Abstract
Animal farming activities can influence soil properties that contribute to the survival of foodborne pathogens like the ubiquitous Listeria monocytogenes. However, the presence of this pathogen in farm-associated soils in Costa Rica has not been studied, which might provide new insights regarding the environmental conditions associated with the establishment of this pathogen. In this work, we correlated the presence of L. monocytogenes with the soil physicochemical properties and bacterial community structure of soils associated with livestock activities, including a dairy barn floor (DB) and a slaughterhouse holding pen (SH). A cropland (CL) was included as an example of soil not associated with animal farming practices. We characterized the presence pattern of L. monocytogenes via culture-dependent and culture-independent techniques (i.e., metabarcoding based on 16S rRNA gene sequencing) and conducted a determination of physical, elemental and chemical parameters with Fourier-transform infrared spectroscopy (FT-IR) to statistically determine the soil properties that correlate with L. monocytogenes’ presence in the soil. L. monocytogenes was isolated from DB samples and SH but not from CL. Subsequently, 16S rRNA gene-based metabarcoding showed that the presence of L. monocytogenes was positively correlated with higher bacterial diversity, while physicochemical analyses revealed that the total hydrogen and nitrogen contents of soil organic matter, pH, and electrical conductivity were the main drivers of L. monocytogenes’ presence. Moreover, a CL sample fertilized with animal-derived products showed DB-like physicochemical properties matching conditions in favor of L. monocytogenes’ presence. Hence, our work emphasizes the significance of soil as a primary source for the widespread dissemination of pathogens, particularly underscoring the necessity for improved agricultural practices to prevent cross-contamination with L. monocytogenes. Additionally, we highlight the importance of further understanding the biotic and abiotic factors in facilitating the establishment of L. monocytogenes.
1. Introduction
Listeria monocytogenes (L. monocytogenes) is a foodborne pathogenic bacterium and the etiologic agent of listeriosis. It mainly affects pregnant women, fetuses, and immunocompromised persons and can cause abortions, neonatal death, septicemia, and/or meningitis. From 1996 to 2018, 91 listeriosis outbreaks and 29 recalls were identified in 27 countries. These events were linked to a variety of different food vehicles including ready-to-eat foods, milk derivatives, and fruits [1,2]. L. monocytogenes exhibits a ubiquitous distribution, partially due to its ability to persist in saline, acidic, and thermal environments. It has been isolated from livestock, animal excreta, plants, soils, uncultivated fields, and many types of raw and minimally processed vegetables intended for human consumption [3,4,5,6,7]. It can be disseminated through diverse practices, including the animal waste recycling of composts as fertilizers in the organic production of fruits and vegetables, increasing the risk of pathogen transmission between soil, plants, and animals and/or humans [8,9].
Soils are an important reservoir for L. monocytogenes, and the survival of this pathogen in soils varies according to their physicochemical and biological properties [10]. Pioneering studies have provided evidence that the survival of L. monocytogenes in soils is strongly influenced by soil moisture and clay content [11,12,13]. Other studies have more recently focused on the effects of soil microbial communities and habitat disturbances during L. monocytogenes colonization and survival [14,15], and molecular mechanisms that allow for the adaptation of L. monocytogenes to the soil matrix have been proposed [16,17,18]. Moreover, L. monocytogenes has been reported in animal-related byproducts, which might be associated with pathogen transmission. In an extensive study undertaken on 1315 French soils, L. monocytogenes was repeatedly isolated from the soils of cattle pastures, thereby validating the association between cattle, soil, and L. monocytogenes [19].
The present work aimed to elucidate how the presence of L. monocytogenes in livestock production environments is affected by bacterial community structure and soil physicochemical properties using a dairy barn soil system as a model of highly compacted understudied soil.
2. Materials and Methods
2.1. Site Description and Soil Sampling
A total of 18 samples of soil classified as Haplic Cambisol with a predominantly sandy clay loam and sandy loam texture (Food and Agriculture Oganization of the United Nations, 2014) [20] were collected from three sites with different land uses at the Instituto Tecnológico de Costa Rica, Alajuela, Costa Rica, including 10 samples (S5, S9, S10, S11, S12, S13, S14, S15, S17, and S18) from highly compacted soil in a dairy barn without a flooring system (dairy barn, DB) (10°20′59.2″ N 84°31′20.8″ W). This site is normally used for practices that entail prolonged resident times of the animals inside the barn, such as insemination, feeding, vaccination, and milk production. For comparison, a second type of soil samples associated with animal livestock activities were obtained from soil near a slaughterhouse (SH), collected 1–2 m from the holding pen (i.e., samples S6, S7, S8, and S16 at 10°21′45.6″ N, 84°30′24.7″ W), where livestock (pigs and cattle) are kept before sacrifice. To provide a negative control, four samples were also collected from croplands of plantain, bean, and cassava crops and a fallow field (CL samples, S1, S2, S3, S4 at 10°21′49.8″ N, 84°30′27.7″ W) in the surrounding areas, in proximity to the DB and SH collection points. The sample collection points were distributed across the entire area of each location to provide representative samples for each type of land use (Figure S1). Around 2000 g of soil from each sample was collected at a depth of 15 cm, excluding the surface layer down to 15 cm. To prevent contamination, sterilized metal shovels were employed for each collection. The soil samples were then placed in sterile plastic bags and transferred to the laboratory using an airtight cooler to maintain their integrity. Upon reaching the laboratory, which took approximately 1.5 to 3 h from the time of collection, the samples were immediately processed for the detection of L. monocytogenes and total DNA extraction.
2.2. L. monocytogenes’ Detection
Soil samples were processed according to a modified BAM protocol [21,22]. Briefly, 25 g of each soil sample was inoculated into 225 mL of supplemented Listeria Enrichment Broth Base (UVM; CM0863, OXOID, Basingstoke, UK) and incubated at 30 °C for 48 to 96 h. The UVM-grown cultures (1 mL) were inoculated into 9 mL of supplemented Fraser broth (FB; CM0895, OXOID, Basingstoke, UK) and incubated at 37 °C for 48 to 96 h. The Fraser-grown cultures were plated in duplicate on both of the following selective and differential media for L. monocytogenes: supplemented Modified Oxford Agar (MOX; Listeria Selective Agar Base Oxford formulation, CM0856, OXOID, Basingstoke, UK, supplemented with modified listeria selective supplement, OXFORD, SR0206, OXOID, Basingstoke, UK) and Brilliance ™ Listeria Agar (ALOA; CM1080, OXOID, Basingstoke, UK). The plates were incubated for 72 to 120 h at 37 °C and examined in a search for colonies presumptive of L. monocytogenes (in MOX, small and dark-colored colonies with a black center; in ALOA, turquoise colonies surrounded by an opaque halo). Bacterial isolates with a colony morphology characteristic of Listeria spp. in both the MOX and ALOA were subjected to Gram staining (0839, PRELAB, Tibás, Costa Rica), a catalase test using a hydrogen peroxide solution (772284-1, Baker, J.T., USA), oxidase test (MB0266B, OXOID, Basingstoke, UK), and beta-hemolysis in Columbia agar + 5% sheep blood (COS formulation, 43041, BIOMERIEUX, Lyon, France). Isolates suspected of being L. monocytogenes were subjected to a multiplex PCR procedure previously described for the identification and serotyping of L. monocytogenes [23,24].
