional attractive forces. I. Statistical thermodynamics. J. Stat. Phys. 1984, 35, 19–34. [Google Scholar] [CrossRef]
- Wertheim, M. Fluids with highly directional attractive forces. IV. Equilibrium polymerization. J. Stat. Phys. 1986, 42, 477–492. [Google Scholar] [CrossRef]
- Michelsen, M.L.; Hendriks, E.M. Physical properties from association models. Fluid Phase Equilib. 2001, 180, 165–174. [Google Scholar] [CrossRef]
- Huang, S.H.; Radosz, M. Equation of state for small, large, polydisperse, and associating molecules. Ind. Eng. Chem. Res. 1990, 29, 2284–2294. [Google Scholar] [CrossRef]
- Liang, X. On the efficiency of PT Flash calculations with equations of state. Comput. Aided Chem. Eng. 2018, 44, 859–864. [Google Scholar]
- Weber, L.A.; Defibaugh, D.E. Vapor Pressure of 1,1,1,2,2-Pentafluoropropane. J. Chem. Eng. Data 1996, 41, 762–764. [Google Scholar] [CrossRef]
- Defibaugh, D.R.; Moldover, M.R. Compressed and saturated liquid densities for 18 halogenated organic compounds. J. Chem. Eng. Data 1997, 42, 160–168. [Google Scholar] [CrossRef]
- Raabe, G. Molecular simulation studies in hydrofluoroolefine (HFO) working fluids and their blends. Sci. Technol. Built Environ. 2016, 22, 1077–1089. [Google Scholar] [CrossRef]
- Yin, J.; Zhou, Y.; Zhao, G.; Ma, S. Measurements of vapor pressure and gaseous pvT property for trans-1,3,3,3-tetrafluoropropene (HFO-1234ze(E)). Fluid Phase Equilib. 2018, 460, 69–74. [Google Scholar] [CrossRef]
- Higashi, Y.; Tanaka, K.; Ichikawa, T. Critical Parameters and Saturated Densities in the Critical Region for trans-1,3,3,3-Tetrafluoropropene (HFO-1234ze(E)). J. Chem. Eng. Data 2010, 55, 1594–1597. [Google Scholar] [CrossRef]
- Brown, J.S.; Di Nicola, G.; Fedele, L.; Bobbo, S.; Zilio, C. Saturated pressure measurements of 3,3,3-trifluoroprop-1-ene (R1243zf) for reduced temperatures ranging from 0.62 to 0.98. Fluid Phase Equilib. 2013, 351, 48–52. [Google Scholar] [CrossRef]
- Di Nicola, G.; Brown, J.S.; Fedele, L.; Securo, M.; Bobbo, S.; Zilio, C. Subcooled liquid density measurements and PvT measurements in the vapor phase for 3,3,3-trifluoroprop-1-ene (R1243zf). Int. J. Refrig. 2013, 36, 2209–2215. [Google Scholar] [CrossRef]
- Rykov, S.; Kudriavtseva, I.; Sverdlov, A.; Rykov, V. Calculation method of R1234yf phase equilibrium curve within temperature range from 122.6 K to 367.85 K. AIP Conf. Proc. 2020, 2285, 030070. [Google Scholar]
- Di Nicola, G.; Fedele, L.; Brown, J.S.; Bobbo, S.; Coccia, G. Saturated Pressure Measurements of trans-1-Chloro-3,3,3-trifluoroprop-1-ene (R1233zd(E)). J. Chem. Eng. Data 2017, 62, 2496–2500. [Google Scholar] [CrossRef]