2.3. 16S rRNA Gene Amplification and NGS Sequencing of Total Soil DNA
The total DNA of each soil sample was extracted using a DNAeasy Power Soil kit (Qiagen, Germantown, MD, USA). DNA quality was tested using a Nanodrop Lite spectrophotometer (Thermo Scientific, Waltham, MA, USA). The DNA was subjected to sequencing of the 16S rRNA genes targeting the V3–V4 region using the following universal primers: Bakt_341F: 5′-CCTACGGGNGGCWGCAG-3′; Bakt_805R: 5′-GACTACHVGGGTATCTAATCC-3′. We followed the procedure of Zhang et al. (2016) [25]. Next-generation sequencing (NGS) was performed using the MiSeq sequencing platform (Illumina, San Diego, CA, USA) and the obtained read length was 2 × 300 bp in Macrogen Corp (Seoul, South Korea). The sequencing data were deposited in the NCBI BioProject database (https://www.ncbi.nlm.nih.gov/bioproject/ (accessed on 27 July 2023)) under the Bioproject accession No. PRJNA764498.
2.4. Data Processing for Soil Metabarcoding Analysis Based on 16S rRNA Gene NGS Sequencing
The 16S rRNA gene reads were processed using the DADA2 package v1.10.1 [26]. For quality trimming, forward reads were truncated at position 280 and reverse reads at position 250. The forward and reverse reads were filtered (a maximum of 2 errors per read was tolerated), dereplicated, and denoised, and the amplicon sequence variants (ASVs) were obtained. The total raw reads and reads after processing (clean reads) are described in Supplementary Table S1. Subsequently, the ASVs were merged, and chimeric sequences were removed. Taxonomy assignment was performed with a Naïve Bayesian classifier [27] using Silva v.132 as the training set [28]. Sequence alignment was performed using the command AlignSeqs in the R package DECIPHER v.2.10.2 [29]. A phylogenetic tree was constructed with the software FastTree v.2.1 using a GTR model. Phyla with fewer than 10 reads and chloroplast, mitochondria, and eukaryote sequences were filtered. Additionally, a phylogenetic tree was constructed using the same methods for the characterization of the order Bacillales (which includes Listeria spp.) in the samples.
2.5. Soil Physicochemical Analysis
2.5.1. Physical and Elemental Soil Parameters
Air-dried soil sieved through a 2 mm mesh was used for particle analysis using a 151H hydrometer. The percentage of sand (2–0.5 mm), silt (0.5 mm–2 µm), and clay (<2 µm) particles was determined using the hydrometer method and sand sieving [30]. Soil texture was classified following the field guide to soil texture classes from the United States Department of Agriculture (USDA: https://www.nrcs.usda.gov (accessed on 27 July 2023)). Electrical conductivity (EC, mS·cm−1) and pH (in water) were measured in 5 g of sieved soil in deionized water (1:2 ratio) using a conductivity meter HI98312 (Hanna Instruments, Smithfield, RI, USA) and an Oakton pH meter [31]. Subsamples of 4–5 mg of the ground soil sample were weighed into tin foil capsules and analyzed for total C, N (gross), H, and S using the dry combustion method with a Vario MACRO cube 138 analyzer (Elementar Americas Inc., Ronkonkoma, NY, USA)
2.5.2. Soil Organic Matter Analysis via Fourier-Transform Infrared Spectroscopy (FT-IR)
FT-IR analysis was performed with a Nicolet 380 FT-IR spectrometer (Thermo Nicolet Corporation, Madison, WI, USA) for all the soil (n = 18) and mineral-enriched samples. The organic matter (OM) was removed via chemical oxidation of the soil using sodium hypochlorite (Arvi Laboratories, CLORAIN L 0530282671, Cartago, Costa Rica) to obtain the mineral-enriched background, and the spectrum was subtracted to obtain an OM-enriched signal using an adaptation of the procedure previously described by Anderson [32,33]. Briefly, 100 mg of ground soil was weighed in a microtube using a 0.01 mg analytical balance (AND GH-252, Tokyo, Japan). The sample was vortexed with 0.675 mL of NaOCl (6% w/w, pH 9.5) and incubated to allow for oxidation (15 min, 80 °C, speed 4) in an Echotherm solid-state orbital chilling/heating dry bath (Torrey Pines Scientific Inc., San Diego, CA, USA). The samples were vortexed and centrifuged (Thermo Scientific, Magafuse ST, Bremen, Germany) for 3 min, and the supernatant was discarded. This was repeated two times. The samples were washed four times with 0.675 mL of deionized H2O, centrifuged for 3 min to allow for sedimentation, air-dried, and re-ground in an agate mortar with a pestle. Subsamples (2 mg) of the soil and oxidized samples were weighed separately (0.01 mg balance), mixed with 200 mg of KBr (FT-IR grade 99%, Aldrich, Darmstadt, Germany), and then finely ground in an agate mortar. The homogenized mixture was loaded into a die (Supelco Inc., Bellefonte, PA, USA) and compressed using 8 tons of pressure under vacuum conditions to obtain a dry pellet. The pellet was immediately measured in the transmission mode with an air background, 64 scans, and a 4 cm−1 resolution. The FT-IR analyses of the mineral-enriched bulk soil and subtracted samples were analyzed with the software OMNIC version 7.3 (Thermo Scientific, Waltham, MA, USA) to perform the subtraction [34].
2.6. Statistical Analysis
To determine the structure of the soil microbial communities, taxa bar plots were constructed with the software Origin version 2023 10.0 (OriginLab Corporation, Northampton, MA, USA) using the results of the taxonomic assignment. The Shannon, Simpson, and Chao1 indices were calculated for the samples using R package phyloseq v.1.26.1 [35] for the alpha diversity metrics [36,37]. Correlations of the alpha diversity metrics and soil parameters were constructed using the software Minitab v.19.1.1 (Minitab, LLC, State College, PA, USA) and plotted with Origin software. A Canonical Correspondence Analysis (CCA) was conducted for the diversity metrics and soil physicochemical data with R package phyloseq using the ordinate script (Script: “cca_litdir = ordinate (psd5, “CCA”, formula = psd5 ~ pH + EC + CNS + H + C.N + Sand + Silt + Clay”). In this code, psd5 represents the sample data obtained from the OTU table, followed by the variables of the model formula for correlation analysis. An analysis of variance (ANOVA) of this model was performed with 999 permutations. Finally, a principal component analysis (PCA) of functional groups in the OM-enriched FT-IR spectra and loadings of the first component were obtained in the R package ChemoSpec v 5.2.12. For this analysis, the probabilistic quotient normalization method recommended by Dieterle et al. (2006) was employed [38]. The function “normSpectra” was used to normalize the frequencies, minimizing the dilution effects caused by sample preparation.
3. Results and Discussion
3.1. Isolation of Virulent Clones of L. monocytogenes Circulating in DB
A total of 18 soil samples, each 2000 g at a 15 cm depth, were collected from three sites located in the same region in Costa Rica, with different profiles of exposure to livestock production. Ten samples were from the highly compacted soil of a dairy barn floor (DB) with constant exposition to animal urine and feces. Four samples obtained near a slaughterhouse (SH) were exposed to animal urine, blood, and dung for short periods. As a negative control, four samples were collected from croplands (CL) that were not influenced by livestock and dairy practices, except for one sample (S3). This sample was fertilized with byproducts from livestock, including the usage of manure compost and irrigation with an effluent from SH sewage water.
Ten L. monocytogenes isolates were obtained from DB and SH soils (Table S2) using a modified BAM protocol [21,22]. Serotyping via multiplex-PCR revealed that they belonged to serovar 4b (three from DB and one from SH samples) and serovar 1/2b (six from DB soil). Serovars 1/2b and 4b are the main L. monocytogenes clones associated with large outbreaks and sporadic human cases [39]. These results highlight a risk of the spread of virulent clones of L. monocytogenes from DB, while no L. monocytogenes were isolated from the CL soils.
A culture-independent determination of L. monocytogenes was also performed. The total DNA of each sample was extracted, and the V3–V4 region of the 16S rRNA gene was sequenced. The taxonomic assignment of the quality-filtered reads using a Naïve Bayesian classifier with the Silva v.132 database showed an average abundance of 0.057% reads belonging to the Listeria genus in 12 out of 18 samples (Figure S2). These data confirmed the presence of Listeria spp. reads in the samples of DB (i.e., S5, S9, S11, S15) and SH (i.e., S6) that were previously positive for the culture-dependent isolation of L. monocytogenes. Conversely, reads belonging to the genus Listeria were also found in other samples with negative L. monocytogenes isolation from CL (S1–S4), SH (S7, S8 and S16) and DB (S14). This might be due to the presence of other Listeria species in these samples, different limits of detection of the techniques, and the presence of DNA from non-viable bacteria.
3.2. Bacterial Diversity in Soil Samples That Included the Genus Listeria
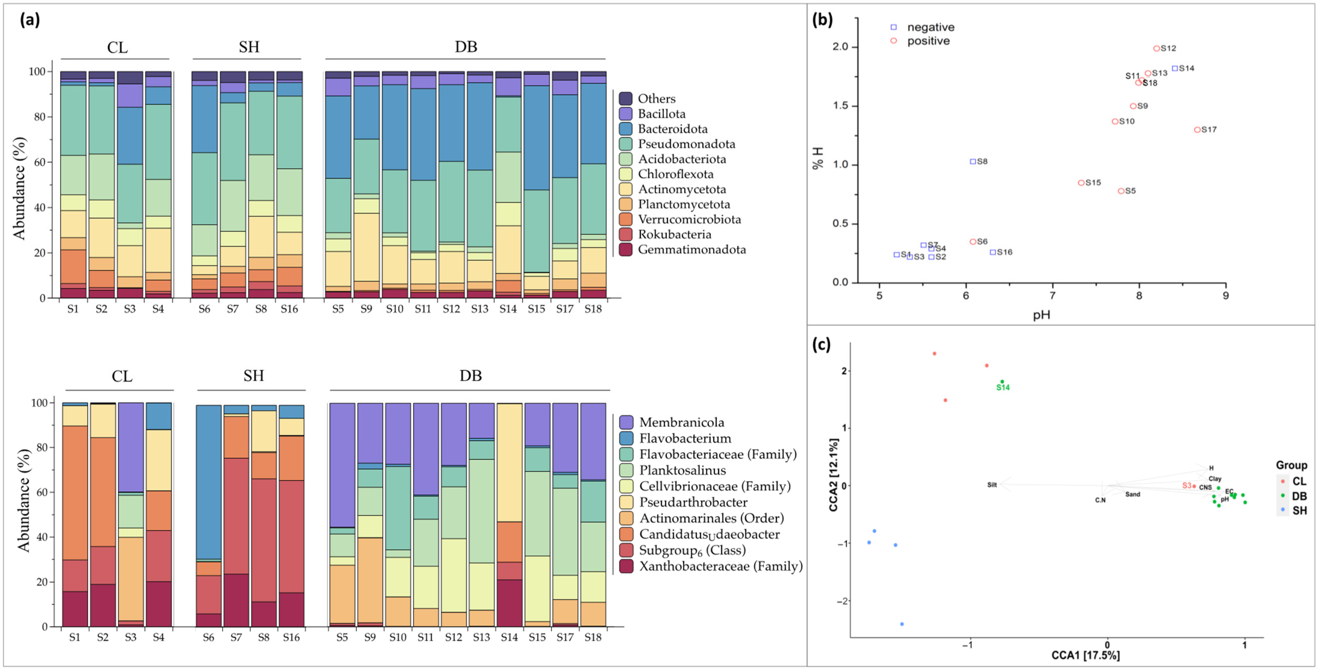
The bacterial community profiles obtained via 16S sequencing and taxonomic assignment showed that the most abundant bacterial phyla in the samples were Proteobacteria (17.99–50.54%), Bacteroidota (0.41–57.57%), Actinomycetota (2.65–35.83%), Acidobacteriota (0.18–23.32%), Chloroflexota (1.70–8.34%), Bacillota (1.11–10.31%), and Planctomycetota (1.28–10.13%) (Figure 1a), in agreement with reports from the Argentine Pampas [40] and agricultural soils in Aurora, New York [41]. On the genus level, the most abundant were Membranicola, Planktosalinus, Candidatus Udaeobacter, Flavobacterium, and Pseudarthrobacter, which varied according to the soil’s usage characteristics (Figure 1a). The genus Membranicola was found in all the sampling sites but was more abundant in the DB. This genus is associated with aquifers [42], can be a carrier of genes for antibiotic resistance (ARG) [43], and has been reported to correlate with ARG in chicken manure composting [44]. On the other hand, Flavobacteria are commensal bacteria and opportunistic pathogens commonly found in soils [45]. The secretion of protective exopolysaccharides into the environment by Flavobacterium spp. may increase the resistance of L. monocytogenes to adverse conditions [46].