- Tanaka, K. Vapor Pressure and Saturated Liquid Density of HCFO-1233zd(E) and HCFO-1233xf. Trans. Jpn. Soc. Refrig. Air Cond. Eng. 2016, 33, 105–111. [Google Scholar]
- Raabe, G. Molecular simulation studies on the vapor–liquid equilibria of the cis-and trans-HCFO-1233zd and the cis-and trans-HFO-1336mzz. J. Chem. Eng. Data 2015, 60, 2412–2419. [Google Scholar] [CrossRef]
- Zhang, W.; Yang, Z.; Lu, J.; Lu, J. Vapor pressures of 2-chloro-3,3,3-trifluoropropene (HCFO-1233xf). J. Chem. Eng. Data 2013, 58, 2307–2310. [Google Scholar] [CrossRef]
- Fang, Y.; Ye, G.; Ni, H.; Jiang, Q.; Bao, K.; Han, X.; Chen, G. Vapor–Liquid Equilibrium for the Binary Systems 1,1,2,3,3,3-Hexafluoro-1-propene (R1216)+2,3,3,3-Tetrafluoroprop-1-ene (R1234yf) and 1,1,2,3,3,3-Hexafluoro-1-propene (R1216)+trans-1,3,3,3-Tetrafluoropropene (R1234ze(E)). J. Chem. Eng. Data 2020, 65, 4215–4222. [Google Scholar] [CrossRef]
- Coquelet, C.; Ramjugernath, D.; Madani, H.; Valtz, A.; Naidoo, P.; Meniai, A.H. Experimental Measurement of Vapor Pressures and Densities of Pure Hexafluoropropylene. J. Chem. Eng. Data 2010, 55, 2093–2099. [Google Scholar] [CrossRef]
- Ahmadi, M.H.; Ahmadi, M.A.; Feidt, M. Thermodynamic analysis and evolutionary algorithm based on multi-objective optimization of performance for irreversible four-temperature-level refrigeration. Mech. Ind. 2015, 16, 207. [Google Scholar] [CrossRef]
- Yang, Z.; Kou, L.; Han, S.; Li, C.; Hao, Z.; Mao, W.; Zhang, W.; Lu, J. Vapor-liquid equilibria of 2,3,3,3-tetrafluoropropene (HFO-1234yf) + 1,1,1,2,2-pentafluoropropane (HFC-245cb) system. Fluid Phase Equilib. 2016, 427, 390–393. [Google Scholar] [CrossRef]
- Yang, Z.; Kou, L.; Lu, J.; Zhang, W.; Mao, W.; Lu, J. Isothermal vapor–liquid equilibria measurements for binary systems of 2,3,3,3-tetrafluoropropene (HFO-1234yf)+2-chloro-3,3,3-trifluoropropene (HCFO-1233xf) and 2-chloro-3,3,3-trifluoropropene (HCFO-1233xf)+2-chloro-1,1,1,2-tetrafluoropropane (HCFC-244bb). Fluid Phase Equilib. 2016, 414, 143–148. [Google Scholar] [CrossRef]
- Kochenburger, T.M.; Gomse, D.; Tratschitt, I.; Zimmermann, A.; Grohmann, S. Vapor-liquid and vapor-liquid-liquid equilibrium measurements and correlation of the binary mixtures 2,3,3,3-tetrafluoroprop-1-ene (R1234yf)+(tetrafluoromethane (R14), trifluoromethane (R23), octafluoropropane (R218), nitrogen (R728) and argon (R740)) and ethane (R170)+trifluoromethane (R23). Fluid Phase Equilib. 2017, 450, 13–23. [Google Scholar]
- Kang, K.; Gu, Y.; Wang, X. Assessment and development of the viscosity prediction capabilities of entropy scaling method coupled with a modified binary interaction parameter estimation model for refrigerant blends. J. Mol. Liq. 2022, 358, 119184. [Google Scholar] [CrossRef]