Figure 1.
Physicochemical and microbial associations determined for different soil samples, including dairy barn (DB), cropland (CL), and slaughterhouse (SH) samples, with presence of L. monocytogenes. (a) Relative abundance in bacterial communities on the phylum level (on top) and genus level (on bottom) based on total of 587,901 16S rRNA gene sequences obtained using the Illumina sequencing platform with total DNA from 18 soil samples and three land use types (CL: S1–S4; DB: S5, S9–S15, S17 and S18; SH: S6–S8 and S16). (b) Scatter diagram of samples displaying the presence (red circles) or absence (blue squares) of L. monocytogenes, confirmed via isolation and molecular characterization, across different pH and hydrogen contents. (c) Canonical Correspondence Analysis (CCA) displaying sites, land uses, and the environmental factors influencing the bacterial community composition of the samples based on the metabarcoding analysis and physicochemical factors.
To further determine the influence of the overall microbial composition on L. monocytogenes’ establishment in the soils, the diversity indices were estimated and correlated to the presence/absence conditions of L. monocytogenes. The Chao1 diversity index was used to estimate richness, defined as the number of species in the community. The diversity was also measured using the Shannon and Simpson indices, which include the measurement of the abundance of each species [47]. The results of the three indices, Chao1 (ranging from 5979.21 to 8458.93), Shannon (from 7.2806 to 8.2704) and Simpson (from 0.9976 to 0.9996), indicated that, in general, the soils included in this study showed high diversity and richness (Table S2). This may be due to the association of our samples with livestock and dairy practices, as previously reported [48,49,50,51,52,53]. Particularly for DB, the richness using the Chao1 index seems to be higher in samples with the presence of L. monocytogenes (Figure 2). Other authors reported less colonization of this pathogen in soils exposed to diversity loss [10]. Our results suggest that, in this environment (DB), L. monocytogenes could be associated with richer soils. Nonetheless, a larger sample will be necessary to establish a correlation between microbial diversity and L. monocytogenes’ presence, since only one sample from DB was free of this pathogen, and there were no significant differences in diversity across the samples.
Figure 2.
Comparison of diversity indices based on the Illumina sequencing of the 16S rRNA genes of 18 soil samples classified as CL (cropland), DB (dairy barn) and SH (slaughterhouse). The red bordered dots represent the samples without the presence of L. monocytogenes. The dots without border lines represent the samples with thew positive isolation of L. monocytogenes.
3.3. Physicochemical Soil Parameters Related to L. monocytogenes’ Presence and Bacterial Community Structure
We also studied the correlation of the physicochemical parameters of the soil types with L. monocytogenes’ presence. The pH and electrical conductivity (EC) were highest in the DB, being positive for L. monocytogenes culture isolation, reaching 7.3–8.7 and 6.1–60 × 103 µS cm−1, respectively (Table S1). The DB soils contained feces and urine, being rich in nitrogen-containing compounds; urea is biologically decomposed to ammonia [54], which is the primary cause of alkalization, and urine is rich in salts that increase the electrical conductivity of DB soils. Similar trends were observed for elemental composition, where higher contents of C, N, and S were detected in the DB. In contrast, the CL, being negative for L. monocytogenes isolation, was more acidic (pH < 5.6) and exhibited the lowest electrical conductivity (<228 µS cm−1). The scatter diagram showed that the pH was above 7 and the H content was above 0.75% in most of the soil samples positive for L. monocytogenes (Figure 1b). We also found significant effects (p < 0.01) of pH and H content on bacterial richness and diversity (Table S3). The sample diversity decreased and bacterial richness increased as the pH increased. With an increased H content, the sample diversity was constant, and the bacterial richness showed a slight rise, as observed for the Chao1 index (Figure 2).
To explore whether soil organic matter quality is linked to samples positive for L. monocytogenes, we analyzed infrared light absorption in the mid-range (500–4000 cm−1) via FT-IR spectroscopy and determined the associations with the soil organic matter (SOM) functional groups [34] (Figure S3). In addition, principal component analysis was used to determine the characteristic absorption bands in the mineral-enriched spectra of all the samples. The two peaks of 1035 cm−1 and 1384 cm−1 were important in discriminating between groups of samples with and without the presence of L. monocytogenes (Figure S3a,b). Most soil samples negative for L. monocytogenes isolation were grouped according to the first component (PC1), which explained 71% of the variance. Peaks of 1035 and 1384 cm−1 can also be observed in the reference spectra as the main frequencies in the loading for the first component (Figure S3c,d). Frequencies associated with the presence of L. monocytogenes can be associated with C-N stretching. This observation is in agreement with the higher N content, exceeding 7%, in contrast to the samples lacking L. monocytogenes. This could be associated with ammonia nitrification during the decomposition of urine and manure in soils continually receiving animal waste inputs, as in the case of most of the samples included in this study.
A particle size analysis of the soils was also conducted using the hydrometer method and sand sieving [30]. The DB exhibited a sandy clay loam texture, while the SH and CL showed a sandy loam texture with a higher percentage of silt (Table S2). Previous studies showed a link between clay and cation exchange capacity and the presence of L. monocytogenes in soil [55]. Nonetheless, in our study, no significant correlation was found between L. monocytogenes’ presence and the soil texture classes.
3.4. Biophysicochemical Structure Related to the Soil Usage and Presence of L. monocytogenes
To determine the association between soil structure and the specific microbial communities’ structure, a Canonical Correspondence Analysis (CCA) was used to group the samples according to land use, physicochemical properties, and bacterial community composition. The SH samples were grouped separately from the DB and CL samples (Figure 1c). Three CL samples were grouped with S14 from the DB, and nine DB samples grouped with S3 from the CL. This grouping was not expected, since the CL and DB samples were from soils with different land uses, also showing different physicochemical parameters. However, although soil S3 from CL was not used for animal production, livestock manure was applied as a fertilizer; on the other hand, soil S14 from the DB was collected near the DB limit, where a greater number of plants colonized the soil, sharing parameters with the CL samples.
The DB samples and sample S3 from the CL shared physicochemical parameters influencing their dimensional organization in the CCA plot, including H, clay, EC, C, N, and S, pH, and sand, which showed a positive correlation; this was significant for H and pH (p > 0.001, Table S3). Therefore, the bacterial community structure in S3 (from CL) seems to be determined by the application of animal-derived fertilizer. Similarly, previous studies showed that the microbial community is significantly associated with physicochemical properties in compost, including temperature, pH, moisture content, the carbon to nitrogen C:N ratio, and other factors [56,57]. Likewise, our results suggest that applying manure to crop samples may have produced physicochemical and microbial parameters similar to those found in DB soils, which correlate with the presence of L. monocytogenes. Since this pathogen can exist in fresh vegetables, being able to inhabit their inner-space tissues [58], we highlight the importance of establishing controls for cross-contamination in crops fertilized with animal-derived products.
Furthermore, in the case of the soil structure of the DB sample S14, as with the CL, differences in nutrient availability due to the plant’s roots exudates are expected to increase the carbon sources and the prevalence of microbes in superficial soils [59]. It is noteworthy that this particular sample (S14) was collected in proximity to the DB edge (Supplementary Figure S1), where the surface was covered with grass. Therefore, it is possible that this collection point had less exposure to animal waste. This could explain the similar bacterial community structure when compared to cropland soils. These results show that human activities such as agriculture and livestock production have an impact on soil health and raise concerns about pathogen spreading due to the agricultural practices applied to the soils studied here.
4. Conclusions
The presence and survival of L. monocytogenes in soils has been linked to the pre-harvest contamination of food [60,61]. Properties such as moisture and clay content have previously been related to the presence of this pathogens in soils [11,12,13]. Nonetheless, the conditions that allow for the establishment and survival of L. monocytogenes in soil are yet to be fully understood. Our findings provide novel clues regarding the composition of microbial communities and soil physicochemical properties that allow for L. monocytogenes colonization in DB samples, as a case exemplifying an understudied environment related to animal production. Our results also support the idea that livestock and dairy practices have direct effects on soil physicochemical properties driving differences in the taxonomic structures of bacterial communities. We provided evidence that variations in bacterial community and L. monocytogenes’ presence depended on soil use and were related to H content, pH, SOM, and EC for the samples included in this study. Specifically, the survival of L. monocytogenes may be positively influenced by N content due to constant urine input, which, in turn, is linked to high alkalinity. These findings enhance our understanding of the properties found in soils used for animal production activities, particularly dairy barn soils, which might provide an environment favorable for L. monocytogenes to grow and spread in. Based on this work, we suggest that protocols should be implemented to mitigate exposure to this pathogen, particularly in areas where human and animal activities merge. We recommend assessing the drainage pattern of DB soils to mitigate the leaching of urine inputs into deeper soil layers or lateral movements, which may lead to the contamination of adjacent fields. Moreover, it is necessary to establish rigorous hygiene protocols among workers to minimize the risks associated with exposure, cross-contamination, and potential pathogen transmission from the DB. Where feasible, the installation of barn flooring that could be subject to frequent runoff should be considered, along with the implementation of proper drainage systems. Finally, it is important to improve the monitoring of microbiologically safe biofertilizers through suitable indicators and to promote the use of safer composting methods, as previously discussed by other authors [62,63,64,65].
Supplementary Materials
The following supporting information can be downloaded at: https://www.mdpi.com/article/10.3390/su151813629/s1, Table S1: 16S rRNA gene sequences (reads) obtained via next-generation sequencing from 18 soil samples before and after processing with DADA2 package v1.10.1; Table S2: Physicochemical properties and bacterial diversity metrics of the soil samples subjected to Listeria sp. detection via culture-dependent and-independent methods; Table S3: Analysis of variance (ANOVA) of the Canonical Correspondence Analysis (CCA) with physicochemical factors as variables; Figure S1: Sampling sites included in this study. The image on top shows the three sampled areas: a dairy barn (DB) where the animals were kept for feeding and/or milking; a slaughterhouse holding pen (SH), where livestock (pigs and cattle) are kept before sacrifice; and a nearby cropland (CL) of plantain, bean, and cassava crops and a fallow field. The images at the bottom show each sampling point at the different locations; Figure S2: Phylogenetic tree of genera belonging to the order Bacillales based on the Illumina sequencing of the 16S rRNA gene showing the total abundance of each unique amplicon sequence variant (ASV) in 18 soil samples. * Isolates positive for Listeria spp. ASV detection (CL: S1–S4; DB: S5, S9–15, S17–S18; SH: S6–S8, S16); Figure S3: Transformed Fourier spectroscopic analysis of soil samples with the positive and negative isolation of L. monocytogenes, (a) S3 as an example of negative isolation, (b) S13 as an example of positive isolation, (c) principal component analysis for subtracted spectra of OM-enriched samples and (d) loading of the second component PC2 (22%) and its reference spectra.
Author Contributions
Conceptualization, K.N.-M. and F.M.-M.; methodology, R.G.-W., L.B.-F. and R.A.-R.; validation, R.G.-W., K.N.-M. and M.A.; formal analysis, R.G.-W., F.M.-M., A.M.-M. and R.A.-R.; investigation, R.G.-W., L.B.-F., F.M.-M. and R.A.-R.; data curation, O.R.-S., M.A. and K.N.-M.; writing—original draft preparation, all authors; writing—review and editing, all authors; visualization, L.B.-F., R.A.-R. and A.M.-M.; supervision, O.R.-S., F.M.-M. and K.N.-M.; project administration, O.R.-S. and R.G.-W.; funding acquisition, R.G.-W., O.R.-S., F.M.-M. and K.N.-M. All authors have read and agreed to the published version of the manuscript.
Funding
This work was funded by the Vicerrectoría de Investigación y Extensión, Instituto Tecnológico de Costa Rica, research grants VIE-1510068, VIE-1510052, and VIE-1510160 and Agencia Nacional de Investigación y Desarrollo de Chile (ANID) grant Fondecyt Iniciación Nº 11230475 for K-NM.
Data Availability Statement
The data presented in this study are available in the Supplementary Material and in the publicly accessible repository of NCBI BioProject database (https://www.ncbi.nlm.nih.gov/bioproject/ (accessed on 27 July 2023)) under the Bioproject accession No. PRJNA764498.
Acknowledgments
We thank Johnny Peraza Moraga for the helpful discussions during the initial stages of this project and Javier Pizarro-Cerdá for his collaboration and continuous encouragement throughout our work.
Conflicts of Interest
The authors declare no conflict of interest.