- Kryachko, E.; Scheiner, S. CH···F Hydrogen Bonds. Dimers of Fluoromethanes. J. Phys. Chem. A 2004, 108, 2527–2535. [Google Scholar] [CrossRef]





| Component | Name | CAS No. | [K] | [MPa] | ω | Classification |
|---|---|---|---|---|---|---|
| R600 | n-Butane | 106-97-8 | 425.13 | 3.796 | 0.201 | HC |
| R600a | iso-butane | 75-28-5 | 408.10 | 3.647 | 0.184 | HC |
| R245cb | 1,1,1,2,2-pentafluoropropane | 1814-88-6 | 380.38 | 3.1483 | 0.297 | HFC |
| R1123 | Trifluoroethene | 359-11-5 | 331.73 | 4.5488 | 0.243 | HFO |
| R1234ze(E) | trans-1,3,3,3-tetrafluoropropene | 29118-24-9 | 382.51 | 3.6349 | 0.313 | HFO |
| R1243zf | 3,3,3- Trifluoropropene | 677-21-4 | 376.93 | 3.5182 | 0.261 | HFO |
| R1234yf | 2,3,3,3-tetrafluoroprop-1-ene | 754-12-1 | 367.85 | 3.3822 | 0.276 | HFO |
| R1233zd(E) | trans-1-chloro-3,3,3-trifluoropropene | 102687-65-0 | 439.60 | 3.6237 | 0.303 | HCFO |
| R1233xf | 2-chloro-3,3,3-trifluoropropene | 2730-62-3 | 439.98 | 3.32201 | 0.187 | HCFO |
| R218 | Octafluoropropane | 76-19-7 | 345.02 | 2.64 | 0.317 | PFC |
| R1216 | 1,1,2,3,3,3-hexafluoro-1-propene | 116-15-4 | 358.90 | 3.1495 | 0.333 | PFO |
| Component | CPA Parameters | [%] | |||||||||
|---|---|---|---|---|---|---|---|---|---|---|---|
| b [L/mol] | [K] | [K] | Psat [MPa] | Trange [K] | ρl.sat [kg/m3] | Trange [K] | ρv.sat [kg/m3] | Trange [K] | |||
| R600 | 73.195 | 2093.451 | 0.736 | 308.133 | 141.136 | 0.75 [35] | 170.00–410.00 | 0.94 [35] | 170.00–400.00 | 3.02 [35] | 170.00–400.00 |
| R600a | 75.820 | 2006.115 | 0.705 | 307.656 | 140.055 | 0.38 [35] | 165.00–390.00 | 1.11 [35] | 165.00–390.00 | 1.79 [35] | 170.00–380.00 |
| R245cb | 79.880 | 1872.888 | 0.854 | 308.414 | 141.903 | 0.75 [47] | 248.00–326.44 | 0.42 [48] | 245.00–355.00 | 2.75 [39] | 233.15–355.37 |
| R1123 | 48.154 | 1575.907 | 0.863 | 563.331 | 110.946 | 0.68 [15,49] | 230.00–334.30 | 0.85 [15,49] | 230.00–334.30 | 2.84 [15] | 322.41–331.65 |
| R1234ze(E) + | 68.282 | 1326.183 | 1.309 | 1862.510 | 285.103 | 0.28 [50] | 310.00–380.00 | 0.91 [51] | 368.20–381.68 | 1.57 [51] | 368.79–382.51 |
| R1243zf | 68.088 | 1863.462 | 0.801 | 310.546 | 147.337 | 0.45 [52] | 233.8–372.86 | 0.33 [53] | 270.00–360.00 | - # | |
| R1234yf + | 69.537 | 1232.118 | 1.333 | 4655.390 | 154.045 | 0.08 [54] | 122.6–367.85 | 0.20 [9] | 348.05–367.85 | 1.43 [9] | 356.01–367.85 |
| R1233zd(E) | 80.172 | 2168.011 | 0.868 | 309.074 | 143.551 | 0.94 [38,55] | 234.15–375.15 | 0.42 [38,56] | 243.34–399.85 | 1.02 [57] | 273.15–383.15 |
| R1233xf | 80.744 | 2119.423 | 0.777 | 564.274 | 121.831 | 0.87 [56,58] | 263.25–400.00 | 0.97 [56] | 300.00–400.00 | - # | |
| R218 | 89.194 | 1675.120 | 0.930 | 301.795 | 124.339 | 1.00 [35] | 150.00–330.00 | 1.12 [35] | 150.00–330.00 | 2.89 [35] | 160.00–330.00 |