References
- Desai, A.N.; Anyoha, A.; Madoff, L.; Lassmann, B. Changing Epidemiology of Listeria Outbreaks and Recalls: A Review of ProMED Reports from 1996-2018. Int. J. Infect. Dis. 2019, 79, 10. [Google Scholar] [CrossRef]
- Smith, A.M.; Tau, N.P.; Smouse, S.L.; Allam, M.; Ismail, A.; Ramalwa, N.R.; Disenyeng, B.; Ngomane, M.; Thomas, J. Outbreak of Listeria monocytogenes in South Africa, 2017–2018: Laboratory Activities and Experiences Associated with Whole-Genome Sequencing Analysis of Isolates. Foodborne Pathog. Dis. 2019, 16, 524–530. [Google Scholar] [CrossRef] [PubMed]
- Weis, J.; Seeliger, H.P.R. Incidence of Listeria monocytogenes in Nature. Appl. Microbiol. 1975, 30, 29–32. [Google Scholar] [CrossRef]
- Watkins, J.; Sleath, K.P. Isolation and Enumeration of Listeria monocytogenes from Sewage, Sewage Sludge and River Water. J. Appl. Bacteriol. 1981, 50, 1–9. [Google Scholar] [CrossRef] [PubMed]
- Kulesh, R.; Shinde, S.V.; Khan, W.A.; Chaudhari, S.P.; Patil, A.R.; Kurkure, N.V.; Paliwal, N.; Likhite, A.V.; Zade, N.N.; Barbuddhe, S.B. The Occurrence of Listeria monocytogenes in Goats, Farm Environment and Invertebrates. Biol. Rhythm. Res. 2019, 53, 831–840. [Google Scholar] [CrossRef]
- Beuchat, L.R. Listeria monocytogenes: Incidence on Vegetables. Food Control 1996, 7, 223–228. [Google Scholar] [CrossRef]
- Asante, J.; Noreddin, A.; El Zowalaty, M. Systematic Review of Important Viral Diseases in Africa in Light of the ‘One Health’ Concept. Pathogens 2019, 9, 301. [Google Scholar] [CrossRef]
- Semenov, A.M.; Kuprianov, A.A.; van Bruggen, A.H.C. Transfer of Enteric Pathogens to Successive Habitats as Part of Microbial Cycles. Microb. Ecol. 2010, 60, 239–249. [Google Scholar] [CrossRef]
- Alsanius, B.W.; Von Essen, E.; Hartmann, R.; Vagsholm, I.; Doyle, O.; Schmutz, U.; Stützel, H.; Fricke, A.; Dorais, M. The “One Health”-Concept and Organic Production of Vegetables and Fruits. Acta Hortic. 2019, 1242, 1–14. [Google Scholar] [CrossRef]
- Falardeau, J.; Walji, K.; Haure, M.; Fong, K.; Taylor, G.; Ma, Y.; Smukler, S.; Wang, S. Native Bacterial Communities and Listeria monocytogenes Survival in Soils Collected from the Lower Mainland of British Columbia, Canada. Can. J. Microbiol. 2018, 64, 695–705. [Google Scholar] [CrossRef]
- Botzler, R.G.; Cowan, A.B.; Wetzler, T.F. Survival of Listeria monocytogenes in Soil and Water. J. Wildl. Dis. 1974, 10, 204–212. [Google Scholar] [CrossRef] [PubMed]
- Welshimer, H.J. Survival of Listeria monocytogenes in Soil. J. Bacteriol. 1960, 80, 316–320. [Google Scholar] [CrossRef] [PubMed]
- Dowe, M.J.; Jackson, E.D.; Mori, J.G.; Bell, C.R. Listeria monocytogenes Survival in Soil and Incidence in Agricultural Soils. J. Food Prot. 1997, 60, 1201–1207. [Google Scholar] [CrossRef] [PubMed]
- Vivant, A.L.; Garmyn, D.; Maron, P.A.; Nowak, V.; Piveteau, P. Microbial Diversity and Structure Are Drivers of the Biological Barrier Effect against Listeria monocytogenes in Soil. PLoS ONE 2013, 8, e76991. [Google Scholar] [CrossRef] [PubMed]
- Spor, A.; Camargo, A.R.O.; Bru, D.; Gaba, S.; Garmyn, D.; Gal, L.; Piveteau, P. Habitat Disturbances Modulate the Barrier Effect of Resident Soil Microbiota on Listeria monocytogenes Invasion Success. Front. Microbiol. 2020, 11, 927. [Google Scholar] [CrossRef]
- Vivant, A.L.; Garmyn, D.; Gal, L.; Hartmann, A.; Piveteau, P. Survival of Listeria monocytogenes in Soil Requires AgrA-Mediated Regulation. Appl. Environ. Microbiol. 2015, 81, 5073–5084. [Google Scholar] [CrossRef]
- Vivant, A.L.; Desneux, J.; Pourcher, A.M.; Piveteau, P. Transcriptomic Analysis of the Adaptation of Listeria monocytogenes to Lagoon and Soil Matrices Associated with a Piggery Environment: Comparison of Expression Profiles. Front. Microbiol. 2017, 8, 1811. [Google Scholar] [CrossRef]
- Marinho, C.M.; Garmyn, D.; Gal, L.; Brunhede, M.Z.; O’Byrne, C.; Piveteau, P. Investigation of the Roles of AgrA and σB Regulators in Listeria monocytogenes Adaptation to Roots and Soil. FEMS Microbiol. Lett. 2020, 367, fnaa036. [Google Scholar] [CrossRef]
- Locatelli, A.; Spor, A.; Jolivet, C.; Piveteau, P.; Hartmann, A. Biotic and Abiotic Soil Properties Influence Survival of Listeria monocytogenes in Soil. PLoS ONE 2013, 8, e75969. [Google Scholar] [CrossRef]
- FAO (Food and Agriculture Oganization of the United Nations). World Reference Base for Soil Resources 2014. International Soil Classification System for Naming Soils and Creating Legends for Soil Maps; FAO: Rome, Italy, 2014; pp. 1–191. [Google Scholar] [CrossRef]
- United States Food and Drug Administration. Testing Methodology for Listeria Species or L. monocytogenes in Environmental Samples; United States Food and Drug Administration: Silver Spring, MD, USA, 2015; pp. 1–11.
- United States Department of Agriculture. Isolation and Identification of Listeria monocytogenes from Red Meat, Poultry and Egg Products, and Environmental Samples; United States Department of Agriculture: Washington, DC, USA, 2013.
- Doumith, M.; Buchrieser, C.; Glaser, P.; Jacquet, C.; Martin, P. Differentiation of the Major Listeria monocytogenes Serovars by Multiplex PCR. J. Clin. Microbiol. 2004, 42, 3819–3822. [Google Scholar] [CrossRef]
- Barboza-Fallas, L.; Guillen-Watson, R.; Rivas-Solano, O.; Peraza-Moraga, J. Optimización de Temperatura de Anillamiento de PCR Multiplex Para La Detección de Listeria monocytogenes. Rev. Tecnol. Marcha 2019, 32, 37–42. (In Spanish) [Google Scholar] [CrossRef]
- Zhang, M.; Sun, Y.; Chen, L.; Cai, C.; Qiao, F.; Du, Z.; Li, E. Symbiotic Bacteria in Gills and Guts of Chinese Mitten Crab (Eriocheir Sinensis) Differ from the Free-Living Bacteria in Water. PLoS ONE 2016, 11, e0148135. [Google Scholar] [CrossRef]
- Callahan, B.J.; McMurdie, P.J.; Rosen, M.J.; Han, A.W.; Johnson, A.J.A.; Holmes, S.P. DADA2: High-Resolution Sample Inference from Illumina Amplicon Data. Nat. Methods 2016, 13, 581–583. [Google Scholar] [CrossRef] [PubMed]
- Wang, Q.; Garrity, G.M.; Tiedje, J.M.; Cole, J.R. Naïve Bayesian Classifier for Rapid Assignment of RRNA Sequences into the New Bacterial Taxonomy. Appl. Environ. Microbiol. 2007, 73, 5261–5267. [Google Scholar] [CrossRef] [PubMed]
- Quast, C.; Pruesse, E.; Yilmaz, P.; Gerken, J.; Schweer, T.; Yarza, P.; Peplies, J.; Glöckner, F.O. The SILVA Ribosomal RNA Gene Database Project: Improved Data Processing and Web-Based Tools. Nucleic Acids Res. 2013, 41, D590–D596. [Google Scholar] [CrossRef]
- Erik, S.W. Using DECIPHER v2.0 to Analyze Big Biological Sequence Data in R. R J. 2016, 8, 352. [Google Scholar] [CrossRef]
- Gee, G.; Bauder, J.W. Particle-Size Analysis. In Methods of Soil Analysis; Klute, A., Ed.; Agron. Monogr.: Madison, WI, USA, 1986; pp. 383–411. [Google Scholar]
- Kalra, Y.P.; Maynard, D.G. Methods Manual for Forest Soil and Plant Analysis; Information Report NOR-X-319E: Edmonton, Alberta, 1991. [Google Scholar]
- Anderson, J.U. An Improved Pretreatment for Mineralogical Analysis of Samples Containing Organic Matter1. Clays Clay Miner. 1961, 10, 380–388. [Google Scholar] [CrossRef]
- Margenot, A.J.; Calderón, F.J.; Bowles, T.M.; Parikh, S.J.; Jackson, L.E. Soil Organic Matter Functional Group Composition in Relation to Organic Carbon, Nitrogen, and Phosphorus Fractions in Organically Managed Tomato Fields. Soil. Sci. Soc. Am. J. 2015, 79, 772–782. [Google Scholar] [CrossRef]
- Hanson, B. An Introduction to ChemoSpec. Available online: https://cran.r-project.org/web/packages/ChemoSpec/vignettes/ChemoSpec.pdf (accessed on 27 July 2023).
- McMurdie, P.; Holmes, S. Phyloseq: A Bioconductor Package for Handling and Analysis of High-Throughput Phylogenetic Sequence Data. In Biocomputing; World Scientific: Singapore, 2012; pp. 235–246. [Google Scholar]
- Chao, A.; Chiu, C.-H. Nonparametric Estimation and Comparison of Species Richness. In eLS; John Wiley & Sons, Ltd.: Chichester, UK, 2016; pp. 1–11. [Google Scholar] [CrossRef]
- Chernov, T.I.; Tkhakakhova, A.K.; Kutovaya, O.V. Assessment of Diversity Indices for the Characterization of the Soil Prokaryotic Community by Metagenomic Analysis. Eurasian Soil. Sci. 2015, 48, 410–415. [Google Scholar] [CrossRef]
- Dieterle, F.; Ross, A.; Schlotterbeck, G.; Senn, H. Probabilistic Quotient Normalization as Robust Method to Account for Dilution of Complex Biological Mixtures. Application in 1H NMR Metabonomics. Anal. Chem. 2006, 78, 4281–4290. [Google Scholar] [CrossRef]
- Tamburro, M.; Sammarco, M.L.; Fanelli, I.; Ripabelli, G. International Journal of Food Microbiology by High Resolution Melting Analysis for Epidemiological Investigations. Int. J. Food Microbiol. 2019, 310, 108289. [Google Scholar] [CrossRef] [PubMed]
- Carbonetto, B.; Rascovan, N.; Álvarez, R.; Mentaberry, A.; Vázquez, M.P. Structure, Composition and Metagenomic Profile of Soil Microbiomes Associated to Agricultural Land Use and Tillage Systems in Argentine Pampas. PLoS ONE 2014, 9, e99949. [Google Scholar] [CrossRef] [PubMed]
- Emmett, B.D.; Youngblut, N.D.; Buckley, D.H.; Drinkwater, L.E. Plant Phylogeny and Life History Shape Rhizosphere Bacterial Microbiome of Summer Annuals in an Agricultural Field. Front. Microbiol. 2017, 8, 2414. [Google Scholar] [CrossRef]
- Li, X.; Liu, Y.; Chen, Z.; Liu, L.Z.; Liu, Z.P.; Liu, Y. Membranicola Marinus Gen. Nov., Sp. Nov., a New Member of the Family Saprospiraceae Isolated from a Biofilter in a Recirculating Aquaculture System. Int. J. Syst. Evol. Microbiol. 2016, 66, 1275–1280. [Google Scholar] [CrossRef] [PubMed]
- Duan, M.; Zhang, Y.; Zhou, B.; Wang, Q.; Gu, J.; Liu, G.; Qin, Z.; Li, Z. Changes in Antibiotic Resistance Genes and Mobile Genetic Elements during Cattle Manure Composting after Inoculation with Bacillus Subtilis. Bioresour. Technol. 2019, 292, 122011. [Google Scholar] [CrossRef] [PubMed]
- Zhou, G.; Qiu, X.; Wu, X.; Lu, S. Horizontal Gene Transfer Is a Key Determinant of Antibiotic Resistance Genes Profiles during Chicken Manure Composting with the Addition of Biochar and Zeolite. J. Hazard. Mater. 2021, 408, 124883. [Google Scholar] [CrossRef]
- Okafor, N. Environmental Microbiology of Aquatic and Waste Systems; Springer Science & Bussiness Media: Dordrecht, The Netherlands, 2011; ISBN 9789400714595. [Google Scholar]
- Zilelidou, E.A.; Skandamis, P.N. Growth, Detection and Virulence of Listeria monocytogenes in the Presence of Other Microorganisms: Microbial Interactions from Species to Strain Level. Int. J. Food Microbiol. 2018, 277, 10–25. [Google Scholar] [CrossRef]
- Pyron, M. Characterizing Communities. Nat. Educ. Knowl. 2010, 3, 39. Available online: https://www.nature.com/scitable/knowledge/library/characterizing-communities-13241173/ (accessed on 20 June 2023).