| R1216 | 76.028 | 1726.088 | 0.926 | 496.148 | 132.914 | 0.96 [59,60] | 253.26–358.76 | 1.33 [60] | 263.49–358.76 | 3.10 [60] | 263.41–358.16 |
| Binary Systems | kij | ARD [%] | Trange [K] | Tc (1) [K] | Tc (2) [K] | |
|---|---|---|---|---|---|---|
| x1 | y1 | |||||
| R1234yf(1) + R600(2) | 0.12007 | 0.97 | 1.14 | 283.15–323.15 [24] | 367.85 | 425.13 |
| R1234yf(1) + R600a(2) | 0.09924 | 0.72 | 1.08 | 283.15–323.15 [17] | 367.85 | 408.10 |
| R1234yf(1) + R245cb(2) | −0.00012 | 0.46 | 0.98 | 283.15–343.27 [11,62] | 367.85 | 380.38 |
| R1234yf(1) + R1123(2) | 0.00151 | 0.62 | 1.17 | 273.21–328.10 [16,37] | 367.85 | 331.73 |
| R1234yf(1) + R1234ze(E)(2) | 0.01750 | 0.85 | 0.85 | 283.57–333.44 [12] | 367.85 | 382.51 |
| R1234yf(1) + R1243zf(2) | −0.03565 | 0.98 | 1.09 | 293.41–353.58 [19] | 367.85 | 376.93 |
| R1234yf(1) + R1233zd(E)(2) | 0.02562 | 0.76 | 1.75 | 303.22–333.27 [11] | 367.85 | 439.60 |
| R1234yf(1) + R1233xf(2) | −0.00401 | 0.95 | 1.77 | 293.15–348.25 [11,63] | 367.85 | 439.98 |
| R1234yf(1) + R218(2) | 0.06703 | 0.66 | 0.93 | 223.10–272.76 [64] | 367.85 | 345.02 |
| R1234yf(1) + R1216(2) | 0.02660 | 0.73 | 1.26 | 283.28–323.16 [37] | 367.85 | 358.90 |
Disclaimer/Publisher’s Note: The statements, opinions and data contained in all publications are solely those of the individual author(s) and contributor(s) and not of MDPI and/or the editor(s). MDPI and/or the editor(s) disclaim responsibility for any injury to people or property resulting from any ideas, methods, instructions or products referred to in the content. |
© 2023 by the authors. Licensee MDPI, Basel, Switzerland. This article is an open access article distributed under the terms and conditions of the Creative Commons Attribution (CC BY) license (https://creativecommons.org/licenses/by/4.0/).
Share and Cite
Sun, L.; Liang, J.; Zhu, T. A Numerical Study of Vapor–Liquid Equilibrium in Binary Refrigerant Mixtures Based on 2,3,3,3-Tetrafluoroprop-1-ene. Sustainability 2023, 15, 14482. https://doi.org/10.3390/su151914482
Sun L, Liang J, Zhu T. A Numerical Study of Vapor–Liquid Equilibrium in Binary Refrigerant Mixtures Based on 2,3,3,3-Tetrafluoroprop-1-ene. Sustainability. 2023; 15(19):14482. https://doi.org/10.3390/su151914482
Chicago/Turabian StyleSun, Li, Jierong Liang, and Tingting Zhu. 2023. "A Numerical Study of Vapor–Liquid Equilibrium in Binary Refrigerant Mixtures Based on 2,3,3,3-Tetrafluoroprop-1-ene" Sustainability 15, no. 19: 14482. https://doi.org/10.3390/su151914482
APA StyleSun, L., Liang, J., & Zhu, T. (2023). A Numerical Study of Vapor–Liquid Equilibrium in Binary Refrigerant Mixtures Based on 2,3,3,3-Tetrafluoroprop-1-ene. Sustainability, 15(19), 14482. https://doi.org/10.3390/su151914482