- García-Ruiz, J.M. The Effects of Land Uses on Soil Erosion in Spain: A Review. Catena 2010, 81, 1–11. [Google Scholar] [CrossRef]
- Moges, A.; Dagnachew, M.; Yimer, F. Land Use Effects on Soil Quality Indicators: A Case Study of Abo-Wonsho Southern Ethiopia. Appl. Environ. Soil. Sci. 2013, 2013, 784989. [Google Scholar] [CrossRef]
- Cycoń, M.; Mrozik, A.; Piotrowska-Seget, Z. Antibiotics in the Soil Environment—Degradation and Their Impact on Microbial Activity and Diversity. Front. Microbiol. 2019, 10, 338. [Google Scholar] [CrossRef]
- Lemos, L.N.; Fulthorpe, R.R.; Triplett, E.W.; Roesch, L.F.W. Rethinking Microbial Diversity Analysis in the High Throughput Sequencing Era. J. Microbiol. Methods 2011, 86, 42–51. [Google Scholar] [CrossRef]
- Dube, J.P.; Valverde, A.; Steyn, J.M.; Cowan, D.A.; van der Waals, J.E. Differences in Bacterial Diversity, Composition and Function Due to Long-Term Agriculture in Soils in the Eastern Free State of South Africa. Diversity 2019, 11, 61. [Google Scholar] [CrossRef]
- Choudhary, M.; Sharma, P.C.; Jat, H.S.; Dash, A.; Rajashekar, B.; McDonald, A.J.; Jat, M.L. Soil Bacterial Diversity under Conservation Agriculture-Based Cereal Systems in Indo-Gangetic Plains. 3 Biotech 2018, 8, 304. [Google Scholar] [CrossRef] [PubMed]
- Andreev, N.; Ronteltap, M.; Boincean, B.; Wernli, M.; Zubcov, E.; Bagrin, N.; Borodin, N.; Lens, P.N.L. Lactic Acid Fermentation of Human Urine to Improve Its Fertilizing Value and Reduce Odour Emissions. J. Environ. Manag. 2017, 198, 63–69. [Google Scholar] [CrossRef] [PubMed]
- Locatelli, A.; Depret, G.; Jolivet, C.; Henry, S.; Dequiedt, S.; Piveteau, P.; Hartmann, A. Nation-Wide Study of the Occurrence of Listeria monocytogenes in French Soils Using Culture-Based and Molecular Detection Methods. J. Microbiol. Methods 2013, 93, 242–250. [Google Scholar] [CrossRef] [PubMed]
- Ge, M.; Zhou, H.; Shen, Y.; Meng, H.; Li, R.; Zhou, J.; Cheng, H.; Zhang, X.; Ding, J.; Wang, J.; et al. Effect of Aeration Rates on Enzymatic Activity and Bacterial Community Succession during Cattle Manure Composting. Bioresour. Technol. 2020, 304, 122928. [Google Scholar] [CrossRef]
- Zhong, X.Z.; Ma, S.C.; Wang, S.P.; Wang, T.T.; Sun, Z.Y.; Tang, Y.Q.; Deng, Y.; Kida, K. A Comparative Study of Composting the Solid Fraction of Dairy Manure with or without Bulking Material: Performance and Microbial Community Dynamics. Bioresour. Technol. 2018, 247, 443–452. [Google Scholar] [CrossRef]
- Milillo, S.R.; Badamo, J.M.; Boor, K.J.; Wiedmann, M. Growth and Persistence of Listeria monocytogenes Isolates on the Plant Model Arabidopsis Thaliana. Food Microbiol. 2008, 25, 698–704. [Google Scholar] [CrossRef]
- Selvam, A.; Tsai, S.H.; Liu, C.P.; Chen, I.C.; Chang, C.H.; Yang, S.S. Microbial Communities and Bacterial Diversity of Spruce, Hemlock and Grassland Soils of Tatachia Forest, Taiwan. J. Environ. Sci. Health Part B 2010, 45, 386–398. [Google Scholar] [CrossRef]
- Jablasone, J.; Warriner, K.; Griffiths, M. Interactions of Escherichia Coli O157:H7, Salmonella Typhimurium and Listeria monocytogenes Plants Cultivated in a Gnotobiotic System. Int. J. Food Microbiol. 2005, 99, 7–18. [Google Scholar] [CrossRef]
- Van Renterghem, B.; Huysman, F.; Rygole, R.; Verstraete, W. Detection and Prevalence of Listeria monocytogenes in the Agricultural Ecosystem. J. Appl. Bacteriol. 1991, 71, 211–217. [Google Scholar] [CrossRef] [PubMed]
- Tang, M.; Wu, Z.; Li, W.; Shoaib, M.; Aqib, A.I.; Shang, R.; Yang, Z.; Pu, W. Effects of Different Composting Methods on Antibiotic-Resistant Bacteria, Antibiotic Resistance Genes, and Microbial Diversity in Dairy Cattle Manures. J. Dairy. Sci. 2023, 106, 257–273. [Google Scholar] [CrossRef] [PubMed]
- Ayilara, M.S.; Olanrewaju, O.S.; Babalola, O.O.; Odeyemi, O. Waste Management through Composting: Challenges and Potentials. Sustainability 2020, 12, 4456. [Google Scholar] [CrossRef]
- Stiborova, H.; Kracmarova, M.; Vesela, T.; Biesiekierska, M.; Cerny, J.; Balik, J.; Demnerova, K. Impact of Long-Term Manure and Sewage Sludge Application to Soil as Organic Fertilizer on the Incidence of Pathogenic Microorganisms and Antibiotic Resistance Genes. Agronomy 2021, 11, 1423. [Google Scholar] [CrossRef]
- Liu, N.; Xu, L.; Han, L.; Huang, G.; Ciric, L. Microbiological Safety and Antibiotic Resistance Risks at a Sustainable Farm under Large-Scale Open-Air Composting and Composting Toilet Systems. J. Hazard. Mater. 2021, 401, 123391. [Google Scholar] [CrossRef] [PubMed]
Disclaimer/Publisher’s Note: The statements, opinions and data contained in all publications are solely those of the individual author(s) and contributor(s) and not of MDPI and/or the editor(s). MDPI and/or the editor(s) disclaim responsibility for any injury to people or property resulting from any ideas, methods, instructions or products referred to in the content. |
© 2023 by the authors. Licensee MDPI, Basel, Switzerland. This article is an open access article distributed under the terms and conditions of the Creative Commons Attribution (CC BY) license (https://creativecommons.org/licenses/by/4.0/).

